Sign in to use this feature.

Years

Between: -

Subjects

remove_circle_outline
remove_circle_outline
remove_circle_outline
remove_circle_outline
remove_circle_outline
remove_circle_outline
remove_circle_outline
remove_circle_outline
remove_circle_outline

Journals

remove_circle_outline
remove_circle_outline
remove_circle_outline
remove_circle_outline
remove_circle_outline
remove_circle_outline
remove_circle_outline
remove_circle_outline
remove_circle_outline
remove_circle_outline
remove_circle_outline
remove_circle_outline
remove_circle_outline
remove_circle_outline
remove_circle_outline
remove_circle_outline
remove_circle_outline
remove_circle_outline
remove_circle_outline
remove_circle_outline
remove_circle_outline
remove_circle_outline
remove_circle_outline

Article Types

Countries / Regions

remove_circle_outline
remove_circle_outline
remove_circle_outline
remove_circle_outline
remove_circle_outline
remove_circle_outline
remove_circle_outline

Search Results (2,846)

Search Parameters:
Keywords = L-Band

Order results
Result details
Results per page
Select all
Export citation of selected articles as:
23 pages, 5556 KB  
Article
Mycoendophytic-Derived Green Resveratrol-Conjugated Silver Nanoparticles Inhibit the Proliferation of Human Epidermoid Carcinoma A-431 Cells
by Amal A. Al Mousa, Mohamed E. Abouelela, Ahmed A. El-Shenawy, M. A. Abo-Kadoum, Adel Eltoukhy, Youssef Abo-Dahab, Rasha M. Allam, Nageh F. Abo-Dahab, Abdallah M. A. Hassane and Mohamed S. Refaey
Pharmaceuticals 2026, 19(5), 656; https://doi.org/10.3390/ph19050656 (registering DOI) - 22 Apr 2026
Abstract
Background/Objectives: Endophytic fungi represent an alternative source for resveratrol (RES) production. The present study aims to utilize mycoendophytic-derived resveratrol as a reducing agent for the synthesis of silver nanoparticles (AgNPs), in addition to further assay the cytotoxic activity of a RES-conjugated nanocarrier [...] Read more.
Background/Objectives: Endophytic fungi represent an alternative source for resveratrol (RES) production. The present study aims to utilize mycoendophytic-derived resveratrol as a reducing agent for the synthesis of silver nanoparticles (AgNPs), in addition to further assay the cytotoxic activity of a RES-conjugated nanocarrier system toward human epidermoid carcinoma A-431 cells. Methods: Alternaria alternata AUMC 16209 was isolated from the stem of grapevine Vitis vinifera L. cultivar prime. Strain identification was achieved through morphological and molecular characterization using ITS sequencing. A. alternata AUMC 16209 exhibited RES production capability upon cultivation on PDB medium for seven days with a total of 8.25 mg/L as determined by HPLC. The crude RES was purified using flash chromatography followed by structure elucidation through 1H and 13C NMR analyses. The purified RES was used for green synthesis of nanoparticles, acting as a reducing agent for silver ions. Results: Stable RES-AgNPs were fabricated at particle sizes ranging from 25 to 47 nm. RES-AgNPs observed a plasmon resonance absorption band at 415 nm with a negative zeta potential value of −38.5 mV. The crystalline structure of RES-AgNPs was addressed through X-ray diffraction analysis. FT-IR spectroscopy confirms the involvement of the functional –OH group and the aromatic C=C bond in the reduction and stabilization process. RES-AgNPs was more efficient to inhibit the cellular proliferation of human epidermoid carcinoma A-431 cells compared to RES alone. Conclusions: This report introduces for the first time an endophytic A. alternata as a sustainable source for RES production and emphasizes its potential for green synthesis of stable AgNPs with promising cytotoxic activity. Full article
(This article belongs to the Section Natural Products)
21 pages, 5355 KB  
Article
Flunarizine-Loaded Hydrogels: A Novel Formulation and Physicochemical Characterization
by Camelia Daniela Ionaș, Dorinel Okolišan, Camelia Epuran, Ion Frățilescu, Gabriela Vlase, Alexandru Pahomi, Raul Ștefan-Pantiș, Mihaela Maria Budiul, Mădălina Grădinaru and Titus Vlase
Polymers 2026, 18(9), 1014; https://doi.org/10.3390/polym18091014 (registering DOI) - 22 Apr 2026
Abstract
Flunarizine is a calcium channel blocker widely used in neurological disorders; however, its low aqueous solubility may influence formulation stability and drug dispersion in polymer-based systems. The present study aimed to evaluate the compatibility of flunarizine with selected excipients and to investigate its [...] Read more.
Flunarizine is a calcium channel blocker widely used in neurological disorders; however, its low aqueous solubility may influence formulation stability and drug dispersion in polymer-based systems. The present study aimed to evaluate the compatibility of flunarizine with selected excipients and to investigate its incorporation into polymeric hydrogel matrices. Binary mixtures of flunarizine with excipients such as hydroxypropyl-β-cyclodextrin, polyethylene glycol (PEG 6000), Tween 20, gelatin, and citric acid were prepared and characterized using Fourier-transform infrared spectroscopy (FTIR), thermogravimetric analysis (TG/DTG), and high-performance liquid chromatography (HPLC). The FTIR spectra of the analyzed samples do not reveal the appearance of new absorption bands that may indicate chemical interactions; instead, minor spectral variations were observed due to weak intermolecular interactions within the polymer network. Thermal analysis revealed decomposition patterns consistent with those of the individual components, suggesting the absence of significant incompatibilities. A validated RP-HPLC method enabled sensitive and reliable quantification of flunarizine in the analyzed systems, with a limit of detection (LOD) of 0.05 µg/mL and a limit of quantitation (LOQ) of 0.16 µg/mL. Accuracy testing showed average recovery rates of 100% across 80–120% spiking levels. Overall, the results support the compatibility of flunarizine with the investigated excipients and the suitability of the studied hydrogels as potential drug delivery matrices. Full article
(This article belongs to the Special Issue Polymers and Their Role in Drug Delivery, 3rd Edition)
Show Figures

Figure 1

33 pages, 2532 KB  
Article
Antibacterial Activity and Photocatalytic Properties of Zinc Oxide Nanoparticles Biosynthesized Using Licania tomentosa Leaf Extract: Optimization and Kinetic Studies
by Moudo Thiam, Vanessa O. Arnoldi Pellegrini, Ruth Celestina Condori Mamani, Fernanda Cassieri, Haryne Lizandrey Azevedo Furtado, Michael Santos Ribeiro, Aruanã Joaquim Matheus Costa Rodrigues Pinheiro, Luís Cláudio Nascimento da Silva, Balla D. Ngom, Mario de Oliveira and Igor Polikarpov
Processes 2026, 14(9), 1334; https://doi.org/10.3390/pr14091334 (registering DOI) - 22 Apr 2026
Abstract
Licania tomentosa leaf extract was used to synthesize zinc oxide nanoparticles (ZnO NPs) which were systematically analyzed by X-ray diffraction (XRD), scanning electron microscopy (SEM), UV-Visible (UV-Vis) and Fourier transform infrared (FT-IR) spectroscopies and energy-dispersion X-ray spectroscopy (EDS) methods. Based on XRD scans, [...] Read more.
Licania tomentosa leaf extract was used to synthesize zinc oxide nanoparticles (ZnO NPs) which were systematically analyzed by X-ray diffraction (XRD), scanning electron microscopy (SEM), UV-Visible (UV-Vis) and Fourier transform infrared (FT-IR) spectroscopies and energy-dispersion X-ray spectroscopy (EDS) methods. Based on XRD scans, the green NPs have an average crystallite size of 15.9 nm as estimated using the Scherrer equation and have a roughly spherical shape with an average diameter of 25.15 ± 1.2 nm as calculated from SEM data. As estimated from the Tauc plot based on UV-Vis absorption spectra, ZnO NPs have a small band gap of 3.0 eV. The biosynthesized ZnO NPs were effectively utilized for the photodegradation of methylene blue (MB) and crystal violet (CV) dyes under UV illumination with resulting MB and CV degradation efficiencies of ~94% and ~81% after 60 min and 70 min, with pH = 12 and pH = 10, respectively. Different experimental parameters such as NPs quantity, experimental pH, light intensity and initial concentration of dyes were varied to test the performance of the catalyst. Furthermore, efficient recycling of the catalyst was demonstrated. We also undertook antimicrobial studies of the green ZnO NPs. The ZnO NPs demonstrated broad-spectrum antimicrobial efficacy against Escherichia coli ATCC 35218, Enterococcus faecalis ATCC 29737, Klebsiella pneumoniae ATCC 700603, Pseudomonas aeruginosa ATCC 27853, P. aeruginosa B3, Staphylococcus aureus ATCC 29213, and S. aureus SA01, with the minimum inhibitory concentration (MIC) and the inhibitory concentrations associated with 50% effect (IC50) values ranging from 250 to 2000 µg/mL and 7.74 to 283.14 µg/mL, respectively. The nanoparticles also significantly inhibited biofilm formation by E. faecalis ATCC 29737, P. aeruginosa ATCC 27856, and S. aureus SA03. The antimicrobial efficiency of the ZnO NPs against Escherichia coli ATCC 25922 and Staphylococcus aureus SA03 isolates was also assessed using the disk diffusion assays. Taken together, our results reveal that the biosynthesized ZnO NPs are promising multifunctional materials with potential applications in antimicrobial treatments, biofilm control, and photocatalytic remediation. Full article
(This article belongs to the Special Issue Synthesis and Applications of Nanomaterials)
18 pages, 9764 KB  
Article
Enhanced GNSS Testbed with Realistic C/N0 Generation and Estimation Capability
by Yongtaek Hwang, Jiwoo Hwang, Jaeo Song, Dohun Kim, Kyoduk Ku, Jae-Young Park, Sung-Chun Bu, Jae-Wook Lim and Hoyoung Yoo
Electronics 2026, 15(9), 1772; https://doi.org/10.3390/electronics15091772 (registering DOI) - 22 Apr 2026
Abstract
Global Navigation Satellite Systems (GNSSs) provide essential position, velocity, and time (PVT) information worldwide. Accurate evaluation of GNSS signals and receiver performance requires realistic simulation environments, particularly for the carrier-to-noise-density ratio (C/N0), a critical indicator reflecting signal quality dependent on satellite [...] Read more.
Global Navigation Satellite Systems (GNSSs) provide essential position, velocity, and time (PVT) information worldwide. Accurate evaluation of GNSS signals and receiver performance requires realistic simulation environments, particularly for the carrier-to-noise-density ratio (C/N0), a critical indicator reflecting signal quality dependent on satellite elevation angles. This paper presents the development of a GNSS testbed specifically designed to simulate and estimate C/N0 values, focusing on GPS L1 C/A signals. The proposed testbed comprises three main components, a satellite simulator that controls signal power accurately according to satellite elevation angles, an up-/down-converter for RF/IF band conversion, and a signal receiver that estimates C/N0 using the Narrowband–Wideband Power Ratio (NWPR) method. The performance of the proposed testbed was evaluated under four scenarios, namely static, dynamic, jamming, and real-signal. In the static scenario, the proposed system achieved a maximum C/N0 estimation RMSE of 0.60 dB-Hz for satellites with elevation angles above 30° and 1.63 dB-Hz for those below 30°. In the dynamic scenario, the corresponding RMSE values were 0.68 dB-Hz and 0.86 dB-Hz, whereas under jamming conditions they increased to 2.08 dB-Hz and 2.12 dB-Hz, respectively. Furthermore, in the real-signal scenario, the C/N0 values estimated by the proposed testbed exhibited trends consistent with those reported by a commercial u-blox receiver processing the same live-sky signals, thereby confirming its reliability under actual GNSS reception conditions. These results demonstrate that the proposed GNSS testbed enables reliable C/N0 simulation and estimation for GNSS receiver performance evaluation. Full article
Show Figures

Figure 1

20 pages, 4550 KB  
Article
Performance Analysis of SOA and BPF Integration for S-, C-, and L-Band Photonic UWB Pulse Generation
by Meryem Filiz and Ömer Galip Saraçoğlu
Photonics 2026, 13(5), 402; https://doi.org/10.3390/photonics13050402 - 22 Apr 2026
Abstract
In this study, a simulation-based investigation of the variations of the bit error rate (BER) and the maximum quality factor are presented for short- (S-), conventional- (C-), and long- (L-) band wavelengths in a photonic ultra-wideband (UWB) circuit using a semiconductor optical amplifier [...] Read more.
In this study, a simulation-based investigation of the variations of the bit error rate (BER) and the maximum quality factor are presented for short- (S-), conventional- (C-), and long- (L-) band wavelengths in a photonic ultra-wideband (UWB) circuit using a semiconductor optical amplifier (SOA) with different bias currents and a bandpass filter (BPF). Gaussian quadruplet UWB pulses are generated at the S-, C-, and L-band wavelengths, which are commonly used in fiber transmission lines. An analysis of the temporal and spectral features of the generated pulses is carried out. The highest maximum quality factor and the lowest minimum BER are obtained in the C-band at an SOA bias current of 150 mA. This study simultaneously investigates both UWB pulse generation and transmission performance. The proposed circuit has a simple design and high applicability, as it employs a SOA, a Gaussian optical filter, a low-pass filter (LPF) and a single BPF. Full article
(This article belongs to the Special Issue Advanced Optical Fiber Communication)
Show Figures

Figure 1

19 pages, 5438 KB  
Article
Chlorophyll-a Retrieval in Turbid Inland Waters Using BC-1A Multispectral Observations: A Case Study of Taihu Lake
by Wen Jiang, Qiyun Guo, Chen Cao and Shijie Liu
Sensors 2026, 26(8), 2535; https://doi.org/10.3390/s26082535 - 20 Apr 2026
Abstract
Turbid Class II inland waters such as Taihu Lake exhibit a “spectral uplift” effect driven by suspended particulate matter (SPM) scattering and colored dissolved organic matter (CDOM) absorption, which can obscure chlorophyll-a (Chl-a) signals in the visible–red-edge region and challenge retrieval under small-sample, [...] Read more.
Turbid Class II inland waters such as Taihu Lake exhibit a “spectral uplift” effect driven by suspended particulate matter (SPM) scattering and colored dissolved organic matter (CDOM) absorption, which can obscure chlorophyll-a (Chl-a) signals in the visible–red-edge region and challenge retrieval under small-sample, collinear feature settings. Using multispectral observations from the BC-1A satellite (carrying the Lightweight Hyperspectral Remote Sensing Imager, LHRSI) and synchronous satellite–ground in situ measurements acquired over Taihu Lake in late autumn, this study proposes Chl-a-oriented PCA–RF (COP-RF), a leakage-safe inversion framework integrating correlation screening, principal component analysis (PCA), and random forest (RF) regression. Candidate band-combination features are generated, and PCA is applied for orthogonal compression to mitigate collinearity before RF learning. A stratified five-fold cross-validation based on Chl-a quantile bins is adopted, with screening, standardization, and PCA fitted only on training folds. COP-RF achieves stable performance under the current dataset (R2=0.671, RMSE =1.80μg/L, MAE =1.25μg/L). Spatial inversion shows higher Chl-a near shores and bays and lower values in the lake center, consistent with Sentinel-2 hotspot ranks. Full article
(This article belongs to the Section Remote Sensors)
Show Figures

Figure 1

22 pages, 943 KB  
Article
Two-Step Engineering of Food-Grade Aspergillus oryzae via Endogenous Signal Peptides and Vesicle Trafficking Proteins to Enhance Carrier-Free Protein Secretion
by Sarocha Panchanawaporn, Nakul Rattanaphan, Sukanya Jeennor, Jutamas Anantayanon, Weerapong Woraprayote, Laphaslada Pumpuang, Thipphiya Karirat, Nuttamon Prompakdee, Kobkul Laoteng and Chanikul Chutrakul
J. Fungi 2026, 12(4), 289; https://doi.org/10.3390/jof12040289 - 18 Apr 2026
Viewed by 109
Abstract
Heterologous protein secretion in filamentous fungi is often constrained by limitations in signal peptide recognition and intracellular trafficking. Aspergillus oryzae, a food-grade industrial fungus, has a robust native secretory system. However, its capacity for recombinant protein secretion remains suboptimal. Here, we developed [...] Read more.
Heterologous protein secretion in filamentous fungi is often constrained by limitations in signal peptide recognition and intracellular trafficking. Aspergillus oryzae, a food-grade industrial fungus, has a robust native secretory system. However, its capacity for recombinant protein secretion remains suboptimal. Here, we developed a two-step, carrier-free engineering strategy to enhance protein secretion in A. oryzae. We identified endogenous signal peptides among highly secreted proteins using a green fluorescent protein (GFP) reporter. The oryzin signal peptide SPAoalp1 increased GFP secretion 5.50-fold compared with a no-signal-peptide control. We co-overexpressed Aosly1, a Sec1/Munc18 family protein that regulates soluble N-ethylmaleimide-sensitive factor attachment protein receptor–mediated vesicle trafficking, which, in combination with SPAoalp1, increased secretion approximately two-fold compared with SPAlp1 control and ten-fold with no-SP control. Applying the engineered platform for genetic improvement of heterologous bovine κ-casein increased secretion from 0.11 to 0.24 mg/L. Physiological optimization further increased secretion. The developed system provided initial evidence for secretion of a ~12 kDa band consistent with Aopafb transcription, with MIC90 values of 4.56–8.24% (v/v) against two Candida albicans strains and 4.68% (v/v) against Aspergillus niger. The system offers a modular framework for engineering fungal secretion and expands the utility of A. oryzae for recombinant protein production. Full article
13 pages, 2954 KB  
Article
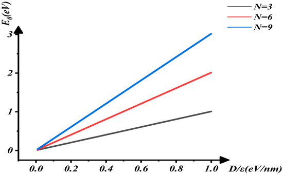
Research on Superconductivity in Multilayer ABC-Stacked Graphene
by Jun-Liang Wang, Jia-Xue Liang and Xiu-qing Wang
Nanomaterials 2026, 16(8), 481; https://doi.org/10.3390/nano16080481 - 17 Apr 2026
Viewed by 124
Abstract
Under the deformation potential model, the superconducting phenomenon in ABC-stacked multilayer graphene under a vertical electric field is investigated using linear combination operators and unitary transformation methods. Through the deformation potential model applied to a linear continuous medium, the effect of the external [...] Read more.
Under the deformation potential model, the superconducting phenomenon in ABC-stacked multilayer graphene under a vertical electric field is investigated using linear combination operators and unitary transformation methods. Through the deformation potential model applied to a linear continuous medium, the effect of the external electric field is converted into the deformation potential energy of the crystal. Deformation potential phonons (LA phonons) act as propagators, generating electron–electron interactions. As the electric field increases, the ratio of the electric displacement vector to the dielectric function (D/ε) rises, leading to an increase in the electron ground-state energy, the opening of the band gap, and an enhancement of the attractive electron–electron interaction. With further increases in the external electric field, the deformation potential constant of the crystal (Dl) increases. When the phonon vibration frequency (ω) is around 8.5 THz, and the conditions are satisfied—where the wave vectors of different LA phonons are equal in magnitude and opposite in direction, and the electron spins are opposite—the attractive electron–electron interaction reaches its maximum (Heff), resulting in the emergence of superconductivity. Our study also provides a new perspective for understanding the unique quantum properties—such as strong correlations, superconductivity, and ferromagnetism—in different stacking configurations like AB, ABC, and ABCA. Full article
(This article belongs to the Special Issue Nanoscale Phenomena of 2D Material Heterostructures)
Show Figures

Graphical abstract

26 pages, 2880 KB  
Article
Mapping Spatial Patterns and Recent Changes in Quercus pyrenaica (Willd.) Forests Using Remote Sensing and Machine Learning
by Isabel Passos, Carlos Vila-Viçosa, Maria Margarida Ribeiro, Albano Figueiredo and João Gonçalves
Remote Sens. 2026, 18(8), 1208; https://doi.org/10.3390/rs18081208 - 17 Apr 2026
Viewed by 601
Abstract
Quercus pyrenaica (Willd.), a sub-Mediterranean oak, is expected to experience substantial distribution shifts under climate change, with some populations in Portugal at risk. Beyond climate-driven pressures, long-standing anthropogenic pressures have likely contributed to the species’ current vulnerability. This work aims to characterize the [...] Read more.
Quercus pyrenaica (Willd.), a sub-Mediterranean oak, is expected to experience substantial distribution shifts under climate change, with some populations in Portugal at risk. Beyond climate-driven pressures, long-standing anthropogenic pressures have likely contributed to the species’ current vulnerability. This work aims to characterize the current status of closed-canopy Q. pyrenaica forests by providing a spatio-temporal assessment of forest fragmentation and its recent evolution. Using multispectral bands from Sentinel-2 time-series data, vegetation indices, embedding vectors generated by Google’s AlphaEarth foundational model, and topographic variables, we applied a machine learning Random Forest classifier to map Q. pyrenaica forests in 2019 and 2024 and to analyze their spatial configuration patterns. The findings indicate robust predictive performance (spatial cross-validation OA of 95.1%, Kappa of 83.7%, and F1 of 86.9%) and reveal the prominent role of AlphaEarth embedding features in the RF classifier, suggesting that these features are well-suited for classifying forest habitats of conservation importance. Quercus pyrenaica occurs predominantly at mid-elevations (~820 m a.s.l.), on gentle slopes (~9°), topographically neutral terrain, and northwestern-facing aspects, consistently across both years. Between 2019 and 2024, the Q. pyrenaica forest area showed an increasing signal. However, the results point to a landscape in an initial phase of forest recovery, constrained by land-use legacies, with cover increasing predominantly through the sprawl of small, geometrically complex, and poorly connected patches. Together, these results provide a baseline to track recent changes in Q. pyrenaica distribution and fragmentation, highlighting a contrast between apparent area expansion and declining overall structural integrity. In the future, patch connectivity and full recovery of secondary succession should be a priority for policymakers and forest owners. Full article
(This article belongs to the Section Forest Remote Sensing)
Show Figures

Figure 1

23 pages, 3371 KB  
Article
Alternate Wetting and Drying Irrigated Rice Paddy Field Water Status Monitoring with ALOS-2 Three Components and IoT Sensors
by Md Rahedul Islam, Kei Oyoshi and Wataru Takeuchi
Remote Sens. 2026, 18(8), 1183; https://doi.org/10.3390/rs18081183 - 15 Apr 2026
Viewed by 347
Abstract
Alternate Wetting and Drying (AWD) is a proven water-saving irrigation technique that reduces irrigation water use and methane emissions from rice cultivation. The emission reduction achievable through AWD irrigation practices represents a significant opportunity for credits generation, particularly for the major rice-producing countries. [...] Read more.
Alternate Wetting and Drying (AWD) is a proven water-saving irrigation technique that reduces irrigation water use and methane emissions from rice cultivation. The emission reduction achievable through AWD irrigation practices represents a significant opportunity for credits generation, particularly for the major rice-producing countries. To capitalize on this opportunity, a scalable, reliable, and cost-effective information system for AWD irrigation monitoring, reporting, and verification (MRV) is urgently needed. However, most existing MRV systems depend on manual data collection or software systems driven by field-based observation. Satellite remote sensing, derived from different tools and techniques, has achieved considerable traction in agriculture monitoring. This study attempts to develop a remote sensing and Internet of Things (IoT)-based system for large-scale AWD irrigation detection and monitoring as a potential tool for the MRV system. IoT sensor-based water level measurement, L-band PALSAR-2 full polarimetric data, and intensive field survey data were integrated and analyzed. Three study sites in the Naogaon District of Bangladesh, one of the major rice-growing regions, were selected as the study area. The PALSAR-2 full-polarimetric data were collected, radiometrically and geometrically corrected, and converted into the backscattered coefficient (Sigma-naught) value. Using the full-polarimetric channel of VV, VH, HH, and HV, the Freeman–Durden three-component decomposition, surface scattering, double-bounce, and volume scattering were constructed to assess the irrigation water condition of the rice paddy field. IoT sensors data, field survey data, and three-component data on 8 different dates and a total of 704 fields during the rice growing period were subsequently analyzed and cross-calibrated. The results showed that surface scattering and double bounce are more sensitive to irrigation water status, while volume scattering primarily responds to plant height changes. By leveraging the backscatter characteristics of these three components, a Random Forest classifier was applied to classify AWD and non-AWD irrigated paddy fields. Classification accuracy achieve 94% in early crop growth stages and declined to 80% during dense canopy stages. These findings offer a reliable and scalable approach to documenting water regime management with direct applicability to carbon emissions reduction verification and carbon credits claims. Full article
13 pages, 2458 KB  
Article
An Ultra-Thin and Wideband Low-Frequency Absorber Based on Periodic Resistance Film
by Tianjiao Bao, Pengrui Liu, Tong Zhang, Haosen Wang and Yafa Zhang
Materials 2026, 19(8), 1577; https://doi.org/10.3390/ma19081577 - 14 Apr 2026
Viewed by 357
Abstract
Low-frequency broadband electromagnetic wave absorption is a critical challenge for radar stealth materials, as traditional absorbent-based coatings often suffer from poor low-frequency performance or severe high-frequency degradation when optimized for low frequencies. This study proposes a novel ultra-thin broadband low-frequency absorber fabricated by [...] Read more.
Low-frequency broadband electromagnetic wave absorption is a critical challenge for radar stealth materials, as traditional absorbent-based coatings often suffer from poor low-frequency performance or severe high-frequency degradation when optimized for low frequencies. This study proposes a novel ultra-thin broadband low-frequency absorber fabricated by depositing a periodic resistive layer onto a conventional absorbent-based wave-absorbing layer, which forms a tailored low-frequency conductive metasurface structure. The integrated coating achieves an ultra-thin total thickness of merely 0.4 mm while exhibiting excellent broadband absorption performance across multiple radar bands: it delivers an average reflection loss of −0.6 dB in the L-band (1–2 GHz), −2 dB in the S-band (2–4 GHz), −3.6 dB in the C-band (4–8 GHz), and maintains a stable average reflection loss of −2.8 dB in the X to Ku bands. Compared with single-layer absorbing materials of the same thickness, this material exhibits significantly improved absorbing performance in the S-band and C-band, and achieves a breakthrough from zero to effective absorption in the L-band. Meanwhile, it can be integrated with structural design to reduce radar cross section (RCS), showing excellent engineering application value. The key mechanism underlying the performance enhancement lies in the periodic resistive layer, which optimizes the broadband impedance matching of the entire coating system, effectively elevates the surface current density, and augments resistive loss and eddy current loss within the structure. This design strategy enables an effectively boost in S-band wave-absorbing performance with minimal compromise to the high-frequency absorption characteristics, thus meeting the stringent requirements for broadband radar wave absorption in practical engineering applications. Full article
(This article belongs to the Section Materials Physics)
Show Figures

Graphical abstract

25 pages, 4466 KB  
Article
Selective Laser Melting of 316L WR-90 Waveguide Horn Antennas: Experimental RF Characterization and Quantitative Performance Analysis
by Nonchanutt Chudpooti, Kitiphon Sukpreecha, Kamol Boonlom and Prayoot Akkaraekthalin
Electronics 2026, 15(8), 1640; https://doi.org/10.3390/electronics15081640 - 14 Apr 2026
Viewed by 268
Abstract
This paper presents the fabrication and experimental characterization of a 316L stainless-steel WR-90 waveguide horn antenna manufactured using selective laser melting (SLM) and operating across the X-band (8.2–12.4 GHz). The antenna is designed based on standard WR-90 waveguide theory and incorporates a coaxial-to-waveguide [...] Read more.
This paper presents the fabrication and experimental characterization of a 316L stainless-steel WR-90 waveguide horn antenna manufactured using selective laser melting (SLM) and operating across the X-band (8.2–12.4 GHz). The antenna is designed based on standard WR-90 waveguide theory and incorporates a coaxial-to-waveguide transition and a flared radiating aperture to achieve stable aperture-based radiation. Full-wave electromagnetic simulations are performed to establish baseline impedance, radiation pattern, and gain performance prior to fabrication. The SLM-fabricated prototype is evaluated through reflection coefficient, radiation pattern, and realized gain measurements conducted in an anechoic chamber. Measured results confirm stable impedance matching across the entire band, with |S11| below −10 dB and a minimum of −22.34 dB near 10.1 GHz. The radiation patterns closely follow simulation predictions, with half-power beamwidth deviations below 4%. The realized gain increases from 11.2 dBi to 15.8 dBi across the band, with simulation–measurement deviation decreasing to within 0.5 dB above 10 GHz. Rather than focusing on antenna design novelty, this work employs a standardized WR-90 horn antenna as a benchmark structure to isolate fabrication-induced effects. A quantitative performance analysis is introduced by converting the gain deviation into an equivalent efficiency reduction, providing a practical framework for evaluating fabrication-induced electromagnetic degradation in SLM-fabricated waveguide components. Full article
(This article belongs to the Section Microwave and Wireless Communications)
Show Figures

Figure 1

26 pages, 7313 KB  
Article
Tidal Wetland Inundated Volume Estimates Using L-Band Radar Imagery and Synthetic Tide Gauging
by Brian T. Lamb, Kyle C. McDonald, Maria A. Tzortziou and Nicholas C. Steiner
Remote Sens. 2026, 18(8), 1172; https://doi.org/10.3390/rs18081172 - 14 Apr 2026
Viewed by 183
Abstract
Tidal inundation dynamics are a principal driver of hydrological and biogeochemical processes in coastal ecosystems, controlling the exchange of carbon, nutrients, and sediments between wetlands and estuaries. In this study, we assessed the utility of L-band radar imagery in deriving tidal wetland inundated [...] Read more.
Tidal inundation dynamics are a principal driver of hydrological and biogeochemical processes in coastal ecosystems, controlling the exchange of carbon, nutrients, and sediments between wetlands and estuaries. In this study, we assessed the utility of L-band radar imagery in deriving tidal wetland inundated volume estimates (pixel-wise water depths), which provide a more robust characterization of wetland–estuary exchange processes than the lateral inundation state estimates. Inundation state products derived using L-band radar were combined with digital elevation models (DEMs) and synthetic tide gauging to estimate the volume of inundation. Synthetic tide gauges, models of water level produced from combined short-term field measurements and long-term monitoring stations were employed to provide calibration and validation for satellite observations for times outside of the water level sensor monitoring period (August–December 2018). Ten synthetic gauges were established across the Charles H. Wheeler Wildlife Management Area (Connecticut, USA) in a regular grid and were used to validate the radar-based inundation state and inundated volume products. To generate volumetric inundation estimates from inundation state products, we employed two bathymetric fill approaches using a DEM to constrain water surface elevations. The first approach assumed a constant water elevation fill for all inundated pixels, while the second introduced a maximum water depth constraint. While both approaches showed strong correlations with synthetic gauges, the depth constraint approach was more accurate, increasing R2 from 0.87 to 0.98 and lowering RMSE from 0.79 m to 0.02 m. In this study, PALSAR-1/2 served as a proxy for the recently launched NISAR mission. Future research is planned to leverage the improved temporal sampling of the NISAR data record, combined with in-marsh water level observations (May 2025–present) and synthetic gauge estimates to improve wetland–estuary volumetric exchange characterization, which we demonstrate can be accurately estimated when paired with high-quality DEMs. Full article
(This article belongs to the Section Environmental Remote Sensing)
21 pages, 11025 KB  
Article
A Multi-Step RUL Prediction Method for Lithium-Ion Batteries Based on Multi-Scale Temporal Features and Frequency-Domain Spectral Interaction
by Ye Tu, Shixiong Xu, Jie Wang and Mengting Jin
Batteries 2026, 12(4), 137; https://doi.org/10.3390/batteries12040137 - 14 Apr 2026
Viewed by 271
Abstract
With the rapid development of new energy vehicles and energy storage systems, accurate prediction of the remaining useful life (RUL) of lithium-ion batteries is of great importance for predictive maintenance and operational safety. However, battery degradation during cycling usually exhibits multi-scale characteristics, including [...] Read more.
With the rapid development of new energy vehicles and energy storage systems, accurate prediction of the remaining useful life (RUL) of lithium-ion batteries is of great importance for predictive maintenance and operational safety. However, battery degradation during cycling usually exhibits multi-scale characteristics, including long-term degradation trends, stage-wise drifts, and stochastic disturbances, which makes existing methods still face significant challenges in multi-step forecasting and cross-domain generalization. To address this issue, this paper proposes a time–frequency fusion model for multi-step RUL prediction, termed TF-RULNet (Time-Frequency RUL Network). The model takes cycle-level feature sequences as input and consists of three components: a multi-scale temporal convolution encoder (MSTC) for parallel extraction of degradation cues at different temporal scales; a multi-head spectral interaction module (MHSI), which performs 1D-FFT along the temporal dimension for each head and further applies adaptive band-wise mask refinement to capture local spectral structures and hierarchical band patterns with a computational complexity of O(LlogL); and a cross-gated fusion module (CGF), which generates gating signals from the summary of one domain to modulate the features of the other domain, thereby enabling dynamic balancing and complementary enhancement of time–frequency information. Experiments are conducted on the NASA dataset (B005/B007) for in-domain evaluation, and further cross-dataset tests from NASA to the Maryland dataset (CS-35/CS-37) are carried out to verify the robustness of the proposed model under distribution shifts. The results show that, compared with the strongest baseline PatchTST, TF-RULNet reduces RMSE and MAE by more than 38.23% and 50.51%, respectively, in cross-dataset generalization, while achieving an additional RMSE reduction of about 24% in in-domain prediction. In summary, TF-RULNet can effectively characterize the multi-scale time–frequency degradation patterns of batteries and improve cross-domain generalization, providing a high-accuracy and scalable modeling solution for practical battery health management and life prognostics. Full article
Show Figures

Figure 1

23 pages, 6390 KB  
Article
Enhanced Structural, Optical, Photocatalytic, and Cytotoxic Properties of CuO Doped with rGO: A One-Step Hydrothermal Synthesis Approach
by Amirah S. Alahmari, Mohamed M. Badran, Mohammed ALSaeedy, Syed Mansoor Ali, M. A. Jowhari and ZabnAllah M. Alaizeri
Catalysts 2026, 16(4), 347; https://doi.org/10.3390/catal16040347 - 13 Apr 2026
Viewed by 267
Abstract
The current work aims to enhance the structural, optical, photocatalytic, and cytotoxic properties of CuO NPs at varied rGO concentrations of 5% and 10%. In the present work, a one-step hydrothermal method was successfully applied to prepare rGO/CuO NCs at different concentrations of [...] Read more.
The current work aims to enhance the structural, optical, photocatalytic, and cytotoxic properties of CuO NPs at varied rGO concentrations of 5% and 10%. In the present work, a one-step hydrothermal method was successfully applied to prepare rGO/CuO NCs at different concentrations of RGO. The novelty of this work was to enhance the structural, optical, photocatalytic, and cytotoxic properties of CuO using the addition of rGO sheets. XRD, TEM, SEM-EDX, XPS, FTIR, UV-vis, PL, and DLS techniques were used to characterize the prepared samples. XRD data confirmed the formation of the monoclinic phase of CuO with a decrease in crystallite size, from 21.14 nm for CuO to 16.94 nm for the 10% rGO/CuO NCs nanocomposite. SEM and TEM images verified the uniform anchoring and excellent dispersion of CuO nanoparticles on the rGO sheets, and the EDX spectra showed the presence of Cu, O, and C elements in the obtained rGO/CuO NCs. DLS measurements showed that the hydrodynamic radius dropped from 69.98 ± 17.81 nm for CuO to 51.72 ± 10.48 nm for 10% rGO/CuO NCs. The zeta potential values remained negative for all samples, ranging from −20.50 ± 8.69 mV for CuO to −25.60 ± 9.08 mV for 10% rGO/CuO NCs, suggesting enhanced colloidal stability with rGO incorporation. Furthermore, FTIR and XPS analyses confirmed that Cu–O–C bonding formed between CuO and rGO. UV-Vis analysis revealed a redshift in the absorption edges as rGO content increased, reducing the band gap from 3.65 eV to 3.60 eV. Additionally, PL spectra showed a marked reduction in emission intensity due to a decrease in the recombination rate between electron (e)–holes (h+) pairs. The CuO/(10%)rGO NCs showed the best photocatalytic performance with a 93.56% degradation of methylene blue (MB) after 120 min under UV irradiation, and followed pseudo-first-order kinetics with k = 0.0203 min−1. Cytotoxicity studies on HT1080 cells showed a dose-dependent decrease in viability. 10% rGO/CuO NCs exhibited the highest cytotoxicity effect, resulting in 58% and 50% viability at 1.4 mg/mL, respectively. The presented results showed that the presence of rGO in CuO NPs played a role in enhancing the structural stability, charge mobility, and biological reactivity of Cu NPs. This study highlighted that the rGO/CuO NCs are a promising multi-functional material for environmental and biomedical applications. Full article
Back to TopTop