Continuous and Discrete ZND Models with Aid of Eleven Instants for Complex QR Decomposition of Time-Varying Matrices
Abstract
1. Introduction
- The complex QR decomposition for time-varying square or rectangular matrix is formulated and studied both in continuous time and discrete time.
- A new CTQRD model is derived and proposed by adopting the ZND method, dimensional reduction method, equivalent transformations, Kronecker product, and vectorization techniques.
- A novel eleven-instant ZeaD formula with precision is proposed and investigated.
- On the basis of the eleven-instant and other ZeaD formulas, five discrete-time models are further obtained and discussed.
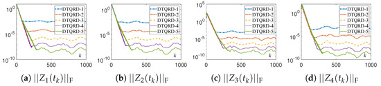
- Numerical experimental results substantiate the effectiveness and accuracy of the continuous and discrete ZND models.
2. Problem Description and Preparation
3. Continuous-Time Model and Theoretical Analysis
4. Discrete-Time Models and Theoretical Analysis
4.1. Eleven-Instant and Other ZeaD Formulas
4.2. Discrete-Time Models
5. Numerical Experiments and Verifications
5.1. Example Description
5.2. CTQRD Model
5.3. DTQRD Models
6. Conclusions
Author Contributions
Funding
Institutional Review Board Statement
Informed Consent Statement
Data Availability Statement
Acknowledgments
Conflicts of Interest
Abbreviations
| ZND | Zeroing neural dynamics |
| CTQRD | Continuous-time QR decomposition |
| ZeaD | Zhang et al discretization |
| DTQRD | Discrete-time QR decomposition |
| ODE | Ordinary differential equation |
Appendix A
Appendix B
Appendix C
Appendix D
Appendix E
References
- Jadhav, S.; Zhao, J.; Fan, Y.; Li, J.; Lin, H.; Yan, C.; Chen, M. Time-varying sequence model. Mathematics 2023, 11, 336. [Google Scholar] [CrossRef]
- Masubuchi, I.; Kikuchi, T. Lyapunov density criteria for time-varying and periodically time-varying nonlinear systems with converse results. SIAM J. Control Optim. 2021, 59, 223–241. [Google Scholar] [CrossRef]
- Li, X.; Cao, J. An inpulsive delay inequality involving unbounded time-varying delay and applicaitons. IEEE Trans. Autom. Control 2017, 62, 3618–3625. [Google Scholar] [CrossRef]
- Rios-Rivera, D.; Rios, J.; Sanchez, O.; Alanis, A. Impulsive pinning control of discrete-time complex network with time-varying connections. Mathematics 2022, 10, 4051. [Google Scholar] [CrossRef]
- Liu, X.; Li, W.; Yao, C.; Li, Y. Finite-time guaranteed cost control for markovian jump systems with time-varying delays. Mathematics 2022, 10, 2028. [Google Scholar] [CrossRef]
- Guo, D.; Lin, X. Li-function activated Zhang neural network for online solution of time-varying linear matrix inequality. Neural Process Lett. 2020, 52, 713–726. [Google Scholar] [CrossRef]
- Jerbi, H.; Alharbi, H.; Omri, M.; Ladhar, L.; Simos, T.E.; Mourtas, S.D.; Katsikis, V.N. Towards higher-order zeroing neural network dynamics for solving time-varying algebraic Riccati equations. Mathematics 2022, 10, 4490. [Google Scholar] [CrossRef]
- Liao, B.; Hua, C.; Cao, X.; Katsikis, V.N.; Li, S. Complex noise-resistant zeroing neural network for computing complex time-dependent Lyapunov equation. Mathematics 2022, 10, 2817. [Google Scholar] [CrossRef]
- Jin, L.; Li, S.; Xiao, L.; Lu, R.; Liao, B. Cooperative motion generation in a distributed network of redundant robot manipulators with noises. IEEE Trans. Syst. Man Cybern. 2018, 48, 1715–1724. [Google Scholar] [CrossRef]
- Zhang, Z.; Chen, B.; Luo, Y. A deep ensemble dynamic learning network for corona virus disease 2019 diagnosis. IEEE Trans. Neural Netw. Learn. Syst. 2023, in press. [Google Scholar] [CrossRef]
- Uhlig, F. Zhang neural network for fast and accurate computations of the field of values. Linear Multilinear A. 2019, 68, 1894–1910. [Google Scholar] [CrossRef]
- Li, J.; Shi, Y.; Xuan, H. Unified model solving nine types of time-varying problems in the frame of zeroing neural network. IEEE Trans. Neural Netw. Learn. Syst. 2021, 32, 1896–1905. [Google Scholar] [CrossRef] [PubMed]
- Xiao, L.; He, Y.; Dai, J.; Liu, X.; Liao, B.; Tan, H. A variable-parameter noise-tolerant zeroing neural network for time-variant matrix inversion with guaranteed robustness. IEEE Trans. Neural Netw. Learn. Syst. 2022, 33, 1535–1545. [Google Scholar] [CrossRef]
- Liao, B.; Han, L.; He, Y.; Cao, X.; Li, J. Prescribed-time convergent adaptive ZNN for time-varying matrix inversion under harmonic noise. Electronics 2022, 11, 1636. [Google Scholar] [CrossRef]
- Zheng, L.; Zhang, Z. Time-varying quadratic-programming-based error redefinition neural network control and its application to mobile redundant manipulators. IEEE Trans. Autom. Control 2022, 67, 6151–6158. [Google Scholar] [CrossRef]
- Jin, L.; Zhang, Y. Continuous and discrete Zhang dynamics for real-time varying nonlinear optimizaiton. Numer. Algor. 2016, 73, 115–140. [Google Scholar] [CrossRef]
- Uhlig, F. Time-varying matrix eigenanalyses via Zhang neural networks and look-ahead finite difference equations. Linear Algebr. Appl. 2019, 580, 417–435. [Google Scholar] [CrossRef]
- Uhlig, F. The construction of high order convergent look-ahead finite difference formulas for Zhang neural networks. J. Differ. Equ. Appl. 2019, 25, 931–941. [Google Scholar] [CrossRef]
- Xuan, H.; Zhu, X.; Li, J.; Guo, H.; Li, Y. General third-order-accuracy formulas for time discretization applied to time-varying optimization. IEEE Access 2020, 8, 224235–224245. [Google Scholar] [CrossRef]
- Sun, M.; Wang, Y. General five-step discrete-time Zhang neural network for time-varying nonlinear optimization. Bull. Malays. Math. Sci. Soc. 2020, 43, 1741–1760. [Google Scholar] [CrossRef]
- Sun, M.; Liu, J. General six-step discrete-time Zhang neural network for time-varying tensor absolute value equations. Discrete Dyn. Nat. Soc. 2019, 2019, 1–12. [Google Scholar] [CrossRef]
- Hu, C.; Kang, X.; Zhang, Y. Three-step general discrete-time Zhang neural network design and application to time-variant matrix inversion. Neurocomputing 2018, 306, 108–118. [Google Scholar] [CrossRef]
- Guo, D.; Nie, Z.; Yan, L. Novel discrete-time Zhang neural network for time-varying matrix inversion. IEEE Trans. Syst. Man Cybern. 2017, 47, 2301–2310. [Google Scholar] [CrossRef]
- Chen, J.; Zhang, Y. Discrete-time ZND models solving ALRMPC via eight-instant general and other formulas of ZeaD. IEEE Access 2019, 7, 125909–125918. [Google Scholar] [CrossRef]
- Liu, Y.; Tian, Y. A simultaneous decomposition of a matrix triplet with applications. Numer. Linear Algebr. 2011, 18, 69–85. [Google Scholar] [CrossRef]
- Foster, J.; McWhirter, J.; Davies, M.; Chambers, J. An algorithm for calculating the QR and singular value decompositions of polynomial matrices. IEEE Trans. Signal Process. 2010, 58, 1263–1274. [Google Scholar] [CrossRef]
- Merino, D.; Paras, A.; Pelejo, D. On the phi(J) polar decomposition of matrices. Linear Algebr. Appl. 2010, 432, 1165–1175. [Google Scholar] [CrossRef]
- Li, F. On the Jacobians of singular matrix decomposition and its application. Linear Multilinear A 2021, 69, 1521–1533. [Google Scholar] [CrossRef]
- Baumann, M.; Helmke, U. Singular value decomposition of time-varying matrices. Future Gen. Comput. Syst. 2003, 19, 353–361. [Google Scholar] [CrossRef]
- Tănăsescu, A.; Carabaş, M.; Pop, F.; Popescu, P.G. Scalability of K-tridiagonal matrix singular value decomposition. Mathematics 2021, 9, 3123. [Google Scholar] [CrossRef]
- Alharbi, H.; Jerbi, H.; Kchaou, M.; Abbassi, R.; Simos, T.E.; Mourtas, S.D.; Katsikis, V.N. Time-varying pseudoinversion based on full-rank decomposition and zeroing neural networks. Mathematics 2023, 11, 600. [Google Scholar] [CrossRef]
- Chen, J.; Zhang, Y. Online singular value decomposition of time-varying matrix via zeroing neural dynamics. Neurocomputing 2020, 383, 314–323. [Google Scholar] [CrossRef]
- Katsikis, V.N.; Mourtas, S.D.; Stanimirovic, P.S.; Zhang, Y. Continuous-time varying complex QR decomposition via zeroing neural dynamics. Neural Process. Lett. 2021, 53, 3573–3590. [Google Scholar] [CrossRef]
- Li, Z.; Zhang, Y.; Ming, L.; Guo, J.; Katsikis, V.N. Real-domain QR decomposition models employing zeroing neural network and time-discretization formulas for time-varying matrices. Neurocomputing 2021, 448, 217–227. [Google Scholar] [CrossRef]
- Katsikis, V.N.; Mourtas, S.D.; Stanimirovic, P.S.; Zhang, Y. Solving complex-valued time-varying linear matrix equations via QR decomposition with applications to robotic motion tracking and on angle-of-arrival localization. IEEE Trans. Neural Netw. Learn. Syst. 2022, 33, 3415–3424. [Google Scholar] [CrossRef]
- Horn, R.A.; Johnson, C.R. Topics in Matrix Analysis; Cambridge University Press: New York, NY, USA, 1991. [Google Scholar]
- Mathews, J.H.; Fink, K.D. Numerical Methods Using MATLAB; Prentice-Hall: Englewood Cliffs, NJ, USA, 2004. [Google Scholar]
- Griffiths, D.F.; Higham, D.J. Numerical Methods for Ordinary Differential Equations: Initial Value Problems; Springer: London, UK, 2010. [Google Scholar]
- Suli, E.; Mayers, D.F. An Introduction to Numerical Analysis; Cambridge University Press: Oxford, UK, 2003. [Google Scholar]
















| Model | Example 1 | Example 2 | Example 3 | ||
|---|---|---|---|---|---|
| DTQRD-1 (11) | E | E | E | ||
| E | E | E | |||
| E | E | E | |||
| E | E | E | |||
| E | E | E | |||
| E | E | E | |||
| E | E | E | |||
| E | E | E | |||
| DTQRD-2 (12) | E | E | E | ||
| E | E | E | |||
| E | E | E | |||
| E | E | E | |||
| E | E | E | |||
| E | E | E | |||
| E | E | E | |||
| E | E | E | |||
| DTQRD-3 (13) | E | E | E | ||
| E | E | E | |||
| E | E | E | |||
| E | E | E | |||
| E | E | E | |||
| E | E | E | |||
| E | E | E | |||
| E | E | E | |||
| DTQRD-4 (14) | E | E | E | ||
| E | E | E | |||
| E | E | E | |||
| E | E | E | |||
| E | E | E | |||
| E | E | E | |||
| E | E | E | |||
| E | E | E | |||
| DTQRD-5 (15) | E | E | E | ||
| E | E | E | |||
| E | E | E | |||
| E | E | E | |||
| E | E | E | |||
| E | E | E | |||
| E | E | E | |||
| E | E | E |
Disclaimer/Publisher’s Note: The statements, opinions and data contained in all publications are solely those of the individual author(s) and contributor(s) and not of MDPI and/or the editor(s). MDPI and/or the editor(s) disclaim responsibility for any injury to people or property resulting from any ideas, methods, instructions or products referred to in the content. |
© 2023 by the authors. Licensee MDPI, Basel, Switzerland. This article is an open access article distributed under the terms and conditions of the Creative Commons Attribution (CC BY) license (https://creativecommons.org/licenses/by/4.0/).
Share and Cite
Chen, J.; Kang, X.; Zhang, Y. Continuous and Discrete ZND Models with Aid of Eleven Instants for Complex QR Decomposition of Time-Varying Matrices. Mathematics 2023, 11, 3354. https://doi.org/10.3390/math11153354
Chen J, Kang X, Zhang Y. Continuous and Discrete ZND Models with Aid of Eleven Instants for Complex QR Decomposition of Time-Varying Matrices. Mathematics. 2023; 11(15):3354. https://doi.org/10.3390/math11153354
Chicago/Turabian StyleChen, Jianrong, Xiangui Kang, and Yunong Zhang. 2023. "Continuous and Discrete ZND Models with Aid of Eleven Instants for Complex QR Decomposition of Time-Varying Matrices" Mathematics 11, no. 15: 3354. https://doi.org/10.3390/math11153354
APA StyleChen, J., Kang, X., & Zhang, Y. (2023). Continuous and Discrete ZND Models with Aid of Eleven Instants for Complex QR Decomposition of Time-Varying Matrices. Mathematics, 11(15), 3354. https://doi.org/10.3390/math11153354

