Sign in to use this feature.

Years

Between: -

Subjects

remove_circle_outline
remove_circle_outline
remove_circle_outline
remove_circle_outline
remove_circle_outline
remove_circle_outline
remove_circle_outline
remove_circle_outline
remove_circle_outline

Journals

remove_circle_outline
remove_circle_outline
remove_circle_outline
remove_circle_outline
remove_circle_outline
remove_circle_outline
remove_circle_outline
remove_circle_outline
remove_circle_outline
remove_circle_outline
remove_circle_outline
remove_circle_outline
remove_circle_outline
remove_circle_outline
remove_circle_outline
remove_circle_outline
remove_circle_outline
remove_circle_outline
remove_circle_outline
remove_circle_outline

Article Types

Countries / Regions

remove_circle_outline
remove_circle_outline
remove_circle_outline
remove_circle_outline
remove_circle_outline
remove_circle_outline

Search Results (2,544)

Search Parameters:
Keywords = GH20

Order results
Result details
Results per page
Select all
Export citation of selected articles as:
21 pages, 30469 KB  
Article
Transcriptome and Gene Family Analyses Reveal the Physiological and Immune Regulatory Mechanisms of Channa maculata Larvae in Response to Nanoplastic-Induced Oxidative Stress
by Ziwen Yang, Dandan Gao, Yuntao Lu, Yang Zou, Yueying Deng, Luping Liu, Qing Luo, Haiyang Liu, Shuzhan Fei, Kunci Chen, Jian Zhao and Mi Ou
Antioxidants 2026, 15(1), 125; https://doi.org/10.3390/antiox15010125 - 19 Jan 2026
Abstract
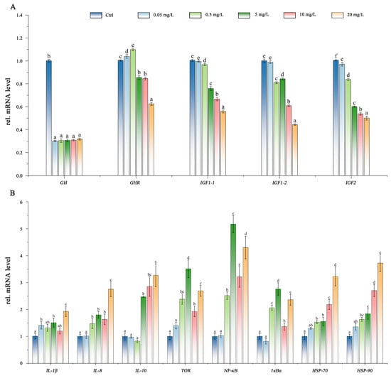
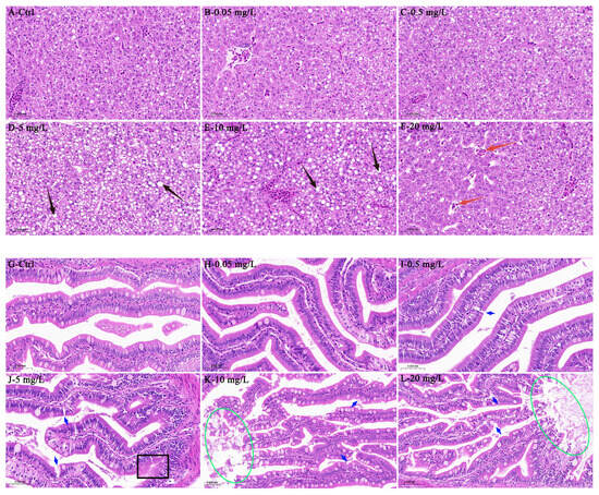
The increasing accumulation of plastic debris in aquatic environments has raised concerns about the ecotoxicological effects of polystyrene nanoplastics (PSNPs). This study examined PSNPs toxicity during a critical developmental stage by exposing 15 days post-fertilization (dpf) larvae of blotched snakehead (Channa maculata [...] Read more.
The increasing accumulation of plastic debris in aquatic environments has raised concerns about the ecotoxicological effects of polystyrene nanoplastics (PSNPs). This study examined PSNPs toxicity during a critical developmental stage by exposing 15 days post-fertilization (dpf) larvae of blotched snakehead (Channa maculata), an economically important freshwater fish, to PSNPs concentrations of 0.05–20 mg/L for 15 days. Histopathological analysis showed concentration-dependent damage, including hepatocellular vacuolization (5–10 mg/L) and hepatic sinusoidal dilation (20 mg/L) in the liver, alongside intestinal injuries ranging from villus erosion to rupture (5–20 mg/L). Biochemically, PSNPs triggered a biphasic oxidative response, where superoxide dismutase (SOD) and catalase (CAT) activities peaked at 5 mg/L before declining, while malondialdehyde (MDA) levels exhibited an opposite trend. Transcriptomic analysis and Quantitative real-time PCR (qRT-PCR) indicated that PSNPs disrupted growth, energy metabolism, and immune regulation in C. maculata larvae, evidenced by the dysregulation of growth hormone/insulin-like growth factor (GH/IGF) axis genes and up-regulation of immune-related genes. Furthermore, Weighted Gene Co-expression Network Analysis (WGCNA) identified the heterogeneous nuclear ribonucleoproteins (HNRNP) gene family as hub genes from the key turquoise module, suggesting that PSNPs interfere with RNA processing and post-transcriptional control. In summary, PSNPs caused multi-level toxicity in C. maculata larvae, providing new insights into their ecotoxicological hazards in freshwater ecosystems. Full article
(This article belongs to the Special Issue Antioxidant Defenses and Oxidative Stress Management in Aquaculture)
Show Figures

Graphical abstract

10 pages, 1301 KB  
Brief Report
The Seasonal Spatial Distribution Pattern and Migration of Kishi Velvet Shrimp Metapenaeopsis dalei in the Southern Yellow and East China Seas
by Min Xu, Xiaojing Song, Yang Xu, Jianzhong Ling and Huiyu Li
Animals 2026, 16(2), 296; https://doi.org/10.3390/ani16020296 - 18 Jan 2026
Abstract
It is important to understand the ecological information of Metapenaeopsis dalei to better conserve and manage the stocks in Asia. In this study, we employed research vessels to collect the field data including biomass and number of M. dalei in each survey stations [...] Read more.
It is important to understand the ecological information of Metapenaeopsis dalei to better conserve and manage the stocks in Asia. In this study, we employed research vessels to collect the field data including biomass and number of M. dalei in each survey stations along with environmental data including depth, water temperature, and salinity from November 2018 to September 2019 in the region of 26.50–35.00° N and 120.00–127.00° E in the southern Yellow and East China Seas of China. We found that the annual mean catch per unit effort of weight and number (CPUEw and CPUEn) was 15,235.89 g∙h−1 and 17,319.13 ind∙h−1, respectively. Metapenaeopsis dalei was found in 10–130 m. The greatest biomass occurred at 10–20 m in spring, 30–40 m in summer, 10–100 m in autumn, and 10–40 m in winter. The greatest abundance occurred at sea bottom temperature (SBT) 14–15 °C in spring, 19 °C in summer, 15–20 °C in autumn, and 10–12 °C in winter. The greatest abundance occurred at sea bottom salinity (SBS) 32–33 in spring, 32 in summer, 32–35 in autumn, and 31–32 in winter. We found the lowest SBT of M. dalei at 10–11 °C in spring and summer. The juveniles were found at SBT 21 °C and SBS 34 in autumn. The total CPUEw and CPUEn rankings were winter > spring > autumn > summer, and the mean average individual weight (AIW) ranking was summer > spring > winter > autumn. Fishing grounds of Haizhou Bay–Lvsi and Zhoushan–Yushan may be the spawning grounds for M. dalei. These findings can benefit fishery management action and planning in the future. Full article
(This article belongs to the Section Aquatic Animals)
Show Figures

Figure 1

16 pages, 12627 KB  
Article
Forest Type Shapes Soil Microbial Carbon Metabolism: A Metagenomic Study of Subtropical Forests on Lushan Mountain
by Dan Xi, Feifei Zhu, Zhaochen Zhang, Saixia Zhou and Jiaxin Zhang
Microorganisms 2026, 14(1), 220; https://doi.org/10.3390/microorganisms14010220 - 17 Jan 2026
Viewed by 127
Abstract
Forest type strongly influences soil microbial community composition and associated carbon cycling, yet its influence on microbial functional traits remains poorly understood. In this study, metagenomics sequencing was used to investigate soil microbial communities and carbon metabolism genes across three forest types: deciduous [...] Read more.
Forest type strongly influences soil microbial community composition and associated carbon cycling, yet its influence on microbial functional traits remains poorly understood. In this study, metagenomics sequencing was used to investigate soil microbial communities and carbon metabolism genes across three forest types: deciduous broadleaf (DBF), mixed coniferous–broadleaf (CBMF), and coniferous forest (CF) at two soil depths (0–20 cm and 20–40 cm) on Lushan Mountain in subtropical China. The results showed that CF exhibited higher bacterial diversity and a distinct microbial composition, with an increase in Actinomycetota and Bacteroidota and a decrease in Acidobacteriota and Pseudomonadota. The Calvin cycle was the dominant carbon fixation pathway in all forests, while the relative abundance of secondary pathways (i.e., the 3-hydroxypropionate bi-cycle and reductive citrate cycle) varied significantly with forest type. Key carbon fixation genes (sucD, pckA) were more abundant in CF and CBMF, with higher levels of rpiA/B and ackA in DBF. Functional profiling further indicated that CF soils, especially in the surface layer, were enriched in glycoside hydrolases (GHs) and carbohydrate esterases (CEs), while CBMF showed a greater potential for starch and lignin degradation. Multivariate statistical analyses identified soil available phosphorus (AP) and pH as primary factors shaping microbial community variation, with AP emerging as being the dominant regulator of carbon-related functional gene abundance. Overall, the prevalence of these distinct genetic potentials across forest types underscores how vegetation composition may shape microbial functional traits, thereby influencing the stability and dynamics of the soil carbon pool in forest ecosystem. Full article
(This article belongs to the Special Issue Diversity, Function, and Ecology of Soil Microbial Communities)
Show Figures

Figure 1

15 pages, 1841 KB  
Article
Impact of Mutations in the NCAPG and MSTN Genes on Body Composition, Structural Properties of Skeletal Muscle, Its Fatty Acid Composition, and Meat Quality of Bulls from a Charolais × Holstein F2 Cross
by Elke Albrecht, Praveen Krishna Chitneedi, Dirk Dannenberger, Christa Kühn and Steffen Maak
Int. J. Mol. Sci. 2026, 27(2), 882; https://doi.org/10.3390/ijms27020882 - 15 Jan 2026
Viewed by 133
Abstract
Cattle breeds are optimized either for milk or meat production and secrete consumed nutrients in the form of milk or accrete nutrients as skeletal muscle tissue, respectively. Surplus energy is usually stored in the form of fat in adipose tissues. To gain more [...] Read more.
Cattle breeds are optimized either for milk or meat production and secrete consumed nutrients in the form of milk or accrete nutrients as skeletal muscle tissue, respectively. Surplus energy is usually stored in the form of fat in adipose tissues. To gain more insight into the physiological and genetic background of nutrient accretion as either protein or fat, an experimental F2 population was generated crossing Charolais (CH) bulls and German Holstein (GH) cows. Mutations in two genes with known, profound effects on growth were segregating in this population: the I442M mutation in the non-SMC condensin I complex, subunit G (NCAPG) gene, and the Q204X mutation in the myostatin (MSTN) gene. The major aim of this study was to close the gap between the described effects of the NCAPG/LCORL region and MSTN SNPs on carcass and meat quality traits, as well as on the structure and composition of the underlying tissues. Whole carcass data, meat quality traits, composition of major cuts and their dominating muscles, including muscle and fat cell structure, were analyzed as well as chemical and fatty acid composition. Mutant alleles of both loci were associated with higher weights, increased muscularity, and reduced fatness, e.g., each explaining about 15% of the observed variance. However, both loci apparently affect traits in a specific manner, influencing either dimensional traits or mass accretion. Full article
Show Figures

Figure 1

18 pages, 2825 KB  
Article
Expression Profiles of Growth-Related Genes in CRISPR/Cas9-Mediated MRF4-Crispant Nile Tilapia
by Zahid Parvez Sukhan, Yusin Cho, Doohyun Cho, Cheol Young Choi and Kang Hee Kho
Fishes 2026, 11(1), 52; https://doi.org/10.3390/fishes11010052 (registering DOI) - 14 Jan 2026
Viewed by 78
Abstract
Genome editing of late myogenic regulators provides a way to dissect the mechanisms through which transcriptional programs and growth-related signaling pathways shape muscle gene expression programs in farmed fish. This study disrupted myogenic regulatory factor 4 (MRF4) in Nile tilapia using [...] Read more.
Genome editing of late myogenic regulators provides a way to dissect the mechanisms through which transcriptional programs and growth-related signaling pathways shape muscle gene expression programs in farmed fish. This study disrupted myogenic regulatory factor 4 (MRF4) in Nile tilapia using CRISPR/Cas9 to examine downstream transcriptional changes in fast skeletal muscle across the trunk, belly, and head regions. Adult F0 crispants carried a frameshift mutation that truncated the basic helix–loop–helix domain and showed an approximate 80–85% reduction in MRF4 mRNA across the trunk, belly, and head muscles. The expression of 23 genes representing myogenic regulatory factors, MEF2 paralogs, structural and contractile components, non-myotomal regulators, cell adhesion and fusion-related transcripts, and growth-related genes within the GH–IGF–MSTN axis was quantified and compared between wild-type and MRF4-crispants. Expressions of major structural genes remained unchanged despite MRF4 depletion, whereas MyoG and MyoD were upregulated together with MEF2B and MEF2D, indicating strong transcriptional compensation. Twist1, ID1, PLAU, CDH15, CHRNG, NCAM1, MYMK, GHR, and FGF6 were also significantly elevated, while IGF1 was reduced, and MSTN remained stable. Together, these results show that MRF4 loss is associated with coordinated transcriptional changes in regulatory and growth-related pathways, while major fast-muscle structural and contractile transcript levels remain stable, thereby highlighting candidate transcriptional targets for future studies that will evaluate links to muscle phenotype and growth performance in Nile tilapia. Full article
(This article belongs to the Special Issue Genetics and Breeding of Fishes)
Show Figures

Figure 1

13 pages, 1131 KB  
Systematic Review
The Effect of the DASH Diet on the Development of Gestational Hypertension in Pregnant Women: A Systematic Review and Meta-Analysis
by Anastasios Alatsis, Nikoleta Aikaterini Xixi, Rozeta Sokou, Paraskevi Volaki, Styliani Paliatsiou, Zoi Iliodromiti, Nicoletta Iacovidou and Theodora Boutsikou
Nutrients 2026, 18(2), 268; https://doi.org/10.3390/nu18020268 - 14 Jan 2026
Viewed by 258
Abstract
Background/Objectives: Gestational hypertension is associated with increased maternal and fetal morbidity. The DASH diet is designed to reduce blood pressure and improve cardiovascular health. Our aim is to evaluate the efficacy of adherence to the DASH dietary pattern during pregnancy on the [...] Read more.
Background/Objectives: Gestational hypertension is associated with increased maternal and fetal morbidity. The DASH diet is designed to reduce blood pressure and improve cardiovascular health. Our aim is to evaluate the efficacy of adherence to the DASH dietary pattern during pregnancy on the incidence of GH. Methods: PubMed, Scopus, Web of Science, Cochrane Library and Embase were systematically searched. All studies including data on the effect of the DASH diet on GH were included in this review. The study is registered in PROSPERO (CRD420251044348). Results: A total of five studies were included in our study. The meta-analysis reported a pooled relative risk (RR) of 1.03 (CI: 0.86–1.23) for the effect of the DASH diet on gestational hypertension. In the subgroup analysis for preeclampsia, the overall relative risk estimate was 0.78 (95% CI: 0.60–1.02). Both analyses did not yield statistical significance. Conclusions: Current evidence, although showing a favorable trend, does not conclude that the DASH diet reduces the risk of gestational hypertension, as the results did not achieve statistical significance. Although potential benefits have been observed, the limited number of available studies does not allow for definitive conclusions. More randomized and multicenter studies are needed to thoroughly investigate the relationship between the DASH diet and gestational hypertension in order to implement this dietary program instead of general dietary recommendations for GH. Full article
(This article belongs to the Section Nutrition in Women)
Show Figures

Figure 1

13 pages, 1990 KB  
Article
Possible Involvement of Hypothalamic Dysfunction in Long COVID Patients Characterized by Delayed Response to Gonadotropin-Releasing Hormone
by Yuki Otsuka, Yoshiaki Soejima, Yasuhiro Nakano, Atsuhito Suyama, Ryosuke Takase, Kohei Oguni, Yohei Masuda, Daisuke Omura, Yasue Sakurada, Yui Matsuda, Toru Hasegawa, Hiroyuki Honda, Kazuki Tokumasu, Keigo Ueda and Fumio Otsuka
Int. J. Mol. Sci. 2026, 27(2), 832; https://doi.org/10.3390/ijms27020832 - 14 Jan 2026
Viewed by 110
Abstract
Long COVID (LC) may involve endocrine dysfunction; however, the underlying mechanism remains unclear. To examine hypothalamic–pituitary responses in patients with LC, we conducted a single-center retrospective study of patients with refractory LC referred to our University Hospital who underwent anterior pituitary stimulation tests. [...] Read more.
Long COVID (LC) may involve endocrine dysfunction; however, the underlying mechanism remains unclear. To examine hypothalamic–pituitary responses in patients with LC, we conducted a single-center retrospective study of patients with refractory LC referred to our University Hospital who underwent anterior pituitary stimulation tests. Between February 2021 and November 2025, 1251 patients with long COVID were evaluated, of whom 207 (19%) had relatively low random ACTH or cortisol levels. Ultimately, 16 underwent anterior pituitary stimulation tests and were included. All tests were performed in an inpatient setting without exogenous steroids. Fifteen patients (six women, mean age 35.6 years) underwent corticotropin-releasing hormone (CRH), thyrotropin-releasing hormone (TRH), and gonadotropin-releasing hormone (GnRH) tests. All patients had mild acute COVID-19, eight had ≥2 vaccinations, and the mean interval from infection was 343 days. Frequent symptoms included fatigue (100%), insomnia (66.7%), headache (60.0%), anorexia/nausea (40.0%), and brain fog (40.0%). Mean early-morning cortisol and 24 h urinary free cortisol were 7.5 μg/dL and 41.0 μg/day, respectively. MRI showed an empty sella in one case. Peak hormonal responses were preserved (ΔACTH 247%, ΔTSH 918%, ΔPRL 820%, ΔFSH 187%, ΔLH 1150%); however, peaks were delayed beyond 60 min in ACTH (13%), LH (33%), and FSH (87%). Notably, significantly delayed elevations remained at 120 min in the responses of TSH (4.1-fold), PRL (1.8-fold), LH (9.3-fold), and FSH (2.8-fold), suggesting possible hypothalamic involvement, particularly in the gonadotropin responses. Additionally, serum IGF-I was lowered (−0.70 SD), while GH response (mean peak 35.5 ng/mL) was preserved by growth hormone-releasing peptide (GHRP)-2 stimulation. Low-dose hydrocortisone and testosterone were initiated for three patients. Although direct viral effects and secondary suppression have been proposed, our findings may suggest that, at least in part, the observed response characteristics are consistent with functional secondary hypothalamic dysfunction rather than irreversible primary injury. These findings highlight the need for objective endocrine evaluation before initiating hormone replacements. Full article
Show Figures

Graphical abstract

11 pages, 505 KB  
Article
Behavioral and Cognitive Assessment in a Cohort of Term Small-for-Gestational-Age Children
by Rossella Vitale, Annachiara Libraro, Francesca Cocciolo, Mariangela Chiarito, Emilia Matera and Maria Felicia Faienza
Children 2026, 13(1), 120; https://doi.org/10.3390/children13010120 - 13 Jan 2026
Viewed by 114
Abstract
Background/Objectives: Children born small for gestational age (SGA) are at increased risk for impaired growth, metabolic disturbances, and neurodevelopmental difficulties. Although previous research has examined cognitive and behavioral outcomes in this population, findings remain inconsistent. Moreover, limited evidence is available regarding the potential [...] Read more.
Background/Objectives: Children born small for gestational age (SGA) are at increased risk for impaired growth, metabolic disturbances, and neurodevelopmental difficulties. Although previous research has examined cognitive and behavioral outcomes in this population, findings remain inconsistent. Moreover, limited evidence is available regarding the potential effects of recombinant human growth hormone (rhGH) therapy on cognitive development. We aimed to assess cognitive performance, emotional–behavioral functioning, and neonatal predictors of neurocognitive outcomes in term SGA children compared with age- and sex-matched peers born appropriate for gestational age (AGA). We also explored potential differences in cognitive outcomes between rhGH-treated and untreated SGA children. Methods: A total of 18 term SGA children and 23 AGA controls underwent anthropometric measurements, biochemical evaluation, cognitive testing using the Wechsler Intelligence Scale for Children—Fourth Edition (WISC-IV), and behavioral assessment through the Child Behavior Checklist (CBCL). Birth weight, length, and head circumference were analyzed as potential predictors of cognitive performance. Results: SGA children demonstrated significantly lower Intelligence Quotient (IQ) scores than AGA peers, with marked weaknesses in Perceptual Reasoning index (PRI) and Processing Speed index (PSI), while Verbal Comprehension and Working Memory were preserved. They also exhibited higher internalizing behavioral symptoms, whereas externalizing behaviors did not differ between groups. Birth head circumference emerged as a strong predictor of PRI and a modest predictor of PSI. No associations were found between rhGH treatment parameters and cognitive outcomes. Larger longitudinal studies are needed to clarify how early growth restriction affects brain development and cognition and whether GH therapy influences these processes. Full article
(This article belongs to the Section Pediatric Neonatology)
Show Figures

Figure 1

14 pages, 871 KB  
Article
Efavirenz Interacts with Hormones Involved in Appetite and Satiety, Affecting Body Weight in Mice
by Sandra Angélica Rojas-Osornio, Leticia Manuel-Apolinar, Minerva Crespo-Ramírez, Vladimir Paredes-Cervantes, Antonio Mata-Marín, José Molina-López, Miguel Pérez de la Mora, Dasiel Borroto-Escuela, Ricardo Martínez-Lara and Emiliano Tesoro-Cruz
Int. J. Mol. Sci. 2026, 27(2), 735; https://doi.org/10.3390/ijms27020735 - 11 Jan 2026
Viewed by 134
Abstract
Antiretroviral drugs are associated with increased body weight and metabolic disorders. Fat gain and insulin resistance are commonly associated with abdominal obesity in people with HIV (PWH). There is currently an open ongoing discussion about how antiretroviral therapy affects body weight and its [...] Read more.
Antiretroviral drugs are associated with increased body weight and metabolic disorders. Fat gain and insulin resistance are commonly associated with abdominal obesity in people with HIV (PWH). There is currently an open ongoing discussion about how antiretroviral therapy affects body weight and its significance in hunger–satiety circuit alteration. Until now, the impact of the drug on this circuit has not been explored. This study aimed to assess the hormones involved in appetite and satiety regulation in the serum and hypothalamus after efavirenz (EFV) administration in mice. EFV (10 mg/kg) and distilled water (1.5 μL/kg) (control group) were orally administered for 36 days to CD1 mice. Body weight and food intake were determined throughout treatment. At the end of the treatment, the metabolic profile (glucose, triglycerides, cholesterol) was assessed, and leptin, soluble receptor of leptin (sOB-R), and ghrelin were measured in serum; moreover, we evaluated the expression of growth hormone secretagogue receptor 1a (GHS-R1a), neuropeptide Y receptor 1 (NPYR1), and leptin in the hypothalamus, and a sucrose preference test (SPT) was conducted. Outcomes showed an increase in serum ghrelin and the expression of GHS-R1a and NPYR1 receptors in the hypothalamus, coinciding with an increase in appetite and preference for sucrose in mice in the EFV group. Furthermore, serum leptin, sOB-R, and the free leptin index (FLI) showed that hunger is not related to a lack of satiety. Despite increased food intake, a reduction in body weight was observed, and triglyceride and cholesterol levels were increased. According to our findings, mice treated with EFV showed a decrease in body weight, despite increased food intake resulting from appetite stimulation, which is caused by specific compounds, hormones, and neural signals acting on the brain’s hunger centres, primarily in the hypothalamus, promoting eating behaviours. However, further studies are necessary to investigate the mechanisms of EFV’s effects on energy expenditure. Full article
(This article belongs to the Section Molecular Endocrinology and Metabolism)
Show Figures

Figure 1

20 pages, 3883 KB  
Article
Physiological Responses of Kalibaus (Labeo calbasu) to Temperature Changes: Metabolic, Haemato-Biochemical, Hormonal and Immune Effects
by Masuda Sultana Mimi, Simon Kumar Das, Mohammad Lutfar Rahman, Mohammad Abdus Salam, Md. Nushur Islam, Tamanna Rahman, Sumi Rani Das, Mohammad Nazmol Hasan and Sabuj Kanti Mazumder
Fishes 2026, 11(1), 46; https://doi.org/10.3390/fishes11010046 - 10 Jan 2026
Viewed by 245
Abstract
A global interest in the cultivation of Kalibaus (Labeo calbasu) has emerged due to decreasing natural stocks and a consistent rise in market value and demand. Given these concerns, understanding the species’ physiological responses to environmental changes is crucial. The present [...] Read more.
A global interest in the cultivation of Kalibaus (Labeo calbasu) has emerged due to decreasing natural stocks and a consistent rise in market value and demand. Given these concerns, understanding the species’ physiological responses to environmental changes is crucial. The present research aimed to assess the effect of varying environmental temperatures on metabolism, haemato-biochemical indices, hormonal concentrations and immune responses in L. calbasu. This study was conducted in triplicate using 100 L glass aquariums at four different temperatures: 22, 26, 30, and 34 °C. The highest weight and length gain were observed at 30 °C, while the lowest occurred at 22 °C. Notably, the best feed conversion ratio (FCR) of 1.51 ± 0.03 was also recorded at 30 °C. Although haematological and biochemical parameters remained within normal ranges, they varied with temperature changes. Indicators of cold and heat stress were evident through lower hematocrit levels and higher white blood cell (WBC) counts. Biochemical indicators such as serum albumin (1.84 ± 0.05 g dL−1), serum globulin (1.64 ± 0.06 gdL−1), HCO3 (30.93 ± 0.62), Na+ (115.60 ± 3.72 mmolL−1), alkaline phosphatase (93.33 ± 9.39 AP, IUL−1), and AST/SGOT (21.00 ± 4.55 UL−1) were significantly higher at 30 °C. Regarding hormonal responses, peak levels of growth hormone (GH), triiodothyronine (T3) (1.44 ± 0.07 ngmL−1), and thyroxine (T4) were recorded at 30 °C. Meanwhile, serum cortisol (1.62 ± 0.06 µgdL−1) and adrenocorticotropic hormone (ACTH) (18.01 ± 3.26 pgmL−1) were highest at 34 °C. Immune responses were strongest between 26 and 30 °C. In conclusion, the results suggest that L. calbasu should ideally be cultured between 26 and 30 °C for optimum growth and health, making it ideal for commercial farming. Full article
(This article belongs to the Special Issue Advancing Fish Nutrition Research for Sustainable Aquaculture)
Show Figures

Figure 1

20 pages, 6164 KB  
Article
Methane-Rich Syngas from Pyrolysis of Sewage Sludge with Sorbent/Catalyst
by Cesare Freda, Emanuele Fanelli, Assunta Romanelli, Vito Valerio, Adolfo Le Pera, Miriam Sellaro, Giacinto Cornacchia and Giacobbe Braccio
Biomass 2026, 6(1), 7; https://doi.org/10.3390/biomass6010007 - 8 Jan 2026
Viewed by 154
Abstract
Sewage sludge was pyrolyzed at mass rate of 500 g/h in a bench-scale rotary kiln for methane-rich syngas production. The tested process variables were the pyrolysis temperature (600, 700 and 800 °C) and the CaO addition to the process (0 and 0.2 CaO/dried [...] Read more.
Sewage sludge was pyrolyzed at mass rate of 500 g/h in a bench-scale rotary kiln for methane-rich syngas production. The tested process variables were the pyrolysis temperature (600, 700 and 800 °C) and the CaO addition to the process (0 and 0.2 CaO/dried sewage sludge). Product distribution (char, condensable product, and gas) as well as their chemical composition were determined. At CaO/dried sewage sludge mass ratio equal to 0, with the increasing pyrolysis temperature from 600 to 800 °C, the gas yield increased from 31.4% to 45.6 wt.%, while the char yield decreased from 41.3 to 37.5 wt.%. At CaO/dried sewage sludge mass ratio equal to 0.2, significantly different product distribution and chemical composition were detected. In fact, syngas showed a net CO2 concentration reduction (under 10 mol %), while methane concentration increased at 600 and 700 °C up to 54 and 42 mol %, respectively. The total gas yield increased, probably because of the CaO behavior as catalyst of volatiles conversion reactions (cracking and reforming). In fact, the condensable product yield decreased up to 7 wt.% at 800 °C. At CaO/dried sewage sludge equal to 0.2 and pyrolysis temperature of 700 °C, the maximum methane yield of 150 g/kg SS was detected. Full article
Show Figures

Figure 1

39 pages, 20112 KB  
Article
High-Spatiotemporal-Resolution Population Distribution Estimation Based on the Strong and Weak Perception of Population Activity Patterns
by Rui Li, Guangyu Liu, Hongyan Li and Jing Xia
ISPRS Int. J. Geo-Inf. 2026, 15(1), 34; https://doi.org/10.3390/ijgi15010034 - 8 Jan 2026
Viewed by 207
Abstract
Population activity drives urban development, and high-spatiotemporal-resolution population distribution provides critical insights for refined urban management and social services. However, mixed population activity patterns and spatial heterogeneity make simultaneous high-temporal- and -spatial-resolution estimation difficult. Therefore, we propose the High-Spatiotemporal-Resolution Population Distribution Estimation Based [...] Read more.
Population activity drives urban development, and high-spatiotemporal-resolution population distribution provides critical insights for refined urban management and social services. However, mixed population activity patterns and spatial heterogeneity make simultaneous high-temporal- and -spatial-resolution estimation difficult. Therefore, we propose the High-Spatiotemporal-Resolution Population Distribution Estimation Based on the Strong and Weak Perception of Population Activity Patterns (SWPP-HSTPE) method to estimate hourly population distribution at the building scale. During the weak-perception period, we construct a Modified Dual-Environment Feature Fusion model using building features within small-scale grids to estimate stable nighttime populations. During the strong-perception period, we incorporate activity characteristics of weakly perceived activity populations (minors and older people). Then, the Self-Organizing Map algorithm and spatial environment function purity are used to decompose mixed patterns of strongly perceived activity populations (young and middle-aged) and to extract fundamental patterns, combined with building types, for population calculation. Results demonstrated that the SWPP-HSTPE method achieved high-spatiotemporal-resolution population distribution estimation. During the weak-perception period, the estimated population correlated strongly with actual household counts (r = 0.72) and outperformed WorldPop and GHS-POP by 0.157 and 0.133, respectively. During the strong-perception period, the SWPP-HSTPE model achieves a correlation with hourly population estimates that is approximately 4% higher than that of the baseline model, while reducing estimation errors by nearly 2%. By jointly accounting for temporal dynamics and population activity patterns, this study provides valuable data support and methodological insights for fine-grained urban management. Full article
Show Figures

Figure 1

24 pages, 5669 KB  
Article
The Characterization of Curved Grain Boundary in Nickel-Based Superalloy Formed During Heat Treatment
by Yu Zhang, Jianguo Wang, Dong Liu, Junwei Huang, Minqing Wang, Haodong Rao, Jungang Nan and Yaqi Lai
Metals 2026, 16(1), 68; https://doi.org/10.3390/met16010068 - 7 Jan 2026
Viewed by 125
Abstract
This study proposes a novel framework for quantifying curved grain boundaries that overcomes key limitations of existing methods. Unlike Fourier-based approaches that require labor-intensive sequential analysis of individual boundaries and selectively represent only high-amplitude regions, or spline-based methods that demand complex parameter selection [...] Read more.
This study proposes a novel framework for quantifying curved grain boundaries that overcomes key limitations of existing methods. Unlike Fourier-based approaches that require labor-intensive sequential analysis of individual boundaries and selectively represent only high-amplitude regions, or spline-based methods that demand complex parameter selection for interpolation points, the proposed framework integrates curvature variance filtering with U-chord curvature calculation to enable automated, comprehensive, and noise-resistant characterization of grain boundary morphology. The curvature variance filtering adaptively determines smoothing parameters based on local curve properties, while the U-chord curvature method ensures rotational invariance and robustness against digitization errors. Four heat treatment processes were applied to GH4169 alloy, producing distinct grain boundary morphologies with mean curvature (MC) values ranging from 0.0625 to 0.1252. Controlled cooling alone (Process A) yielded predominantly straight boundaries (91.06% straight, 0.12% serrated), while re-dissolution treatment (Process D) produced the highest serration degree (58.81% straight, 3.53% serrated). The quantitative analysis reveals that dispersed δ-phase precipitation creates discrete pinning points, forming serrated boundaries with sharp curvature peaks, whereas dense, parallel δ-phase arrays at specific angles produce coordinated wavy undulations. This framework provides a reliable quantitative tool for optimizing heat treatment protocols to achieve target grain boundary configurations in nickel-based superalloys. Full article
Show Figures

Figure 1

15 pages, 1084 KB  
Article
Antigenic-Specificity and Cytokine Profile of the T-Cell Response to Human Cytomegalovirus in Transplant Recipients
by Federica Zavaglio, Paola Zelini, Asja Cera, Piera d’Angelo, Marilena Gregorini, Teresa Rampino, Lucia Del Frate, Federica Meloni, Oscar Borsani, Carlo Pellegrini, Fausto Baldanti and Daniele Lilleri
Pathogens 2026, 15(1), 53; https://doi.org/10.3390/pathogens15010053 - 5 Jan 2026
Viewed by 193
Abstract
Human cytomegalovirus (HCMV) infection is a significant complication in transplant recipients. Following HCMV reactivation, the recovery of T-cell responses serves as a key indicator of protection from HCMV disease. This study aimed to assess the HCMV-specific CD4+ and CD8+ T-cell responses [...] Read more.
Human cytomegalovirus (HCMV) infection is a significant complication in transplant recipients. Following HCMV reactivation, the recovery of T-cell responses serves as a key indicator of protection from HCMV disease. This study aimed to assess the HCMV-specific CD4+ and CD8+ T-cell responses and their cytokine production (IFNγ, TNFα, IL2) against various HCMV proteins (IE-1, pp65, gB, gH/gL/pUL128L) in solid organ transplant recipients (SOTRs) and hematopoietic stem cell transplant recipients (HSCTRs) with active HCMV infection. The cohort consisted of 16 SOTR and 16 HSCTR categorized into two groups: (i) Controllers, who spontaneously controlled the infection, and (ii) Non-Controllers, who required antiviral treatment. T-cell responses were analyzed following stimulation with peptide pools and intracellular cytokine staining. Prior to transplantation, all patients exhibited a significantly higher frequency of CD4+ T cells specific to pp65 compared to gH and gL/pUL128L. During the peak of infection, T-cell frequencies across all peptides were similar, but at infection resolution, the frequency of pp65 and gB-specific CD4+IFNγ+ T cells was significantly higher than gL/pUL128L. Additionally, pp65 and IE-1-specific CD8+IFNγ+ T-cell responses were significantly greater than those against gH and gL/pUL128L at the resolution of infection. Notably, Controllers exhibited significantly higher frequencies of monofunctional pp65-specific T cells, particularly in CD8+ T cells producing IFNγ and TNFα. The response to pp65, especially IFNγ production, may serve as a key marker for identifying patients capable of controlling HCMV infection. Full article
Show Figures

Figure 1

17 pages, 733 KB  
Article
Hydrogen Production Using MOF-Enhanced Electrolyzers Powered by Renewable Energy: Techno-Economic and Environmental Assessment Pathways for Uzbekistan
by Wagd Ajeeb
Hydrogen 2026, 7(1), 7; https://doi.org/10.3390/hydrogen7010007 - 4 Jan 2026
Viewed by 463
Abstract
Decarbonizing industry, improving urban sustainability, and expanding clean energy use are key global priorities. This study presents a techno-economic analysis (TEA) and life-cycle assessment (LCA) of green hydrogen (GH2) production via water electrolysis for low-carbon applications in the Central Asian region, [...] Read more.
Decarbonizing industry, improving urban sustainability, and expanding clean energy use are key global priorities. This study presents a techno-economic analysis (TEA) and life-cycle assessment (LCA) of green hydrogen (GH2) production via water electrolysis for low-carbon applications in the Central Asian region, with Uzbekistan considered as a representative case study. Solar PV and wind power are used as renewable electricity sources for a 44 MW electrolyzer. The assessment also incorporates recent advances in alkaline water electrolyzers (AWE) enhanced with metal–organic framework (MOF) materials, reflecting improvements in efficiency and hydrogen output. The LCA, performed using SimaPro, evaluates the global warming potential (GWP) across the full hydrogen production chain. Results show that the MOF-enhanced AWE system achieves a lower levelized cost of hydrogen (LCOH) at 5.18 $/kg H2, compared with 5.90 $/kg H2 for conventional AWE, with electricity procurement remaining the dominant cost driver. Environmentally, green hydrogen pathways reduce GWP by 80–83% relative to steam methane reforming (SMR), with AWE–MOF delivering the lowest footprint at 1.97 kg CO2/kg H2. In transport applications, fuel cell vehicles powered by hydrogen derived from AWE–MOF emit 89% less CO2 per 100 km than diesel vehicles and 83% less than using SMR-based hydrogen, demonstrating the substantial climate benefits of advanced electrolysis. Overall, the findings confirm that MOF-integrated AWE offers a strong balance of economic viability and environmental performance. The study highlights green hydrogen’s strategic role in the Central Asian region, represented by Uzbekistan’s energy transition, and provides evidence-based insights for guiding low-carbon hydrogen deployment. Full article
(This article belongs to the Special Issue Green and Low-Emission Hydrogen: Pathways to a Sustainable Future)
Show Figures

Graphical abstract

Back to TopTop