Sign in to use this feature.

Years

Between: -

Subjects

remove_circle_outline
remove_circle_outline

Journals

Article Types

Countries / Regions

Search Results (6)

Search Parameters:
Keywords = ITZO

Order results
Result details
Results per page
Select all
Export citation of selected articles as:
11 pages, 1725 KB  
Article
Amorphous ITZO-Based Selector Device for Memristor Crossbar Array
by Ki Han Kim, Min-Jae Seo and Byung Chul Jang
Micromachines 2023, 14(3), 506; https://doi.org/10.3390/mi14030506 - 22 Feb 2023
Cited by 7 | Viewed by 4332
Abstract
In the era of digital transformation, a memristor and memristive circuit can provide an advanced computer architecture that efficiently processes a vast quantity of data. With the unique characteristic of memristor, a memristive crossbar array has been utilized for realization of nonvolatile memory, [...] Read more.
In the era of digital transformation, a memristor and memristive circuit can provide an advanced computer architecture that efficiently processes a vast quantity of data. With the unique characteristic of memristor, a memristive crossbar array has been utilized for realization of nonvolatile memory, logic-in-memory circuit, and neuromorphic system. However, the crossbar array architecture suffers from leakage of current, known as the sneak current, which causes a cross-talk interference problem between adjacent memristor devices, leading to an unavoidable operational error and high power consumption. Here, we present an amorphous In-Sn-Zn-O (a-ITZO) oxide semiconductor-based selector device to address the sneak current issue. The a-ITZO-selector device is realized with the back-to-back Schottky diode with nonlinear current-voltage (I-V) characteristics. Its nonlinearity is dependent on the oxygen plasma treatment process which can suppress the surface electron accumulation layer arising on the a-ITZO surface. The a-ITZO-selector device shows reliable characteristics against electrical stress and high temperature. In addition, the selector device allows for a stable read margin over 1 Mbit of memristor crossbar array. The findings may offer a feasible solution for the development of a high-density memristor crossbar array. Full article
(This article belongs to the Special Issue Advances in Memristors, Memristive Devices and Systems)
Show Figures

Figure 1

8 pages, 1941 KB  
Article
In-Sn-Zn Oxide Nanocomposite Films with Enhanced Electrical Properties Deposited by High-Power Impulse Magnetron Sputtering
by Hui Sun, Zhi-Yue Li, Sheng-Chi Chen, Ming-Han Liao, Jian-Hong Gong, Zhamatuofu Bai and Wan-Xia Wang
Nanomaterials 2021, 11(8), 2016; https://doi.org/10.3390/nano11082016 - 6 Aug 2021
Cited by 9 | Viewed by 2718
Abstract
In-Sn-Zn oxide (ITZO) nanocomposite films have been investigated extensively as a potential material in thin-film transistors due to their good electrical properties. In this work, ITZO thin films were deposited on glass substrates by high-power impulse magnetron sputtering (HiPIMS) at room temperature. The [...] Read more.
In-Sn-Zn oxide (ITZO) nanocomposite films have been investigated extensively as a potential material in thin-film transistors due to their good electrical properties. In this work, ITZO thin films were deposited on glass substrates by high-power impulse magnetron sputtering (HiPIMS) at room temperature. The influence of the duty cycle (pulse off-time) on the microstructures and electrical performance of the films was investigated. The results showed that ITZO thin films prepared by HiPIMS were dense and smooth compared to thin films prepared by direct-current magnetron sputtering (DCMS). With the pulse off-time increasing from 0 μs (DCMS) to 2000 μs, the films’ crystallinity enhanced. When the pulse off-time was longer than 1000 μs, In2O3 structure could be detected in the films. The films’ electrical resistivity reduced as the pulse off-time extended. Most notably, the optimal resistivity of as low as 4.07 × 10−3 Ω·cm could be achieved when the pulse off-time was 2000 μs. Its corresponding carrier mobility and carrier concentration were 12.88 cm2V−1s−1 and 1.25 × 1020 cm−3, respectively. Full article
(This article belongs to the Special Issue Nanotechnologies and Nanomaterials: Selected Papers from CCMR)
Show Figures

Figure 1

8 pages, 2331 KB  
Article
Impact of Photo-Excitation on Leakage Current and Negative Bias Instability in InSnZnO Thickness-Varied Thin-Film Transistors
by Dapeng Wang, Mamoru Furuta, Shigekazu Tomai and Koki Yano
Nanomaterials 2020, 10(9), 1782; https://doi.org/10.3390/nano10091782 - 9 Sep 2020
Cited by 7 | Viewed by 2991
Abstract
InSnZnO thin-film transistors (ITZO TFTs), having high carrier mobility, guarantee the benefits of potential applications in the next generation of super-high-definition flat-panel displays. However, the impact of photo-excitation on the leakage current and negative bias stress (NBIS) of ITZO TFTs must be further [...] Read more.
InSnZnO thin-film transistors (ITZO TFTs), having high carrier mobility, guarantee the benefits of potential applications in the next generation of super-high-definition flat-panel displays. However, the impact of photo-excitation on the leakage current and negative bias stress (NBIS) of ITZO TFTs must be further explored. In this study, the ITZO thickness (TITZO) is designed to tailor the initial performance of devices, especially for the 100 nm TITZO TFT, producing excellent electrical properties of 44.26 cm2V−1s−1 mobility, 92 mV/dec. subthreshold swing (SS), 0.04 V hysteresis, and 3.93 × 1010 ON/OFF ratio, which are superior to those of the reported ITZO TFTs. In addition, incident light coupled with tunable photon energy is introduced to monitor the leakage current of various TITZO devices. The OFF-current results demonstrate that under the identical photon energy, many more electrons are photo-excited for the thicker TITZO TFTs. NBIS-induced Vth shift and SS deterioration in all TFTs are traced and analyzed in real time. As the TITZO thickens to near Debye length, the degree of degradation is exacerbated. When the thickness further increases, the notorious instability caused by NBIS is effectively suppressed. This study provides an important research basis for the application of ITZO-based TFTs in future displays. Full article
Show Figures

Graphical abstract

10 pages, 3214 KB  
Article
Understanding the Role of Temperature and Drain Current Stress in InSnZnO TFTs with Various Active Layer Thicknesses
by Dapeng Wang, Mamoru Furuta, Shigekazu Tomai and Koki Yano
Nanomaterials 2020, 10(4), 617; https://doi.org/10.3390/nano10040617 - 27 Mar 2020
Cited by 12 | Viewed by 3316
Abstract
Thin-film transistor (TFT) devices composed of metal oxide semiconductors have attracted tremendous research attention globally in recent years. Owing to their ability to offer mobility, metal oxide semiconductor materials can enable high-performance TFTs for next-generation integrated display devices. Nevertheless, further breakthroughs of metal [...] Read more.
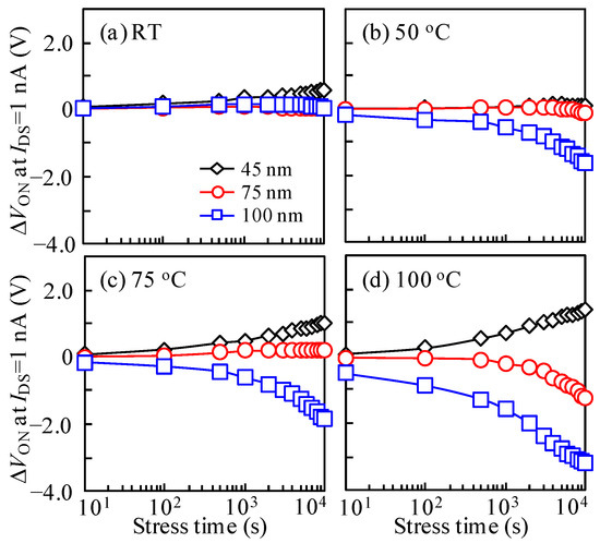
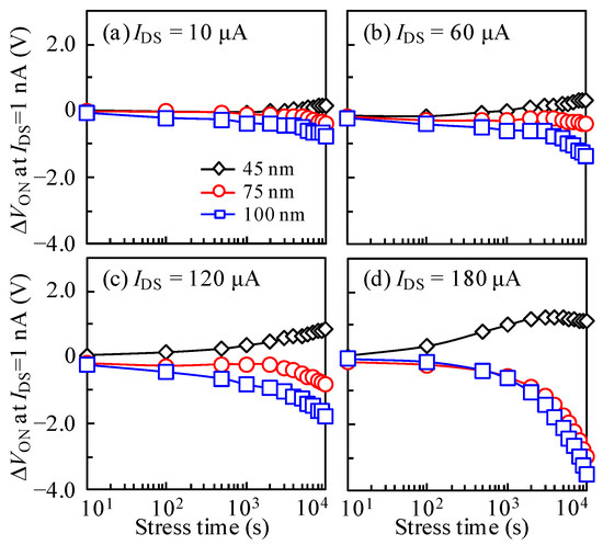
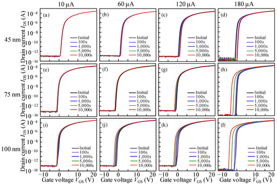
Thin-film transistor (TFT) devices composed of metal oxide semiconductors have attracted tremendous research attention globally in recent years. Owing to their ability to offer mobility, metal oxide semiconductor materials can enable high-performance TFTs for next-generation integrated display devices. Nevertheless, further breakthroughs of metal oxide TFTs are mainly obstructed by their long-term variability, the reason for which is not yet fully understood. Herein, TFTs based on InSnZnO (ITZO) with various thicknesses (TITZO) were prepared and their long-term stabilities under test temperatures and drain current stress were investigated. The results indicate that ITZO TFTs exhibit outstanding electrical properties regardless of the TITZO, including a high saturated mobility of over 35 cm2V−1s−1 and sharp subthreshold swing. Note that the transfer and output characteristic curves of the device with a thick TITZO of 100 nm express an abnormal current surge when high gate and drain voltages are exerted, which is attributed to the floating body effect, caused when the imposed electric field induces impact ionization near the drain side. More interestingly, these drain current stress results further suggest that the abnormal shift behavior of the electrical properties of the ITZO TFTs with a TITZO of greater than 75 nm is observed to deteriorate gradually with increasing temperature and drain current bias. This study addresses that such a degradation effect should be restrained for the operation of high-mobility devices. Full article
Show Figures

Graphical abstract

9 pages, 3189 KB  
Article
Influence of Sputtering Power on the Electrical Properties of In-Sn-Zn Oxide Thin Films Deposited by High Power Impulse Magnetron Sputtering
by Zhi-Yue Li, Sheng-Chi Chen, Qiu-Hong Huo, Ming-Han Liao, Ming-Jiang Dai, Song-Sheng Lin, Tian-Lin Yang and Hui Sun
Coatings 2019, 9(11), 715; https://doi.org/10.3390/coatings9110715 - 31 Oct 2019
Cited by 8 | Viewed by 4508
Abstract
In-Sn-Zn oxide (ITZO) thin films have been studied as a potential material in flat panel displays due to their high carrier concentration and high mobility. In the current work, ITZO thin films were deposited on glass substrates by high-power impulse magnetron sputtering (HiPIMS) [...] Read more.
In-Sn-Zn oxide (ITZO) thin films have been studied as a potential material in flat panel displays due to their high carrier concentration and high mobility. In the current work, ITZO thin films were deposited on glass substrates by high-power impulse magnetron sputtering (HiPIMS) at room temperature. The influence of the sputtering power on the microstructures and electrical performance of ITZO thin films was investigated. The results show that ITZO thin films prepared by HiPIMS were dense and smooth. There were slight variations in the composition of ITZO thin films deposited at different sputtering powers. With the sputtering power increasing from 100 W to 400 W, the film’s crystallinity was enhanced. When the sputtering power was 400 W, an In2O3 (104) plane could be detected. Films with optimal electrical properties were produced at a sputtering power of 300 W, a carrier mobility of 31.25 cm2·V−1·s−1, a carrier concentration of 9.11 × 1018 cm−3, and a resistivity of 2.19 × 10−4 Ω·m. Full article
(This article belongs to the Special Issue Magnetron Sputtering Deposited Thin Films and Its Applications)
Show Figures

Figure 1

11 pages, 2496 KB  
Article
The Characteristics of Transparent Non-Volatile Memory Devices Employing Si-Rich SiOX as a Charge Trapping Layer and Indium-Tin-Zinc-Oxide
by Joong-Hyun Park, Myung-Hun Shin and Jun-Sin Yi
Nanomaterials 2019, 9(5), 784; https://doi.org/10.3390/nano9050784 - 22 May 2019
Cited by 16 | Viewed by 4850
Abstract
We fabricated the transparent non-volatile memory (NVM) of a bottom gate thin film transistor (TFT) for the integrated logic devices of display applications. The NVM TFT utilized indium–tin–zinc–oxide (ITZO) as an active channel layer and multi-oxide structure of SiO2 (blocking layer)/Si-rich SiO [...] Read more.
We fabricated the transparent non-volatile memory (NVM) of a bottom gate thin film transistor (TFT) for the integrated logic devices of display applications. The NVM TFT utilized indium–tin–zinc–oxide (ITZO) as an active channel layer and multi-oxide structure of SiO2 (blocking layer)/Si-rich SiOX (charge trapping layer)/SiOXNY (tunneling layer) as a gate insulator. The insulators were deposited using inductive coupled plasma chemical vapor deposition, and during the deposition, the trap states of the Si-rich SiOx charge trapping layer could be controlled to widen the memory window with the gas ratio (GR) of SiH4:N2O, which was confirmed by fourier transform infrared spectroscopy (FT-IR). We fabricated the metal–insulator–silicon (MIS) capacitors of the insulator structures on n-type Si substrate and demonstrated that the hysteresis capacitive curves of the MIS capacitors were a function of sweep voltage and trap density (or GR). At the GR6 (SiH4:N2O = 30:5), the MIS capacitor exhibited the widest memory window; the flat band voltage (ΔVFB) shifts of 4.45 V was obtained at the sweep voltage of ±11 V for 10 s, and it was expected to maintain ~71% of the initial value after 10 years. Using the Si-rich SiOX charge trapping layer deposited at the GR6 condition, we fabricated a bottom gate ITZO NVM TFT showing excellent drain current to gate voltage transfer characteristics. The field-effect mobility of 27.2 cm2/Vs, threshold voltage of 0.15 V, subthreshold swing of 0.17 V/dec, and on/off current ratio of 7.57 × 107 were obtained at the initial sweep of the devices. As an NVM, ΔVFB was shifted by 2.08 V in the programing mode with a positive gate voltage pulse of 11 V and 1 μs. The ΔVFB was returned to the pristine condition with a negative voltage pulse of −1 V and 1 μs under a 400–700 nm light illumination of ~10 mWcm−2 in erasing mode, when the light excites the electrons to escape from the charge trapping layer. Using this operation condition, ~90% (1.87 V) of initial ΔVFB (2.08 V) was expected to be retained over 10 years. The developed transparent NVM using Si-rich SiOx and ITZO can be a promising candidate for future display devices integrating logic devices on panels. Full article
(This article belongs to the Special Issue Nanomaterials for the Advanced Manufacturing of Electronic Devices)
Show Figures

Figure 1

Back to TopTop