Sign in to use this feature.

Years

Between: -

Subjects

remove_circle_outline
remove_circle_outline
remove_circle_outline
remove_circle_outline
remove_circle_outline
remove_circle_outline
remove_circle_outline
remove_circle_outline
remove_circle_outline

Journals

remove_circle_outline
remove_circle_outline
remove_circle_outline
remove_circle_outline
remove_circle_outline
remove_circle_outline
remove_circle_outline
remove_circle_outline
remove_circle_outline
remove_circle_outline
remove_circle_outline
remove_circle_outline
remove_circle_outline
remove_circle_outline
remove_circle_outline
remove_circle_outline
remove_circle_outline
remove_circle_outline
remove_circle_outline
remove_circle_outline
remove_circle_outline
remove_circle_outline
remove_circle_outline
remove_circle_outline
remove_circle_outline
remove_circle_outline
remove_circle_outline
remove_circle_outline

Article Types

Countries / Regions

remove_circle_outline
remove_circle_outline
remove_circle_outline
remove_circle_outline
remove_circle_outline
remove_circle_outline
remove_circle_outline
remove_circle_outline
remove_circle_outline
remove_circle_outline

Search Results (7,871)

Search Parameters:
Keywords = H-bonding

Order results
Result details
Results per page
Select all
Export citation of selected articles as:
30 pages, 1976 KB  
Article
N-Methylated Nucleobases Crystal Structures and π-π Stacking Interactions
by Riccardo Cameli Manzo, Volodymyr Baran, Artem Shevchenko, Anastasia Sleptsova, Frank Hoffmann, Tomislav Stolar, Robert E. Dinnebier and Martin Etter
Molecules 2026, 31(8), 1326; https://doi.org/10.3390/molecules31081326 (registering DOI) - 17 Apr 2026
Abstract
Solid-state studies evaluating intermolecular geometries in methylated nucleobases are not extensively explored. In the course of the present study, we have solved the crystal structures of 1-, 3- and 7-methylated adenines and guanines, including the monohydrate and sesquihydrate forms of 3-methyladenine and 3-methylguanine, [...] Read more.
Solid-state studies evaluating intermolecular geometries in methylated nucleobases are not extensively explored. In the course of the present study, we have solved the crystal structures of 1-, 3- and 7-methylated adenines and guanines, including the monohydrate and sesquihydrate forms of 3-methyladenine and 3-methylguanine, respectively, by means of single-crystal X-ray diffraction and synchrotron/laboratory X-ray powder diffraction (XRPD). In situ high temperature XRPD experiments, coupled with differential thermal analysis/thermogravimetry (DTA/TG) measurements, allowed for monitoring crystallographic changes after water removal of N3-methylated compounds, and the discovery of a high temperature polymorph in the case of 3-methyladenine. Our findings indicate that H-bonding schemes describe ribbon planar motifs of molecules in the majority of cases, or linear double-bonded strands of molecules in a few cases. π-π stacking interactions were compared with existing findings of theoretical calculations and existing crystallographic data, showing how N-methylated purine bases follow the trend predicted by Hunter and Sanders, 1990. The present study provides the first systematic experimental insights into the solid state of the presented compounds. Full article
Show Figures

Graphical abstract

30 pages, 2535 KB  
Article
Ge11-Modified PH-Sensitive Polymer Micelles: A New Breakthrough in Targeted Therapy for Non-Small-Cell Lung Cancer
by Xingmeng Ma, Zhu Wang, Jingyi Wang, Xingyu Chen, Jinggang Zhang, Dengxue Yang, Shiyi Xu and Xueying Yan
Pharmaceutics 2026, 18(4), 498; https://doi.org/10.3390/pharmaceutics18040498 (registering DOI) - 17 Apr 2026
Abstract
Background/Objective: In lung cancer treatment, increasing the concentration of antitumor drugs at the tumor site, enhancing efficacy, and reducing systemic toxicity are significant challenges. This study aims to develop an intelligent responsive polymer micelle system (GPDD) that achieves efficient accumulation and controlled [...] Read more.
Background/Objective: In lung cancer treatment, increasing the concentration of antitumor drugs at the tumor site, enhancing efficacy, and reducing systemic toxicity are significant challenges. This study aims to develop an intelligent responsive polymer micelle system (GPDD) that achieves efficient accumulation and controlled release of drugs at lung tumor sites through targeted and pH-responsive design. Methods: The GPDD system is formed by the self-assembly of GE11-PEG-hyd-DOX conjugates and co-loads free DOX. This system utilizes the targeting effect of the GE11 peptide with the epidermal growth factor receptor (EGFR) to accumulate at the tumor site, while the hydrazone bond serves as a pH-responsive linker that breaks in the acidic tumor microenvironment, triggering drug release. Experiments employed CCK-8 cytotoxicity assays and tumor-bearing nude mouse models (strain not specified) for in vitro and in vivo evaluations. Results: In vitro experiments showed that GE11-modified GPDD effectively inhibited tumor cell growth. In tumor-bearing nude mouse experiments, GPDD demonstrated more significant tumor suppression effects and lower systemic toxicity compared to free DOX and unmodified PDD. Conclusions: The GPDD nanocarrier integrates targeting and pH responsiveness, improving antitumor efficacy and reducing side effects, with translational potential. The novelty of the study lies in its dual-functional design and co-loading strategy, providing new insights for tumor-targeted delivery systems. Full article
(This article belongs to the Topic Advanced Nanocarriers for Targeted Drug and Gene Delivery)
14 pages, 2588 KB  
Article
Urea-Modified Graphene Oxide (GO-Ur): Adsorption Mechanism for Methylene Blue
by Ming Li, Yun Li, Tianhao Li, Chengyun Zhou and Jiaqi Bu
Water 2026, 18(8), 953; https://doi.org/10.3390/w18080953 - 16 Apr 2026
Abstract
This study developed urea-modified graphene oxide (GO-Ur) for efficient methylene blue (MB) adsorption. Characterization confirmed that urea modification introduced amino and hydroxyl groups, enhancing the material’s surface properties. GO-Ur achieved a high MB adsorption capacity of 367.37 mg/g under optimal conditions (the adsorption [...] Read more.
This study developed urea-modified graphene oxide (GO-Ur) for efficient methylene blue (MB) adsorption. Characterization confirmed that urea modification introduced amino and hydroxyl groups, enhancing the material’s surface properties. GO-Ur achieved a high MB adsorption capacity of 367.37 mg/g under optimal conditions (the adsorption tests used 0.01 g of adsorbent, 50 mL of 80 mg/L MB solution (pH 9), a temperature of 25 °C, and a contact time of 120 min), driven by a synergistic mechanism of hydrogen bonding, electrostatic attraction, and π-π stacking. The adsorbent also demonstrated excellent reusability, with only a 0.37% capacity loss after 5 cycles of adsorption–desorption processes, and outperformed many reported adsorbents in both capacity and equilibrium time. These results highlight GO-Ur as a promising material for MB wastewater treatment. Full article
(This article belongs to the Special Issue Adsorption Technology in Water and Wastewater Treatment)
14 pages, 2765 KB  
Article
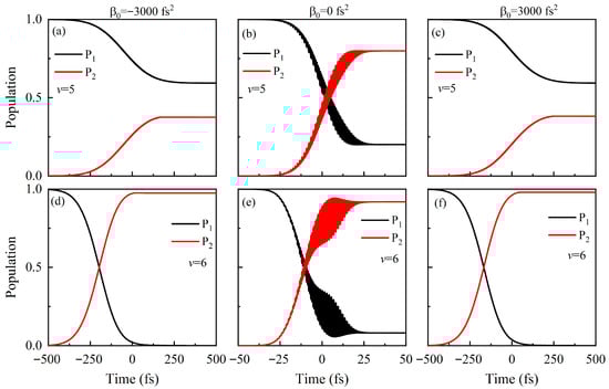
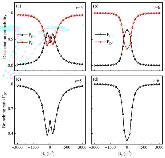
Spectral Phase Control in Dissociation Dynamics of HD+ by Strong Laser Fields
by Tong Cheng, Wen-Quan Jing, Jin-Xu Du, Zeng-Qiang Yang, Zhi-Hong Jiao, Guo-Li Wang and Song-Feng Zhao
Photonics 2026, 13(4), 383; https://doi.org/10.3390/photonics13040383 (registering DOI) - 16 Apr 2026
Abstract
Achieving selective cleavage of specific chemical bonds using ultrafast laser pulses remains a central challenge in ultrafast strong-field molecular physics. Here, we theoretically investigate the coherent control of strong-field dissociation of the heteronuclear molecular ion HD+ initially prepared in vibrationally excited states [...] Read more.
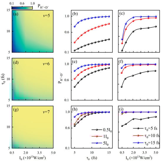
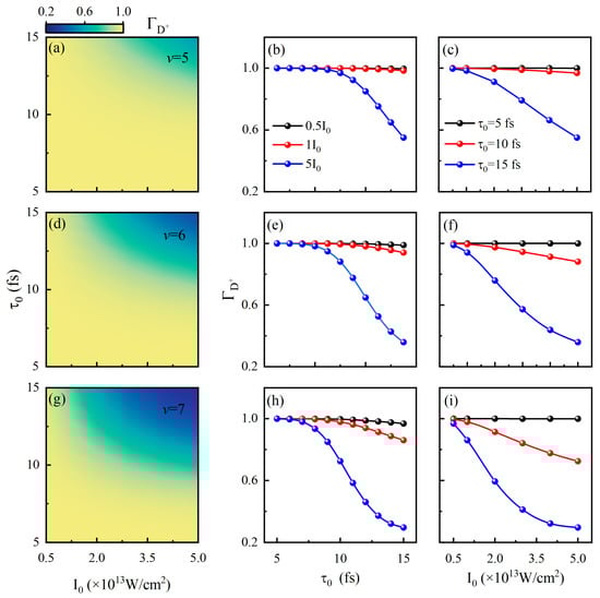
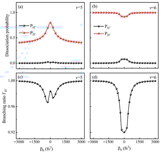
Achieving selective cleavage of specific chemical bonds using ultrafast laser pulses remains a central challenge in ultrafast strong-field molecular physics. Here, we theoretically investigate the coherent control of strong-field dissociation of the heteronuclear molecular ion HD+ initially prepared in vibrationally excited states driven by an ultrashort pulse with a quadratic spectral phase. Our results reveal a pronounced sensitivity of both the total dissociation probability and the branching ratio (H+ + D vs. H + D+) to the chirp rate of the laser pulse. To uncover the underlying physical mechanism, we analyze the population dynamics in the coupled 1sσ and 2pσ electronic states and identify pronounced Rabi oscillations arising from the coherent interplay between multiphoton excitation and field-induced stimulated emission. By tuning the laser chirp rate, these oscillations can be suppressed via quantum interference, thereby reshaping the dissociation dynamics and significantly enhancing the dissociation probability of the H + D+ channel. These findings demonstrate that spectral-phase engineering provides a robust and versatile strategy for selective control of branching ratios in strong-field molecular dissociation. Full article
(This article belongs to the Special Issue Laser-Driven Ultrafast Dynamics and Imaging in Atoms and Molecules)
Show Figures

Figure 1

15 pages, 1575 KB  
Article
Cloning and Secretory Expression of Aspergillus niger α-amylase with a Novel Synthetic Promoter in Pichia pastoris and Its Application in Apple Juice
by Fatmanur Mavi, Ayça Uras, Fatma Ersöz, Burcu Emine Tefon-Öztürk, Mehmet İnan, Cüneyt Dinçer, Demet Yıldız-Turgut, Orçun Çınar, Muharrem Gölükcü, Ayhan Topuz and Aysun Türkanoğlu-Özçelik
Fermentation 2026, 12(4), 200; https://doi.org/10.3390/fermentation12040200 - 16 Apr 2026
Abstract
Amylase enzyme catalyzes the breakdown of starch by acting on the α-1,4 glycosidic bond. The use of amylases is common in areas such as baking and fruit juice production in the food industry, as well as in the detergent, textile, and paper industries. [...] Read more.
Amylase enzyme catalyzes the breakdown of starch by acting on the α-1,4 glycosidic bond. The use of amylases is common in areas such as baking and fruit juice production in the food industry, as well as in the detergent, textile, and paper industries. Due to their broad industrial applicability, the recombinant production of amylases has received increasing attention in recent years. In this study, the production of Aspergillus niger α-amylase enzyme was investigated for the first time in Pichia pastoris under the control of the ethanol-inducible synthetic ADH2 (SNT5) promoter. A codon-optimized A. niger α-amylase gene was expressed extracellularly in the P. pastoris MK115-PDI strain. Optimal production conditions were 24 °C and pH 6.0. In a 5 L bioreactor, total secreted protein reached 2.2 g/L and enzyme activity reached 44,062 U/mL. The recombinant enzyme was characterized and showed optimal activity at 60 °C and pH 7. In apple juice assays, the enzyme hydrolyzed starch and demonstrated suitability for juice clarification, although performance depended on enzyme concentration. Overall, these results indicate that the SNT5 synthetic promoter enables efficient recombinant α-amylase production in P. pastoris and represents a promising alternative to conventional promoter systems for industrial enzyme manufacturing. Full article
(This article belongs to the Special Issue Microbial Metabolism Focusing on Bioactive Molecules)
Show Figures

Figure 1

16 pages, 2543 KB  
Article
Solution to the Problems of Cementitious Materials Exposed to Silane-Based Hydrophobic Coatings
by Jingjing He, Kaiqi Wei, Fang Liu, Wenping Yue, Puwei Wu and Yi Yang
Buildings 2026, 16(8), 1562; https://doi.org/10.3390/buildings16081562 - 16 Apr 2026
Abstract
Silane-based hydrophobic coatings are widely used to improve the durability of cement-based materials in aggressive environments such as marine and hydraulic structures. However, their long-term effectiveness is strongly influenced by interfacial adhesion degradation under humid conditions, which remains a critical challenge in engineering [...] Read more.
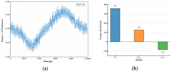
Silane-based hydrophobic coatings are widely used to improve the durability of cement-based materials in aggressive environments such as marine and hydraulic structures. However, their long-term effectiveness is strongly influenced by interfacial adhesion degradation under humid conditions, which remains a critical challenge in engineering applications. From a scientific perspective, the fundamental mechanisms governing how silane-based coatings interact with cement hydration products, particularly under varying moisture conditions, are still not fully understood. In particular, the role of interfacial water in regulating bonding strength and intermolecular force transfer at the nanoscale has not been quantitatively clarified. To address these issues, this study investigates the interfacial debonding behavior of polydimethylsiloxane (PDMS), a representative silane-based hydrophobic component, on calcium silicate hydrate (C–S–H) substrates using molecular dynamics simulations under controlled hydration states. The results show that the interfacial interaction is dominated by van der Waals forces, with a calculated binding energy of approximately 357 kcal/m2. As the interfacial water content increases from dry to high-humidity conditions, the maximum debonding force (F_max) decreases from approximately 1.6 × 103 pN to 1.3 × 103 pN, corresponding to a reduction of about 18–20%. Similarly, the debonding work (W_max) shows a consistent decreasing trend, indicating reduced energy required for interface separation. This reduction is attributed to the formation of a continuous water film, which increases the interfacial separation distance and reduces the efficiency of intermolecular force transfer. These findings demonstrate the humidity-dependent weakening of interfacial adhesion and provide new insights into the nanoscale mechanisms governing the performance of silane-based coatings. The results offer a theoretical basis for optimizing the durability and reliability of hydrophobic treatments in cement-based materials under realistic service conditions. Full article
Show Figures

Figure 1

12 pages, 2733 KB  
Article
Symmetry Evolution of La2O3 from P3-m1 to P63/mmc for Enhanced Electrocatalytic H2O2 Production
by Hansong Yuan, Yuheng Gu, Qian Yang, Shun Li, Jianming Zhang, Long Zhang and Yuqiao Zhang
Nanomaterials 2026, 16(8), 469; https://doi.org/10.3390/nano16080469 - 15 Apr 2026
Abstract
Electrocatalytic H2O2 production via the two-electron oxygen reduction reaction (ORR) is a highly sustainable alternative to industrial methods. To further optimize non-noble catalysts, we report an interfacial engineering strategy to stabilize the metastable P63/mmc-La2O3 phase [...] Read more.
Electrocatalytic H2O2 production via the two-electron oxygen reduction reaction (ORR) is a highly sustainable alternative to industrial methods. To further optimize non-noble catalysts, we report an interfacial engineering strategy to stabilize the metastable P63/mmc-La2O3 phase on SrTiO3. This symmetry evolution from the low-symmetry P3-m1 (trigonal) to the high-symmetry P63/mmc (hexagonal) space group yields a composite with >95% H2O2 selectivity. Mechanistic studies demonstrate that the symmetry-regulated interface optimizes *OOH conversion and suppresses O–O bond cleavage. This work offers a robust design principle for high-performance, noble-metal-free H2O2 electrosynthesis. Full article
(This article belongs to the Special Issue Advances in Stimuli-Responsive Nanomaterials: 3rd Edition)
Show Figures

Graphical abstract

10 pages, 1136 KB  
Article
Comparison of Shear Bond Strength and Failure Modes of Transbond XT and Orthomite LC After Thermal Cycling: An In Vitro Study
by Tomoyo Okazaki, Hirohide Kurashina, Yoshinori Ishida, Hitoshi Kawanabe and Kazunori Fukui
Dent. J. 2026, 14(4), 239; https://doi.org/10.3390/dj14040239 - 15 Apr 2026
Abstract
Background/Objectives: Bond reliability is essential in orthodontic treatment, as temperature fluctuations in the oral environment can weaken adhesive interfaces and increase the risk of bracket failure. However, direct comparison of the long-term durability of commonly used orthodontic resin cements under [...] Read more.
Background/Objectives: Bond reliability is essential in orthodontic treatment, as temperature fluctuations in the oral environment can weaken adhesive interfaces and increase the risk of bracket failure. However, direct comparison of the long-term durability of commonly used orthodontic resin cements under thermocycling conditions is limited. Therefore, the present study aimed to evaluate and compare the shear bond strength (SBS) and failure modes of Transbond™ XT and Orthomite™ LC before and after thermal cycling (Tc). Methods: A total of 60 bovine enamel specimens were used in this study. Specimens were bonded with either Transbond XT or Orthomite LC under standardized conditions. SBS was measured at 24 h (Tc0) and after 5000 thermal cycles (Tc5000). Failure modes were classified as adhesive (A), enamel cohesive (B), or bracket cohesive (C) failure. Statistical analyses included the Mann–Whitney U test for SBS and Fisher’s exact test for failure mode distribution. Results: At Tc0, there was no significant difference in SBS between the two cements (p > 0.05). After Tc5000, Orthomite LC showed significantly higher SBS than Transbond XT (p = 0.00368). Failure mode analysis revealed that, after Tc, Transbond XT exhibited a higher incidence of adhesive failures (A), whereas Orthomite LC predominantly demonstrated bracket cohesive failures (C) (p = 0.00020). Conclusions: Orthomite LC demonstrated greater resistance to thermal cycling–induced bond degradation compared with Transbond XT, likely due to differences in resin monomer composition and interface stability. Full article
Show Figures

Figure 1

22 pages, 4997 KB  
Article
Study on β-Cyclodextrin-Functionalized Molten Salt Nitrogen-Doped Biochar and Its Adsorption Performance and Mechanism
by Sining Li, Yong Huang, Qiushuang Cui, Ke Jin, Hanyu Wei, Wen Liu, Huan Li and Ruyun Bai
Molecules 2026, 31(8), 1284; https://doi.org/10.3390/molecules31081284 - 14 Apr 2026
Viewed by 216
Abstract
In this study, we prepare N–doped biochar loaded with β-CD, using cotton stalks as a carbon source, and evaluate its removal efficiency for tetracycline (TC) and methylene blue (MB) from aqueous solutions. This composite uniquely integrates molten salt activation, nitrogen doping, and β-CD [...] Read more.
In this study, we prepare N–doped biochar loaded with β-CD, using cotton stalks as a carbon source, and evaluate its removal efficiency for tetracycline (TC) and methylene blue (MB) from aqueous solutions. This composite uniquely integrates molten salt activation, nitrogen doping, and β-CD grafting, resulting in an exceptionally high specific surface area of 1943 m2/g and abundant active sites. The findings reveal that β-CD-NKBC-1.5 (5 g of N–doped biochar loaded with 1.5 g of β-CD) demonstrates remarkable capabilities for both TC and MB removal across an extensive pH spectrum, reaching peak adsorption levels of 1269.8 and 969.4 mg/g at 308.15 K, respectively—outperforming most previously reported biochar-based adsorbents. The adsorption process is well described by the pseudo-second-order and Langmuir models, indicating that monolayer chemisorption is the dominant mechanism. β-CD-NKBC-1.5 exhibits preferential adsorption for TC and MB and maintains high adsorption efficiency even with coexisting ions (Na+, K+, Ca2+, Mg2+, and SO42−) at concentrations up to 500 mg/L. The adsorption mechanism involves Lewis acid–base interactions, hydrogen bonding, π–π stacking, and pore filling. Full article
(This article belongs to the Section Green Chemistry)
Show Figures

Figure 1

18 pages, 3245 KB  
Article
Molecular Dynamics Simulations of Functionalized UiO-66 in Transesterification Reactions
by Dantong Wen, Xiaohong Hao and Jinchuan Wang
Catalysts 2026, 16(4), 351; https://doi.org/10.3390/catal16040351 - 14 Apr 2026
Viewed by 178
Abstract
This study employs molecular dynamics simulations to investigate the influence of functionalized UiO-66 materials (with -H, -NH2, -NO2, and -(OH)2 groups) on the adsorption and diffusion behaviors of ethanol and waste oil before transesterification reactions. A multi-scale modeling [...] Read more.
This study employs molecular dynamics simulations to investigate the influence of functionalized UiO-66 materials (with -H, -NH2, -NO2, and -(OH)2 groups) on the adsorption and diffusion behaviors of ethanol and waste oil before transesterification reactions. A multi-scale modeling approach, including a three-layer interfacial model, surface adsorption, and intra-framework adsorption, was utilized to systematically evaluate the effects of functionalization on structural properties, molecular diffusion, adsorption performance, and interfacial interactions. The simulation results reveal that functionalization enhances the intrinsic diffusivity of the metal–organic framework but generally suppresses the diffusion of ethanol and waste oil. The -(OH)2 group exhibits the most significant diffusion hindrance due to steric effects and strong hydrogen bonding. Adsorption of waste oil is dominated by coordination and hydrophobic interactions, while ethanol adsorption relies on hydrogen bonding. Within the framework, functionalization does not improve ethanol adsorption capacity; instead, pristine UiO-66 shows the highest uptake due to its optimal pore size. Adsorption energy calculations on the (002) surface indicate that the -NO2 group exhibits the strongest affinity for oleic acid, owing to its strong electronegativity and synergistic effects with metal sites. For polyunsaturated fatty acids, adsorption performance depends critically on the compatibility between the hydrophobic pore environment and molecular conformation. Ethanol adsorption is governed primarily by hydrogen bonding and metal coordination. This study provides molecular-level insights into the structure–function relationships governing pre-reaction adsorption and mass transport mechanisms of functionalized UiO-66 in transesterification reactions, providing a theoretical foundation for the rational design of efficient pre-reaction microenvironments in biodiesel catalysts. Full article
Show Figures

Graphical abstract

22 pages, 3029 KB  
Article
Environmental Remediation of Arsenate-Contaminated Groundwater Using a Graphene Oxide-Supported Cu-NPs/UiO-66(Zr)-NH2 Nanocomposite
by Faten M. Ali Zainy, Doaa S. Al-Raimi and Amr A. Yakout
Nanomaterials 2026, 16(8), 462; https://doi.org/10.3390/nano16080462 - 14 Apr 2026
Viewed by 190
Abstract
Arsenic contamination, mainly in the arsenate (As(V)) form, continues to pose a serious threat to groundwater quality worldwide due to its long-term stability and toxicity at very low levels. Herein, we demonstrate, for the first time, a three-dimensional graphene oxide-based nanocomposite composed of [...] Read more.
Arsenic contamination, mainly in the arsenate (As(V)) form, continues to pose a serious threat to groundwater quality worldwide due to its long-term stability and toxicity at very low levels. Herein, we demonstrate, for the first time, a three-dimensional graphene oxide-based nanocomposite composed of Cu nanoparticle-doped, amino-functionalized UiO-66 (Cu/UiO-66-NH2) anchored on a graphene oxide framework (Cu/UiO-66-NH2@GO) as a novel and efficient nanosorbent for the rapid removal of As(V) in groundwater-like solutions. The nanocomposite was characterized by SEM and HRTEM to confirm the hybrid structure and by XRD, N2 adsorption–desorption isotherms, and XPS to investigate crystallinity, porosity, and surface chemistry. The derived material exhibited a highly dispersed morphology and performed rapid arsenate solid-phase extraction to attain equilibration within 10 min and was effective for a wide pH range of 2–11. The best fit for the kinetic profiles was provided by the pseudo-second-order model. Interestingly, the maximum adsorption capacity of 747.9 mg g−1 at pH 6.8 was achieved, demonstrating the benefits of the complementary pairing of dispersive GO sheets and Zr-MOF adsorption domains with Cu-derived active sites. Mechanistically, the enhanced uptake is ascribed to a combination of effects, including electrostatic pre-concentration, ligand exchange, and inner-sphere complexation at metal-oxo nodes; spectroscopic analysis (XPS and FTIR) suggests that the majority of arsenate is immobilized via a strong Zr-O-As bond at coordinatively unsaturated Zr centers, which is in line with t-ZrO2-like surface domains formed within the nanocomposite. The embedded GO support inhibits further framework interpenetration and enhances active site availability and mass transport, leading to fast and high-capacity arsenate capture in groundwater samples with related conditions. Taken together, this work presents a powerful design concept that integrates unique GO-supported, Cu-modified UiO-66-NH2 with Zr-O binding motifs to afford high-rate remediation nanocomposites, providing an excellent platform for next-generation arsenate remediation materials. Full article
(This article belongs to the Topic Functionalized Materials for Environmental Applications)
Show Figures

Figure 1

17 pages, 7001 KB  
Article
Green, Formaldehyde-Free Bio-Adhesive from Soybean Meal and Laccase-Oxidized Tannin via Quinone–Amine Crosslinking
by Shichao Zhang, Chengyuan Liu, Ya Ding, Yuan Yao, Hisham Essway, Xinyi Chen, Xiaojian Zhou, Hui Wang and Ming Cao
Polymers 2026, 18(8), 954; https://doi.org/10.3390/polym18080954 - 14 Apr 2026
Viewed by 185
Abstract
To develop a fully green and non-toxic wood adhesive with improved water resistance and bonding performance for soybean meal (Glycine max (L.) Merr.)-based adhesives, oxidized tannin (OTN) was obtained by the laccase treatment of waxberry tannin (TN), a natural polyphenolic polymer, and [...] Read more.
To develop a fully green and non-toxic wood adhesive with improved water resistance and bonding performance for soybean meal (Glycine max (L.) Merr.)-based adhesives, oxidized tannin (OTN) was obtained by the laccase treatment of waxberry tannin (TN), a natural polyphenolic polymer, and then blended with soybean meal (SM) to prepare an oxidized tannin–soybean meal adhesive (OTS). Laccase-mediated oxidation converted the tannin polymer into quinone-rich oxidized polymeric structures, which reacted with amino groups in soybean meal proteins through Michael addition and Schiff base reactions to form a covalently crosslinked polymeric network. Under the optimal conditions of a laccase dosage of 10%, an oxidation time of 6 h, an OTN:SM mass ratio of 0.5:1, and a hot-pressing temperature of 160 °C, plywood bonded with OTS exhibited a wet shear strength of 0.85 MPa at 63 °C, representing a 136% increase over that of the neat soybean meal adhesive, and showed slightly higher bonding performance than the commercial urea-formaldehyde (UF) resin under boiling-water conditions. Structural analyses (FT-IR and XPS) verified quinone formation and carbon–nitrogen single and double bonds. Thermal analyses (DSC and TGA) revealed improved curing reactivity and significantly enhanced thermal stability compared with the neat soybean meal adhesive. Full article
(This article belongs to the Section Biobased and Biodegradable Polymers)
Show Figures

Figure 1

19 pages, 5392 KB  
Article
Melanin-Inspired Biomimetic Strategy for Preserving Adhesion of Lubricants via Thiol-Quinone Addition
by Xiao Song, Chao Mei, Yinna Wu, Dan He, Junwei Zhu, Qi Chen, Jiaxin Guo, Zhengwei Zhao, Tonghui Xie and Wenbin Liu
Biomimetics 2026, 11(4), 269; https://doi.org/10.3390/biomimetics11040269 - 14 Apr 2026
Viewed by 172
Abstract
Lubricants are essential for water-based drilling fluids. Catechol-based lubricants provide improved lubrication performance owing to their strong adhesion ability through the formation of coordination bonds inspired by mussel adhesion. However, the conventional synthetic ester and amide lubricants suffer from loss of adhesive capability [...] Read more.
Lubricants are essential for water-based drilling fluids. Catechol-based lubricants provide improved lubrication performance owing to their strong adhesion ability through the formation of coordination bonds inspired by mussel adhesion. However, the conventional synthetic ester and amide lubricants suffer from loss of adhesive capability due to hydrolysis and autoxidation. Inspired by mussels and melanin biosynthesis, a biomimetic strategy was developed to synthesize a high-adhesion lubricant with good stability via thiol-quinone Michael addition to restore and stabilize the catechol moiety. Bisphenol A was oxidized to the corresponding quinone using 2-iodoxybenzoic acid. Subsequent Michael addition reaction with 1-octadecanethiol produced a thiol-functionalized lubricant containing catechol moieties and long alkyl chains through an S-catecholyl linkage. Biomimetic principles were incorporated into both the molecular structure and the synthetic route, emulating the structural and functional features of mussel adhesion and melanin biosynthesis. Octadecanethiol provided sulfur-containing extreme-pressure functionality and contributed to strong adsorption on metal surfaces. The molecular structure was confirmed by FTIR, 1H NMR, and 13C NMR. The thiol-functionalized lubricant formed strong coordination with Fe3+ and Fe2+ ions across a wide pH range, with an apparent complexation stoichiometry of 1:1 and conditional stability constants of 4.09 and 5.02, respectively. Bis-coordination formed a cross-linking network. It exhibited good resistance toward autoxidation and thermal stability up to 350 °C. In bentonite-based drilling fluids, the extreme pressure lubrication coefficient and adhesion coefficient at a 1% addition were 0.06 and 0.07, respectively. The coefficient of friction and wear scar diameter were 0.09 and 0.63 mm, respectively. The increased contact angle confirmed strong adsorption of the lubricant on metal surfaces. The lubricant combined strong adhesion, high stability, and excellent compatibility with drilling fluids, highlighting its potential as an advanced biomimetic lubricant. This biomimetic thiol-quinone addition strategy provides an effective approach to overcome the instability of conventional catechol-based lubricants. Full article
(This article belongs to the Special Issue Advances in Biomimetics: 10th Anniversary)
Show Figures

Graphical abstract

24 pages, 6824 KB  
Article
Vibration Control and Micro-Forming Quality Guarantee of BMF-Based UHPC Wet Joints Under Traffic Loads Using Tuned Mass Dampers
by Zhenwei Wang, Lingkai Zhang, Chujia Zhou and Peng Wang
Materials 2026, 19(8), 1564; https://doi.org/10.3390/ma19081564 - 14 Apr 2026
Viewed by 173
Abstract
In bridge widening projects under uninterrupted traffic conditions, vehicular vibration easily leads to damage in the interfacial transition zone (ITZ) and microstructural degradation of early-age concrete in wet joints. Taking a typical hollow slab-low T-beam widening structure as the object, this study introduces [...] Read more.
In bridge widening projects under uninterrupted traffic conditions, vehicular vibration easily leads to damage in the interfacial transition zone (ITZ) and microstructural degradation of early-age concrete in wet joints. Taking a typical hollow slab-low T-beam widening structure as the object, this study introduces basalt micro fiber (BMF)-based ultra-high-performance concrete (UHPC) as the wet joint material and establishes a refined vehicle–bridge coupled dynamic model considering the time-varying stiffness of the joint material and road roughness excitation. The research indicates that although UHPC possesses excellent ultimate mechanical properties, its early-age setting process is extremely sensitive to vehicle-induced vibration. Numerical analysis reveals that while traditional temporary steel fixtures can effectively control the vertical relative displacement between the new and old girders within the critical value of 5.5 mm, the peak particle velocity (PPV) induced by heavy vehicles (buses and trucks) during the early pouring stage (<12 h) significantly exceeds the safety threshold of 3 mm/s, posing a severe threat to the directional distribution of steel fibers and interfacial bond strength. Therefore, this paper designs a single tuned mass damper (TMD) optimized based on Den Hartog’s fixed-point theory. Simulation results confirm that with the TMD configured, the vibration responses induced by buses across the entire speed range (≤120 km/h) are reduced below the safety limit; the vibration velocity induced by heavy trucks is also effectively controlled when combined with an 80 km/h speed limit. The collaborative strategy of “passive TMD vibration reduction + active traffic speed limit” proposed in this paper provides a theoretical basis for guaranteeing the early-age micro-forming quality of UHPC wet joints and overall traffic efficiency. Full article
Show Figures

Graphical abstract

23 pages, 6390 KB  
Article
Enhanced Structural, Optical, Photocatalytic, and Cytotoxic Properties of CuO Doped with rGO: A One-Step Hydrothermal Synthesis Approach
by Amirah S. Alahmari, Mohamed M. Badran, Mohammed ALSaeedy, Syed Mansoor Ali, M. A. Jowhari and ZabnAllah M. Alaizeri
Catalysts 2026, 16(4), 347; https://doi.org/10.3390/catal16040347 - 13 Apr 2026
Viewed by 166
Abstract
The current work aims to enhance the structural, optical, photocatalytic, and cytotoxic properties of CuO NPs at varied rGO concentrations of 5% and 10%. In the present work, a one-step hydrothermal method was successfully applied to prepare rGO/CuO NCs at different concentrations of [...] Read more.
The current work aims to enhance the structural, optical, photocatalytic, and cytotoxic properties of CuO NPs at varied rGO concentrations of 5% and 10%. In the present work, a one-step hydrothermal method was successfully applied to prepare rGO/CuO NCs at different concentrations of RGO. The novelty of this work was to enhance the structural, optical, photocatalytic, and cytotoxic properties of CuO using the addition of rGO sheets. XRD, TEM, SEM-EDX, XPS, FTIR, UV-vis, PL, and DLS techniques were used to characterize the prepared samples. XRD data confirmed the formation of the monoclinic phase of CuO with a decrease in crystallite size, from 21.14 nm for CuO to 16.94 nm for the 10% rGO/CuO NCs nanocomposite. SEM and TEM images verified the uniform anchoring and excellent dispersion of CuO nanoparticles on the rGO sheets, and the EDX spectra showed the presence of Cu, O, and C elements in the obtained rGO/CuO NCs. DLS measurements showed that the hydrodynamic radius dropped from 69.98 ± 17.81 nm for CuO to 51.72 ± 10.48 nm for 10% rGO/CuO NCs. The zeta potential values remained negative for all samples, ranging from −20.50 ± 8.69 mV for CuO to −25.60 ± 9.08 mV for 10% rGO/CuO NCs, suggesting enhanced colloidal stability with rGO incorporation. Furthermore, FTIR and XPS analyses confirmed that Cu–O–C bonding formed between CuO and rGO. UV-Vis analysis revealed a redshift in the absorption edges as rGO content increased, reducing the band gap from 3.65 eV to 3.60 eV. Additionally, PL spectra showed a marked reduction in emission intensity due to a decrease in the recombination rate between electron (e)–holes (h+) pairs. The CuO/(10%)rGO NCs showed the best photocatalytic performance with a 93.56% degradation of methylene blue (MB) after 120 min under UV irradiation, and followed pseudo-first-order kinetics with k = 0.0203 min−1. Cytotoxicity studies on HT1080 cells showed a dose-dependent decrease in viability. 10% rGO/CuO NCs exhibited the highest cytotoxicity effect, resulting in 58% and 50% viability at 1.4 mg/mL, respectively. The presented results showed that the presence of rGO in CuO NPs played a role in enhancing the structural stability, charge mobility, and biological reactivity of Cu NPs. This study highlighted that the rGO/CuO NCs are a promising multi-functional material for environmental and biomedical applications. Full article
Back to TopTop