Sign in to use this feature.

Years

Between: -

Subjects

remove_circle_outline
remove_circle_outline
remove_circle_outline
remove_circle_outline
remove_circle_outline
remove_circle_outline
remove_circle_outline
remove_circle_outline
remove_circle_outline

Journals

remove_circle_outline
remove_circle_outline
remove_circle_outline
remove_circle_outline
remove_circle_outline

Article Types

Countries / Regions

remove_circle_outline
remove_circle_outline
remove_circle_outline

Search Results (216)

Search Parameters:
Keywords = GD-DS3

Order results
Result details
Results per page
Select all
Export citation of selected articles as:
22 pages, 95583 KB  
Article
Diagnosing Early Establishment of Hybrid Sorghum in Response to Seeding Rates Using UAV-Based Remote Sensing and Soil ECa Analysis
by Gonçalo Tavares Póvoas, Luís Silva, Susana Dias, Paola D’Antonio, Fernando Cebola Lidon, João Serrano and Luís Alcino Conceição
Grasses 2026, 5(1), 12; https://doi.org/10.3390/grasses5010012 - 7 Mar 2026
Viewed by 127
Abstract
Sorghum is a resilient crop important for sustainable intensification in semi-arid regions, yet the impact of variable seeding rates on its early development remains under-researched. This research investigated the early establishment of hybrid sorghum under three seeding strategies, ”Uniformise” (medium density across all [...] Read more.
Sorghum is a resilient crop important for sustainable intensification in semi-arid regions, yet the impact of variable seeding rates on its early development remains under-researched. This research investigated the early establishment of hybrid sorghum under three seeding strategies, ”Uniformise” (medium density across all zones), “Optimise” (increased density in low-soil apparent Electrical Conductivity (ECa)), and “Maximise” (increased density in high-soil ECa), at the Herdade da Comenda (Innovation Center—Elvas, Portugal). Crop performance was monitored over 33 days, the established window for safe direct grazing, using Unmanned Aerial Vehicle (UAV) multispectral imagery to derive the Normalised Difference Vegetation Index (NDVI) and Canopy Cover (Cveg), alongside physical sampling of plant height and biomass. Statistical analysis revealed that both the seeding strategy and soil variability significantly affected early growth. The “Uniformise” strategy recorded the highest plant height, NDVI, and Cveg values, whereas the “Optimise” strategy performed the poorest. Additionally, an accumulation of 407.5 Growing Degree-Days (GDDs; °C) accelerated the phenological cycle by five days relative to the climatological normal. Despite differences in vegetative vigour, no statistically significant variations were observed in final biomass across the strategies. These results indicate that while the “Uniformise” approach provided a more balanced environment for early establishment under these specific Mediterranean conditions, the lack of biomass differentiation highlights the potential for resource optimisation. The study demonstrates that UAV-based remote sensing is a useful diagnostic tool to identify these spatial limitations, providing the data to refine variable-rate seeding (VRS) algorithms and improve the economic efficiency of precision sowing. Full article
Show Figures

Graphical abstract

27 pages, 7254 KB  
Article
Shifts in the Decoupling and Driving Mechanisms of Grassland Greening and Water Availability in the Northern Hemisphere
by Gongxin Wang, Haiwei Zhang, Yuqing Shao and Changqing Jing
Remote Sens. 2026, 18(5), 829; https://doi.org/10.3390/rs18050829 - 7 Mar 2026
Viewed by 226
Abstract
Grasslands, covering over 40% of terrestrial land surfaces, play a critical role in regional water cycling through their greening processes. However, the decoupling mechanisms between grassland greening and water availability (WA) changes across the Northern Hemisphere, along with their future trajectories, remain poorly [...] Read more.
Grasslands, covering over 40% of terrestrial land surfaces, play a critical role in regional water cycling through their greening processes. However, the decoupling mechanisms between grassland greening and water availability (WA) changes across the Northern Hemisphere, along with their future trajectories, remain poorly understood. Here, we integrated multi-source satellite observations with CMIP6 model ensembles to systematically assess the spatiotemporal evolution and trend divergence of leaf area index (LAI) and WA across Northern Hemisphere grasslands from 2000 to 2100. Our results showed that grassland LAI exhibited sustained growth during 2000–2020, with 55.28% of regions showing significant increasing trends. However, 73.67% of grassland regions experienced declining WA during the historical period, revealing widespread decoupling between grassland greening and water deficit. Future scenario projections indicated a reversal to increasing WA trends, with 57.51% of regions showing significant increases under SSP5–8.5. Furthermore, 61.87% of grasslands exhibited greening-driven drying (GDD) characteristics during the historical period, while greening-driven wetting (GDW) regions were projected to expand to 72.44% in the future. Analysis along aridity gradients revealed that humid zones contributed most prominently to LAI and WA changes. Mechanistic decomposition demonstrated that grassland WA changes shifted from precipitation-dominated control (53.60%) in the historical period toward a regime jointly governed by precipitation dominance and coupled precipitation–evapotranspiration drivers in the future. Concurrently, the dominant factor controlling grassland greening transitioned from vapor-pressure deficit (VPD) to temperature (TEM) control. Additionally, driving factors exhibited pronounced differentiation patterns along aridity gradients during the historical phase: arid zones were dominated by soil moisture (SM) and semi-arid zones displayed dual control by SM and VPD, while humid zones were governed by coupled TEM-VPD regulation. This study reveals the divergent trends between grassland greening and WA and unravels their driving mechanisms, offering important scientific evidence for formulating regionally differentiated ecological water resource management strategies. Full article
Show Figures

Figure 1

21 pages, 18934 KB  
Article
The Severity Pattern of Powdery Mildew Under Rain-Sheltered Cultivation and the Screening of Highly Effective Bio-Based Pesticides
by Yuanbo Zhang, Zhiyuan Zhang, Langjie Wu, Yuxuan Yin, Zhumei Xi and Xianhang Wang
Horticulturae 2026, 12(3), 275; https://doi.org/10.3390/horticulturae12030275 - 26 Feb 2026
Viewed by 153
Abstract
Frequent rainfall during the ripening season in Shaanxi’s grape-growing regions increases the incidence of downy mildew and black rot. In recent years, rain-shelter cultivation has reduced the incidence of these diseases; however, it has been associated with frequent powdery mildew outbreaks that severely [...] Read more.
Frequent rainfall during the ripening season in Shaanxi’s grape-growing regions increases the incidence of downy mildew and black rot. In recent years, rain-shelter cultivation has reduced the incidence of these diseases; however, it has been associated with frequent powdery mildew outbreaks that severely compromise fruit quality and yield. To mitigate powdery mildew under rain-shelter conditions, we characterized disease dynamics and evaluated “bio-based” or “microbial-derived” pesticide control strategies. A large number of studies have shown that rain shelter cultivation can significantly change the microclimate. This study found that changes in microclimate affect the incidence pattern of powdery mildew, and there are significant differences in the resistance of different grape varieties to powdery mildew. A prediction model based on microclimate showed that 15-day accumulated growing degree days (GDD15; base 10 °C) before disease onset were positively correlated with the disease index (r = 0.860), whereas relative humidity was negatively correlated (r = −0.637); a multiple regression including both variables explained 81.4% of the variance. In biopesticide screening, blasticidin S and polyoxin inhibited spore germination by >95%. In-shelter efficacy varied among cultivars, and biopesticide effects on fruit quality were also cultivar dependent. For example, blasticidin S increased total phenol and anthocyanin contents in Cabernet Sauvignon but reduced phenolic accumulation in Chardonnay. Full article
(This article belongs to the Section Plant Pathology and Disease Management (PPDM))
Show Figures

Figure 1

14 pages, 1000 KB  
Article
Phenological Development of Waxy-Leaved Mustard (Boreava orientalis Jaub. and Spach.)
by Taiebeh Adeli, Iraj Tahmasebi, Sirwan Babaei and Christian Andreasen
Plants 2026, 15(5), 700; https://doi.org/10.3390/plants15050700 - 26 Feb 2026
Viewed by 184
Abstract
Waxy-leaved mustard (Boreava orientalis Jaub. and Spach.) is an invasive weed that has rapidly spread across wheat fields in the Kurdistan Province, Iran. The germination and phenology of this species were studied through a series of greenhouse and field experiments conducted from [...] Read more.
Waxy-leaved mustard (Boreava orientalis Jaub. and Spach.) is an invasive weed that has rapidly spread across wheat fields in the Kurdistan Province, Iran. The germination and phenology of this species were studied through a series of greenhouse and field experiments conducted from 2018 to 2020 to better understand its biology and support effective management strategies. We calculated the growing degree days (GDD) required for each growth stage of B. orientalis and related the calculations to the Biologische Bundesanstalt, Bundessortenamt und Chemische Industrie (BBCH) scale. We also studied whether light affected germination. The results indicated that light significantly reduced germination. The base temperature for germination (4 °C) is identical to that of wheat, and the growth periods were largely similar. Consequently, the maturation of wheat and B. orientalis seeds co-occurred, leading to the dispersal of weed seeds during wheat harvest and increasing field infestation. Understanding the phenological development of B. orientalis provides a valuable basis for developing management strategies and implementing effective control measures to reduce field contamination and prevent further spread. Full article
(This article belongs to the Section Plant Development and Morphogenesis)
Show Figures

Figure 1

19 pages, 2762 KB  
Article
Assessing Spring Phenology Models with Photosynthesis Integration: Mechanistic Drivers of the Carbon–Frost Trade-Off
by Yating Gu, Qianhan Wu, Xiaorong Wang and Yantian Wang
Forests 2026, 17(2), 287; https://doi.org/10.3390/f17020287 - 23 Feb 2026
Viewed by 275
Abstract
Accurate prediction of spring phenology is critical for understanding ecosystem carbon and water dynamics under changing climates. In this study, we applied a revised optimality-based model (R-OPT) that integrates a mechanistic photosynthesis framework into the existing OPT model to simulate leaf unfolding date. [...] Read more.
Accurate prediction of spring phenology is critical for understanding ecosystem carbon and water dynamics under changing climates. In this study, we applied a revised optimality-based model (R-OPT) that integrates a mechanistic photosynthesis framework into the existing OPT model to simulate leaf unfolding date. We evaluated R-OPT alongside three widely used models—Growing Degree Days (GDD), Chilling–Forcing Trade-off (CFT), and Optimality-based (OPT) models—across multiple Plant Functional Types (PFTs) and sites using repeated 5-fold cross-validation. Findings reveal that R-OPT consistently outperforms the other models, achieving the lowest median RMSE (13.11 days), indicating enhanced predictive accuracy and explanatory power. Although the model incurs slightly higher complexity (median AIC = 13.44), the improvement in prediction justifies the trade-off. Our results highlight the importance of incorporating plant functional traits and environmental heterogeneity in phenological modeling. PFT-specific differences, such as the lower RMSEs for evergreen forbs and deciduous broadleaf PFTs versus larger uncertainties for drought-deciduous and semi-evergreen PFTs, underscore that current models may insufficiently capture key environmental drivers, including precipitation and partial leaf retention. Latitudinal and elevational variations in trade-off parameter a, and the prominence of leaf-level carbon assimilation traits (Aleaf) as drivers of phenology, demonstrate the critical role of physiological traits in shaping PFT-specific phenological timing. These findings have significant implications for large-scale ecosystem modeling. By linking phenology directly to photosynthetic processes, R-OPT enhances predictive skill and biological interpretability, supporting improved simulations of carbon and water fluxes. Overall, R-OPT offers a mechanistically grounded and robust framework for advancing predictive understanding of spring phenology and its ecological and climate-relevant consequences. Full article
Show Figures

Figure 1

13 pages, 2920 KB  
Article
In Silico Characterization of Two Human Pegivirus Proteins Highlights Similarities with Hepatitis C Virus and Possible Therapeutic Repurposing
by Kaleigh M. Copenhaver, Barbara A. Hanson, Joshua J. Ziarek and Igor J. Koralnik
Viruses 2026, 18(2), 261; https://doi.org/10.3390/v18020261 - 19 Feb 2026
Viewed by 395
Abstract
Human Pegivirus (HPgV) is an understudied flavivirus that is highly prevalent and often persists in the blood and tissues of humans. HPgV-infected brain tissue from individuals with Parkinson’s disease has shown significant transcriptomic and immune signaling differences compared to non-infected Parkinson’s brains. The [...] Read more.
Human Pegivirus (HPgV) is an understudied flavivirus that is highly prevalent and often persists in the blood and tissues of humans. HPgV-infected brain tissue from individuals with Parkinson’s disease has shown significant transcriptomic and immune signaling differences compared to non-infected Parkinson’s brains. The HPgV genome is similar to Hepatitis C Virus (HCV), a well-characterized flavivirus with multiple approved small-molecule therapeutics. Here, we used HCV crystal structures to create homology models for two HPgV non-structural (NS) proteins, the serine protease (NS3) and the RNA-dependent RNA polymerase (NS5B), and performed molecular dynamic simulations. HCV and HPgV proteins had minimal structural differences, as seen by the Root Mean Square Deviation (RMSD) difference between NS3 (1.00 Å) and NS5B (1.26 Å). FDA-approved small molecules were then docked in silico to the NS3 and NS5B subunits of HCV and HPgV. HCV had weak to moderate correlated docking scores with HPgV NS3 (R2 = 0.21, p < 0.001) and NS5B (R2 = 0.58, p < 0.001). The predicted protein–ligand interactions showed potential binding between HCV antivirals and conserved residues of HPgV, including the catalytic triad for NS3 or the GDD motif for NS5B. Together, these results provide structural insights for key HPgV proteins and highlight possibilities for therapeutic repurposing of HCV antivirals. Full article
(This article belongs to the Section General Virology)
Show Figures

Graphical abstract

14 pages, 1511 KB  
Case Report
Xp22.33 Duplication Encompassing PAR1 in a Male with Syndromic Neurodevelopmental Disorder and Tall Stature
by Dibyendu Dutta, Xi Luo and Ria Garg
Genes 2026, 17(2), 238; https://doi.org/10.3390/genes17020238 - 15 Feb 2026
Viewed by 612
Abstract
Background: Duplications involving Xp22.33, particularly within the pseudoautosomal region 1 (PAR1), are rare. While copy number variants (CNVs) involving SHOX, a dosage-sensitive gene in PAR1, are known to cause growth disorders, large duplications encompassing the entire PAR1 region and beyond show variable [...] Read more.
Background: Duplications involving Xp22.33, particularly within the pseudoautosomal region 1 (PAR1), are rare. While copy number variants (CNVs) involving SHOX, a dosage-sensitive gene in PAR1, are known to cause growth disorders, large duplications encompassing the entire PAR1 region and beyond show variable associations with skeletal and neurodevelopmental abnormalities. Duplication of the near-complete, isolated PAR1 with a comprehensive clinical description has not been reported. Case Presentation: We report a male patient with a 2.49 Mb duplication encompassing nearly the entire PAR1 region (chrX:200854–2692897, GRCh37). Clinical features included global developmental delay (GDD), autism spectrum disorder (ASD), recurrent seizures, hypotonia with joint hypermobility, dysmorphic features, and proportionate tall stature. The duplicated segment contains 30 genes, including 15 protein-coding genes that escape X-inactivation. Among these, SHOX, DHRSX, ASMT, and CSF2RA are notable candidates contributing to the observed phenotype. Conclusions: This report presents a detailed clinical characterization of a rare, near-complete, isolated PAR1 duplication in a male individual. The co-occurrence of tall stature, GDD, ASD, and seizures raises the possibility of a dosage-related phenotypic effect involving one or more genes within the duplicated interval. While causality cannot be definitively established, these observations contribute to the emerging understanding of the functional consequences of Xp22.33 duplications and suggest that increased copy number within this region may be associated with a clinically significant neurodevelopmental phenotype. Full article
(This article belongs to the Section Human Genomics and Genetic Diseases)
Show Figures

Figure 1

13 pages, 2375 KB  
Article
Attosecond Visible Pulse Generation via Hollow-Core Fiber Broadening and Light Field Synthesis: The Role of Second- and Third-Order Dispersion
by Jiayi Ma, Jiahui Huang, Meng Yue, Peng Xu, Gaiyan Chang, Guanghua Cheng, Guodong Zhang, Dandan Hui and Yuxi Fu
Photonics 2026, 13(2), 191; https://doi.org/10.3390/photonics13020191 - 14 Feb 2026
Viewed by 364
Abstract
The attosecond (10−18 s) light pulse represents the fastest time scale currently mastered by the scientific community, which enables the observation of electron dynamics within atoms and molecules, offering powerful tools to probe chemical reaction mechanisms and advance research in photovoltaic materials [...] Read more.
The attosecond (10−18 s) light pulse represents the fastest time scale currently mastered by the scientific community, which enables the observation of electron dynamics within atoms and molecules, offering powerful tools to probe chemical reaction mechanisms and advance research in photovoltaic materials and biological processes. In this work, we investigate the generation of visible attosecond optical pulses via spectral broadening in Hollow-Core Fiber (HCF), followed by coherent recombination using a Three-Channel Light Field Synthesizer (TCLFS). The influence of the input pulse duration on Group Delay Dispersion (GDD), Third-Order Dispersion (TOD), and spectral broadening is systematically analyzed. Furthermore, the effects of GDD, TOD, and the carrier–envelope phase (CEP) on waveform synthesis are quantitatively examined for the first time. These findings provide valuable insights into dispersion management strategies essential for developing high-quality visible attosecond light sources, paving the way for future applications in ultrafast spectroscopy and light field-driven electron dynamics. Full article
(This article belongs to the Special Issue Lightwave Electronics)
Show Figures

Figure 1

17 pages, 3275 KB  
Article
Deconfounding Phenology in SPAD-Based Rice Nitrogen Diagnosis Using Physiological Time and Canopy-Stratified Measurements
by Chengyingying Qin, Haitao Xiang, Qiaoyi Huang and Yuan Wang
Plants 2026, 15(4), 591; https://doi.org/10.3390/plants15040591 - 13 Feb 2026
Viewed by 256
Abstract
Phenology can confound rice nitrogen diagnosis based on SPAD readings because leaf greenness and nitrogen concentration change nonlinearly with development. We tested whether physiological time, expressed as growing degree days (GDD), can reduce this developmental bias and improve the portability of SPAD-based diagnosis. [...] Read more.
Phenology can confound rice nitrogen diagnosis based on SPAD readings because leaf greenness and nitrogen concentration change nonlinearly with development. We tested whether physiological time, expressed as growing degree days (GDD), can reduce this developmental bias and improve the portability of SPAD-based diagnosis. We analyzed 1141 observations from 20 independent field experiments across five sites, spanning japonica, indica, and hybrid cultivars and nitrogen fertilizer treatments (0–300 kg N ha−1). SPAD was measured on up to five leaf-from-top positions (LFT1–LFT5) and used to predict leaf nitrogen concentration (LNC), plant nitrogen concentration (PNC), and nitrogen nutrition index (NNI). Across group-wise cross-validation by experiment, adding GDD to SPAD consistently improved cross-environment accuracy (mean R2 up to 0.75 for LNC and 0.79 for PNC) and markedly weakened residual trends along GDD. Multiplicative SPAD×GDD degraded performance, while explicit interaction terms provided little gain over a simple additive SPAD + GDD form. Interpretable analyses further showed that diagnostic information is concentrated in mid-canopy leaves and shifts with physiological time. Combining GDD with a two-leaf SPAD protocol retained most accuracy for concentration targets, supporting a time-aligned and field-practical approach for robust nitrogen diagnosis. Full article
Show Figures

Figure 1

24 pages, 91592 KB  
Article
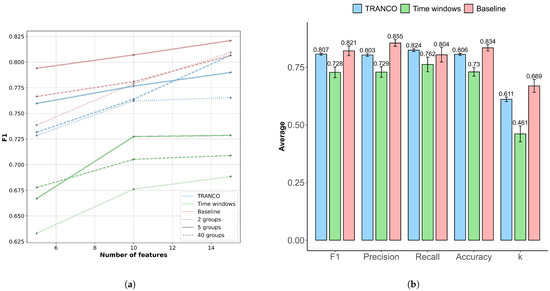
Application of the Thermo-RAdiometric Normalization of Crop Observations (TRANCO) Back in Time: An Assessment of the Potential for Crop Time-Series Generalization to Past Years Using Wheat as a Proxy
by Juanma Cintas, Emilio Guirado, Jaime Martínez-Valderrama, Italo Moletto-Lobos, Carmen López-Zayas, Tamara Escamilla, Inbal Becker-Reshef, Javier Cabello, Maria Jacoba Salinas-Bonillo and Belén Franch
Remote Sens. 2026, 18(4), 571; https://doi.org/10.3390/rs18040571 - 12 Feb 2026
Viewed by 221
Abstract
Crop type maps are essential for food security. However, there is a gap in information for worldwide maps that, at the same time, cover a wide period of time. The inability of classification algorithms to generalize information across years is one of the [...] Read more.
Crop type maps are essential for food security. However, there is a gap in information for worldwide maps that, at the same time, cover a wide period of time. The inability of classification algorithms to generalize information across years is one of the main reasons for this lack of information. This study aims to advance this direction by normalizing annual time series of wheat crops using the accumulation of Growing Degree Days (GDDs). Based on the Crop Data Layer (CDL) crop-type maps and Landsat 5, 7, and 8 imagery, we built yearly time series for the period 2008–2020. Then, we tested the performance of two normalization approaches: TRANCO, which uses Growing Degree Days (GDDs) and Crop Calendars to normalize time-series data; and Time Windows, which uses Crop Calendars to define wheat’s biofix dates and normalize time-series data. Furthermore, we compared them with a Baseline, meaning a time series without further processing. Such performance was tested in two main ways: By computing the Jeffries–Matusita (JM) distances between time series and their average behavior, and by training random forest classifiers. For the latter, we defined a training period (2017–2020) during which we trained the models, and a validation period (2008–2016), during which we validated them on years the models were not trained on. We found that TRANCO was the best normalization approach for bringing the time-series closer to a common behavior (JM = 0.3), compared to Time windows (JM = 0.4) or the Baseline. Also, it achieved the best classification results (F1 = 0.779), compared to Time windows (F1 = 0.71) or the Baseline (F1 = 0.73), and, in addition, TRANCO’s classifier was the most stable throughout the validation period, empowering past crop type classifications with classifiers trained in recent years. Full article
Show Figures

Figure 1

18 pages, 8069 KB  
Article
Implementation of a Wireless Sensor Network for Agro-Environmental Monitoring and Growing Degree Day-Based Rice Growth Assessment
by Wichai Nramat, Ekawit Songkroh, Patiwat Boonma, Wasakorn Traiphat, Ekkachai Martwong, Krittanai Thararattanasuwan and Ongard Thiabgoh
Eng 2026, 7(2), 82; https://doi.org/10.3390/eng7020082 - 11 Feb 2026
Viewed by 333
Abstract
This study presents a low-cost wireless sensor network (WSN) integrated with an Internet of Things (IoT) platform for continuous monitoring of agro-environmental parameters relevant to rice harvest decision support. Solar-powered sensor nodes equipped with temperature-humidity (DHT22) and light intensity (BH1750) sensors were deployed [...] Read more.
This study presents a low-cost wireless sensor network (WSN) integrated with an Internet of Things (IoT) platform for continuous monitoring of agro-environmental parameters relevant to rice harvest decision support. Solar-powered sensor nodes equipped with temperature-humidity (DHT22) and light intensity (BH1750) sensors were deployed in a Pathum Thani 1 rice field in Si Prachan, Suphan Buri province, Thailand. Environmental data were recorded hourly from June to September 2025 and transmitted wirelessly to a cloud-based dashboard for real-time visualization. Growing Degree Days (GDD) were calculated from measured air temperature using a literature-based base temperature, and cumulative GDD (CGDD) was used to track rice growth progression across vegetative, reproductive, and grain-filling stages. The system demonstrated stable long-term operation and continuous data acquisition under field conditions. Observed CGDD trends were consistent with reported growth-stage thresholds for the studied rice variety, while measured light intensities ranged from 36,900 to 37,810 lx, relative humidity remained consistently high throughout the season, and air temperatures varied between daily minima of 23.5–25.2 °C and maxima near 35.4 °C, which are suitable for rice photosynthesis and development. The seasonal CGDD increased linearly to 580.3, 1189.9, 1593.7, and 2385.7 °C by the end of June, July, August, and September, respectively, exhibiting a strong linear relationship with days after 1 June 2025 (R2 = 0.9999), which confirms stable thermal accumulation throughout the growing season. Full article
(This article belongs to the Section Electrical and Electronic Engineering)
Show Figures

Figure 1

32 pages, 7698 KB  
Article
Delineating Soybean Mega-Environments Across State Lines: A Statistical Learning Approach to Multi-State Official Variety Trial Analysis
by Isaac Mirahki, Richard Bond, Ryan Heiniger, David Moseley and Virginia R. Sykes
Agronomy 2026, 16(3), 376; https://doi.org/10.3390/agronomy16030376 - 4 Feb 2026
Viewed by 317
Abstract
The current state-centric analysis of Official Variety Trials (OVTs) restricts the identification of stable performance zones across political boundaries. This study employed multivariate statistical learning techniques to delineate soybean (Glycine max L.) “mega-environments” using yield data from 2269 varieties collected across seven [...] Read more.
The current state-centric analysis of Official Variety Trials (OVTs) restricts the identification of stable performance zones across political boundaries. This study employed multivariate statistical learning techniques to delineate soybean (Glycine max L.) “mega-environments” using yield data from 2269 varieties collected across seven U.S. states (2019–2022). Utilizing Quadratic Discriminant Analysis (QDA), Principal Component Analysis (PCA), and Agglomerative Hierarchical Clustering (AHC), we examined the edaphoclimatic factors influencing yield stability. QDA classified over 79% of environments into distinct temporal categories, highlighting significant inter-annual climatic variability driven by Growing Degree Days (GDD) and latitude. PCA distinguished broad climatic drivers (PC1) from localized soil texture constraints (PC2). AHC identified optimal production clusters that frequently diverged from geographic proximity, indicating that distant sites often share more critical yield-determining factors than neighboring counties. By operationalizing these latent environmental patterns, this study provides a data-driven framework for cross-state environmental zoning that can support more precise variety placement once genotype performance has been evaluated within these zones. Full article
(This article belongs to the Special Issue Advanced Machine Learning in Agriculture—2nd Edition)
Show Figures

Figure 1

21 pages, 3861 KB  
Article
A Five-Year Field Investigation of Conservation Tillage on Soil Hydrothermal Regimes and Crop Yield Stability in Semi-Arid Agroecosystems
by Fahui Jiang, Jia Xu, Hao Zhang, Chunlei Hao, Wei Zheng, Yanyan Zuo, Liyan Zhang, Zhe Dong, Limei Bian, Yuhan Yao, Yanhua Ci, Qinglin Li and Fansheng Meng
Agriculture 2026, 16(3), 312; https://doi.org/10.3390/agriculture16030312 - 27 Jan 2026
Viewed by 363
Abstract
The sustainable management of Northern China’s vulnerable agro-pastoral ecotone requires a clearer understanding of how tillage systems affect crop productivity through local soil-climate interactions. Therefore, this study was conducted to quantify and compare the long term effects of different tillage practices on soil [...] Read more.
The sustainable management of Northern China’s vulnerable agro-pastoral ecotone requires a clearer understanding of how tillage systems affect crop productivity through local soil-climate interactions. Therefore, this study was conducted to quantify and compare the long term effects of different tillage practices on soil hydrothermal regimes, resource use efficiency, and maize yield stability in a semi-arid agroecosystem. A long term five-year field experiment with maize was conducted in this ecotone to assess three tillage methods: no tillage (NT), deep ploughing (DP), and conventional rotary tillage (RT). Seasonal monitoring included soil moisture, temperature, bulk density, and straw cover. Analyses focused on soil water use efficiency (WUE), the production efficiency per soil thermal unit (PEsoil), and pathways affecting theoretical calculated yield. Results show that relative to RT and DP, NT consistently elevated soil water content within the 0–30 cm profile during the growing season, with the most marked increases from pre-sowing to the V12 stage. This water-conserving effect was stronger in wet years, highlighting the role of precipitation in NT’s performance. DP also retained more soil water than RT, particularly in deeper layers, though its effect was less pronounced than NT’s. Regarding temperature, NT lowered the daily mean soil temperature and accumulated growing degree days (GDD) in early growth phases, a result of residue cover buffering thermal changes. Despite reduced heat accumulation, NT achieved the greatest efficiencies for both heat and water use (PEsoil and WUE), showing increases of 62.03% and 16.64% over RT, respectively, without yield penalty. Key mechanisms include permanent straw mulch under NT, which curtails evaporation, promotes water infiltration, and stabilizes soil structure, thereby modulating hydrothermal dynamics. Structural equation modeling indicated that soil water content, ear number per hectare, and hundred-kernel weight directly and positively determined final yield. Tillage methods exerted indirect effects on yield by modifying soil physical traits and microclimatic conditions. In this semi-arid setting, both NT and DP outperformed RT in conserving soil water, moderating soil temperature, and boosting resource use efficiency. These practices present viable strategies for strengthening crop resilience and sustaining productivity amid climatic variability. Full article
Show Figures

Graphical abstract

29 pages, 12944 KB  
Article
Machine Learning Analysis of Weather-Yield Relationships in Hainan Island’s Litchi
by Linyi Feng, Chenxiao Shi, Zhiyu Lin, Ruijuan Li, Jiaquan Ning, Ming Shang, Jingying Xu and Lei Bai
Agriculture 2026, 16(2), 237; https://doi.org/10.3390/agriculture16020237 - 16 Jan 2026
Viewed by 411
Abstract
Litchi (Litchi chinensis Sonn.) is a pillar of the tropical agricultural economy in southern China, yet its production faces increasing instability due to climate change. Traditional agronomic models often fail to capture the complex, non-linear interactions between meteorological drivers and yield formation [...] Read more.
Litchi (Litchi chinensis Sonn.) is a pillar of the tropical agricultural economy in southern China, yet its production faces increasing instability due to climate change. Traditional agronomic models often fail to capture the complex, non-linear interactions between meteorological drivers and yield formation in perennial fruit trees. To address this challenge, the study constructed a yield prediction framework using an optimized Random Forest (RF) model integrated with interpretable machine learning (SHAP), based on a comprehensive dataset from 17 major production regions in Hainan Province (2000–2022). The model demonstrated robust predictive capability at the provincial scale (R2 = 0.564, RMSE = 2.1 t/ha) and high consistency across regions (R2 ranging from 0.51 to 0.94). Feature importance analysis revealed that heat accumulation (specifically growing degree days above 20 °C) is the dominant driver, explaining over 85% of yield variability. Crucially, scenario simulations uncovered asymmetric climate risks across phenological stages: while moderate warming generally enhances yield by promoting vegetative growth and ripening, it acts as a stressor during the Fruit Development stage, where temperatures exceeding 26 °C trigger yield decline. Furthermore, the yield penalty for drought during Flowering (−8.09%) far outweighed the marginal benefits of surplus rainfall, identifying this window as critically sensitive to water deficits. These findings underscore the necessity of phenology-aligned adaptation strategies—specifically, securing irrigation during flowering and deploying cooling interventions during fruit development—providing a data-driven basis for climate-smart management in tropical agriculture. Full article
(This article belongs to the Section Artificial Intelligence and Digital Agriculture)
Show Figures

Figure 1

20 pages, 7204 KB  
Article
Climate-Based Natural Suitability Index (CNSI) for Blueberry Cultivation in China: Spatiotemporal Evolution and Influencing Factors
by Yixuan Feng, Jing Chen, Jiayi Liu, Xinchun Wang, Jinying Li, Ying Wang, Junnan Wu, Lin Wu and Yanan Li
Agronomy 2026, 16(2), 211; https://doi.org/10.3390/agronomy16020211 - 15 Jan 2026
Viewed by 423
Abstract
Blueberries (Vaccinium spp.) are highly sensitive to winter chilling fulfillment, growing degree days above 7 °C (GDD7), and water balance (WB). By integrating a climate-based natural suitability index (CNSI), three-dimensional kernel density estimation, traditional and spatial Markov chains, and optimal geographic detector [...] Read more.
Blueberries (Vaccinium spp.) are highly sensitive to winter chilling fulfillment, growing degree days above 7 °C (GDD7), and water balance (WB). By integrating a climate-based natural suitability index (CNSI), three-dimensional kernel density estimation, traditional and spatial Markov chains, and optimal geographic detector analysis, this study examines the spatiotemporal evolution and driving mechanisms of blueberry climatic suitability realization in 19 major producing provinces in China during 2008–2023. Results show that CNSI exhibits a stable and moderately right-skewed distribution, with partial convergence and a narrowing interprovincial gap. Suitability realization is highest in the middle and lower Yangtze River rice-growing belt, whereas the northern dryland belt and the southern subtropical mountainous belt show persistent mismatches between climatic potential and production advantages. Markov results reveal path dependence and moderate mobility, with “low–low lock-in” and “high–high club” phenomena reinforced under neighborhood effects. GeoDetector results indicate that effective facility irrigation and fertilizer input are dominant factors explaining spatial variation in CNSI, while comprehensive transportation accessibility and agricultural labor act as stable complements. Interaction analysis suggests that multi-factor synergies, particularly irrigation-centered combinations, yield strong dual-factor enhancement and near-nonlinear enhancement. These findings highlight the importance of aligning climatic suitability with adaptive infrastructure investment and region-specific management to promote sustainable production-share advantages in China’s blueberry industry. Full article
(This article belongs to the Section Horticultural and Floricultural Crops)
Show Figures

Figure 1

Back to TopTop