Sign in to use this feature.

Years

Between: -

Subjects

remove_circle_outline
remove_circle_outline
remove_circle_outline
remove_circle_outline
remove_circle_outline
remove_circle_outline
remove_circle_outline
remove_circle_outline
remove_circle_outline

Journals

Article Types

Countries / Regions

Search Results (26)

Search Parameters:
Keywords = Kronecker decomposition

Order results
Result details
Results per page
Select all
Export citation of selected articles as:
21 pages, 4392 KB  
Article
Research on Identification of Minimum Parameter Set in Robot Dynamics and Excitation Strategy
by Zhiqiang Wang, Jianhai Han, Xiangpan Li, Bingjing Guo and Lewei Lu
Sensors 2025, 25(18), 5749; https://doi.org/10.3390/s25185749 - 15 Sep 2025
Viewed by 447
Abstract
The minimal parameter set is fundamental to robot dynamic identification, enabling efficient and identifiable modeling for control and simulation. In this paper, the Newton–Euler method is employed to formulate the robot dynamics. By leveraging screw theory, the model is expressed in a matrix [...] Read more.
The minimal parameter set is fundamental to robot dynamic identification, enabling efficient and identifiable modeling for control and simulation. In this paper, the Newton–Euler method is employed to formulate the robot dynamics. By leveraging screw theory, the model is expressed in a matrix form that is linear with respect to the robot’s inertial parameters. The Kronecker product is then applied to transform the matrix equation into an equivalent vector–matrix representation. Subsequently, full-rank decomposition is used to reduce the dimensionality of the parameter vector, resulting in the minimal dynamic parameter set of the robot. Following this, excitation signals are sequentially applied to each joint, starting from the end-effector and progressing toward the base, enabling a stepwise identification of the minimal parameter set using the least-squares method. The identified minimal parameters are then incorporated into the mass matrix of the dynamic model, enabling the implementation of forward dynamic simulation. Experimental validation is conducted on a planar 3R robot. The results demonstrate that the sequential excitation strategy accurately identifies dynamic parameters while ensuring the robot’s safety. Furthermore, the forward dynamic simulation closely replicates the kinematic behavior of the actual robot. Full article
(This article belongs to the Section Sensors and Robotics)
Show Figures

Figure 1

22 pages, 3761 KB  
Article
Complex, Temporally Variant SVD via Real ZN Method and 11-Point ZeaD Formula from Theoretics to Experiments
by Jianrong Chen, Xiangui Kang and Yunong Zhang
Mathematics 2025, 13(11), 1841; https://doi.org/10.3390/math13111841 - 31 May 2025
Viewed by 359
Abstract
The complex, temporally variant singular value decomposition (SVD) problem is proposed and investigated in this paper. Firstly, the original problem is transformed into an equation system. Then, by using the real zeroing neurodynamics (ZN) method, matrix vectorization, Kronecker product, vectorized transpose matrix, and [...] Read more.
The complex, temporally variant singular value decomposition (SVD) problem is proposed and investigated in this paper. Firstly, the original problem is transformed into an equation system. Then, by using the real zeroing neurodynamics (ZN) method, matrix vectorization, Kronecker product, vectorized transpose matrix, and dimensionality reduction technique, a dynamical model, termed the continuous-time SVD (CTSVD) model, is derived and investigated. Furthermore, a new 11-point Zhang et al. discretization (ZeaD) formula with fifth-order precision is proposed and studied. In addition, with the use of the 11-point and other ZeaD formulas, five discrete-time SVD (DTSVD) algorithms are further acquired. Meanwhile, theoretical analyses and numerical experimental results substantiate the correctness and convergence of the proposed CTSVD model and DTSVD algorithms. Full article
Show Figures

Figure 1

24 pages, 6467 KB  
Article
Combining Kronecker-Basis-Representation Tensor Decomposition and Total Variational Constraint for Spectral Computed Tomography Reconstruction
by Xuru Li, Kun Wang, Yan Chang, Yaqin Wu and Jing Liu
Photonics 2025, 12(5), 492; https://doi.org/10.3390/photonics12050492 - 15 May 2025
Viewed by 490
Abstract
Energy spectrum computed tomography (CT) technology based on photon-counting detectors has been widely used in many applications such as lesion detection, material decomposition, and so on. But severe noise in the reconstructed images affects the accuracy of these applications. The method based on [...] Read more.
Energy spectrum computed tomography (CT) technology based on photon-counting detectors has been widely used in many applications such as lesion detection, material decomposition, and so on. But severe noise in the reconstructed images affects the accuracy of these applications. The method based on tensor decomposition can effectively remove noise by exploring the correlation of energy channels, but it is difficult for traditional tensor decomposition methods to describe the problem of tensor sparsity and low-rank properties of all expansion modules simultaneously. To address this issue, an algorithm for spectral CT reconstruction based on photon-counting detectors is proposed, which combines Kronecker-Basis-Representation (KBR) tensor decomposition and total variational (TV) regularization (namely KBR-TV). The proposed algorithm uses KBR tensor decomposition to unify the sparse measurements of traditional tensor spaces, and constructs a third-order tensor cube through non-local image similarity matching. At the same time, the TV regularization term is introduced into the independent energy spectrum image domain to enhance the sparsity constraint of single-channel images, effectively reduce artifacts, and improve the accuracy of image reconstruction. The proposed objective minimization model has been tackled using the split-Bregman algorithm. To evaluate the algorithm’s performance, both numerical simulations and realistic preclinical mouse studies were conducted. The ultimate findings indicate that the KBR-TV method offers superior enhancement in the quality of spectral CT images in comparison to several existing methods. Full article
(This article belongs to the Special Issue Biomedical Optics:Imaging, Sensing and Therapy)
Show Figures

Figure 1

74 pages, 3722 KB  
Review
Overview of Tensor-Based Cooperative MIMO Communication Systems—Part 2: Semi-Blind Receivers
by Gérard Favier and Danilo Sousa Rocha
Entropy 2024, 26(11), 937; https://doi.org/10.3390/e26110937 - 31 Oct 2024
Viewed by 1277
Abstract
Cooperative MIMO communication systems play an important role in the development of future sixth-generation (6G) wireless systems incorporating new technologies such as massive MIMO relay systems, dual-polarized antenna arrays, millimeter-wave communications, and, more recently, communications assisted using intelligent reflecting surfaces (IRSs), and unmanned [...] Read more.
Cooperative MIMO communication systems play an important role in the development of future sixth-generation (6G) wireless systems incorporating new technologies such as massive MIMO relay systems, dual-polarized antenna arrays, millimeter-wave communications, and, more recently, communications assisted using intelligent reflecting surfaces (IRSs), and unmanned aerial vehicles (UAVs). In a companion paper, we provided an overview of cooperative communication systems from a tensor modeling perspective. The objective of the present paper is to provide a comprehensive tutorial on semi-blind receivers for MIMO one-way two-hop relay systems, allowing the joint estimation of transmitted symbols and individual communication channels with only a few pilot symbols. After a reminder of some tensor prerequisites, we present an overview of tensor models, with a detailed, unified, and original description of two classes of tensor decomposition frequently used in the design of relay systems, namely nested CPD/PARAFAC and nested Tucker decomposition (TD). Some new variants of nested models are introduced. Uniqueness and identifiability conditions, depending on the algorithm used to estimate the parameters of these models, are established. Two families of algorithms are presented: iterative algorithms based on alternating least squares (ALS) and closed-form solutions using Khatri–Rao and Kronecker factorization methods, which consist of SVD-based rank-one matrix or tensor approximations. In a second part of the paper, the overview of cooperative communication systems is completed before presenting several two-hop relay systems using different codings and configurations in terms of relaying protocol (AF/DF) and channel modeling. The aim of this presentation is firstly to show how these choices lead to different nested tensor models for the signals received at destination. Then, by capitalizing on these models and their correspondence with the generic models studied in the first part, we derive semi-blind receivers to jointly estimate the transmitted symbols and the individual communication channels for each relay system considered. In a third part, extensive Monte Carlo simulation results are presented to compare the performance of relay systems and associated semi-blind receivers in terms of the symbol error rate (SER) and channel estimate normalized mean-square error (NMSE). Their computation time is also compared. Finally, some perspectives are drawn for future research work. Full article
(This article belongs to the Special Issue Wireless Communications: Signal Processing Perspectives)
Show Figures

Figure 1

18 pages, 381 KB  
Communication
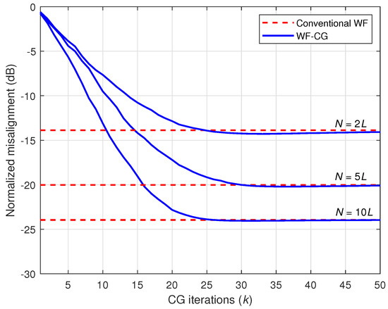
A Fourth-Order Tensorial Wiener Filter Using the Conjugate Gradient Method
by Laura-Maria Dogariu, Ruxandra-Liana Costea, Constantin Paleologu and Jacob Benesty
Symmetry 2024, 16(11), 1433; https://doi.org/10.3390/sym16111433 - 28 Oct 2024
Cited by 1 | Viewed by 1475
Abstract
The recently developed iterative Wiener filter using a fourth-order tensorial (FOT) decomposition owns appealing performance in the identification of long length impulse responses. It relies on the nearest Kronecker product representation (with particular intrinsic symmetry features), together with low-rank approximations. Nevertheless, this new [...] Read more.
The recently developed iterative Wiener filter using a fourth-order tensorial (FOT) decomposition owns appealing performance in the identification of long length impulse responses. It relies on the nearest Kronecker product representation (with particular intrinsic symmetry features), together with low-rank approximations. Nevertheless, this new iterative filter requires matrix inversion operations when solving the Wiener–Hopf equations associated with the component filters. In this communication, we propose a computationally efficient version that relies on the conjugate gradient (CG) method for solving these sets of equations. The proposed solution involves a specific initialization of the component filters and sequential connections between the CG cycles. Different FOT-based decomposition setups are also analyzed from the point of view of the resulting parameter space. Experimental results obtained in the context of echo cancellation confirm the good behavior of the proposed approach and its superiority in comparison to the conventional Wiener filter and other decomposition-based versions. Full article
(This article belongs to the Special Issue Feature Papers in Section "Engineering and Materials" 2024)
Show Figures

Figure 1

17 pages, 1050 KB  
Article
Kalman Filter Using a Third-Order Tensorial Decomposition of the Impulse Response
by Laura-Maria Dogariu, Constantin Paleologu, Jacob Benesty and Felix Albu
Appl. Sci. 2024, 14(11), 4507; https://doi.org/10.3390/app14114507 - 24 May 2024
Viewed by 1329
Abstract
For system identification problems associated with long-length impulse responses, the recently developed decomposition-based technique that relies on a third-order tensor (TOT) framework represents a reliable choice. It is based on a combination of three shorter filters, which merge their estimates in tandem with [...] Read more.
For system identification problems associated with long-length impulse responses, the recently developed decomposition-based technique that relies on a third-order tensor (TOT) framework represents a reliable choice. It is based on a combination of three shorter filters, which merge their estimates in tandem with the Kronecker product. In this way, the global impulse response is modeled in a more efficient manner, with a significantly reduced parameter space (i.e., fewer coefficients). In this paper, we further develop a Kalman filter based on the TOT decomposition method. As compared to the recently designed recursive least-squares (RLS) counterpart, the proposed Kalman filter achieves superior performance in terms of the main criteria (e.g., tracking and accuracy). In addition, it significantly outperforms the conventional Kalman filter, while also having a lower computational complexity. Simulation results obtained in the context of echo cancellation support the theoretical framework and the related advantages. Full article
Show Figures

Figure 1

14 pages, 891 KB  
Article
The Conservative and Efficient Numerical Method of 2-D and 3-D Fractional Nonlinear Schrödinger Equation Using Fast Cosine Transform
by Peiyao Wang, Shangwen Peng, Yihao Cao and Rongpei Zhang
Mathematics 2024, 12(7), 1110; https://doi.org/10.3390/math12071110 - 7 Apr 2024
Cited by 1 | Viewed by 1579
Abstract
This paper introduces a novel approach employing the fast cosine transform to tackle the 2-D and 3-D fractional nonlinear Schrödinger equation (fNLSE). The fractional Laplace operator under homogeneous Neumann boundary conditions is first defined through spectral decomposition. The difference matrix Laplace operator is [...] Read more.
This paper introduces a novel approach employing the fast cosine transform to tackle the 2-D and 3-D fractional nonlinear Schrödinger equation (fNLSE). The fractional Laplace operator under homogeneous Neumann boundary conditions is first defined through spectral decomposition. The difference matrix Laplace operator is developed by the second-order central finite difference method. Then, we diagonalize the difference matrix based on the properties of Kronecker products. The time discretization employs the Crank–Nicolson method. The conservation of mass and energy is proved for the fully discrete scheme. The advantage of this method is the implementation of the Fast Discrete Cosine Transform (FDCT), which significantly improves computational efficiency. Finally, the accuracy and effectiveness of the method are verified through two-dimensional and three-dimensional numerical experiments, solitons in different dimensions are simulated, and the influence of fractional order on soliton evolution is obtained; that is, the smaller the alpha, the lower the soliton evolution. Full article
(This article belongs to the Section E4: Mathematical Physics)
Show Figures

Figure 1

22 pages, 410 KB  
Article
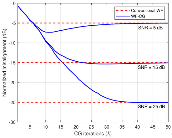
Wiener Filter Using the Conjugate Gradient Method and a Third-Order Tensor Decomposition
by Jacob Benesty, Constantin Paleologu, Cristian-Lucian Stanciu, Ruxandra-Liana Costea, Laura-Maria Dogariu and Silviu Ciochină
Appl. Sci. 2024, 14(6), 2430; https://doi.org/10.3390/app14062430 - 13 Mar 2024
Cited by 3 | Viewed by 1833
Abstract
In linear system identification problems, the Wiener filter represents a popular tool and stands as an important benchmark. Nevertheless, it faces significant challenges when identifying long-length impulse responses. In order to address the related shortcomings, the solution presented in this paper is based [...] Read more.
In linear system identification problems, the Wiener filter represents a popular tool and stands as an important benchmark. Nevertheless, it faces significant challenges when identifying long-length impulse responses. In order to address the related shortcomings, the solution presented in this paper is based on a third-order tensor decomposition technique, while the resulting sets of Wiener–Hopf equations are solved with the conjugate gradient (CG) method. Due to the decomposition-based approach, the number of coefficients (i.e., the parameter space of the filter) is greatly reduced, which results in operating with smaller data structures within the algorithm. As a result, improved robustness and accuracy can be achieved, especially in harsh scenarios (e.g., limited/incomplete sets of data and/or noisy conditions). Besides, the CG-based solution avoids matrix inversion operations, together with the related numerical and complexity issues. The simulation results are obtained in a network echo cancellation scenario and support the performance gain. In this context, the proposed iterative Wiener filter outperforms the conventional benchmark and also some previously developed counterparts that use matrix inversion or second-order tensor decompositions. Full article
Show Figures

Figure 1

18 pages, 4693 KB  
Article
A Novel Tensor Ring Sparsity Measurement for Image Completion
by Junhua Zeng, Yuning Qiu, Yumeng Ma, Andong Wang and Qibin Zhao
Entropy 2024, 26(2), 105; https://doi.org/10.3390/e26020105 - 24 Jan 2024
Cited by 5 | Viewed by 2172
Abstract
As a promising data analysis technique, sparse modeling has gained widespread traction in the field of image processing, particularly for image recovery. The matrix rank, served as a measure of data sparsity, quantifies the sparsity within the Kronecker basis representation of a given [...] Read more.
As a promising data analysis technique, sparse modeling has gained widespread traction in the field of image processing, particularly for image recovery. The matrix rank, served as a measure of data sparsity, quantifies the sparsity within the Kronecker basis representation of a given piece of data in the matrix format. Nevertheless, in practical scenarios, much of the data are intrinsically multi-dimensional, and thus, using a matrix format for data representation will inevitably yield sub-optimal outcomes. Tensor decomposition (TD), as a high-order generalization of matrix decomposition, has been widely used to analyze multi-dimensional data. In a direct generalization to the matrix rank, low-rank tensor modeling has been developed for multi-dimensional data analysis and achieved great success. Despite its efficacy, the connection between TD rank and the sparsity of the tensor data is not direct. In this work, we introduce a novel tensor ring sparsity measurement (TRSM) for measuring the sparsity of the tensor. This metric relies on the tensor ring (TR) Kronecker basis representation of the tensor, providing a unified interpretation akin to matrix sparsity measurements, wherein the Kronecker basis serves as the foundational representation component. Moreover, TRSM can be efficiently computed by the product of the ranks of the mode-2 unfolded TR-cores. To enhance the practical performance of TRSM, the folded-concave penalty of the minimax concave penalty is introduced as a nonconvex relaxation. Lastly, we extend the TRSM to the tensor completion problem and use the alternating direction method of the multipliers scheme to solve it. Experiments on image and video data completion demonstrate the effectiveness of the proposed method. Full article
(This article belongs to the Section Multidisciplinary Applications)
Show Figures

Figure 1

19 pages, 2764 KB  
Article
A Fast Phase-Only Beamforming Algorithm for FDA-MIMO Radar via Kronecker Decomposition
by Geng Chen , Chunyang Wang , Jian Gong  and Ming Tan 
Electronics 2024, 13(2), 337; https://doi.org/10.3390/electronics13020337 - 12 Jan 2024
Viewed by 1834
Abstract
This paper proposes a fast phase-only beamforming algorithm for frequency diverse array multiple-input multiple-output radar systems. Specifically, we use the Kronecker decomposition to decompose the desired phase-only weight vector into phase-only transmit and receive weight vectors and to decompose the target steering vector [...] Read more.
This paper proposes a fast phase-only beamforming algorithm for frequency diverse array multiple-input multiple-output radar systems. Specifically, we use the Kronecker decomposition to decompose the desired phase-only weight vector into phase-only transmit and receive weight vectors and to decompose the target steering vector into transmit and receive steering vectors. By using the properties of the Kronecker product, the transmit and receive steering vectors and the transmit and receive weight vectors with the Vandermonde structure are decomposed into Kronecker factors with uni-modulus vectors, respectively. On this basis, in order to maintain the mainlobe gain and form a deep null at the desired position, the Kronecker factors are divided into two parts.The first component, referred to as the interference suppression factors, is responsible for creating deep nulls. The second component, known as the signal enhancement factor, maintains the mainlobe gain. We provide an analytical solution with low complexity for the Kronecker factors. This strategy can obtain the phase-only weights while effectively forming a deep null at the desired position. Numerical experiments are conducted to verify the effectiveness of the proposed algorithm. Full article
Show Figures

Figure 1

18 pages, 427 KB  
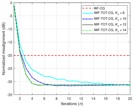
Article
An Iterative Wiener Filter Based on a Fourth-Order Tensor Decomposition
by Jacob Benesty, Constantin Paleologu and Laura-Maria Dogariu
Symmetry 2023, 15(8), 1560; https://doi.org/10.3390/sym15081560 - 9 Aug 2023
Cited by 2 | Viewed by 4119
Abstract
This work focuses on linear system identification problems in the framework of the Wiener filter. Specifically, it addresses the challenging identification of systems characterized by impulse responses of long length, which poses significant difficulties due to the existence of large parameter space. The [...] Read more.
This work focuses on linear system identification problems in the framework of the Wiener filter. Specifically, it addresses the challenging identification of systems characterized by impulse responses of long length, which poses significant difficulties due to the existence of large parameter space. The proposed solution targets a dimensionality reduction of the problem by involving the decomposition of a fourth-order tensor, using low-rank approximations in conjunction with the nearest Kronecker product. In addition, the rank of the tensor is controlled and limited to a known value without involving any approximation technique. The final estimate is obtained based on a combination of four (shorter) optimal filters, which are alternatively iterated. As a result, the designed iterative Wiener filter outperforms the traditional counterpart, being more robust to the accuracy of the statistics’ estimates and/or noisy conditions. In addition, simulations performed in the context of acoustic echo cancellation indicate that the proposed iterative Wiener filter that exploits this fourth-order tensor decomposition achieves better performance as compared to some previously developed solutions based on lower decomposition levels. This study could further lead to the development of computationally efficient tensor-based adaptive filtering algorithms. Full article
(This article belongs to the Section Engineering and Materials)
Show Figures

Figure 1

18 pages, 6550 KB  
Article
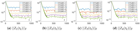
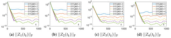
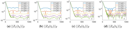
Continuous and Discrete ZND Models with Aid of Eleven Instants for Complex QR Decomposition of Time-Varying Matrices
by Jianrong Chen, Xiangui Kang and Yunong Zhang
Mathematics 2023, 11(15), 3354; https://doi.org/10.3390/math11153354 - 31 Jul 2023
Cited by 4 | Viewed by 1585
Abstract
The problem of QR decomposition is considered one of the fundamental problems commonly encountered in both scientific research and engineering applications. In this paper, the QR decomposition for complex-valued time-varying matrices is analyzed and investigated. Specifically, by applying the zeroing neural dynamics (ZND) [...] Read more.
The problem of QR decomposition is considered one of the fundamental problems commonly encountered in both scientific research and engineering applications. In this paper, the QR decomposition for complex-valued time-varying matrices is analyzed and investigated. Specifically, by applying the zeroing neural dynamics (ZND) method, dimensional reduction method, equivalent transformations, Kronecker product, and vectorization techniques, a new continuous-time QR decomposition (CTQRD) model is derived and presented. Then, a novel eleven-instant Zhang et al discretization (ZeaD) formula, with fifth-order precision, is proposed and studied. Additionally, five discrete-time QR decomposition (DTQRD) models are further obtained by using the eleven-instant and other ZeaD formulas. Theoretical analysis and numerical experimental results confirmed the correctness and effectiveness of the proposed continuous and discrete ZND models. Full article
Show Figures

Figure 1

26 pages, 747 KB  
Article
Semi-Blind Receivers for Two-Hop MIMO Relay Systems with a Combined TSTF-MSMKron Coding
by Pablo H. U. de Pinho, Maria de F. K. B. Couras, Gérard Favier, André L. F. de Almeida and João Paulo J. da Costa
Sensors 2023, 23(13), 5963; https://doi.org/10.3390/s23135963 - 27 Jun 2023
Cited by 2 | Viewed by 1580
Abstract
Due to the increase in the number of mobile stations in recent years, cooperative relaying systems have emerged as a promising technique for improving the quality of fifth-generation (5G) wireless networks with an extension of the coverage area. In this paper, we propose [...] Read more.
Due to the increase in the number of mobile stations in recent years, cooperative relaying systems have emerged as a promising technique for improving the quality of fifth-generation (5G) wireless networks with an extension of the coverage area. In this paper, we propose a two-hop orthogonal frequency division multiplexing and code-division multiple-access (OFDM-CDMA) multiple-input multiple-output (MIMO) relay system, which combines, both at the source and relay nodes, a tensor space–time–frequency (TSTF) coding with a multiple symbol matrices Kronecker product (MSMKron), called TSTF-MSMKron coding, aiming to increase the diversity gain. It is first established that the signals received at the relay and the destination satisfy generalized Tucker models whose core tensors are the coding tensors. Assuming the coding tensors are known at both nodes, tensor models are exploited to derive two semi-blind receivers, composed of two steps, to jointly estimate symbol matrices and individual channels. Necessary conditions for parameter identifiability with each receiver are established. Extensive Monte Carlo simulation results are provided to show the impact of design parameters on the symbol error rate (SER) performance, using the zero-forcing (ZF) receiver. Next, Monte Carlo simulations illustrate the effectiveness of the proposed TSTF-MSMKron coding and semi-blind receivers, highlighting the benefit of exploiting the new coding to increase the diversity gain. Full article
(This article belongs to the Section Communications)
Show Figures

Figure 1

11 pages, 6531 KB  
Communication
Stochastic Model for the LMS Algorithm with Symmetric/Antisymmetric Properties
by Augusto Cesar Becker, Eduardo Vinicius Kuhn, Marcos Vinicius Matsuo, Jacob Benesty, Constantin Paleologu, Laura-Maria Dogariu and Silviu Ciochină
Symmetry 2022, 14(9), 1908; https://doi.org/10.3390/sym14091908 - 12 Sep 2022
Viewed by 1885
Abstract
This paper presents a stochastic model for the least-mean-square algorithm with symmetric/antisymmetric properties (LMS-SAS), operating in a system identification setup with Gaussian input data. Specifically, model expressions are derived to describe the mean weight behavior of the (global and virtual) adaptive filters, learning [...] Read more.
This paper presents a stochastic model for the least-mean-square algorithm with symmetric/antisymmetric properties (LMS-SAS), operating in a system identification setup with Gaussian input data. Specifically, model expressions are derived to describe the mean weight behavior of the (global and virtual) adaptive filters, learning curves, and evolution of some correlation-like matrices, which allow predicting the algorithm behavior. Simulation results are shown and discussed, confirming the accuracy of the proposed model for both transient and steady-state phases. Full article
(This article belongs to the Special Issue New Approaches for System Identification Problems)
Show Figures

Figure 1

26 pages, 1132 KB  
Article
Efficient Algorithms for Linear System Identification with Particular Symmetric Filters
by Ionuţ-Dorinel Fîciu, Jacob Benesty, Laura-Maria Dogariu, Constantin Paleologu and Silviu Ciochină
Appl. Sci. 2022, 12(9), 4263; https://doi.org/10.3390/app12094263 - 23 Apr 2022
Cited by 6 | Viewed by 2379
Abstract
In linear system identification problems, it is important to reveal and exploit any specific intrinsic characteristic of the impulse responses, in order to improve the overall performance, especially in terms of the accuracy and complexity of the solution. In this paper, we focus [...] Read more.
In linear system identification problems, it is important to reveal and exploit any specific intrinsic characteristic of the impulse responses, in order to improve the overall performance, especially in terms of the accuracy and complexity of the solution. In this paper, we focus on the nearest Kronecker product decomposition of the impulse responses, together with low-rank approximations. Such an approach is suitable for the identification of a wide range of real-world systems. Most importantly, we reformulate the system identification problem by using a particular symmetric filter within the development, which allows us to efficiently design two (iterative/recursive) algorithms. First, an iterative Wiener filter is proposed, with improved performance as compared to the conventional Wiener filter, especially in challenging conditions (e.g., small amount of available data and/or noisy environments). Second, an even more practical solution is developed, in the form of a recursive least-squares adaptive algorithm, which could represent an appealing choice in real-time applications. Overall, based on the proposed approach, a system identification problem that can be conventionally solved by using a system of L=L1L2 equations (with L unknown parameters) is reformulated as a combination of two systems of PL1 and PL2 equations, respectively, where usually PL2 (i.e., a total of PL1+PL2 parameters). This could lead to important advantages, in terms of both performance and complexity. Simulation results are provided in the framework of network and acoustic echo cancellation, supporting the performance gain and the practical features of the proposed algorithms. Full article
(This article belongs to the Special Issue Statistical Signal Processing: Theory, Methods and Applications)
Show Figures

Figure 1

Back to TopTop