Sign in to use this feature.

Years

Between: -

Subjects

remove_circle_outline
remove_circle_outline
remove_circle_outline
remove_circle_outline
remove_circle_outline
remove_circle_outline
remove_circle_outline
remove_circle_outline

Journals

Article Types

Countries / Regions

Search Results (38)

Search Parameters:
Keywords = LAAC

Order results
Result details
Results per page
Select all
Export citation of selected articles as:
21 pages, 2088 KB  
Systematic Review
Efficacy of Hyperbaric Oxygen Therapy in Diabetic Retinopathy and Macular Edema: A Systematic Review and Meta-Analysis
by Enrico Moccia, Vincenzo Rizzuto, Pasquale Longobardi, Anita Ferrone, Marco Laurino, Artūrs Zemītis and Giuseppe Covello
Diabetology 2025, 6(11), 133; https://doi.org/10.3390/diabetology6110133 - 1 Nov 2025
Viewed by 228
Abstract
Background: Diabetic retinopathy (DR) and diabetic macular edema (DME) are major causes of vision loss in diabetes. Hyperbaric oxygen therapy (HBOT) has been explored as an adjunctive treatment due to its potential to enhance oxygenation, reduce inflammation, and lower oxidative stress in [...] Read more.
Background: Diabetic retinopathy (DR) and diabetic macular edema (DME) are major causes of vision loss in diabetes. Hyperbaric oxygen therapy (HBOT) has been explored as an adjunctive treatment due to its potential to enhance oxygenation, reduce inflammation, and lower oxidative stress in retinal tissues. This systematic review and meta-analysis assessed HBOT’s efficacy in improving best-corrected visual acuity (BCVA) and central macular thickness (CMT). Methods: A comprehensive search across major databases up to May 2025 identified five eligible studies involving 463 eyes. Results: Pooled data showed HBOT significantly improved BCVA (mean difference—0.05 LogMAR; 95% CI: −0.09 to −0.01; p < 0.05) with no heterogeneity (I2 = 0%), suggesting consistent functional benefit. However, sensitivity analysis revealed this effect was fragile, losing significance when the largest study was excluded. For CMT, HBOT was associated with a significant reduction (−75.21 (95% CI −90.04 to −60.38; p < 0.05), though heterogeneity was high (I2 = 62%), likely due to differences in patient profiles and treatment combinations. Conclusions: While HBOT shows potential in managing DR and DME, further robust randomized trials are needed to validate its clinical utility and define optimal treatment protocols Full article
Show Figures

Figure 1

13 pages, 1720 KB  
Article
Long-Term Clinical Outcomes of Left Atrial Appendage Closure in Patients with Left Atrial Appendage Thrombus
by Moshe Katz, Rotem Nahmias Oz, Eias Massalha, Avi Sabag, Eyal Nof, Israel Barbash, Paul Fefer, Victor Guetta and Roy Beinart
J. Clin. Med. 2025, 14(21), 7589; https://doi.org/10.3390/jcm14217589 - 26 Oct 2025
Viewed by 398
Abstract
Background: Patients with atrial fibrillation (AF) who have a high bleeding risk or contraindications to anticoagulation may be candidates for left atrial appendage closure (LAAC). However, the presence of a thrombus in the left atrial appendage (LAA) is generally considered a contraindication [...] Read more.
Background: Patients with atrial fibrillation (AF) who have a high bleeding risk or contraindications to anticoagulation may be candidates for left atrial appendage closure (LAAC). However, the presence of a thrombus in the left atrial appendage (LAA) is generally considered a contraindication to the procedure. While the feasibility and short-term safety of LAAC in patients with pre-existing LAA thrombus has been reported, data on long-term outcomes remain limited. Objective: To assess the long-term clinical outcomes of AF patients undergoing LAAC in the presence of an LAA thrombus. Methods: This retrospective, single-center registry included all AF patients who underwent LAAC between June 2010 and April 2024. Patients were stratified based on the presence or absence of LAA thrombus at the time of the procedure. The primary endpoint was a 5-year composite of stroke, systemic embolism, or all-cause mortality. Results: A total of 403 patients underwent LAAC, of whom 24 (6%) had an LAA thrombus at the time of the procedure. During a median follow-up of 3.9 years, the primary endpoint occurred in 116 patients: 110 events (41%) in the no-thrombus group and 6 events (38%) in the thrombus group. There was no statistically significant difference in major adverse cardiovascular events (MACE) between groups (log-rank p = 0.862). Conclusions: LAAC may be performed safely in selected patients with distal LAA thrombus, with long-term outcomes comparable to those without thrombus. Full article
Show Figures

Figure 1

17 pages, 2352 KB  
Article
Comparative Study of Automated Real-Time Left Atrial Appendage Sizing Using Patient-Specific 3D Heart Models Versus Transesophageal Echocardiography and Multidetector Computed Tomography in Patients with Nonvalvular Atrial Fibrillation: Implications for Device Selection
by Dominika Kanschik, Amin Polzin, Houtan Heidari, Lisa Dannenberg, Raphael Phinicarides, Kathrin Klein, Nikos Werner, Malte Kelm, Christian Jung, Tobias Zeus and Shazia Afzal
J. Clin. Med. 2025, 14(16), 5696; https://doi.org/10.3390/jcm14165696 - 12 Aug 2025
Viewed by 591
Abstract
Background: An accurate device sizing for percutaneous left atrial appendage closure (LAAC) can be challenging. Intraprocedural automated LAA evaluation by transoesophageal echocardiography (TEE) based on an artificial intelligence-assisted 3D model may facilitate sizing and prediction of C-arm angulation for device implantation in a [...] Read more.
Background: An accurate device sizing for percutaneous left atrial appendage closure (LAAC) can be challenging. Intraprocedural automated LAA evaluation by transoesophageal echocardiography (TEE) based on an artificial intelligence-assisted 3D model may facilitate sizing and prediction of C-arm angulation for device implantation in a one-stop-shop procedure. This study aimed to evaluate the feasibility and accuracy of automated echocardiographic LAA sizing based on a patient-specific 3D heart model prototype in real-time. Methods: A prospective monocentric study was conducted in 66 patients who underwent LAAC with the Amulet device. All major LAA morphologies were represented. Preprocedural multidetector computed tomography (MSCT) measurements and intraprocedural TEE and angiography measurements of the ostium, landing zone, and C-arm angulation were compared with the 3D heart model measurements. Results: The procedure achieved a 100% success rate. The measurements for the maximum diameter of the ostium in the 3D heart model were not significantly different from those obtained via angiography, TEE, and MSCT. Specifically, the maximum diameter of the landing zone did not differ significantly compared to TEE and angiographic measurements (20.90 ± 3.42 mm vs. 20.96 ± 4.81 mm, p = 0.563; compared to 21.20 ± 3.90 mm, p = 0.291). However, these measurements were significantly smaller than the average MSCT measurements (18.30 ± 2.68 mm vs. 21.03 ± 4.34 mm, p < 0.001). Additionally, the predicted implantation angles showed no significant differences between the 3D heart model and MSCT. Conclusions: The intraprocedural application of this prototype is both safe and feasible. The measurements obtained from the 3D heart model were consistent with those from TEE and angiography, although discrepancies were noted when compared to MSCT measurements. Notably, the predicted implantation angles demonstrated strong agreement with MSCT, further supporting the prototype’s efficacy in clinical settings. Full article
(This article belongs to the Special Issue Cardiac Imaging: Current Applications and Future Perspectives)
Show Figures

Figure 1

11 pages, 551 KB  
Article
Feasibility and Impact of Left Atrial Appendage Closure in Patients with Cardiac Implantable Electronic Devices: Insights from a Prospective Registry
by Tommaso Bini, Sven Ledwoch, Roberto Galea, Antanas Gasys, Marco Gamardella, George C. M. Siontis, Lorenz Räber and Laurent Roten
J. Clin. Med. 2025, 14(11), 3857; https://doi.org/10.3390/jcm14113857 - 30 May 2025
Viewed by 701
Abstract
Background—Percutaneous left atrial appendage (LAA) closure (LAAC) offers a valid alternative to oral anticoagulation in patients with atrial fibrillation (AF) at high risk of bleeding. However, its impact on AF burden and device function in patients with cardiac implantable electronic devices (CIEDs) [...] Read more.
Background—Percutaneous left atrial appendage (LAA) closure (LAAC) offers a valid alternative to oral anticoagulation in patients with atrial fibrillation (AF) at high risk of bleeding. However, its impact on AF burden and device function in patients with cardiac implantable electronic devices (CIEDs) remains largely unexplored. Methods—From our prospective LAAC registry (clinicaltrial.gov—NCT04628078), which includes all consecutive LAAC procedures performed at our institution, we identified patients with a CIED and retrospectively analyzed procedural and follow-up data. The primary endpoint was defined as a composite of death, TIA/stroke, systemic or pulmonary embolism and major bleeding (BARC 3-5) within 7 days of the procedure. The secondary endpoint was CIED lead dislodgement. Additionally, AF burden was compared before and after LAAC. Results—Of the 586 LAAC procedures performed between August 2015 and January 2023, 36 patients (6%) had a CIED. The median CHA2DS2-VASC and HAS-BLED scores were 4.0 and 3.0, respectively. The primary endpoint occurred in one (3%) patient, and no patient experienced CIED lead dislodgement. AF burden data before and after LAAC were available in 20 patients. The mean AF burden increased from 6% to 31% following LAAC (p = 0.064). Conclusions—A CIED was present in 6% of LAAC procedures, and LAAC appears feasible and safe in this patient population. Larger, prospective studies are warranted to further evaluate the impact of LAAC on AF burden. Full article
Show Figures

Figure 1

17 pages, 1468 KB  
Review
Optimizing Imaging Techniques for Left Atrial Appendage Closure: Insights and Emerging Directions
by Valentina Barletta, Mattia Alberti, Riccardo Agostini, Fausto Pizzino, Giancarlo Trimarchi, Maria Grazia D’Alfonso, Marco Solari, Giulio Zucchelli and Alberto Cresti
J. Clin. Med. 2025, 14(10), 3607; https://doi.org/10.3390/jcm14103607 - 21 May 2025
Viewed by 2345
Abstract
Atrial fibrillation (AF) is the most common sustained cardiac arrhythmia in adults and is associated with significant morbidity and mortality, including an increased risk of stroke, heart failure, dementia, and recurrent hospitalizations. As life expectancy rises, both the incidence and prevalence of AF [...] Read more.
Atrial fibrillation (AF) is the most common sustained cardiac arrhythmia in adults and is associated with significant morbidity and mortality, including an increased risk of stroke, heart failure, dementia, and recurrent hospitalizations. As life expectancy rises, both the incidence and prevalence of AF continue to grow. Stroke prevention remains a cornerstone of AF management, with oral anticoagulation being the primary strategy to reduce thromboembolic risk. However, despite their advantages, direct oral anticoagulants do not completely eliminate the risk of bleeding complications. For patients in whom anticoagulation is contraindicated, poorly tolerated, or ineffective at preventing AF-related stroke, interventional alternatives have gained traction. The left atrial appendage (LAA), a primary site of thrombus formation in AF, can be occluded through a catheter-based procedure known as left atrial appendage closure (LAAC) or left atrial appendage occlusion (LAAO). This review aims to provide imaging specialists with a comprehensive understanding of their role in LAAC, underscoring the importance of a multidisciplinary approach to enhance patient selection, procedural success, and long-term efficacy. Full article
Show Figures

Figure 1

11 pages, 394 KB  
Article
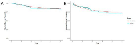
Left Atrial Appendage Closure in Atrial Fibrillation Patients with Cancer
by David Zweiker, Jutta Bergler-Klein, Lukas Fiedler, Gabor G. Toth, Reinhard Achleitner, Alexandra Schratter, Guenter Stix, Harald Gabriel, Ronald K. Binder, Martin Rammer, Michael Pfeffer, Paul Vock, Brigitte Lileg, Clemens Steinwender, Kurt Sihorsch, Florian Hintringer, Agne Adukauskaite, Martin Martinek, Thomas Sturmberger, Klemens Ablasser, Andreas Zirlik and Daniel Scherradd Show full author list remove Hide full author list
J. Clin. Med. 2024, 13(21), 6514; https://doi.org/10.3390/jcm13216514 - 30 Oct 2024
Cited by 3 | Viewed by 1497
Abstract
Background: There are limited data about left atrial appendage closure (LAAC) in patients with cancer. We therefore sought to compare the outcome after LAAC in patients with vs. without cancer in a multicentre registry. Methods: In this sub-analysis of the prospective [...] Read more.
Background: There are limited data about left atrial appendage closure (LAAC) in patients with cancer. We therefore sought to compare the outcome after LAAC in patients with vs. without cancer in a multicentre registry. Methods: In this sub-analysis of the prospective Austrian LAAC Registry, we analysed consecutive patients undergoing LAAC to assess the relationship between baseline characteristics and outcome in patients with vs. without cancer. Inverse probability weighting was performed to adjust for differences in baseline characteristics. Results: A total of 486 consecutive patients from 9 centres with a median age of 75 years (IQR 70–79 years; 35.8% female) were included. Fifty-seven patients (11.7%) had a history of cancer. The median CHA2DS2-VASc and HAS-BLED scores were similar in both groups (median [IQR], 4 [4–6] vs. 5 [3–5], p = 0.415; 4 [3–4] vs. 3 [3–4], p = 0.428 in cancer vs. other patients). Cancer patients were significantly older, and anaemia and gastrointestinal bleeding were significantly more common. Major procedural complications occurred in 5.3% vs. 7.0% (p = 0.276) of patients. The cumulative five-year survival rates were 80.7% and 84.8% in cancer vs. other patients (adjusted hazard ratio for death 1.29 [95% CI 0.67–2.48], p = 0.443). There were also no differences in one-year survival (96.1% vs. 94.0%, p = 0.582) and five-year event-free survival (64.9% vs. 74.4%, p = 0.124). Conclusions: In daily clinical practice, LAAC has already been accepted as a treatment option in patients with cancer. This retrospective analysis shows that short-term and adjusted long-term complications are similar in patients with vs. without cancer undergoing LAAC. Full article
(This article belongs to the Section Cardiovascular Medicine)
Show Figures

Figure 1

17 pages, 625 KB  
Article
Correlations Between Plasma BNP Level and Risk of Thrombotic-Hemorrhagic Events After Left Atrial Appendage Closure
by Teruhiko Imamura, Naoya Kataoka, Shuhei Tanaka, Hiroshi Ueno, Koichiro Kinugawa, Masaki Nakashima, Masanori Yamamoto, Mitsuru Sago, Ryuki Chatani, Masahiko Asami, Daisuke Hachinohe, Toru Naganuma, Yohei Ohno, Tomoyuki Tani, Hideharu Okamatsu, Kazuki Mizutani, Yusuke Watanabe, Masaki Izumo, Mike Saji, Shingo Mizuno, Shunsuke Kubo, Shinichi Shirai and Kentaro Hayashidaadd Show full author list remove Hide full author list
J. Clin. Med. 2024, 13(20), 6232; https://doi.org/10.3390/jcm13206232 - 18 Oct 2024
Cited by 5 | Viewed by 1436
Abstract
Background: Percutaneous left atrial appendage closure (LAAC) reduces the incidence of stroke/bleeding events in patients with non-valvular atrial fibrillation, high risk of stroke, and contraindication in continuing anticoagulation therapy. Of them, patients with heart failure may remain at high risk of these events [...] Read more.
Background: Percutaneous left atrial appendage closure (LAAC) reduces the incidence of stroke/bleeding events in patients with non-valvular atrial fibrillation, high risk of stroke, and contraindication in continuing anticoagulation therapy. Of them, patients with heart failure may remain at high risk of these events after LAAC. Method: Patients who underwent LAAC and were listed for the multi-center, prospectively collected OCEAN-LAAC registry, were eligible. Of them, individuals without baseline plasma B-type natriuretic peptide (BNP) levels and those dependent on hemodialysis were excluded. The prognostic impact of baseline plasma BNP levels on the incidence of death or stroke/bleeding events after LAAC was evaluated. Results: A total of 937 patients (median 78 years, 596 men) were included. The LAAC device was successfully implanted in 934 (98%) patients. Over the 366 (251, 436) days after the LAAC, 148 patients encountered a primary outcome. The common logarithm of baseline plasma BNP was independently associated with the primary outcome with an adjusted hazard ratio of 1.46 (95% confidence interval 1.06–2.18, p = 0.043). A calculated cutoff of 2.12 (equivalent to 133 pg/mL of plasma BNP level) significantly stratified the cumulative incidence of the primary outcome (29% vs. 21% for 2 years, p = 0.004). Conclusions: Using prospectively collected large-scale multi-center Japanese registry data, we demonstrated that a baseline higher plasma BNP level was independently associated with a higher incidence of stroke/bleeding events and mortality after LAAC. Further studies are warranted to understand the optimal therapeutic strategy for LAAC candidates with elevated baseline plasma BNP levels. Full article
(This article belongs to the Section Cardiovascular Medicine)
Show Figures

Figure 1

17 pages, 1741 KB  
Review
Watchman vs. Amulet for Left Atrial Appendage Closure: Current Evidence and Future Perspectives
by Marco Frazzetto, Claudio Sanfilippo, Giuliano Costa, Claudia Contrafatto, Chiara Giacalone, Salvatore Scandura, Giuseppe Castania, Jessica De Santis, Maria Sanfilippo, Maria Elena Di Salvo, Corrado Tamburino, Marco Barbanti and Carmelo Grasso
J. Clin. Med. 2024, 13(16), 4651; https://doi.org/10.3390/jcm13164651 - 8 Aug 2024
Cited by 3 | Viewed by 3947
Abstract
Left atrial appendage closure (LAAC) is a crucial intervention for stroke prevention in patients with non-valvular atrial fibrillation who are unsuitable for long-term anticoagulation. Amulet and Watchman are the most implanted devices worldwide for performing LAAC, and the aim of this review is [...] Read more.
Left atrial appendage closure (LAAC) is a crucial intervention for stroke prevention in patients with non-valvular atrial fibrillation who are unsuitable for long-term anticoagulation. Amulet and Watchman are the most implanted devices worldwide for performing LAAC, and the aim of this review is to provide a comprehensive comparison focusing on their efficacy, safety, and short- and long-term outcomes. The Watchman device, the first to gain FDA approval, has been extensively studied and demonstrates significant reductions in stroke and systemic embolism rates. The Amulet device, a newer alternative, promises enhanced design features for more efficient appendage sealing. Current data highlight that both devices offer similar efficacy and safety for LAAC. While the two devices differ in terms of intraprocedural complication rates, they offer similar short- to long-term outcomes in terms of peri-device leaks, device-related thrombosis, and mortality. Both devices are indicated for patients who are unable to tolerate OAC, given their similar risk and safety profiles. Newer clinical studies are directed at establishing the efficacy of both devices as the primary method for stroke prevention in AF as an alternative to OAC. Full article
Show Figures

Figure 1

13 pages, 873 KB  
Article
Comparative Assessment of Percutaneous Left-Atrial Appendage Occlusion (LAAO) Devices—A Single Center Cohort Study
by Elham Kayvanpour, Max Kothe, Ziya Kaya, Sven Pleger, Norbert Frey, Benjamin Meder and Farbod Sedaghat-Hamedani
J. Cardiovasc. Dev. Dis. 2024, 11(6), 158; https://doi.org/10.3390/jcdd11060158 - 21 May 2024
Viewed by 2488
Abstract
Background: Percutaneous left-atrial appendage closure (LAAC) is an established method for preventing strokes in patients with atrial fibrillation, offering an alternative to oral anticoagulation. Various occluder devices have been developed to cater to individual anatomical needs and ensure a safe and effective procedure. [...] Read more.
Background: Percutaneous left-atrial appendage closure (LAAC) is an established method for preventing strokes in patients with atrial fibrillation, offering an alternative to oral anticoagulation. Various occluder devices have been developed to cater to individual anatomical needs and ensure a safe and effective procedure. In this retrospective, monocentric cohort study, we compare different LAAO devices with respect to clinical outcomes, LAA sealing properties, and device-related complications. Methods: We conducted a retrospective analysis of 270 patients who underwent percutaneous LAA closure in our center between 2009 and 2023. Patient data were extracted from medical records, including gender, age at implantation, indication, device type and size, laboratory values, LAA anatomy, periprocedural complications, ECG parameters, transthoracic and transesophageal echocardiography parameters (TTE and TEE), as well as medication at discharge. Moreover, fluoroscopy time and implantation duration, as well as post-implantation clinical events up to 1 year, were collected. Endpoints were bleeding events, recurrent stroke, thrombi on devices, and death. Results: The implanted devices were the Watchman 2.5, Watchman FLX, Amplatzer Cardiac Plug (ACP), and Amulet. The procedural success rate was 95.7% (n = 265), with cactus anatomy posing the most challenges across all devices. The mean patient age was 75.5 ± 7.7 years, with 64.5% being male. The median CHA2DS2-VASc score was 4.8 ± 1.5 and the median HAS-BLED score was 3.8 ± 1.0. Indications for LAA closure included past bleeding events and elevated bleeding risk. Periprocedural complications were most commonly bleeding at the puncture site, particularly after ACP implantation (p = 0.014). Significant peridevice leaks (PDL) were observed in 21.4% of simple sealing mechanism devices versus 0% in double sealing mechanism devices (p = 0.004). Thrombi were detected on devices in six patients, with no subsequent ischemic stroke or thromboembolic event. Comparative analysis revealed no significant differences in the occurrence of stroke, transient ischemic attack (TIA), thromboembolic events, device-related thrombi, or mortality among different device types. A 62.3% relative risk reduction in thromboembolic events and 38.6% in major bleedings could be observed over 568.2 patient years. Conclusions: In summary, our study highlights the efficacy and safety of LAA closure using various occluder devices despite anatomical challenges. Our long-term follow-up findings support LAA closure as a promising option for stroke prevention in selected patient cohorts. Further research is needed to refine patient selection criteria and optimize outcomes in LAA closure procedures. Full article
(This article belongs to the Special Issue Stroke: Risk Factors, Mechanisms, Outcomes and Ethnicity)
Show Figures

Figure 1

13 pages, 2428 KB  
Article
Echocardiographic-Fluoroscopic Fusion Imaging Improves Interventionalists’ Learning Curve for Percutaneous Left Atrial Appendage Closure—Initial, Single-Center, Retrospective Observations
by Dominika Kanschik, Houtan Heidari, Kathrin Klein, Amin Polzin, Verena Veulemans, Jürgen Leick, Malte Kelm, Christian Jung, Tobias Zeus and Shazia Afzal
J. Cardiovasc. Dev. Dis. 2024, 11(3), 82; https://doi.org/10.3390/jcdd11030082 - 29 Feb 2024
Cited by 2 | Viewed by 2242
Abstract
Due to the complex and variable anatomy of the left atrial appendage, percutaneous left atrial appendage closure (LAAC) can be challenging. In this study, we investigated the impact of fusion imaging (FI) on the LAAC learning curve of two interventionalists. The first interventionalist [...] Read more.
Due to the complex and variable anatomy of the left atrial appendage, percutaneous left atrial appendage closure (LAAC) can be challenging. In this study, we investigated the impact of fusion imaging (FI) on the LAAC learning curve of two interventionalists. The first interventionalist (IC 1) was initially trained without FI and continued his training with FI. The second interventionalist (IC 2) performed all procedures with FI. We compared the first 36 procedures without FI of IC 1 (group 1) with his next 36 interventions with FI (group 2). Furthermore, group 1 was compared to 36 procedures of IC 2 who directly started his training with FI (group 3). Group 1 demonstrated that the learning curve without FI has a flat course with weak correlations for fluoroscopy time, contrast volume, and procedure time, but not for dose area product. Group 2 with FI showed improvement with a steep course and strong correlations for all four parameters. In group 3, we also saw a steep progression with strong correlations. Furthermore, the mean measurements of the parameters in the groups with FI decreased significantly as an indicator of procedural efficacy. We demonstrated that FI may improve the learning curve of experienced and non-experienced ICs. Full article
(This article belongs to the Section Cardiac Surgery)
Show Figures

Figure 1

11 pages, 2651 KB  
Case Report
Percutaneous Left Atrial Appendage Closure in Patients with Non-Valvular Atrial Fibrillation and End-Stage Renal Disease on Hemodialysis: A Case Series
by Elena Basabe, José C. De La Flor, Virginia López de la Manzanara, Luis Nombela-Franco, Carlos Narváez-Mejía, Leónidas Cruzado, Daniel Villa, Rocío Zamora, Manuel Tapia, Miguel Ángel Sastre, Edurne López Soberón, José A. Herrero Calvo, Alfonso Suárez and David Martí Sánchez
Medicina 2024, 60(2), 231; https://doi.org/10.3390/medicina60020231 - 29 Jan 2024
Cited by 1 | Viewed by 2376
Abstract
Non-valvular atrial fibrillation (NVAF) is the most common cardiac arrhythmia in the general population, and its prevalence increases among patients with chronic kidney disease (CKD) undergoing hemodialysis. This population presents high risk of both hemorrhagic and thrombotic events, with little evidence regarding the [...] Read more.
Non-valvular atrial fibrillation (NVAF) is the most common cardiac arrhythmia in the general population, and its prevalence increases among patients with chronic kidney disease (CKD) undergoing hemodialysis. This population presents high risk of both hemorrhagic and thrombotic events, with little evidence regarding the use of oral anticoagulation treatment (OAT) and multiple complications arising from it; however, stroke prevention with percutaneous left atrial appendage closure (LAAC) is an alternative to be considered. We retrospectively describe the safety and efficacy of percutaneous LAAC in eight patients with NVAF and CKD on hemodialysis during a 12-month follow-up. The mean age was 78.8 years (range 64–86; SD ± 6.7), and seven patients were male. The mean CHA2DS2-VASC and HAS-BLED scores were high, 4.8 (SD ± 1.5) and 3.8 (SD ± 1.3), respectively. Seventy-five percent of the patients were referred for this intervention due to a history of major bleeding, with gastrointestinal bleeding being the most common type, while the remaining twenty-five percent of the patients were referred because of a high risk of bleeding. The percutaneous LAAC procedure was successfully completed in 100% of the patients, with complete exclusion of the appendage without complications or leaks exceeding 5 mm. There was one death not related to the procedure four days after the intervention. Among the other seven patients, no deaths, cardioembolic events or major bleeding were reported during the follow-up period. In our sample, percutaneous LAAC appears to be a safe and effective alternative to anticoagulation in patients with NVAF and CKD on hemodialysis. Full article
Show Figures

Figure 1

11 pages, 1007 KB  
Article
Anticoagulants versus Left Atrial Appendage Occlusion in Patients with Atrial Fibrillation and Co-Morbid Thrombocytopenia
by Wiktoria Kowalska, Katarzyna Mitręga, Anna Olma, Tomasz Podolecki, Zbigniew Kalarus and Witold Streb
J. Clin. Med. 2023, 12(24), 7637; https://doi.org/10.3390/jcm12247637 - 12 Dec 2023
Cited by 2 | Viewed by 1760
Abstract
Left atrial appendage closure (LAAC) is an alternative approach to anticoagulants. Nonetheless, data regarding the outcomes of LAAC procedures in patients with thrombocytopenia remain lacking. The primary objective was to determine the incidence of the composite endpoint comprising ischemic stroke, intracranial hemorrhage, major [...] Read more.
Left atrial appendage closure (LAAC) is an alternative approach to anticoagulants. Nonetheless, data regarding the outcomes of LAAC procedures in patients with thrombocytopenia remain lacking. The primary objective was to determine the incidence of the composite endpoint comprising ischemic stroke, intracranial hemorrhage, major bleeding, and cardiac cause of death among patients with atrial fibrillation (AF) and thrombocytopenia who were either undergoing LAAC or receiving oral anticoagulants. The secondary endpoint was the determination of total mortality. Data from a prospective, single-center registry of patients undergoing LAAC procedures were analyzed. A subset of 50 consecutive patients with thrombocytopenia were selected. Thrombocytopenia was defined as a thrombocyte count below 150,000. Subsequently, from patients hospitalized with AF receiving oral anticoagulants, 50 patients were further chosen based on propensity score matching, ensuring comparability with the study group. The primary endpoint occurred in 2% of patients in the LAAC group and 10% of patients in the non-LAAC group (p = 0.097). Additionally, a significant difference was noted in the occurrence of the secondary endpoint, which was observed in 0% of patients in the LAAC group and 10% of patients in the non-LAAC group (p = 0.025). In patients with thrombocytopenia the LAAC procedure improves prognosis compared with continued anticoagulant treatment. Full article
Show Figures

Figure 1

16 pages, 1790 KB  
Article
Combined Radiofrequency Ablation and Left Atrial Appendage Closure in Atrial Fibrillation and Systolic Heart Failure
by Jian Sun, Rui Zhang, Mei Yang, Wei Li, Peng-Pai Zhang, Bin-Feng Mo, Qun-Shan Wang, Mu Chen and Yi-Gang Li
Diagnostics 2023, 13(21), 3325; https://doi.org/10.3390/diagnostics13213325 - 26 Oct 2023
Cited by 2 | Viewed by 1748
Abstract
Background: Managing patients with atrial fibrillation (AF) and comorbid heart failure (HF) with reduced (HFrEF) or mildly reduced ejection fraction (HFmrEF) is of clinical importance but a great challenge. This study aimed to evaluate the clinical benefit of the combined radiofrequency catheter ablation [...] Read more.
Background: Managing patients with atrial fibrillation (AF) and comorbid heart failure (HF) with reduced (HFrEF) or mildly reduced ejection fraction (HFmrEF) is of clinical importance but a great challenge. This study aimed to evaluate the clinical benefit of the combined radiofrequency catheter ablation (RFCA) and left atrial appendage closure (LAAC) procedure in AF patients complicated with systolic HF. Methods: AF patients with HFrEF or HFmrEF who underwent the combined RFCA and LAAC procedure were prospectively enrolled in the LAACablation registry. The procedural complications and long-term outcomes were evaluated. Another cohort of AF patients with systolic HF who did not undergo either RFCA or LAAC were used for prognosis comparison. Results: Among 802 AF patients who underwent the combined procedure, 65 patients were comorbid with systolic HF (25 with HFrEF and 40 with HFmrEF). The overall procedural complication rate was 9.2%, which was mainly attributed to acute decompensated HF (6.2%). Accompanied with markedly reduced AF burden (from median [25th, 75th percentile]: 100 [100, 100] to 0 [0, 1.2]%, p < 0.001), upward trajectories of cardiac function were observed in 51 (78.4%) patients, showing improvement in New York Heart Classification (p < 0.01), natriuretic peptide levels (from 1492 [809, 3259] to 413 [163, 880] pg/mL, p < 0.001) and left ventricular EF (from 42.6 ± 5.3 to 53.8 ± 8.2%, p < 0.001). During the 27-month follow-up period, death, thromboembolism, major bleeding, and HF rehospitalization were observed in three, one, one, and four patients, respectively. The observed event rates showed a significant reduction compared with the non-procedure AF-HF cohort (n = 138; for composite endpoint: hazard ratio: 2.509, 95% confidence interval: 1.415–4.449, p = 0.002) and with the respective rates predicted by risk scores. Conclusions: Combining RFCA and LAAC achieves acceptable safety and credible long-term efficacy in AF patients with systolic HF. Further randomized studies are warranted in a larger patient cohort. Full article
Show Figures

Figure 1

12 pages, 1814 KB  
Article
Effectiveness and Safety of an Outpatient Program for Percutaneous Left Atrial Appendage Occlusion
by Fabián Blanco-Fernández, Pablo J. Antúnez-Muiños, Jean C. Núñez-García, Sergio López-Tejero, Gilles J. Barreira-de Sousa, Mónica García-Monsalvo, Milena Antúnez-Ballesteros, Andrew Maree, David González-Calle, Javier Rodríguez-Collado, Manuel Barreiro-Pérez, Elena Díaz-Peláez, María C. Pérez del Villar-Moro, Pedro L. Sánchez-Fernández and Ignacio Cruz-González
J. Clin. Med. 2023, 12(21), 6728; https://doi.org/10.3390/jcm12216728 - 24 Oct 2023
Cited by 2 | Viewed by 1932
Abstract
Background: Left atrial appendage occlusion (LAAO) is a safe and effective alternative to oral anticoagulation for thromboprophylaxis in patients with nonvalvular atrial fibrillation. Technological development in devices and imaging techniques, as well as accumulated experience, have increased procedural success rates and decreased complications. [...] Read more.
Background: Left atrial appendage occlusion (LAAO) is a safe and effective alternative to oral anticoagulation for thromboprophylaxis in patients with nonvalvular atrial fibrillation. Technological development in devices and imaging techniques, as well as accumulated experience, have increased procedural success rates and decreased complications. Same-day discharge protocols have been proposed in the field of structural heart disease, but this approach has not been studied in detail for the LAAO procedure. Aim: The aim of this study is to assess the safety and efficacy of an outpatient program for LAAO when compared to the conventional treatment approach. Methods: We present a retrospective, non-randomized single-center study of 262 consecutive patients undergoing LAAO. Patients were divided into two groups, the first (n = 131) followed a conventional protocol (CP), and the second (n = 131) an outpatient protocol (OP). The primary composite endpoint comprised MACCE (death, stroke, and bleeding), cardiac tamponade, vascular complication, or attendance in the emergency department after hospital discharge at 30 days. Results: The overall success rate was 99.6%, with a periprocedural complication rate of 2.29%. With regards to the CP versus OP group, there were no differences between incidences of the primary composite endpoint (6.1% PC vs. 3.0% PA, p = 0.24), or after an analysis, with propensity score matching. No differences were observed in the individual endpoints. There was a decrease in hospital length of stay in the same-day discharge group (p < 0.01). Conclusions: A same-day discharge LAAO program is safe, effective, and feasible when compared to the conventional strategy. Moreover, it reduces hospital length of stay, which might have clinical and economic benefits. Full article
(This article belongs to the Section Cardiology)
Show Figures

Graphical abstract

9 pages, 752 KB  
Article
Anticoagulation Status and Left Atrial Appendage Occlusion Indications in Hospitalized Cardiology Patients with Atrial Fibrillation: A Hellenic Cardiorenal Morbidity Snapshot (HECMOS) Sub-Study
by Dimitris Tsiachris, Panteleimon E. Papakonstantinou, Ioannis Doundoulakis, Panagiotis Tsioufis, Michail Botis, Kyriakos Dimitriadis, Ioannis Leontsinis, Athanasios Kordalis, Christos-Konstantinos Antoniou, Emmanouil Mantzouranis, Panagiotis Iliakis, Panayotis K. Vlachakis, Konstantinos A. Gatzoulis and Konstantinos Tsioufis
Medicina 2023, 59(10), 1881; https://doi.org/10.3390/medicina59101881 - 23 Oct 2023
Cited by 1 | Viewed by 2536
Abstract
Background and Objectives: The proper use of oral anticoagulants is crucial in the management of non-valvular atrial fibrillation (AF) patients. Left atrial appendage closure (LAAC) may be considered for stroke prevention in patients with AF and contraindications for long-term anticoagulant treatment. We [...] Read more.
Background and Objectives: The proper use of oral anticoagulants is crucial in the management of non-valvular atrial fibrillation (AF) patients. Left atrial appendage closure (LAAC) may be considered for stroke prevention in patients with AF and contraindications for long-term anticoagulant treatment. We aimed to assess anticoagulation status and LAAC indications in patients with AF from the HECMOS (Hellenic Cardiorenal Morbidity Snapshot) survey. Materials and Methods: The HECMOS was a nationwide snapshot survey of cardiorenal morbidity in hospitalized cardiology patients. HECMOS used an electronic platform to collect demographic and clinically relevant information from all patients hospitalized on 3 March 2022 in 55 different cardiology departments. In this substudy, we included patients with known AF without mechanical prosthetic valves or moderate-to-severe mitral valve stenosis. Patients with prior stroke, previous major bleeding, poor adherence to anticoagulants, and end-stage renal disease were considered candidates for LAAC. Results: Two hundred fifty-six patients (mean age 76.6 ± 11.7, 148 males) were included in our analysis. Most of them (n = 159; 62%) suffered from persistent AF. The mean CHA2DS2-VASc score was 4.28 ± 1.7, while the mean HAS-BLED score was 1.47 ± 0.9. Three out of three patients with a a CHA2DS2-VASc score of 0 or 1 (female) were inappropriately anticoagulated. Sixteen out of eighteen patients with a CHA2DS2-VASc score 1 or 2 (if female) received anticoagulants. Thirty-one out of two hundred thirty-five patients with a CHA2DS2-VASc score > 1 or 2 (if female) were inappropriately not anticoagulated. Relative indications for LAAC were present in 68 patients with NVAF (63 had only one risk factor and 5 had two concurrent risk factors). In detail, 36 had a prior stroke, 17 patients had a history of major bleeding, 15 patients reported poor or no adherence to the anticoagulant therapy and 5 had an eGFR value < 15 mL/min/1.73 m2 for a total of 73 risk factors. Moreover, 33 had a HAS-BLED score ≥ 3. No LAAC treatment was recorded. Conclusions: Anticoagulation status was nearly optimal in a high-thromboembolic-risk population of cardiology patients who were mainly treated using NOACs. One out of four AF patients should be screened for LAAC. Full article
(This article belongs to the Section Cardiology)
Show Figures

Figure 1

Back to TopTop