Sign in to use this feature.

Years

Between: -

Subjects

remove_circle_outline
remove_circle_outline
remove_circle_outline

Journals

Article Types

Countries / Regions

Search Results (13)

Search Parameters:
Keywords = GeSe monolayer

Order results
Result details
Results per page
Select all
Export citation of selected articles as:
16 pages, 10060 KB  
Article
Two-Dimensional GeC/MXY (M = Zr, Hf; X, Y = S, Se) Heterojunctions Used as Highly Efficient Overall Water-Splitting Photocatalysts
by Guangzhao Wang, Wenjie Xie, Sandong Guo, Junli Chang, Ying Chen, Xiaojiang Long, Liujiang Zhou, Yee Sin Ang and Hongkuan Yuan
Molecules 2024, 29(12), 2793; https://doi.org/10.3390/molecules29122793 - 12 Jun 2024
Cited by 14 | Viewed by 1967
Abstract
Hydrogen generation by photocatalytic water-splitting holds great promise for addressing the serious global energy and environmental crises, and has recently received significant attention from researchers. In this work, a method of assembling GeC/MXY (M = Zr, Hf; X, Y = S, Se) heterojunctions [...] Read more.
Hydrogen generation by photocatalytic water-splitting holds great promise for addressing the serious global energy and environmental crises, and has recently received significant attention from researchers. In this work, a method of assembling GeC/MXY (M = Zr, Hf; X, Y = S, Se) heterojunctions (HJs) by combining GeC and MXY monolayers (MLs) to construct direct Z-scheme photocatalytic systems is proposed. Based on first-principles calculations, we found that all the GeC/MXY HJs are stable van der Waals (vdW) HJs with indirect bandgaps. These HJs possess small bandgaps and exhibit strong light-absorption ability across a wide range. Furthermore, the built-in electric field (BIEF) around the heterointerface can accelerate photoinduced carrier separation. More interestingly, the suitable band edges of GeC/MXY HJs ensure sufficient kinetic potential to spontaneously accomplish water redox reactions under light irradiation. Overall, the strong light-harvesting ability, wide light-absorption range, small bandgaps, large heterointerfacial BIEFs, suitable band alignments, and carrier migration paths render GeC/MXY HJs highly efficient photocatalysts for overall water decomposition. Full article
(This article belongs to the Special Issue Two-Dimensional Materials: From Synthesis to Applications)
Show Figures

Graphical abstract

12 pages, 11855 KB  
Article
Mn-X (X = F, Cl, Br, I) Co-Doped GeSe Monolayers: Stabilities and Electronic, Spintronic and Optical Properties
by Wenjie He, Xi Zhang, Dan Gong, Ya Nie and Gang Xiang
Nanomaterials 2023, 13(12), 1862; https://doi.org/10.3390/nano13121862 - 15 Jun 2023
Cited by 2 | Viewed by 1881
Abstract
GeSe monolayer (ML) has recently attracted much interest due to its unique structure and excellent physical properties that can be effectively tuned through single doping of various elements. However, the co-doping effects on GeSe ML are rarely studied. In this study, the structures [...] Read more.
GeSe monolayer (ML) has recently attracted much interest due to its unique structure and excellent physical properties that can be effectively tuned through single doping of various elements. However, the co-doping effects on GeSe ML are rarely studied. In this study, the structures and physical properties of Mn-X (X = F, Cl, Br, I) co-doped GeSe MLs are investigated by using first-principle calculations. The formation energy and phonon disspersion analyses reveal the stability of Mn-Cl and Mn-Br co-doped GeSe MLs and instability of Mn-F and Mn-I co-doped GeSe MLs. The stable Mn-X (X = Cl, Br) co-doped GeSe MLs exhibit complex bonding structures with respect to Mn-doped GeSe ML. More importantly, Mn-Cl and Mn-Br co-doping can not only tune magnetic properties, but also change the electronic properties of GeSe MLs, which makes Mn-X co-doped GeSe MLs indirect band semiconductors with anisotropic large carrier mobility and asymmetric spin-dependent band structures. Furthermore, Mn-X (X = Cl, Br) co-doped GeSe MLs show weakened in-plane optical absorption and reflection in the visible band. Our results may be useful for electronic, spintronic and optical applications based on Mn-X co-doped GeSe MLs. Full article
(This article belongs to the Special Issue Advanced Spintronic and Electronic Nanomaterials)
Show Figures

Figure 1

10 pages, 1541 KB  
Communication
Ultrahigh Carrier Mobility in Two-Dimensional IV–VI Semiconductors for Photocatalytic Water Splitting
by Zhaoming Huang, Kai Ren, Ruxin Zheng, Liangmo Wang and Li Wang
Molecules 2023, 28(10), 4126; https://doi.org/10.3390/molecules28104126 - 16 May 2023
Cited by 11 | Viewed by 2542
Abstract
Two-dimensional materials have been developed as novel photovoltaic and photocatalytic devices because of their excellent properties. In this work, four δ-IV–VI monolayers, GeS, GeSe, SiS and SiSe, are investigated as semiconductors with desirable bandgaps using the first-principles method. These δ-IV–VI monolayers exhibit exceptional [...] Read more.
Two-dimensional materials have been developed as novel photovoltaic and photocatalytic devices because of their excellent properties. In this work, four δ-IV–VI monolayers, GeS, GeSe, SiS and SiSe, are investigated as semiconductors with desirable bandgaps using the first-principles method. These δ-IV–VI monolayers exhibit exceptional toughness; in particular, the yield strength of the GeSe monolayer has no obvious deterioration at 30% strain. Interestingly, the GeSe monolayer also possesses ultrahigh electron mobility along the x direction of approximately 32,507 cm2·V−1·s−1, which is much higher than that of the other δ-IV–VI monolayers. Moreover, the calculated capacity for hydrogen evolution reaction of these δ-IV–VI monolayers further implies their potential for applications in photovoltaic and nano-devices. Full article
Show Figures

Figure 1

11 pages, 2858 KB  
Article
Structures, Electric Properties and STM Images of GeSe Monolayers Doped by Group IV–VI Atoms: A First-Principles Study
by Hao Ni, Yonghong Hu, Guopeng Zhou, Caixia Mao, Zhiyuan Chen, Qingyong He and Libing Qian
Crystals 2023, 13(2), 284; https://doi.org/10.3390/cryst13020284 - 7 Feb 2023
Cited by 2 | Viewed by 2793
Abstract
Doping is an important method to modulate the physical and chemical properties of two-dimensional materials. By substitutional doping, different group IV–VI atoms are doped in GeSe monolayers to compose the doped models, of which the effects are investigated using first-principles calculations. The results [...] Read more.
Doping is an important method to modulate the physical and chemical properties of two-dimensional materials. By substitutional doping, different group IV–VI atoms are doped in GeSe monolayers to compose the doped models, of which the effects are investigated using first-principles calculations. The results show that local deformations of geometrical structure can be observed around the doping atoms. According to the analysis of the formation energy and the cohesive energy, all the doped models have a strongly bonded network, and GeSe_N possesses the most stable structure. Only the bandgap of Ge_As is direct, while those of other doped models are indirect. Thus, direct and indirect bandgaps are alternative by doping different atoms. The structural and electronic properties, especially for the bond lengths variation around doping atoms, are explained by the charge density difference. Finally, the scanning tunnel microscope images of the doped models are analyzed for further experimental investigations. Our work provides a stimulating account by atom doping which could trigger the developments and applications of new two-dimensional materials for manufacturing microelectronic and optoelectronic devices. Full article
(This article belongs to the Special Issue 2D Crystalline Nanomaterials)
Show Figures

Figure 1

11 pages, 736 KB  
Article
Structural, Mechanical, and Piezoelectric Properties of Janus Bidimensional Monolayers
by Abdulrahman Mallah, Mourad Debbichi, Mohamed Houcine Dhaou and Bilel Bellakhdhar
Crystals 2023, 13(1), 126; https://doi.org/10.3390/cryst13010126 - 10 Jan 2023
Cited by 15 | Viewed by 3284
Abstract
In the present work, the noncentrosymmetric 2D ternary Janus monolayers Al2XX’(X/X’ = S, Se, Te and O), Si2XX’(X/X’ = P, As, Sb and Bi), and A2PAs(A = Ge, Sn and Pb) have been studied based on first-principles [...] Read more.
In the present work, the noncentrosymmetric 2D ternary Janus monolayers Al2XX’(X/X’ = S, Se, Te and O), Si2XX’(X/X’ = P, As, Sb and Bi), and A2PAs(A = Ge, Sn and Pb) have been studied based on first-principles calculations. We find that all the monolayers exhibit in-plane d12, and out-of-plane d13 piezoelectric coefficients due to the lack of reflection symmetry with respect to the central A atoms. Moreover, our calculations show that Al2OX(T = S, Se, Te) chalcogenide monolayers have higher absolute in-plane piezoelectric coefficients. However, the highest out-of-plane values are achieved in the Si2PBi monolayer, larger than those of some advanced piezoelectric materials, making them very promising transducer materials for lightweight and high-performance piezoelectric nanodevices. Full article
Show Figures

Figure 1

14 pages, 2935 KB  
Article
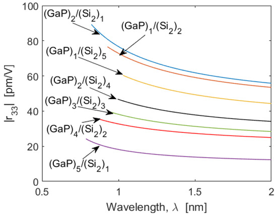
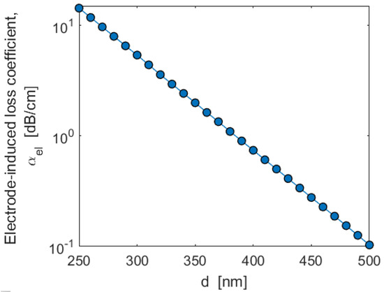
High-Performance Pockels Effect Modulation and Switching in Silicon-Based GaP/Si, AlP/Si, ZnS/Si, AlN/3C-SiC, GaAs/Ge, ZnSe/GaAs, and ZnSe/Ge Superlattice-On-Insulator Integrated Circuits
by Francesco De Leonardis and Richard Soref
Sensors 2022, 22(20), 7866; https://doi.org/10.3390/s22207866 - 16 Oct 2022
Cited by 6 | Viewed by 3509
Abstract
We propose new a Si-based waveguided Superlattice-on-Insulator (SLOI) platforms for high-performance electro-optical (EO) 2 × 2 and N × M switching and 1 × 1 modulation, including broad spectrum and resonant. We present a theoretical investigation based on the tight-binding Hamiltonian of the [...] Read more.
We propose new a Si-based waveguided Superlattice-on-Insulator (SLOI) platforms for high-performance electro-optical (EO) 2 × 2 and N × M switching and 1 × 1 modulation, including broad spectrum and resonant. We present a theoretical investigation based on the tight-binding Hamiltonian of the Pockels EO effect in the lattice-matched undoped (GaP)N/(Si2)M, (AlP)N/(Si2)M, (ZnS)N/(Si2)M, (AlN)N/(3CSiC)M, (GaAs)N/(Ge2)M, (ZnSe)N/(GaAs)M, and (ZnSe)N/(Ge2)M wafer-scale short-period superlattices that are etched into waveguided networks of small-footprint Mach-Zehnder interferometers and micro-ring resonators to yield opto-electronic chips. The spectra of the Pockels r33 coefficient have been simulated as a function of the number of the atomic monolayers for “non-relaxed” heterointerfaces. The large obtained r33 values enable the SLOI circuit platforms to offer a very favorable combination of monolithic construction, cost-effective manufacturability, high modulation/switching speed, high information bandwidth, tiny footprint, low energy per bit, low switching voltage, near-IR-and-telecom wavelength coverage, and push-pull operation. By optimizing waveguide, clad, and electrode dimensions, we obtained very desirable values of the VπL performance metric, in the range of 0.062 to 0.275 V·cm, portending a bright future for a variety of applications, such as sensor networks or Internet of Things (IoT). Full article
(This article belongs to the Section Optical Sensors)
Show Figures

Figure 1

11 pages, 4995 KB  
Article
Novel Gas-Sensitive Material for Monitoring the Status of SF6 Gas-Insulated Switches: Gese Monolayer
by Guochao Qian, Xiqian Hu, Weigen Chen and Qu Zhou
Chemosensors 2022, 10(7), 246; https://doi.org/10.3390/chemosensors10070246 - 28 Jun 2022
Cited by 10 | Viewed by 2234
Abstract
Detecting the decomposition components of SF6 insulating gas is recognized as an effective means to monitor the operating status of the SF6 insulating switch. In this paper, the adsorption characteristics of a new two-dimensional material GeSe for five SF6 decomposition [...] Read more.
Detecting the decomposition components of SF6 insulating gas is recognized as an effective means to monitor the operating status of the SF6 insulating switch. In this paper, the adsorption characteristics of a new two-dimensional material GeSe for five SF6 decomposition gases (SO2, SOF2, SO2F2, H2S and HF) are reported by first-principles simulation. Through the analysis of the change of energy band structure, density of states distribution, and gas desorption time, it is found that GeSe has the potential as a gas-sensitive material for the selective detection of SO2F2, and the computational work in this paper provides theoretical guidance for the development of new gas-sensitive sensors applied in monitoring SF6 insulated switches. Full article
(This article belongs to the Special Issue Gas Sensors for Monitoring Environmental Changes, 2nd Edition)
Show Figures

Figure 1

10 pages, 2347 KB  
Communication
Gas-Sensing Properties of Dissolved Gases in Insulating Material Adsorbed on SnO2–GeSe Monolayer
by Liang-Yan Guo, Suning Liang, Zhi Yang, Lingfeng Jin, Yaxiong Tan and Zhengyong Huang
Chemosensors 2022, 10(6), 212; https://doi.org/10.3390/chemosensors10060212 - 5 Jun 2022
Cited by 10 | Viewed by 3274
Abstract
In a transformer, the insulation materials will produce different dissolved gases due to various faults in the operation of the transformer, in which C2H2, CH4, and H2 are the main dissolved gases. In this study, the [...] Read more.
In a transformer, the insulation materials will produce different dissolved gases due to various faults in the operation of the transformer, in which C2H2, CH4, and H2 are the main dissolved gases. In this study, the adsorption characteristics of the above three gases on the SnO2–GeSe monolayer surface were discussed and analyzed based on the density functional theory. The adsorption energy, transfer charge, geometric structure parameters, electronic density of states, electronic local function, charge difference density, and recovery time were calculated and compared to characterize the gas-sensing adsorption mechanism. The results showed that the SnO2–GeSe monolayer exhibited good adsorption capacity, selectivity, and repeatability for the three characteristic dissolved gases. After adsorbing CH4 gas molecules, the conductivity of the SnO2–GeSe monolayer decreased. After adsorbing C2H2 and H2 gas molecules, the conductivity of the SnO2–GeSe monolayer increased. Therefore, the SnO2–GeSe monolayer has great application potential in the real-time monitoring of dissolved gases in insulating materials, which may become a new type of resistive gas sensor. Full article
(This article belongs to the Section Nanostructures for Chemical Sensing)
Show Figures

Figure 1

10 pages, 2038 KB  
Communication
Monitoring Gases Content in Modern Agriculture: A Density Functional Theory Study of the Adsorption Behavior and Sensing Properties of CO2 on MoS2 Doped GeSe Monolayer
by Xin Gao and Yunwu Li
Sensors 2022, 22(10), 3860; https://doi.org/10.3390/s22103860 - 19 May 2022
Cited by 17 | Viewed by 3241
Abstract
The reasonable allocation and control of CO2 concentration in a greenhouse are very important for the optimal growth of crops. In this study, based on density functional theory (DFT), an MoS2–GeSe monolayer was proposed to unravel the issues of the [...] Read more.
The reasonable allocation and control of CO2 concentration in a greenhouse are very important for the optimal growth of crops. In this study, based on density functional theory (DFT), an MoS2–GeSe monolayer was proposed to unravel the issues of the lower selectivity, poorer sensitivity and non-recyclability of traditional nanomaterial gas sensors. The incorporation of MoS2 units greatly enhanced the sensitivity of the pure GeSe monolayer to CO2 and the high binding energy also demonstrated the thermal stability of the doped structures. The ideal adsorption energy, charge transfer and recovery time ensured that the MoS2–GeSe monolayer had a good adsorption and desorption ability. This paper aimed to solve the matter of recycling sensors within agriculture. This research could provide the theoretical basis for the establishment of a potentially new generation of gas sensors for the monitoring of crop growth. Full article
(This article belongs to the Section Nanosensors)
Show Figures

Figure 1

12 pages, 6707 KB  
Article
1D/2D van der Waals Heterojunctions Composed of Carbon Nanotubes and a GeSe Monolayer
by Yuliang Mao, Zheng Guo, Jianmei Yuan and Tao Sun
Nanomaterials 2021, 11(6), 1565; https://doi.org/10.3390/nano11061565 - 14 Jun 2021
Cited by 9 | Viewed by 3748
Abstract
Based on first-principles calculations, we propose van der Waals (vdW) heterojunctions composed of one-dimensional carbon nanotubes (CNTs) and two-dimensional GeSe. Our calculations show that (n,0)CNT/GeSe (n = 5–11) heterojunctions are stable through weak vdW interactions. Among these heterojunctions, (n [...] Read more.
Based on first-principles calculations, we propose van der Waals (vdW) heterojunctions composed of one-dimensional carbon nanotubes (CNTs) and two-dimensional GeSe. Our calculations show that (n,0)CNT/GeSe (n = 5–11) heterojunctions are stable through weak vdW interactions. Among these heterojunctions, (n,0)CNT/GeSe (n = 5–7) exhibit metallic properties, while (n,0)CNT/GeSe (n = 8–11) have a small bandgap, lower than 0.8 eV. The absorption coefficient of (n,0)CNT/GeSe (n = 8–11) in the ultraviolet and infrared regions is around 105 cm−1. Specifically, we found that (11,0)CNT/GeSe exhibits type-II band alignment and has a high photoelectric conversion efficiency of 17.29%, which suggests prospective applications in photoelectronics. Full article
(This article belongs to the Topic Advances and Applications of Carbon Nanotubes)
Show Figures

Figure 1

39 pages, 4307 KB  
Review
Recent Advances in Electrochemical Sensors for Detecting Toxic Gases: NO2, SO2 and H2S
by Md Ashfaque Hossain Khan, Mulpuri V. Rao and Qiliang Li
Sensors 2019, 19(4), 905; https://doi.org/10.3390/s19040905 - 21 Feb 2019
Cited by 377 | Viewed by 26722
Abstract
Toxic gases, such as NOx, SOx, H2S and other S-containing gases, cause numerous harmful effects on human health even at very low gas concentrations. Reliable detection of various gases in low concentration is mandatory in the fields [...] Read more.
Toxic gases, such as NOx, SOx, H2S and other S-containing gases, cause numerous harmful effects on human health even at very low gas concentrations. Reliable detection of various gases in low concentration is mandatory in the fields such as industrial plants, environmental monitoring, air quality assurance, automotive technologies and so on. In this paper, the recent advances in electrochemical sensors for toxic gas detections were reviewed and summarized with a focus on NO2, SO2 and H2S gas sensors. The recent progress of the detection of each of these toxic gases was categorized by the highly explored sensing materials over the past few decades. The important sensing performance parameters like sensitivity/response, response and recovery times at certain gas concentration and operating temperature for different sensor materials and structures have been summarized and tabulated to provide a thorough performance comparison. A novel metric, sensitivity per ppm/response time ratio has been calculated for each sensor in order to compare the overall sensing performance on the same reference. It is found that hybrid materials-based sensors exhibit the highest average ratio for NO2 gas sensing, whereas GaN and metal-oxide based sensors possess the highest ratio for SO2 and H2S gas sensing, respectively. Recently, significant research efforts have been made exploring new sensor materials, such as graphene and its derivatives, transition metal dichalcogenides (TMDs), GaN, metal-metal oxide nanostructures, solid electrolytes and organic materials to detect the above-mentioned toxic gases. In addition, the contemporary progress in SO2 gas sensors based on zeolite and paper and H2S gas sensors based on colorimetric and metal-organic framework (MOF) structures have also been reviewed. Finally, this work reviewed the recent first principle studies on the interaction between gas molecules and novel promising materials like arsenene, borophene, blue phosphorene, GeSe monolayer and germanene. The goal is to understand the surface interaction mechanism. Full article
(This article belongs to the Special Issue Gas Sensors and Smart Sensing Systems)
Show Figures

Figure 1

12 pages, 3556 KB  
Article
First-Principles Calculations of Angular and Strain Dependence on Effective Masses of Two-Dimensional Phosphorene Analogues (Monolayer α-Phase Group-IV Monochalcogenides MX)
by Yuanfeng Xu, Ke Xu and Hao Zhang
Molecules 2019, 24(3), 639; https://doi.org/10.3390/molecules24030639 - 12 Feb 2019
Cited by 17 | Viewed by 5547
Abstract
Group IV monochalcogenides M X (M = Ge, Sn; X = S, Se)-semiconductor isostructure to black phosphorene-have recently emerged as promising two-dimensional materials for ultrathin-film photovoltaic applications owing to the fascinating electronic and optical properties. Herein, using first-principles calculations, we systematically investigate [...] Read more.
Group IV monochalcogenides M X (M = Ge, Sn; X = S, Se)-semiconductor isostructure to black phosphorene-have recently emerged as promising two-dimensional materials for ultrathin-film photovoltaic applications owing to the fascinating electronic and optical properties. Herein, using first-principles calculations, we systematically investigate the orbital contribution electronic properties, angular and strain dependence on the carrier effective masses of monolayer M X . Based on analysis on the orbital-projected band structure, the VBMs are found to be dominantly contributed from the p z orbital of X atom, while the CBM is mainly dominated by p x or p y orbital of M atom. 2D SnS has the largest anisotropy ratio due to the lacking of s orbital contribution which increases the anisotropy. Moreover, the electron/hole effective masses along the x direction have the steeper tendency of increase under the uniaxial tensile strain compared to those along y direction. Full article
(This article belongs to the Special Issue Black Phosphorus: Application in Materials Science)
Show Figures

Figure 1

10 pages, 4307 KB  
Article
First-Principles Study on the Stabilities, Electronic and Optical Properties of GexSn1-xSe Alloys
by Qi Qian, Lei Peng, Yu Cui, Liping Sun, Jinyan Du and Yucheng Huang
Nanomaterials 2018, 8(11), 876; https://doi.org/10.3390/nano8110876 - 25 Oct 2018
Cited by 1 | Viewed by 4085
Abstract
We systematically study, by using first-principles calculations, stabilities, electronic properties, and optical properties of GexSn1-xSe alloy made of SnSe and GeSe monolayers with different Ge concentrations x = 0.0, 0.25, 0.5, 0.75, and 1.0. Our results show that the [...] Read more.
We systematically study, by using first-principles calculations, stabilities, electronic properties, and optical properties of GexSn1-xSe alloy made of SnSe and GeSe monolayers with different Ge concentrations x = 0.0, 0.25, 0.5, 0.75, and 1.0. Our results show that the critical solubility temperature of the alloy is around 580 K. With the increase of Ge concentration, band gap of the alloy increases nonlinearly and ranges from 0.92 to 1.13 eV at the PBE level and 1.39 to 1.59 eV at the HSE06 level. When the Ge concentration x is more than 0.5, the alloy changes into a direct bandgap semiconductor; the band gap ranges from 1.06 to 1.13 eV at the PBE level and 1.50 to 1.59 eV at the HSE06 level, which falls within the range of the optimum band gap for solar cells. Further optical calculations verify that, through alloying, the optical properties can be improved by subtle controlling the compositions. Since GexSn1-xSe alloys with different compositions have been successfully fabricated in experiments, we hope these insights will contribute to the future application in optoelectronics. Full article
(This article belongs to the Special Issue Computational Materials Design for Renewable Energy Applications)
Show Figures

Figure 1

Back to TopTop