Left Atrial Appendage Closure in Atrial Fibrillation Patients with Cancer
Abstract
1. Introduction
2. Materials and Methods
2.1. Recruitment and Procedure
2.2. Inclusion and Exclusion Criteria
2.3. Data Collection
2.4. Endpoints
2.5. Statistical Analysis
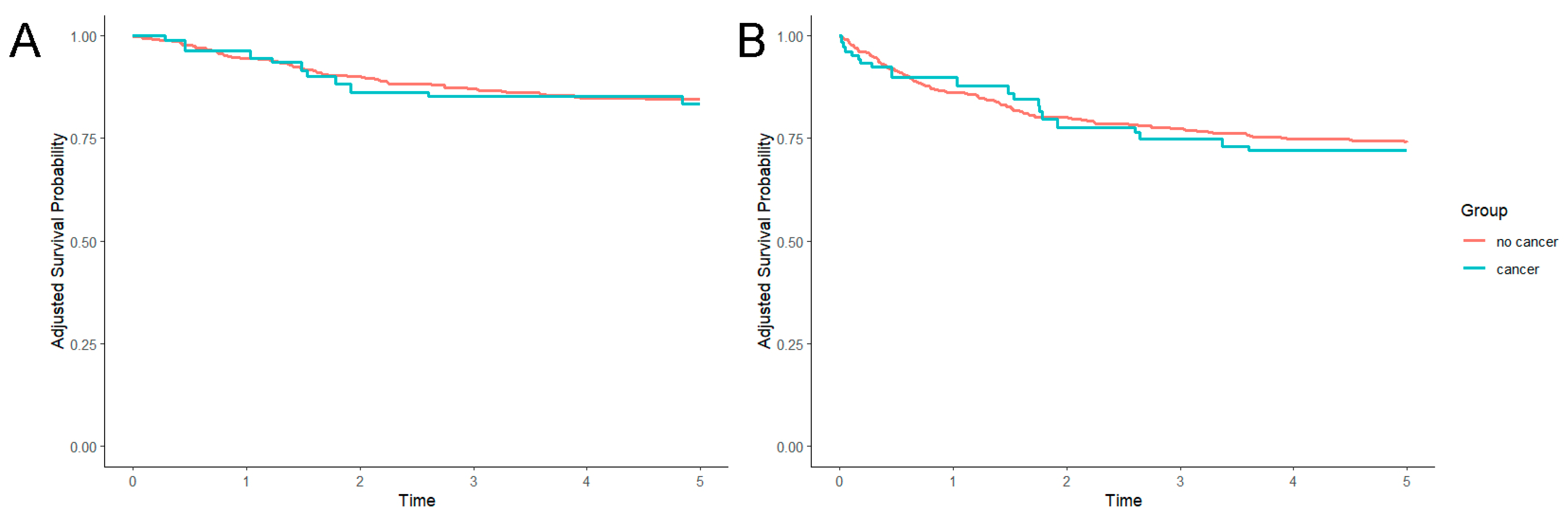
3. Results
3.1. Baseline Characteristics
3.2. Procedural Details and Outcome
4. Discussion
4.1. Gaps in Literature
4.2. Limitations
5. Conclusions
Author Contributions
Funding
Institutional Review Board Statement
Informed Consent Statement
Data Availability Statement
Acknowledgments
Conflicts of Interest
References
- Van Gelder, I.C.; Rienstra, M.; Bunting, K.V.; Casado-Arroyo, R.; Caso, V.; Crijns, H.; De Potter, T.J.R.; Dwight, J.; Guasti, L.; Hanke, T.; et al. 2024 ESC Guidelines for the management of atrial fibrillation developed in collaboration with the European Association for Cardio-Thoracic Surgery (EACTS). Eur. Heart J. 2024, 45, 3314. [Google Scholar] [CrossRef] [PubMed]
- Bang, O.Y.; Park, K.M.; Jeong, D.S. Occurrence of Ischemic Stroke in Patients with Atrial Fibrillation Receiving Non-Vitamin K Oral Anticoagulants: Causes and Prevention Strategies. J. Stroke 2023, 25, 199–213. [Google Scholar] [CrossRef] [PubMed]
- The Stroke Prevention in Atrial Fibrillation Investigators Committee on Echocardiography. Transesophageal echocardiographic correlates of thromboembolism in high-risk patients with nonvalvular atrial fibrillation. The Stroke Prevention in Atrial Fibrillation Investigators Committee on Echocardiography. Ann. Intern. Med. 1998, 128, 639–647. [Google Scholar] [CrossRef] [PubMed]
- Sievert, H.; Lesh, M.D.; Trepels, T.; Omran, H.; Bartorelli, A.; Della Bella, P.; Nakai, T.; Reisman, M.; DiMario, C.; Block, P.; et al. Percutaneous left atrial appendage transcatheter occlusion to prevent stroke in high-risk patients with atrial fibrillation: Early clinical experience. Circulation 2002, 105, 1887–1889. [Google Scholar] [CrossRef]
- Kumar, M.; Lopetegui-Lia, N.; Malouf, C.A.; Almnajam, M.; Coll, P.P.; Kim, A.S. Atrial fibrillation in older adults with cancer. J. Geriatr. Cardiol. JGC 2022, 19, 1–8. [Google Scholar] [CrossRef]
- Conen, D.; Wong, J.A.; Sandhu, R.K.; Cook, N.R.; Lee, I.M.; Buring, J.E.; Albert, C.M. Risk of Malignant Cancer Among Women with New-Onset Atrial Fibrillation. JAMA Cardiol. 2016, 1, 389–396. [Google Scholar] [CrossRef] [PubMed]
- Lyon, A.R.; Lopez-Fernandez, T.; Couch, L.S.; Asteggiano, R.; Aznar, M.C.; Bergler-Klein, J.; Boriani, G.; Cardinale, D.; Cordoba, R.; Cosyns, B.; et al. 2022 ESC Guidelines on cardio-oncology developed in collaboration with the European Hematology Association (EHA), the European Society for Therapeutic Radiology and Oncology (ESTRO) and the International Cardio-Oncology Society (IC-OS). Eur. Heart J. 2022, 43, 4229–4361. [Google Scholar] [CrossRef]
- Fradley, M.G.; Beckie, T.M.; Brown, S.A.; Cheng, R.K.; Dent, S.F.; Nohria, A.; Patton, K.K.; Singh, J.P.; Olshansky, B. Recognition, Prevention, and Management of Arrhythmias and Autonomic Disorders in Cardio-Oncology: A Scientific Statement From the American Heart Association. Circulation 2021, 144, e41–e55. [Google Scholar] [CrossRef]
- Leader, A.; Mendelson Cohen, N.; Afek, S.; Jaschek, R.; Frajman, A.; Itzhaki Ben Zadok, O.; Raanani, P.; Lishner, M.; Spectre, G. Arterial Thromboembolism in Patients with AF and CHA(2)DS(2)-VASc Score 0-2 with and Without Cancer. JACC Cardio Oncol. 2023, 5, 174–185. [Google Scholar] [CrossRef]
- Zweiker, D.; Fiedler, L.; Toth, G.G.; Strouhal, A.; Delle-Karth, G.; Stix, G.; Gabriel, H.; Binder, R.K.; Rammer, M.; Pfeffer, M.; et al. Not to Rush—Laboratory Parameters and Procedural Complications in Patients Undergoing Left Atrial Appendage Closure. J. Clin. Med. 2022, 11, 6548. [Google Scholar] [CrossRef]
- Zweiker, D.; Sieghartsleitner, R.; Fiedler, L.; Toth, G.G.; Luha, O.; Stix, G.; Gabriel, H.; Vock, P.; Lileg, B.; Strouhal, A.; et al. Indications and Outcome in Patients Undergoing Left Atrial Appendage Closure-The Austrian LAAC Registry. J. Clin. Med. 2020, 9, 3274. [Google Scholar] [CrossRef] [PubMed]
- Glikson, M.; Wolff, R.; Hindricks, G.; Mandrola, J.; Camm, A.J.; Lip, G.Y.H.; Fauchier, L.; Betts, T.R.; Lewalter, T.; Saw, J.; et al. EHRA/EAPCI expert consensus statement on catheter-based left atrial appendage occlusion—An update. EP Eur. 2020, 22, 184. [Google Scholar] [CrossRef]
- Sacco, R.L.; Kasner, S.E.; Broderick, J.P.; Caplan, L.R.; Connors, J.J.; Culebras, A.; Elkind, M.S.; George, M.G.; Hamdan, A.D.; Higashida, R.T.; et al. An updated definition of stroke for the 21st century: A statement for healthcare professionals from the American Heart Association/American Stroke Association. Stroke 2013, 44, 2064–2089. [Google Scholar] [CrossRef] [PubMed]
- Mehran, R.; Rao, S.V.; Bhatt, D.L.; Gibson, C.M.; Caixeta, A.; Eikelboom, J.; Kaul, S.; Wiviott, S.D.; Menon, V.; Nikolsky, E.; et al. Standardized bleeding definitions for cardiovascular clinical trials: A consensus report from the Bleeding Academic Research Consortium. Circulation 2011, 123, 2736–2747. [Google Scholar] [CrossRef] [PubMed]
- Jakobsen, C.B.; Lamberts, M.; Carlson, N.; Lock-Hansen, M.; Torp-Pedersen, C.; Gislason, G.H.; Schou, M. Incidence of atrial fibrillation in different major cancer subtypes: A Nationwide population-based 12 year follow up study. BMC Cancer 2019, 19, 1105. [Google Scholar] [CrossRef]
- White, M.C.; Holman, D.M.; Boehm, J.E.; Peipins, L.A.; Grossman, M.; Henley, S.J. Age and cancer risk: A potentially modifiable relationship. Am. J. Prev. Med. 2014, 46, S7–S15. [Google Scholar] [CrossRef]
- Shabtaie, S.A.; Tan, N.Y.; Ward, R.C.; Lewis, B.R.; Yang, E.H.; Holmes, D.R.; Herrmann, J. Left Atrial Appendage Occlusion in Patients with Atrial Fibrillation and Cancer. JACC Cardio Oncol. 2023, 5, 203–212. [Google Scholar] [CrossRef]
- Agarwal, S.; Guha, A.; Munir, M.B.; DeSimone, C.V.; Deshmukh, A.; Asad, Z.U.A. Outcomes of patients with cancer undergoing percutaneous left atrial appendage occlusion. J. Interv. Card. Electrophysiol. 2023, 66, 1791–1794. [Google Scholar] [CrossRef]
- Isogai, T.; Saad, A.M.; Abushouk, A.I.; Shekhar, S.; Kuroda, S.; Gad, M.M.; Wazni, O.M.; Krishnaswamy, A.; Kapadia, S.R. Procedural and Short-Term Outcomes of Percutaneous Left Atrial Appendage Closure in Patients with Cancer. Am. J. Cardiol. 2021, 141, 154–157. [Google Scholar] [CrossRef]
- Guha, A.; Fradley, M.G.; Dent, S.F.; Weintraub, N.L.; Lustberg, M.B.; Alonso, A.; Addison, D. Incidence, risk factors, and mortality of atrial fibrillation in breast cancer: A SEER-Medicare analysis. Eur. Heart J. 2022, 43, 300–312. [Google Scholar] [CrossRef]
- Kumar, S.; Yoon, S.; Milioglou, I.; Tashtish, N.; Farmakis, I.; Dallan, L.A.P.; Mogalapalli, A.; Arruda, M.; Filby, S.J. Left Atrial Appendage Closure Outcomes in Patients with Cancer at a Single Tertiary Center. Am. J. Cardiol. 2023, 202, 176–181. [Google Scholar] [CrossRef] [PubMed]

| Parameter | Total Population (n = 486) | Patients with Cancer (n = 57) | Other Patients (n = 429) | p Value |
|---|---|---|---|---|
| Baseline demographics | ||||
| female gender | 35.8% (n = 174) | 33.3% (n = 19) | 36.1% (n = 155) | 0.769 |
| age (years) | 75 (70–79) | 78 (74–81) | 75 (70–79) | <0.001 |
| body mass index (kg/m2) | 27 (24–30) | 28 (25–31) | 27 (24–30) | 0.120 |
| body surface area (m2) | 1.92 ± 0.20 | 1.94 ± 0.22 | 1.92 ± 0.20 | 0.490 |
| Comorbidities | ||||
| CHA2DS2-VASc score | 5 (3–5) | 4 (4–6) | 5 (3–5) | 0.415 |
| CHA2DS2-VA score | 4 (3–5) | 4 (3–5) | 4 (3–5) | 0.248 |
| HAS-BLED score | 3 (3–4) | 4 (3–4) | 3 (3–4) | 0.428 |
| arterial hypertension | 88.9% (n = 432) | 93.0% (n = 53) | 88.3% (n = 379) | 0.374 |
| diabetes mellitus | 28.4% (n = 138) | 22.8% (n = 13) | 29.1% (n = 125) | 0.352 |
| congestive heart failure | 26.5% (n = 129) | 31.6% (n = 18) | 25.9% (n = 111) | 0.424 |
| stroke or TIA | 42.4% (n = 206) | 38.6% (n = 22) | 42.9% (n = 184) | 0.570 |
| ischemic stroke | 25.9% (n = 126) | 19.3% (n = 11) | 26.8% (n = 115) | 0.203 |
| haemorrhagic stroke | 25.1% (n = 122) | 12.3% (n = 7) | 26.8% (n = 115) | 0.021 |
| intracerebral bleeding | 20.8% (n = 101) | 14.0% (n = 8) | 21.7% (n = 93) | 0.225 |
| subarachnoid bleeding | 3.7% (n = 18) | 0% (n = 0) | 4.2% (n = 18) | 0.248 |
| subdural bleeding | 4.9% (n = 24) | 1.8% (n = 1) | 5.4% (n = 23) | 0.341 |
| epidural bleeding | 1.0% (n = 5) | 1.8% (n = 1) | 0.9% (n = 4) | 0.460 |
| gastrointestinal bleeding | 38.3% (n = 186) | 52.6% (n = 30) | 36.4% (n = 156) | 0.020 |
| lower gastrointestinal tract | 27.4% (n = 133) | 42.1% (n = 24) | 25.4% (n = 109) | 0.011 |
| upper gastrointestinal tract | 22.8% (n = 111) | 31.6% (n = 18) | 21.7% (n = 93) | 0.129 |
| chronic kidney disease | 22.0% (n = 107) | 26.3% (n = 15) | 21.4% (n = 92) | 0.398 |
| dialysis | 1.9% (n = 9) | 0% (n = 0) | 2.1% (n = 9) | 0.608 |
| chronic liver disease | 5.4% (n = 22) | 10.7% (n = 3) | 5% (n = 19) | 0.188 |
| anaemia | 41.8% (n = 282) | 59.6% (n = 34) | 39.4% (n = 169) | 0.009 |
| prior blood transfusion | 34.6% (n = 168) | 43.9% (n = 25) | 33.3% (n = 143) | 0.098 |
| coronary artery disease | 40.7% (n = 198) | 47.4% (n = 27) | 39.9% (n = 171) | 0.316 |
| cerebral artery disease | 12.8% (n = 62) | 12.3% (n = 7) | 12.8% (n = 55) | 1.000 |
| periphery artery disease | 10.5% (n = 51) | 12.3% (n = 7) | 10.3% (n = 44) | 0.645 |
| chronic obstructive pulmonary disease | 12.6% (n = 61) | 14.0% (n = 8) | 12.4% (n = 53) | 0.673 |
| paroxysmal AF | 34.0% (n = 165) | 22.8% (n = 13) | 35.4% (n = 152) | 0.073 |
| vascular malformation | 0.091 | |||
| lower gastrointestinal tract | 5.6% (n = 27) | 8.8% (n = 5) | 5.1% (n = 22) | |
| upper gastrointestinal tract | 4.7% (n = 23) | 3.5% (n = 2) | 4.9% (n = 21) | |
| cerebral | 4.7% (n = 23) | 3.5% (n = 2) | 4.9% (n = 21) | |
| other | 0.4% (n = 2) | 1.8% (n = 1) | 0.2% (n = 1) | |
| prior acute coronary syndrome | 11.9% (n = 58) | 14.0% (n = 8) | 11.7% (n = 50) | 0.663 |
| prior pulmonary embolism | 2.1% (n = 10) | 3.5% (n = 2) | 1.9% (n = 8) | 0.331 |
| prior peripheral embolism | 1.9% (n = 9) | 1.8% (n = 1) | 1.9% (n = 8) | 1.000 |
| echocardiography | ||||
| LVEF | 0.592 | |||
| normal | 74.1% (n = 361) | 70.2% (n = 40) | 74.6% (n = 321) | |
| 35–50% | 19.3% (n = 94) | 21.1% (n = 12) | 19.1% (n = 82) | |
| <35% | 6.4% (n = 31) | 8.8% (n = 5) | 6.1% (n = 26) | |
| severe aortic stenosis | 1.0% (n = 5) | 3.5% (n = 2) | 0.7% (n = 3) | 0.107 |
| severe mitral regurgitation | 6.0% (n = 29) | 10.5% (n = 6) | 5.4% (n = 23) | 0.134 |
| severe tricuspid regurgitation | 5.6% (n = 27) | 3.5% (n = 2) | 5.8% (n = 25) | 0.757 |
| laboratory | ||||
| erythrocytes (T/L) | 4.26 ± 0.69 | 4.15 ± 0.72 | 4.28 ± 0.68 | 0.230 |
| haemoglobin (g/dL) | 12.5 (10.9–14.0) | 12.5 (10.8–13.6) | 12.7 (10.9–14.1) | 0.436 |
| haematocrit (%) | 37 (33–42) | 37 (34–41) | 38 (33–42) | 0.910 |
| platelets (G/L) | 217 (173–261) | 211 (167–234) | 218 (174–264) | 0.122 |
| NT-ProBNP (ng/L) | 907 (404–2104) | 1421 (748–3610) | 829 (361–2041) | 0.022 |
| creatinine (mg/dL) | 1.10 (0.90–1.41) | 1.10 (0.95–1.61) | 1.10 (0.90–1.40) | 0.440 |
| eGFR (ml/min/1.73 m2) | 74.8 (67.8–81.4) | 73.1 (62.9–80.8) | 75.0 (68.0–81.5) | 0.216 |
| ASAT (U/L) | 24 (20–30) | 26 (22–30) | 24 (19–30) | 0.279 |
| ALAT (U/L) | 20 (15–28) | 18 (15–25) | 20 (15–28) | 0.383 |
| INR | 1.1 (1.0–1.2) | 1.1 (1.0–1.2) | 1.1 (1.0–1.2) | 0.708 |
| aPTT (sec) | 35 (31–40) | 34 (30–41) | 35 (31–40) | 0.488 |
| albumine (g/L) | 41 (36–44) | 44 (43–45) | 41 (36–44) | 0.103 |
| total protein (g/L) | 71 (66–74) | 72 (69–75) | 70 (65–74) | 0.304 |
| total cholesterol (mg/dL) | 152 (122–185) | 158 (121–181) | 151 (122–186) | 0.655 |
| LDL (mg/dL) | 86 (62–110) | 91 (67–107) | 85 (62–113) | 0.905 |
| triglycerides (mg/dL) | 98 (73–141) | 98 (72–128) | 98 (73–143) | 0.443 |
| Indication for LAAC | ||||
| indication group | 0.669 | |||
| bleeding | 68.1% (n = 331) | 66.7% (n = 38) | 68.3% (n = 293) | |
| other | 22.0% (n = 108) | 26.3% (n = 15) | 21.4% (n = 92) | |
| thromboembolism | 9.7% (n = 47) | 7% (n = 4) | 10% (n = 43)) | |
| primary indication for LAAC | 0.214 | |||
| gastrointestinal bleeding | 33.5% (n = 163) | 43.9% (n = 25) | 32.2% (n = 138) | |
| intracranial Bleeding | 26.3% (n = 128) | 15.8% (n = 9) | 27.7% (n = 119) | |
| bleeding under OAC | 6.6% (n = 32) | 7% (n = 4) | 6.5% (n = 28) | |
| stroke | 6.2% (n = 30) | 3.5% (n = 2) | 6.5% (n = 28) | |
| other | 4.5% (n = 22) | 1.8% (n = 1) | 4.9% (n = 21) | |
| anaemia | 3.7% (n = 18) | 8.8% (n = 5) | 3% (n = 13) | |
| predisposition for bleeding | 3.7% (n = 18) | 7% (n = 4) | 3.3% (n = 14) | |
| other contraindication for OAC | 3.5% (n = 17) | 5.3% (n = 3) | 3.3% (n = 14) | |
| embolism despite OAC | 3.5% (n = 17) | 3.5% (n = 2) | 3.5% (n = 15) | |
| OAC intolerance | 2.9% (n = 14) | 0% (n = 0) | 3.3% (n = 14) | |
| patient preference | 2.1% (n = 10) | 1.8% (n = 1) | 2.1% (n = 9) | |
| epistaxis | 1.6% (n = 8) | 0% (n = 0) | 1.9% (n = 8) | |
| requirement for triple therapy | 1.6% (n = 8) | 1.8% (n = 1) | 1.6% (n = 7) | |
| dialysis | 0.2% (n = 1) | 0% (n = 0) | 0.2% (n = 1) | |
| contraindication for OAC | 18.7% (n = 91) | 19.3% (n = 11) | 18.6% (n = 80) | 0.858 |
| cancer-related LAAC indication | 1.6% (n = 8) | 14.0% (n = 8) | N/A | N/A |
| device | 0.742 | |||
| Amplatzer | 57.8% (n = 281) | 61.4% (n = 35) | 57.3% (n = 246) | |
| Watchman | 41.6% (n = 202) | 38.6% (n = 22) | 42% (n = 180) | |
| LAmbre | 0.4% (n = 2) | 0% (n = 0) | 0.5% (n = 2) | |
| isolated procedure | 90.9% (n = 442) | 87.7% (n = 50) | 91.4% (n = 392) | 0.099 |
| Parameter | Patients with Cancer |
|---|---|
| active cancer | 14.0% (n = 8) |
| in remission | 86.0% (n = 49) |
| complications affecting daily clinical life * | 21.1% (n = 12) |
| spread | |
| localised | 96.5% (n = 55) |
| metastatic | 3.5% (n = 2) |
| metastatic cancer | 3.5% (n = 2) |
| Origin | |
| urologic/gynaecologic | 50.9% |
| prostate | 28.1% |
| kidney | 8.8% |
| bladder | 5.3% |
| uterus | 5.3% |
| seminoma | 1.8% |
| vulva | 1.8% |
| gastrointestinal | 24.6% |
| colorectal | 19.3% |
| gastroduodenal | 3.5% |
| tongue | 1.8% |
| breast | 14.0% |
| skin | 10.5% |
| basalioma | 7.0% |
| melanoma | 3.5% |
| haematologic | 5.3% |
| B cell lymphoma | 3.5% |
| myelodysplastic syndrome | 1.8% |
| thyroid | 3.5% |
| lung | 1.8% |
| Cancer therapy | |
| surgery | 83.7% |
| radiotherapy | 68.3% |
| active radiotherapy at time of LAAC | 2.4% |
| chemotherapy | 16.7% |
| active chemotherapy at time of LAAC | 4.8% |
| hormone therapy | 4.8% |
| Indication for LAAC | |
| cancer-related indication | 14.0% |
| bleeding due to radiotherapy induced proctitis | 8.7% |
| haematuria due to kidney or bladder cancer | 3.5% |
| bleeding due to gastrointestinal stromal tumour | 1.8% |
| Parameter | Patients with Cancer | Other Patients | p Value |
|---|---|---|---|
| fluoroscopy time (min) | 15 (12–20) | 15 (10–22) | 0.970 |
| dose area product (µGym2) | 4795 (1857–8651) | 3868 (1325–8443) | 0.208 |
| contrast medium (mL) | 95 (61–120) | 97(65–135) | 0.598 |
| procedure duration (min) | 63 (51–86) | 61 (50–88) | 0.851 |
| successful deployment of LAAC device | 94.7% (n = 54) | 97.0% (n = 416) | 0.418 |
| prolonged post-procedural stay (>2 nights) | 35.1% (n = 20) | 26.6% (n = 114) | 0.276 |
| Procedural complications | 5.3% (n = 3) | 7.0% (n = 30) | 0.785 |
| pericardial tamponade | 1.8% (n = 1) | 1.9% (n = 8) | 1.000 |
| access site complications | 0% (n = 0) | 2.9% (n = 12) | 0.565 |
| requiring surgery | 0% (n = 0) | 1.9% (n = 8) | |
| requiring thrombin injection | 0% (n = 0) | 0.7% (n = 3) | |
| requiring angioseal | 0% (n = 0) | 0.2% (n = 1) | |
| stroke | 1.8% (n = 1) | 1.2% (n = 5) | 1.000 |
| death | 0% (n = 0) | 0.5% (n = 2) | 1.000 |
| heart surgery | 0% (n = 0) | 0.5% (n = 2) | 1.000 |
| interventional retrieval of dislocated LAAC device | 0% (n = 0) | 0.5% (n = 2) | 1.000 |
| cardiopulmonary resuscitation | 0% (n = 0) | 0.5% (n = 2) | 1.000 |
| device embolization | 0% (n = 0) | 0.5% (n = 2) | 1.000 |
| Long-term follow-up | |||
| cumulative one-year survival | 96.1% | 94.0% | 0.582 |
| cumulative five-year survival | 80.7% | 84.8% | 0.412 |
| cumulative 5-year event or death rate | 35.1% | 25.6% | 0.124 |
| device thrombus formation | 5.3% | 6.1% | |
| stroke | 0.0% | 2.8% | |
| bleeding | 17.5% | 9.1% | |
| LAAC associated hospitalisation | 0.0% | 1.2% |
Disclaimer/Publisher’s Note: The statements, opinions and data contained in all publications are solely those of the individual author(s) and contributor(s) and not of MDPI and/or the editor(s). MDPI and/or the editor(s) disclaim responsibility for any injury to people or property resulting from any ideas, methods, instructions or products referred to in the content. |
© 2024 by the authors. Licensee MDPI, Basel, Switzerland. This article is an open access article distributed under the terms and conditions of the Creative Commons Attribution (CC BY) license (https://creativecommons.org/licenses/by/4.0/).
Share and Cite
Zweiker, D.; Bergler-Klein, J.; Fiedler, L.; Toth, G.G.; Achleitner, R.; Schratter, A.; Stix, G.; Gabriel, H.; Binder, R.K.; Rammer, M.; et al. Left Atrial Appendage Closure in Atrial Fibrillation Patients with Cancer. J. Clin. Med. 2024, 13, 6514. https://doi.org/10.3390/jcm13216514
Zweiker D, Bergler-Klein J, Fiedler L, Toth GG, Achleitner R, Schratter A, Stix G, Gabriel H, Binder RK, Rammer M, et al. Left Atrial Appendage Closure in Atrial Fibrillation Patients with Cancer. Journal of Clinical Medicine. 2024; 13(21):6514. https://doi.org/10.3390/jcm13216514
Chicago/Turabian StyleZweiker, David, Jutta Bergler-Klein, Lukas Fiedler, Gabor G. Toth, Reinhard Achleitner, Alexandra Schratter, Guenter Stix, Harald Gabriel, Ronald K. Binder, Martin Rammer, and et al. 2024. "Left Atrial Appendage Closure in Atrial Fibrillation Patients with Cancer" Journal of Clinical Medicine 13, no. 21: 6514. https://doi.org/10.3390/jcm13216514
APA StyleZweiker, D., Bergler-Klein, J., Fiedler, L., Toth, G. G., Achleitner, R., Schratter, A., Stix, G., Gabriel, H., Binder, R. K., Rammer, M., Pfeffer, M., Vock, P., Lileg, B., Steinwender, C., Sihorsch, K., Hintringer, F., Adukauskaite, A., Martinek, M., Sturmberger, T., ... Scherr, D. (2024). Left Atrial Appendage Closure in Atrial Fibrillation Patients with Cancer. Journal of Clinical Medicine, 13(21), 6514. https://doi.org/10.3390/jcm13216514

