Molecular Dynamics Simulations of Functionalized UiO-66 in Transesterification Reactions
Abstract
1. Introduction
2. Results and Discussion
2.1. Model Verification
2.2. Mean Square Displacement and Diffusion Coefficient
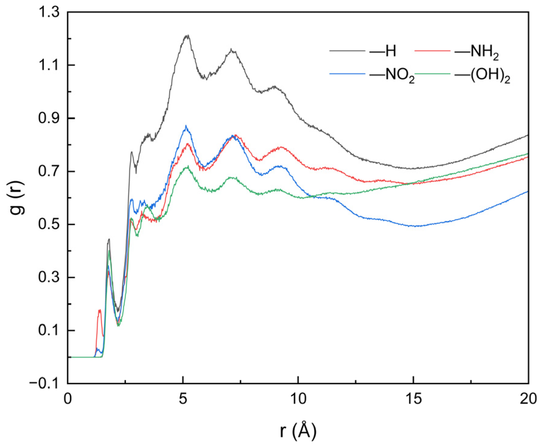
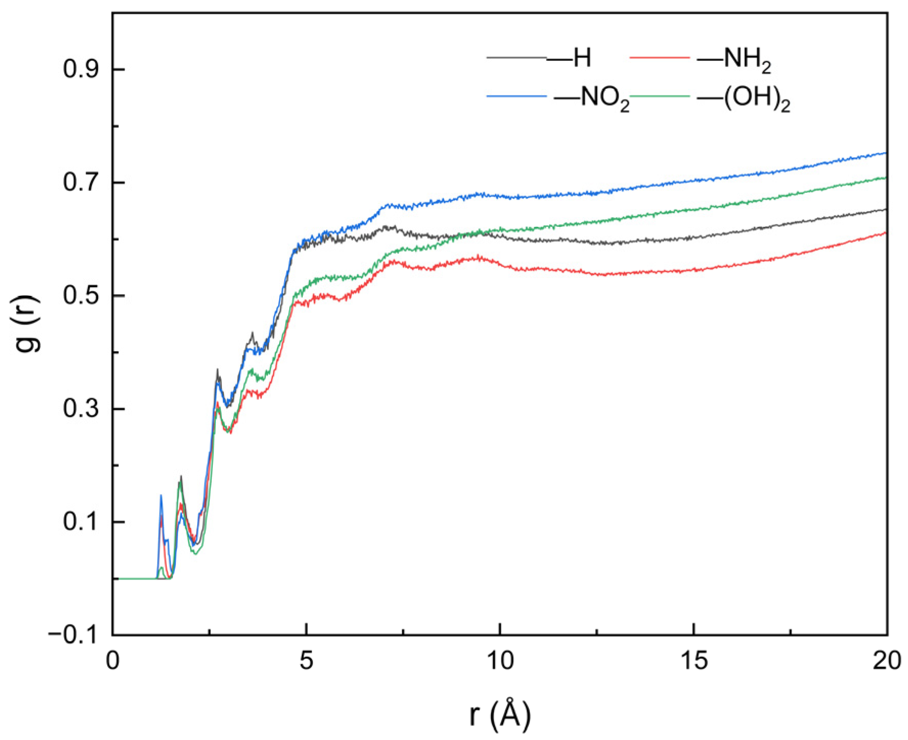
2.3. Radial Distribution Function
2.4. Adsorption Isotherm
2.5. Adsorption Density Distribution
2.6. Adsorption Energy
3. Structural Models and Simulation Methods
4. Conclusions
Supplementary Materials
Author Contributions
Funding
Data Availability Statement
Conflicts of Interest
References
- Youssef, O.; Khaled, E.; Aboelazayem, O.; Farrag, N. Glycerol-Free Biodiesel via Catalytic Interesterification: A Pathway to a NetZero Biodiesel Industry. Sustainability 2024, 16, 4994. [Google Scholar] [CrossRef]
- Mehedi, H.P.; Haeng, M. A comprehensive review of the evolution of biodiesel production technologies. Energy Convers. Manag. 2025, 328, 119623. [Google Scholar] [CrossRef]
- Asmaa, A.A.; Muhammad, A.; Abo, E.K. Advanced Biodiesel Production: Feedstocks, Technologies, Catalysts, Challenges, and Environmental Impacts. J. Environ. Chem. Eng. 2025, 13, 114966. [Google Scholar]
- Muhammad, A.; Sadaf, Z.; Muhammad, K.; Adeel, I.; Fayaz, H.; Hayati, Y.; Atika, Q. A review of major trends, opportunities, and technical challenges in biodiesel production from waste sources. Energy Convers. Manag. X 2024, 2, 100675. [Google Scholar]
- Catia, G.L.; Maria, G.P.; Vincenza, C. Importance of the properties, collection, and storage of waste cooking oils to produce high-quality biodiesel—An overview. Biomass Bioenergy 2024, 189, 107363. [Google Scholar]
- Christopher, S.D.; Devarajan, Y.; Raja, T.; Gautam, C.; Dinesh, B.M. Biodiesel production from shrimp shell lipids: Evaluating ZnO nanoparticles as a catalyst. Results Eng. 2024, 24, 103453. [Google Scholar] [CrossRef]
- Alexander, S.; Zhe, J.; Omar, M.Y. The role of metal–organic frameworks in a carbon-neutral energy cycle. Nat. Energy 2016, 1, 16034. [Google Scholar]
- Jiang, J.; Zhao, Y.; Omar, M.Y. Covalent Chemistry beyond Molecules. J. Am. Chem. Soc. 2016, 138, 3255–3265. [Google Scholar] [CrossRef]
- Christian, S.D.; Omar, M.Y. The atom, the molecule, and the covalent organic framework. Science 2017, 355, 1585. [Google Scholar] [CrossRef]
- Feng, X.; Himanshu, S.J.; Chidharth, K.; Karen, L.; Wang, G.; Chen, H.; Jia, C. Generating Catalytic Sites in UiO-66 through Defect Engineering. ACS Appl. Mater. Interfaces 2021, 13, 60715–60735. [Google Scholar] [CrossRef]
- Jaehyung, C.; Kye, S.Y.; Kim, D.; Kim, J.; Othman, M.R. Microporous Mo-UiO-66 Metal–Organic Framework Nanoparticles as Gas Adsorbents. ACS Appl. Nano Mater. 2021, 4, 4895–4901. [Google Scholar]
- Li, H.; Wang, T.; Chu, H.; Rokhum, S.L.; Zhang, Y.; Yu, H.; Xiao, Q.; Guo, M.; Ma, X.; Li, S. In–situ modification of UiO–66(Zr) organic ligand to synthesize highly recyclable solid acid for biodiesel production. Chem. Eng. Res. Des. 2024, 205, 713–721. [Google Scholar] [CrossRef]
- Lu, P.; Li, H.; Li, M.; Chen, J.; Ye, C.; Wang, H.; Qiu, T. Ionic liquid grafted NH2-UiO-66 as heterogeneous solid acid catalyst for biodiesel production. Fuel 2022, 324, 124537. [Google Scholar] [CrossRef]
- Omar, A.; Mawlid, H.; Abdelhady, H.; El-Deab, M.S. Recent Advances in Magnetic Nanoparticle-Based Heterogeneous Catalysts for Efficient Biodiesel Production: A Review. Energy Fuels 2024, 38, 20169–20195. [Google Scholar] [CrossRef]
- Ahmed, S.A.; Ebtehal, A.S.; Sun, Y.; El-Nahas, A.M.; Kashar, T.I. Solvent-Free Synthesis and Characterization of Bimetallic UiO-66(Zr/Sn) Heterogeneous Catalyst for Biodiesel Production. Ind. Eng. Chem. Res. 2023, 62, 9211–9220. [Google Scholar]
- Hazmi, B.; Rashid, U.; Moser, B.R.; Ghani, M.H.; Alharthi, F.A.; Han, J.; Yoo, J. Environmentally sustainable production of biodiesel from low-cost lipid feedstock using a zirconium-based metal-organic framework sulfonated solid catalyst. Green Chem. Eng. 2024, 7, 94–108. [Google Scholar] [CrossRef]
- Hannebauer, A.; Rohloff, E.; Schneider, A.M.; Schaate, A. Adsorption of Volatile Organic Compounds in Functionalized UiO-66: Insights from Experiment and Simulation. J. Phys. Chem. C 2025, 129, 10321–10328. [Google Scholar] [CrossRef]
- Ali, R.G.; Ali, R.S.N.; Mehrdad, F. Separation of arsenic from aqueous solutions via continuous adsorption in a packed-bed column utilizing an UiO-66@mesoporous carbon nitride/granular activated carbon composite. Mater. Sci. Eng. B 2026, 329, 119406. [Google Scholar]
- Deyko, G.S.; Vergun, V.V.; Kravtsov, L.A.; Glukhov, L.M.; Chernyshev, V.V.; Kapustin, G.I.; Nissenbaum, V.D.; Sinyashin, O.G.; Kustov, L.M. Effect of the metal center on selective adsorption of methane, ethane, and carbon dioxide on Hf, Zr, and Ce-based UiO-66 and MOF-808 frameworks. Microporous Mesoporous Mater. 2026, 407, 114118. [Google Scholar] [CrossRef]
- Wang, Y.; Yang, Z.; Wu, X.; Quan, W.; Chen, Q.; Wang, A. UiO-66 with Both Brønsted and Lewis Acid Sites for Catalytic Synthesis of Biodiesel. Molecules 2024, 29, 4195. [Google Scholar] [CrossRef]
- Macheli, L.; Leteba, G.M.; George, S.L.; Lang, C.I.; Jewell, L.L. Enhancing waste eggshell-derived CaO catalysts for biodiesel production through synergistic oxide modification: A comprehensive catalytic and kinetic study. RSC Adv. 2026, 16, 5990–6001. [Google Scholar] [CrossRef]
- Zhao, H.; Xie, W.; Li, H. Hierarchical micro-meso-macroporous xAIL@HP UIO-66-NH2 catalysts used for efficient biodiesel production from low-grade acidic oils. Chem. Eng. Res. Des. 2025, 213, 11–24. [Google Scholar] [CrossRef]
- Amira, K.F.S.; Liu, X.; Yuan, Y.; Kong, Y.; Fu, J.; Sun, Y. Enhancement on the catalytic performance of UiO-66(Zr) by solvent-free sulfurization for biodiesel production. Fuel 2026, 411, 138090. [Google Scholar]
- Ozcakir, G. Efficiency of Sulfonated UiO-66 on Biodiesel Production from Oleic Acid: An Optimization Study with ANCOVA. Eng. Proc. 2023, 56, 10. [Google Scholar]
- Gouda, S.P.; Shi, D.; Basumatary, S.; Li, H.; Ramón, P.R.; Rokhum, S.L. Sulfamic acid modified UiO-66 metal-organic framework for biodiesel production: Process optimization using response surface methodology, kinetics, and thermodynamic study. Chem. Eng. J. 2024, 480, 148154. [Google Scholar] [CrossRef]
- Wang, Y.; Luo, Y.; She, X.; Wang, L. Thermochemical adsorption heat storage performance of functionalized UiO-66: Molecular simulation method. Appl. Therm. Eng. 2024, 254, 123856. [Google Scholar] [CrossRef]
- Han, B.; Chakraborty, A. Highly efficient adsorption desalination employing protonated-amino-functionalized MOFs. Desalination 2022, 541, 116045. [Google Scholar] [CrossRef]
- Liu, Z.; Ma, C.; Zhang, J.; Sun, H.; Wang, L.; Wang, Y.; Mu, S.; Wang, N. High mechanical strength superhydrophobic colored sand prepared by a low-temperature strategy. J. Mater. Sci. Technol. 2024, 194, 203–215. [Google Scholar] [CrossRef]
- Xiong, W.; Zhao, X.; Luan, Y.; Wang, R.; Wu, S. Effect of the natural antioxidant ferulic acid and its ester derivatives on the oxidative stability of ester-based lubricants: Experimental and molecular simulation investigations. Thermochim. Acta 2023, 723, 179474. [Google Scholar] [CrossRef]
- Fu, Z.; Jia, B.; Li, H.; Wang, Y. Investigation of Methane Adsorption and Diffusion Behavior in Hydrogen Sulfide-Containing Coal Seams. Langmuir 2024, 40, 25509–25517. [Google Scholar] [CrossRef]
- Zhang, C.; Zhai, Y. Research on the Microscopic Adsorption Characteristics of Methane by Coals with Different Pore Sizes Based on Monte Carlo Simulation. Appl. Sci. 2025, 15, 2349. [Google Scholar] [CrossRef]
- Hu, M.; Sun, D.; Hofko, B.; Sun, Y.; Mirwald, J.; Xu, L. Multiscale optimization on polymer-based rejuvenators for the efficient recycling of aged high-viscosity modified asphalt: Molecular dynamics simulation experimental analysis. J. Clean. Prod. 2024, 449, 141736. [Google Scholar] [CrossRef]
- Hu, Y.; Zhai, D.; Liang, P.; Zheng, Z.; Wang, Z.; Jiang, C.; Guo, Y.; Chen, H.; Shen, C.; Wu, Y. Exploration of formation and in vitro release mechanism of supramolecular self-assembled Licochalcone A eutectogel for food application. Food Chem. 2024, 454, 139788. [Google Scholar] [CrossRef]
- Gore, P.M.; Khurana, L.; Siddique, S. Ion-imprinted electrospun nanofibers of chitosan/1-butyl-3-methylimidazolium tetrafluoroborate for the dynamic expulsion of thorium (IV) ions from mimicked effluents. Environ. Sci. Pollut. Res. 2018, 25, 3320–3334. [Google Scholar] [CrossRef]
- Li, J.; Wang, Y.; Chen, Y.; Xiong, Q.; Yang, J.; Li, L.; Li, J. Round-the-clock water harvesting from dry air using a metal organic framework. Chin. J. Chem. Eng. 2022, 49, 170–177. [Google Scholar] [CrossRef]
- Zhang, B.; Zhu, Z.; Wang, X.; Liu, X.; Kapteijn, F. Water Adsorption in MOFs: Structures and Applications. Adv. Funct. Mater. 2024, 34, 2304788. [Google Scholar] [CrossRef]
- Lee, J.S.; Yoon, J.W.; Mileo, P.G.M.; Cho, K.H.; Park, J.; Kim, K.; Kim, H.; Lange, M.F.; Kapteijn, F.; Maurin, G.; et al. Porous metal-organic framework CUK-1 for adsorption heat allocation toward green applications of natural refrigerant water. ACS Appl. Mater. Interfaces 2019, 11, 25778–25789. [Google Scholar] [CrossRef] [PubMed]
- Hao, M.; Qiao, Z.; Zhang, H.; Wang, Y.; Li, Y. Thermodynamic Analysis of CH4/CO2/N2 Adsorption on Anthracite Coal: Investigated by Molecular Simulation. Energy Fuels 2021, 35, 4246–4257. [Google Scholar] [CrossRef]
- Mozhgan, P.; Kamran, A.; Smart, M. UiO-66 Metal–Organic Framework Nanoparticles with Outstanding Drug-Loading/Release Potential for the Targeted Delivery of Quercetin. Inorg. Chem. 2022, 61, 14528–14543. [Google Scholar]
- Iman, S.; Ali, V.; Reza, J.; Mehdi, M.M. Molecular Simulation Studies of Pharmaceutical Pollutant Removal (Rosuvastatin and Simvastatin) Using Novel Modified-MOF Nanostructures (UiO-66, UiO-66/Chitosan, and UiO-66/Oxidized Chitosan). ACS Appl. Mater. Interfaces 2024, 16, 26685–26712. [Google Scholar]
- Ali, S.; Ali, G.; Mohammad, M. Metal-organic frameworks as cathode electrocatalysts for Li-O2 batteries: A computational study of NiBTC and CuBTC by molecular dynamic simulation. Chem. Phys. Lett. 2025, 862, 141862. [Google Scholar]
- Wang, Q.; Wang, W.; Zhang, K.; Wang, Z.; Su, K. Molecular simulation of polyacrylamide types on flocculation performance in oily wastewater. Chem. Phys. Lett. 2025, 867, 142023. [Google Scholar] [CrossRef]
- Wang, R.; Luo, L.; Zhao, Y.; Sun, Q.; Wang, Y. Effect of chloride salt migration at interfaces on asphalt-aggregate adhesion: A molecular dynamics study. Constr. Build. Mater. 2024, 428, 136310. [Google Scholar] [CrossRef]
- Kang, J.K.; Kim, M.G.; Kim, S.B.; Jeong, S.; Oh, J.E. Comparative study on Perfluoro(2-methyl-3-oxahexanoic) acid removal by quaternary ammonium functionalized silica gel and granular activated carbon from batch and column experiments and molecular simulation-based interpretation. Sci. Total Environ. 2024, 926, 171753. [Google Scholar] [CrossRef] [PubMed]













| Parameter | Setting |
|---|---|
| Force field | COMPASSIII |
| Electrostatic | Ewald |
| Van der Waals | Atom based |
| Cutoff distance | 12.5 A |
| Ensemble | NVT |
| Thermostat | Velocity Scale |
| Temperature | 323 K |
| Time step | 1 fs |
| Total simulation time | 100 ps |
| Number of steps | 100,000 |
Disclaimer/Publisher’s Note: The statements, opinions and data contained in all publications are solely those of the individual author(s) and contributor(s) and not of MDPI and/or the editor(s). MDPI and/or the editor(s) disclaim responsibility for any injury to people or property resulting from any ideas, methods, instructions or products referred to in the content. |
© 2026 by the authors. Licensee MDPI, Basel, Switzerland. This article is an open access article distributed under the terms and conditions of the Creative Commons Attribution (CC BY) license.
Share and Cite
Wen, D.; Hao, X.; Wang, J. Molecular Dynamics Simulations of Functionalized UiO-66 in Transesterification Reactions. Catalysts 2026, 16, 351. https://doi.org/10.3390/catal16040351
Wen D, Hao X, Wang J. Molecular Dynamics Simulations of Functionalized UiO-66 in Transesterification Reactions. Catalysts. 2026; 16(4):351. https://doi.org/10.3390/catal16040351
Chicago/Turabian StyleWen, Dantong, Xiaohong Hao, and Jinchuan Wang. 2026. "Molecular Dynamics Simulations of Functionalized UiO-66 in Transesterification Reactions" Catalysts 16, no. 4: 351. https://doi.org/10.3390/catal16040351
APA StyleWen, D., Hao, X., & Wang, J. (2026). Molecular Dynamics Simulations of Functionalized UiO-66 in Transesterification Reactions. Catalysts, 16(4), 351. https://doi.org/10.3390/catal16040351
