Sign in to use this feature.

Years

Between: -

Subjects

remove_circle_outline
remove_circle_outline
remove_circle_outline
remove_circle_outline
remove_circle_outline
remove_circle_outline
remove_circle_outline

Journals

Article Types

Countries / Regions

remove_circle_outline
remove_circle_outline
remove_circle_outline
remove_circle_outline

Search Results (753)

Search Parameters:
Keywords = Jun N-terminal kinase

Order results
Result details
Results per page
Select all
Export citation of selected articles as:
17 pages, 1451 KB  
Review
Targeting the MAPK Pathway in Cancer
by Sultan F. Kadasah
Int. J. Mol. Sci. 2026, 27(1), 214; https://doi.org/10.3390/ijms27010214 - 24 Dec 2025
Viewed by 555
Abstract
The mitogen-activated protein kinase (MAPK) signaling cascade is fundamental in regulating cellular proliferation and differentiation, cell survival and cell death via apoptosis. Disruption of the MAPK signaling cascade at any point can lead to the evasion of apoptosis and unchecked cell growth and [...] Read more.
The mitogen-activated protein kinase (MAPK) signaling cascade is fundamental in regulating cellular proliferation and differentiation, cell survival and cell death via apoptosis. Disruption of the MAPK signaling cascade at any point can lead to the evasion of apoptosis and unchecked cell growth and proliferation, leading to oncogenesis. This narrative review describes MAPK pathway dysregulation, its therapeutic targets, and resistance mechanisms. The therapeutic targeting of the MAPK pathway is complex due to the dual context-dependent roles of several kinases in the signaling cascade. Despite the therapeutic effectiveness of MAPK inhibitors, cancer cells develop chemoresistance that needs to be targeted via bypassing (c-Jun N-terminal kinases) JNK, protein kinase AKT and (mammalian target of rapamycin) mTOR signaling cascades, pairing MAPK inhibitors with multiple immune agents and targeting the MAPK pathway downstream of (extracellular signal-regulated kinase) ERK to prevent its reactivation mechanisms using combination therapies, downstream signaling regulators and (Proteolysis Targeting Chimeras) PROTACs. Additionally, MAPK-mediated regulation of ferroptosis is a novel oncological therapeutic targeting strategy for controlling tumor progression. The inhibition of the RAF/MAPK pathway results in alteration of several key regulators of ferroptosis, including SLCA11, GSH, GPX4 and NCO4A, hence affecting lipid cellular iron concentration and lipid peroxidation. Emerging therapies targeting the MAPK pathway should be designed considering crosstalk, compensatory signaling mechanism activation, the role of ferroptosis and the impact of the tumor microenvironment. Full article
Show Figures

Figure 1

11 pages, 1006 KB  
Article
Elevated Flotillin-1 in Saliva and Salivary Glands: A Novel Non-Invasive Biomarker in an Alzheimer’s Disease Mouse Model
by Sunao Kawakami, Cha-Gyun Jung, Rieko Inoue, Tomohisa Nakamura, Soh Sato and Makoto Michikawa
Diagnostics 2026, 16(1), 61; https://doi.org/10.3390/diagnostics16010061 - 24 Dec 2025
Viewed by 313
Abstract
Background/Objectives: Alzheimer’s disease (AD) is currently diagnosed using established biomarkers, such as reduced cerebrospinal fluid (CSF) Aβ42, increased phosphorylated tau, and cerebral amyloid levels detected by PiB-PET. Because these methods are invasive or require specialized facilities, less invasive and easily detectable [...] Read more.
Background/Objectives: Alzheimer’s disease (AD) is currently diagnosed using established biomarkers, such as reduced cerebrospinal fluid (CSF) Aβ42, increased phosphorylated tau, and cerebral amyloid levels detected by PiB-PET. Because these methods are invasive or require specialized facilities, less invasive and easily detectable biomarkers are needed. Flotillin-1 concentrations are reduced in the CSF and serum of patients with AD. This study examined whether flotillin-1 in saliva, a less invasive specimen than blood, could serve as a biomarker. Methods: Wild-type (WT) and AppNL–G–F (APP knock-in; APP-KI) mice were used to create four groups (2 and 9 months of age, six animals per group). Saliva and salivary glands were collected, and flotillin-1 levels were measured using Western blotting. Intracellular signaling pathways regulating flotillin-1 and salivary gland Aβ42 levels were analyzed using Western blotting and ELISA, respectively. Results: Flotillin-1 levels in the saliva and salivary glands were significantly higher in the 9-month-old APP-KI group than in all other groups, including age-matched WT mice. Phosphorylated extracellular signal-regulated kinase (p-ERK) levels were also significantly elevated in the 9-month-old APP-KI group, whereas phosphorylated c-Jun N-terminal kinase (p-JNK) levels did not differ significantly. Salivary gland Aβ42 levels were markedly increased only in the 9-month-old APP-KI group. Conclusions: Flotillin-1 levels in saliva and salivary glands were significantly elevated in the presence of AD pathology. Aβ accumulation in the salivary glands likely activates the ERK signaling cascade, promoting flotillin-1 expression and secretion. Thus, salivary flotillin-1 may serve as a promising noninvasive biomarker for the early diagnosis of Alzheimer’s disease. Full article
(This article belongs to the Section Clinical Laboratory Medicine)
Show Figures

Figure 1

16 pages, 2329 KB  
Article
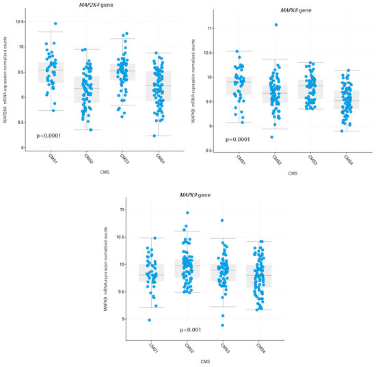
Expression and Clinical Significance of MAPK8, MAPK9, MAP2K4, and MAP2K7 Genes in Colorectal Cancer
by Agnieszka Wosiak, Damian Wodziński, Rafał Świechowski, Jacek Pietrzak, Michał Mik and Ewa Balcerczak
Int. J. Mol. Sci. 2026, 27(1), 100; https://doi.org/10.3390/ijms27010100 - 22 Dec 2025
Viewed by 265
Abstract
This study investigated whether alterations in the expression of genes integral to the c-Jun N-terminal kinase (JNK) signaling pathway play a role in the pathogenesis of colorectal cancer (CRC). It analyzed the expression of genes encoding two JNK isoforms (MAPK8 and MAPK9) and [...] Read more.
This study investigated whether alterations in the expression of genes integral to the c-Jun N-terminal kinase (JNK) signaling pathway play a role in the pathogenesis of colorectal cancer (CRC). It analyzed the expression of genes encoding two JNK isoforms (MAPK8 and MAPK9) and the JNK-activating kinases (MAP2K4 and MAP2K7). Gene expression patterns in CRC tissue were compared with existing data in public online databases to provide an integrated understanding of their potential role in tumorigenesis. The material consisted of 55 cancer tissue fragments collected intraoperatively from patients with histopathologically confirmed CRC. Total RNA isolated from these tissues was used to determine the relative expression of the selected genes using quantitative PCR. Additionally, data from publicly accessible bioinformatics databases were utilized. MAP2K7 gene expression was significantly elevated in tumor specimens with higher histological grades. Conversely, MAPK9 gene expression tended to be higher in tumor tissues with lower histological grades. Moreover, elevated MAPK8 gene expression was linked to an increased incidence of regional lymph node metastasis. Furthermore, bioinformatics analysis confirmed that MAP2K7 and MAPK8 appear to promote tumor aggressiveness and metastasis, whereas MAPK9 and MAP2K4 may have a protective or regulatory role in early stages of the disease. Full article
(This article belongs to the Special Issue Molecular Mechanisms and Therapies of Colorectal Cancer: 4th Edition)
Show Figures

Figure 1

19 pages, 3502 KB  
Article
Oyster Peptides Prepared by Lactobacillus casei Fermentation Enhance Immune Activity in RAW264.7 Cells via Activation of the MAPK Pathway
by Lingyue Zhong, Yirui Wu, Xuefang Guan, Mei Xu, Juqing Huang, Yafeng Zheng and Qi Wang
Mar. Drugs 2025, 23(12), 484; https://doi.org/10.3390/md23120484 - 18 Dec 2025
Viewed by 644
Abstract
Oyster peptides (OPs) have gained increasing attention for their excellent biological activities, especially immunomodulatory effects. In this study, oyster proteins were fermented using Lactobacillus casei to prepare bioactive peptides, and the effects of fermentation parameters (time, temperature, and inoculum amount) on the degree [...] Read more.
Oyster peptides (OPs) have gained increasing attention for their excellent biological activities, especially immunomodulatory effects. In this study, oyster proteins were fermented using Lactobacillus casei to prepare bioactive peptides, and the effects of fermentation parameters (time, temperature, and inoculum amount) on the degree of hydrolysis (DH) were optimized. The optimal fermentation conditions were determined as 30 h, 35 °C, and 5% inoculum amount, resulting in a DH of 28.24%. Structural characterization showed that OPs were mainly composed of low-molecular-weight peptides (<1000 Da) with high hydrophobic amino acid content, and they exhibited good stability during in vitro gastrointestinal digestion. In vitro immunological evaluation using RAW264.7 macrophages demonstrated that OPs significantly enhanced phagocytic activity and nitric oxide (NO) production, and upregulated the mRNA expression levels of pro-inflammatory cytokines including interleukin (IL)-6, IL-1β, and tumor necrosis factor (TNF)-α. Mechanistically, OPs exerted immunostimulatory effects by specifically activating the extracellular signal-regulated kinase (ERK) pathway within the mitogen-activated protein kinase (MAPK) signaling cascade, without significant alterations in the phosphorylation levels of p38 and c-Jun N-terminal kinase (JNK). These findings highlight the potential of Lactobacillus casei-fermented oyster peptides as natural immunomodulatory ingredients for functional food development. Full article
Show Figures

Figure 1

20 pages, 2636 KB  
Article
Pro-Inflammatory Macrophage Phenotype Skewing Induced by Tumor Treating Fields (TTFields)
by Tal Kan, Yiftah Barsheshet, Tharwat Haj Khalil, Boris Brant, Tali Voloshin, Kerem Ben-Meir, Simona Zisman Rosen, Moshe Giladi, Uri Weinberg and Yoram Palti
Int. J. Mol. Sci. 2025, 26(24), 12086; https://doi.org/10.3390/ijms262412086 - 16 Dec 2025
Viewed by 483
Abstract
Tumor-associated macrophages (TAMs) are abundant in the tumor microenvironment (TME) and often adopt an M2-like immunosuppressive phenotype that promotes tumor growth. Reprogramming TAMs toward an M1-like pro-inflammatory state is an attractive therapeutic strategy. Tumor Treating Fields (TTFields), an FDA-approved, electric-field–based therapy, has recently [...] Read more.
Tumor-associated macrophages (TAMs) are abundant in the tumor microenvironment (TME) and often adopt an M2-like immunosuppressive phenotype that promotes tumor growth. Reprogramming TAMs toward an M1-like pro-inflammatory state is an attractive therapeutic strategy. Tumor Treating Fields (TTFields), an FDA-approved, electric-field–based therapy, has recently been suggested to modulate immune responses in addition to its established anti-mitotic activity. Here, we investigated the direct effects of TTFields on macrophage activation and function. Murine bone marrow–derived macrophages (BMDMs) were polarized toward a pro-inflammatory M1-like phenotype or an anti-inflammatory M2-like phenotype and exposed to TTFields. TTFields rapidly activated guanine nucleotide exchange factor-H1 (GEF-H1), and downstream nuclear factor kappa B (NF-κB) and activator protein-1 (AP-1, via c-Jun N-terminal kinase [JNK]) signaling. Functionally, TTFields reprogrammed M2-like macrophages by increasing major histocompatibility complex class II (MHC-II) and cluster of differentiation 80 (CD80); reducing arginase-1 (Arg1); and elevating secretion of chemokine (C-X-C motif) ligand 1 (CXCL1), interleukin-6 (IL-6), IL-1β, and IL-12 subunit p70 (IL-12p70). In interferon gamma (IFN-γ)-primed macrophages, TTFields provided a secondary signal, driving myeloid differentiation primary response 88 (MyD88)-dependent expression of inducible nitric oxide synthase (iNOS). In vivo, TTFields reduced tumor burden in an orthotopic murine lung cancer model and increased iNOS expression in both M1-like and a subset of M2-like TAMs. These findings demonstrate that TTFields directly reprogram macrophages toward a pro-inflammatory phenotype, suggesting a novel immunomodulatory mechanism that may enhance anti-tumor immunity in the TME. Full article
(This article belongs to the Section Molecular Immunology)
Show Figures

Figure 1

25 pages, 5642 KB  
Article
Pharmacological Inhibition of JNK Signalling Exerts Anti-Neoplastic Effects on SH-SY5Y Human Neuroblastoma Cells
by Zuzanna Granek, Natalia Siwecka, Kamil Saramowicz, Grzegorz Galita, Michał Golberg, Ireneusz Majsterek and Wioletta Rozpędek-Kamińska
Int. J. Mol. Sci. 2025, 26(24), 11894; https://doi.org/10.3390/ijms262411894 - 10 Dec 2025
Viewed by 367
Abstract
Neuroblastoma (NB) is the most prevalent paediatric extracranial solid tumour, which remains a major therapeutic challenge, especially in cases of recurrent and disseminated disease. c-Jun N-terminal kinases (JNKs) are increasingly evidenced to play a key role in NB tumourigenesis and progression through apoptosis [...] Read more.
Neuroblastoma (NB) is the most prevalent paediatric extracranial solid tumour, which remains a major therapeutic challenge, especially in cases of recurrent and disseminated disease. c-Jun N-terminal kinases (JNKs) are increasingly evidenced to play a key role in NB tumourigenesis and progression through apoptosis regulation, making selective JNK inhibitors promising candidates for use in targeted anticancer drugs in NB. Our study comprehensively investigated the acute antineoplastic potential of the selective JNK inhibitor AS601245 (JNK inhibitor V) on the human MYCN-non-amplified neuroblastoma cell line, SH-SY5Y, with particular focus on its effects on NB cell viability, proliferation, migration, apoptosis, gene and protein expression, and mitochondrial metabolism. JNK V selectively impaired NB cell survival and function, without exerting cytotoxicity toward normal human Schwann cells (HSC) and fibroblasts (BJ). Our findings highlighted a dose-dependent inhibition of proliferation (XTT assay), colony formation (clonogenic assay), and migration (wound healing assay), accompanied by increased caspase-3 activity (caspase-3 assay), pro-apoptotic genes (qRT-PCR) and protein (Western blotting) expression, and significant disruption of both oxidative phosphorylation and glycolysis (Agilent Seahorse XF Assay). These results provide new insights into the therapeutic potential of JNK inhibition as a targeted strategy for NB. Full article
(This article belongs to the Special Issue The Role of Protein Kinase in Health and Diseases)
Show Figures

Graphical abstract

24 pages, 9439 KB  
Article
MAPK Pathway Activation Patterns in the Synovium Reveal ERK1/2 and EGFR as Key Players in Osteoarthritis
by Ivana Jurić, Petar Todorović, Nela Kelam, Danica Boban, Patricija Bajt, Anita Racetin, Matko Rošin, Davor Čarić and Katarina Vukojević
Biomedicines 2025, 13(12), 2992; https://doi.org/10.3390/biomedicines13122992 - 5 Dec 2025
Viewed by 576
Abstract
Background/Objectives: Chronic synovitis is a hallmark of osteoarthritis (OA) progression, driving cartilage degradation via inflammatory mediators. While the MAPK signaling pathway is implicated in OA pathogenesis its activation patterns in hip synovium remain poorly characterized, and regional differences within the synovial membrane [...] Read more.
Background/Objectives: Chronic synovitis is a hallmark of osteoarthritis (OA) progression, driving cartilage degradation via inflammatory mediators. While the MAPK signaling pathway is implicated in OA pathogenesis its activation patterns in hip synovium remain poorly characterized, and regional differences within the synovial membrane have not been systematically examined. This research aims to determine the expression of extracellular signal-regulated kinase 1/2 (ERK1/2), p38 mitogen-activated protein kinase (p38 MAPK), c-Jun N-terminal kinase (JNK), and the Epidermal Growth Factor Receptor (EGFR) in the MAPK signaling pathway in the synovial membrane of osteoarthritic hips. Methods: We compared synovial immunofluorescence expression of the aforementioned proteins in a control (CTRL) group of subjects with femoral neck fractures and a group with hip OA. Results: Higher ERK1/2 immunoexpression was detected in the intima compared with the subintima in the CTRL group (p < 0.05), and a similar distribution was observed in the OA group (p < 0.0001). The intima of the OA group exhibited a considerably greater area percentage of positive signal than the intima of the CTRL group (p < 0.01). In all groups examined, we observed that p38 MAPK expression was markedly more positive in the intima than in the subintima (p < 0.0001), but without statistically significant differences between groups. JNK and EGFR immunoexpression were higher in the intima than in the subintima across all analyzed groups, but the difference did not reach statistical significance (p > 0.05). No differences in the expression of these two markers were detected between the CTRL and OA groups (p > 0.05). Differential analysis of the GEO dataset revealed no significant differences in expression between the OA and CTRL groups in the expression of MAPK1, MAPK3, MAPK8, MAPK9, MAPK10, and MAPK11. EGFR was significantly elevated in OA compared to CTRLs in the differential analysis of the GEO dataset. Conclusions: This study provides the first comprehensive analysis of MAPK pathway activation in hip OA synovium, revealing ERK1/2 as a key player with region-specific upregulation in the synovial intima. Combined with elevated EGFR expression, these findings suggest potential therapeutic targets for hip OA synovitis. The discordance between protein and mRNA levels for ERK1/2 indicates post-transcriptional regulation, warranting further investigation into phosphorylation status and functional activation. Our results support the development of targeted interventions for hip OA, a condition with limited treatment options beyond joint replacement. Full article
(This article belongs to the Section Molecular and Translational Medicine)
Show Figures

Graphical abstract

14 pages, 2035 KB  
Article
Extracellular ATP Suppresses Perlecan Core Protein Synthesis via P2Y2 Receptor-Mediated Inhibition of Akt Signaling in Cultured Vascular Endothelial Cells
by Lihito Ikeuchi, Takato Hara, Kazuki Kitabatake, Fumiaki Uchiumi, Chika Yamamoto, Mitsutoshi Tsukimoto, Tomoya Fujie and Toshiyuki Kaji
Int. J. Mol. Sci. 2025, 26(22), 10973; https://doi.org/10.3390/ijms262210973 - 12 Nov 2025
Viewed by 499
Abstract
Perlecan, a major heparan sulfate proteoglycan in the vascular basement membrane, plays an essential role in maintaining endothelial barrier integrity, regulating fibroblast growth factor-2 signaling, and exerting anticoagulant activity. Although alterations in perlecan expression are implicated in the initiation and progression of atherosclerosis, [...] Read more.
Perlecan, a major heparan sulfate proteoglycan in the vascular basement membrane, plays an essential role in maintaining endothelial barrier integrity, regulating fibroblast growth factor-2 signaling, and exerting anticoagulant activity. Although alterations in perlecan expression are implicated in the initiation and progression of atherosclerosis, the upstream regulatory mechanisms remain unclear. In this study, we investigated the effects of extracellular ATP on perlecan expression in vascular endothelial cells. ATP, but not ADP or adenosine, suppressed perlecan expression at both mRNA and protein levels in a time- and concentration-dependent manner. This suppression was recovered by knockdown of P2Y2 receptor (P2Y2R), but not by P2X4 receptor, P2X7 receptor, or P2Y1 receptor knockdown, indicating the selective involvement of P2Y2R. Mechanistically, ATP reduced Akt phosphorylation mediated by P2Y2R, and inhibition of Akt by inhibitors decreased perlecan expression, whereas inhibitors of phosphoinositide 3-kinase, mammalian target of rapamycin complex 1, extracellular signal-regulated kinase, p38 mitogen-activated protein kinase, c-Jun N-terminal kinases did not exhibit this recovery effect. These results suggest that ATP downregulates perlecan synthesis via the P2Y2R-mediated inhibition of Akt signaling. Given that ATP is markedly elevated under pathological conditions, such as inflammation and platelet activation, suppression of perlecan synthesis is an important mechanism by which ATP promotes vascular disease progression. Full article
(This article belongs to the Collection Feature Papers Collection in Biochemistry)
Show Figures

Graphical abstract

18 pages, 3169 KB  
Article
Dehydroandrographolide Alleviates Oxidative Stress, Inflammatory Response, and Pyroptosis in DSS-Induced Colitis Mice by Modulating Nrf2 Signaling Pathway
by Meifen Wang, Zhenyu Li, Xinghua Lei, Ziyue Yang, Shuixing Yu and Guangxin Chen
Biomolecules 2025, 15(11), 1580; https://doi.org/10.3390/biom15111580 - 10 Nov 2025
Viewed by 706
Abstract
Dehydroandrographolide (DA), a bioactive diterpenoid from Andrographis paniculata with diverse biological activity, was investigated for its antioxidant and anti-inflammatory effects in lipopolysaccharide (LPS)-stimulated RAW264.7 macrophages and dextran sulfate sodium (DSS)-induced murine colitis. In vitro, DA inhibited the inflammatory response by modulating extracellular Signal-Regulated [...] Read more.
Dehydroandrographolide (DA), a bioactive diterpenoid from Andrographis paniculata with diverse biological activity, was investigated for its antioxidant and anti-inflammatory effects in lipopolysaccharide (LPS)-stimulated RAW264.7 macrophages and dextran sulfate sodium (DSS)-induced murine colitis. In vitro, DA inhibited the inflammatory response by modulating extracellular Signal-Regulated Kinase (Erk), c-Jun N-terminal Kinase (Jnk), p38 Mitogen-Activated Protein Kinase (P38), nuclear factor kappa-light-chain-enhancer of activated B cells (NF-κB) p65 activation, and downregulated interleukin-6 (il-6) and interleukin-1β (il-1β) mRNA. It also had antioxidant effects by upregulating Nuclear Factor Erythroid 2-Related Factor 2 (Nrf2), NAD(P)H quinone dehydrogenase 1 (Nqo-1) and heme oxygenase-1 (Ho-1), promoting protein kinase B (Akt) and 5′-adenosine monophosphate-activated protein kinase-α1 (Ampk-α1) phosphorylation. DA decreased cyclooxygenase-2 (Cox-2) and inducible nitric oxide synthase (iNos) levels and alleviated intracellular reactive oxygen species (ROS) accumulation. In vivo, DA alleviated DSS-induced colitis in wild type (WT) mice by improving weight loss, disease activity index, colonic inflammation, and oxidative stress. The beneficial effects were linked to inhibiting Erk, Jnk, and P38 activation and enhancing Nrf2 signaling pathway. DA inhibited NOD-like receptor family pyrin domain-containing 3 (Nlrp3) inflammasome-mediated pryoptosis. However, DA’s protective effects were abolished in DSS-induced nrf2−/− mice, suggesting its efficacy depends on Nrf2 signaling. Overall, DA alleviates oxidative stress, inflammatory responses, and pyroptosis in experimental colitis mice mainly by activating Nrf2 signaling pathway, highlighting its potential as a promising therapeutic option for inflammatory bowel disease. Full article
(This article belongs to the Special Issue The Value of Natural Compounds as Therapeutic Agents: 3rd Edition)
Show Figures

Figure 1

14 pages, 1480 KB  
Article
c-Jun N-Terminal Kinase (JNK) Inhibitor IQ-1S as a Suppressor of Tumor Spheroid Growth
by Elena Afrimzon, Mordechai Deutsch, Maria Sobolev, Naomi Zurgil, Andrei I. Khlebnikov, Mikhail A. Buldakov and Igor A. Schepetkin
Molecules 2025, 30(21), 4278; https://doi.org/10.3390/molecules30214278 - 3 Nov 2025
Viewed by 634
Abstract
c-Jun N-terminal kinase (JNK) activation has been shown to play a crucial role in the development of various types of cancer. IQ-1S is a JNK inhibitor based on the 11H-indeno[1,2-b]quinoxalin-11-one scaffold. The aim of this study was to investigate [...] Read more.
c-Jun N-terminal kinase (JNK) activation has been shown to play a crucial role in the development of various types of cancer. IQ-1S is a JNK inhibitor based on the 11H-indeno[1,2-b]quinoxalin-11-one scaffold. The aim of this study was to investigate the antiproliferative effect of IQ-1S on MCF7 breast cancer cells in both two-dimensional (2D) monolayer and 3D multicellular spheroid test-systems. Non-adherent, non-tethered 3D objects were generated from single MCF7 breast cancer cells in a hydrogel array. IQ-1S was added directly to the cells seeded in the hydrogel array. MCF7 spheroids were grown for 7 days. Spheroid size, growth rate, and morphology were assessed at single-object resolution. The study revealed significant differences in the size, morphology and some vital characteristics of breast cancer 3D objects when treated with the JNK inhibitor compared to vehicle (dimethyl sulfoxide)-treated controls. Spheroids treated with IQ-1S (20 μM) after 7 days are significantly smaller than the control objects. This difference was not attributable to variations in the initial number of cells seeding for the spheroid formation. Morphological examinations showed that 3D multicellular objects grown from IQ-1S-treated cells lose their regular, round morphology, in contrast to control spheroids. Furthermore, cell proliferation measured using a label-free impedance monitoring platform was reduced in monolayer (2D) culture of MCF7 cells in the presence of 10 and 20 μM IQ-1S. MCF7 cells in 2D culture treated with IQ-1S (20 μM) for 72 and 153 h showed a significant increase in apoptosis as assessed by flow cytometry with annexin V/propidium iodide staining. An in silico evaluation showed that compound IQ-1S has generally satisfactory ADME (absorption, distribution, metabolism, and excretion) properties and high bioavailability. We conclude that IQ-1S effectively inhibits the growth of 3D spheroids and MCF7 cells in 2D culture and has a high potential for use in preclinical tumor growth models. Full article
(This article belongs to the Special Issue The Anticancer Drugs: A New Perspective)
Show Figures

Graphical abstract

15 pages, 1488 KB  
Review
Postprandial Inflammation in Obesity: Dietary Determinants, Adipose Tissue Dysfunction and the Gut Microbiome
by Donya Shahamati, Neda S. Akhavan and Sara K. Rosenkranz
Biomolecules 2025, 15(11), 1516; https://doi.org/10.3390/biom15111516 - 27 Oct 2025
Viewed by 2119
Abstract
Obesity is characterized by chronic low-grade inflammation that disrupts metabolic homeostasis and increases cardiometabolic risk. The postprandial period, during which individuals spend much of the day, is a critical window when nutrient absorption, lipid metabolism, and immune activation intersect. In obesity, dysfunctional adipose [...] Read more.
Obesity is characterized by chronic low-grade inflammation that disrupts metabolic homeostasis and increases cardiometabolic risk. The postprandial period, during which individuals spend much of the day, is a critical window when nutrient absorption, lipid metabolism, and immune activation intersect. In obesity, dysfunctional adipose tissue and impaired gut barrier integrity amplify postprandial inflammatory responses through increased translocation of lipopolysaccharides and altered adipokine secretion. These processes converge on signaling pathways such as Toll-like receptor 4/nuclear factor-κB, c-Jun n-terminal kinase, and the NOD-like receptor family pyrin domain-containing protein 3 (NLRP3) inflammasome, leading to insulin resistance, endothelial dysfunction, and atherogenesis. This review synthesizes evidence on the interplay between gut-derived endotoxemia and adipose tissue dysfunction in postprandial inflammation. We further highlight the modulatory roles of dietary fat quality, plant-based dietary patterns, polyphenols, omega-3 fatty acids, dietary fiber, and nuclear receptor activation, particularly through peroxisome proliferator-activated receptors (PPARs). Emerging evidence indicates that nutritional and pharmacological strategies targeting these mechanisms can attenuate postprandial inflammation and improve metabolic outcomes. A combined approach integrating personalized nutrition, functional foods, and therapies targeting PPAR isoforms may represent a promising avenue for mitigating obesity-associated postprandial inflammation and long-term cardiometabolic complications. Full article
(This article belongs to the Section Molecular Biomarkers)
Show Figures

Figure 1

16 pages, 6203 KB  
Article
Microcirculation-Promoting Effect of Escin on Cutaneous Tissue via Gsk3β Down-Regulation
by Jaeyoon Kim, Jang Ho Joo, Heena Rim, Sung Hyun Kim, Jae young Shin, Seung-Hyun Jun and Nae-Gyu Kang
Curr. Issues Mol. Biol. 2025, 47(10), 840; https://doi.org/10.3390/cimb47100840 - 14 Oct 2025
Viewed by 1115
Abstract
Microcirculation in cutaneous tissue is essential to balance oxygen delivery and maintain the health of the skin. Senescence contributes to microcirculatory dysfunction through mechanisms involving chronic inflammation, structural remodeling of microvessels, and disturbances in hemodynamics. In this study we investigated the promoting effect [...] Read more.
Microcirculation in cutaneous tissue is essential to balance oxygen delivery and maintain the health of the skin. Senescence contributes to microcirculatory dysfunction through mechanisms involving chronic inflammation, structural remodeling of microvessels, and disturbances in hemodynamics. In this study we investigated the promoting effect of escin on blood flow through topical application. To elucidate the molecular mechanisms of escin, kinase phosphorylation changes in human umbilical vein endothelial cells (HUVECs) were examined. Escin stimulates the Wnt/β-Catenin and c-Jun N-terminal kinase (JNK) signaling pathway in cultured HUVECs. To clarify the target of escin in the Wnt/β-Catenin signaling pathway, gene expression in response to escin treatment was evaluated, and escin-mediated signaling activation was accompanied by glycogen synthase kinase-3 beta (Gsk3β), according to inhibitor studies performed with IWR1 (tankyrase inhibitor). In addition, the expression level of the Gsk3β were down-regulated by escin treatment in cultured HUEVCs. Escin also enhanced vascular remodeling, and, when applied topically, led to a sustained increase in cutaneous blood flow. Escin-mediated Wnt signaling activation could enhance blood vessel networks via Gsk3β down-regulation. In conclusion, our data demonstrate that escin promotes angiogenic behavior and enhances adenosine-induced perfusion in humans, thereby supporting its potential role in modulating cutaneous microcirculation. Full article
(This article belongs to the Section Biochemistry, Molecular and Cellular Biology)
Show Figures

Graphical abstract

14 pages, 2001 KB  
Article
Icatibant Acts as a Balanced Ligand of MRGPRX2 in Human Skin Mast Cells
by Zhuoran Li, Jean Schneikert, Gürkan Bal, Torsten Zuberbier and Magda Babina
Biomolecules 2025, 15(9), 1224; https://doi.org/10.3390/biom15091224 - 25 Aug 2025
Cited by 1 | Viewed by 1975
Abstract
MRGPRX2 (Mas-related G protein-coupled receptor member X2) is implicated in mast cell (MC)-driven disorders due to its ability to bind diverse ligands, which may be G-protein-biased or balanced, with the latter activating both G-proteins and the β-arrestin pathway. Icatibant, a peptide drug, produces [...] Read more.
MRGPRX2 (Mas-related G protein-coupled receptor member X2) is implicated in mast cell (MC)-driven disorders due to its ability to bind diverse ligands, which may be G-protein-biased or balanced, with the latter activating both G-proteins and the β-arrestin pathway. Icatibant, a peptide drug, produces injection-site reactions in most patients and is used experimentally to probe MRGPRX2 function in skin tests. While reported to be G-protein-biased, it is unknown how skin MCs respond to icatibant, although these are the primary target cells during therapy. We therefore compared responses to icatibant with those induced by the balanced agonist substance P (SP) in skin MCs. Degranulation and desensitization were assessed via β-hexosaminidase release, receptor internalization by flow cytometry, and downstream signaling by immunoblotting. Skin MCs degranulated in response to SP and icatibant, relying on Gi proteins and calcium channels; Gq and PI3K (Phosphoinositide 3-kinase) contributed more strongly to exocytosis following icatibant, while JNK (c-Jun n-terminal kinase) was more relevant for SP. Both agonists activated ERK, PI3K/AKT, and (weakly) p38. Surprisingly, and in contrast to the LAD2 (Laboratory of Allergic Diseases 2 mast cell line) MC line, icatibant was at least as potent as SP in eliciting MRGPRX2 internalization and (cross-)desensitization in skin MCs. These findings suggest that icatibant functions differently in primary versus transformed MCs, acting as a fully balanced ligand in the former by triggering not only degranulation but also receptor internalization and desensitization. Therefore, not only the ligand but also the MRGPRX2-expressing cell plays a decisive role in whether a ligand is balanced or biased. These findings are relevant to our understanding of icatibant’s clinical effects on edema and itch. Full article
(This article belongs to the Special Issue Molecular Basis of Mast Cells Activation and Medical Implications)
Show Figures

Figure 1

12 pages, 996 KB  
Article
Augmentation of the Benzyl Isothiocyanate-Induced Antiproliferation by NBDHEX in the HCT-116 Human Colorectal Cancer Cell Line
by Ruitong Sun, Aina Yano, Ayano Satoh, Shintaro Munemasa, Yoshiyuki Murata, Toshiyuki Nakamura and Yoshimasa Nakamura
Int. J. Mol. Sci. 2025, 26(17), 8145; https://doi.org/10.3390/ijms26178145 - 22 Aug 2025
Viewed by 992
Abstract
Increased drug metabolism and elimination are prominent mechanisms mediating multidrug resistance (MDR) to not only chemotherapy drugs but also anti-cancer natural products, such as benzyl isothiocyanate (BITC). To evaluate the possibility of combined utilization of a certain compound to overcome this resistance, we [...] Read more.
Increased drug metabolism and elimination are prominent mechanisms mediating multidrug resistance (MDR) to not only chemotherapy drugs but also anti-cancer natural products, such as benzyl isothiocyanate (BITC). To evaluate the possibility of combined utilization of a certain compound to overcome this resistance, we focused on glutathione S-transferase (GST)-dependent metabolism of BITC. The pharmacological treatment of a pi-class GST-selective inhibitor, 6-(7-nitro-2,1,3-benzoxadiazol-4-ylthio)hexanol (NBDHEX), significantly increased BITC-induced toxicity in human colorectal cancer HCT-116 cells. However, NBDHEX unexpectedly increased the level of the BITC–glutathione (GSH) conjugate as well as BITC-modified proteins, suggesting that NBDHEX might increase BITC-modified protein accumulation by inhibiting BITC–GSH excretion instead of inhibiting GST. Furthermore, NBDHEX significantly potentiated BITC-induced apoptosis with the enhanced activation of apoptosis-related pathways, such as c-Jun N-terminal kinase and caspase-3 pathways. These results suggested that combination treatment with NBDHEX may be an effective way to overcome MDR with drug efflux and thus induce the biological activity of BITC at lower doses. Full article
(This article belongs to the Special Issue Fundamental and Translational Insights into Colorectal Cancer)
Show Figures

Figure 1

12 pages, 745 KB  
Article
Effect of Recombinant NGF Encapsulated in Chitosan on Rabbit Sperm Traits and Main Metabolic Pathways
by Luigia Bosa, Simona Mattioli, Anna Maria Stabile, Desirée Bartolini, Alessia Tognoloni, Alessandra Pistilli, Mariangela Ruggirello, Mario Rende, Silvia Gimeno-Martos, Daniela Jordán-Rodríguez, Maria Arias-Álvarez, Pilar García Rebollar, Rosa M. García-García and Cesare Castellini
Biology 2025, 14(8), 974; https://doi.org/10.3390/biology14080974 - 1 Aug 2025
Viewed by 647
Abstract
The aim of this study was to analyze how recombinant rabbit NGF (Nerve Growth Factor) encapsulated in chitosan (rrβNGFch) affects sperm viability, motility, capacitation, acrosome reaction (AR), kinetic traits, and apoptosis after 30 min and 2 h of storage. Specific intracellular signaling pathways [...] Read more.
The aim of this study was to analyze how recombinant rabbit NGF (Nerve Growth Factor) encapsulated in chitosan (rrβNGFch) affects sperm viability, motility, capacitation, acrosome reaction (AR), kinetic traits, and apoptosis after 30 min and 2 h of storage. Specific intracellular signaling pathways associated with either cell survival, such as protein kinase B (AKT) and extracellular signal-regulated kinases 1/2 (ERK1/2), or programmed cell death, such as c-Jun N-terminal kinase (JNK), were also analyzed. The results confirmed the effect of rrβNGFch on capacitation and AR, whereas a longer storage time (2 h) decreased all qualitative sperm traits. AKT and JNK did not show treatment-dependent activation and lacked a correlation with functional traits, as shown by ERK1/2. These findings suggest that rrβNGFch may promote the functional activation of sperm cells, particularly during early incubation. The increase in capacitation and AR was not linked to significant changes in pathways related to cell survival or death, indicating a specific action of the treatment. In contrast, prolonged storage negatively affected all sperm parameters. ERK1/2 activation correlated with capacitation, AR, and apoptosis, supporting its role as an NGF downstream mediator. Further studies should analyze other molecular mechanisms of sperm and the potential applications of NGF in assisted reproduction. Full article
(This article belongs to the Section Developmental and Reproductive Biology)
Show Figures

Graphical abstract

Back to TopTop