Sign in to use this feature.

Years

Between: -

Subjects

remove_circle_outline
remove_circle_outline
remove_circle_outline
remove_circle_outline

Journals

Article Types

Countries / Regions

Search Results (17)

Search Parameters:
Keywords = G0/G1 switch protein 2

Order results
Result details
Results per page
Select all
Export citation of selected articles as:
59 pages, 2461 KB  
Review
From Classical to Alternative Pathways of 2-Arachidonoylglycerol Synthesis: AlterAGs at the Crossroad of Endocannabinoid and Lysophospholipid Signaling
by Fabienne Briand-Mésange, Isabelle Gennero, Juliette Salles, Stéphanie Trudel, Lionel Dahan, Jérôme Ausseil, Bernard Payrastre, Jean-Pierre Salles and Hugues Chap
Molecules 2024, 29(15), 3694; https://doi.org/10.3390/molecules29153694 - 4 Aug 2024
Cited by 2 | Viewed by 4643
Abstract
2-arachidonoylglycerol (2-AG) is the most abundant endocannabinoid (EC), acting as a full agonist at both CB1 and CB2 cannabinoid receptors. It is synthesized on demand in postsynaptic membranes through the sequential action of phosphoinositide-specific phospholipase Cβ1 (PLCβ1) and diacylglycerol lipase α (DAGLα), contributing [...] Read more.
2-arachidonoylglycerol (2-AG) is the most abundant endocannabinoid (EC), acting as a full agonist at both CB1 and CB2 cannabinoid receptors. It is synthesized on demand in postsynaptic membranes through the sequential action of phosphoinositide-specific phospholipase Cβ1 (PLCβ1) and diacylglycerol lipase α (DAGLα), contributing to retrograde signaling upon interaction with presynaptic CB1. However, 2-AG production might also involve various combinations of PLC and DAGL isoforms, as well as additional intracellular pathways implying other enzymes and substrates. Three other alternative pathways of 2-AG synthesis rest on the extracellular cleavage of 2-arachidonoyl-lysophospholipids by three different hydrolases: glycerophosphodiesterase 3 (GDE3), lipid phosphate phosphatases (LPPs), and two members of ecto-nucleotide pyrophosphatase/phosphodiesterases (ENPP6–7). We propose the names of AlterAG-1, -2, and -3 for three pathways sharing an ectocellular localization, allowing them to convert extracellular lysophospholipid mediators into 2-AG, thus inducing typical signaling switches between various G-protein-coupled receptors (GPCRs). This implies the critical importance of the regioisomerism of both lysophospholipid (LPLs) and 2-AG, which is the object of deep analysis within this review. The precise functional roles of AlterAGs are still poorly understood and will require gene invalidation approaches, knowing that both 2-AG and its related lysophospholipids are involved in numerous aspects of physiology and pathology, including cancer, inflammation, immune defenses, obesity, bone development, neurodegeneration, or psychiatric disorders. Full article
(This article belongs to the Special Issue Bioactive Lipids in Inflammatory Diseases)
Show Figures

Figure 1

20 pages, 1896 KB  
Article
Analysis of the Model of Atherosclerosis Formation in Pig Hearts as a Result of Impaired Activity of DNA Repair Enzymes
by Robert Paslawski, Paweł Kowalczyk, Urszula Paslawska, Jerzy Wiśniewski, Piotr Dzięgiel, Adrian Janiszewski, Liliana Kiczak, Maciej Zacharski, Barbara Gawdzik, Karol Kramkowski and Andrzej Szuba
Int. J. Mol. Sci. 2024, 25(4), 2282; https://doi.org/10.3390/ijms25042282 - 14 Feb 2024
Cited by 3 | Viewed by 2356
Abstract
Excessive consumption of food rich in saturated fatty acids and carbohydrates can lead to metabolic disturbances and cardiovascular disease. Hyperlipidemia is a significant risk factor for acute cardiac events due to its association with oxidative stress. This leads to arterial wall remodeling, including [...] Read more.
Excessive consumption of food rich in saturated fatty acids and carbohydrates can lead to metabolic disturbances and cardiovascular disease. Hyperlipidemia is a significant risk factor for acute cardiac events due to its association with oxidative stress. This leads to arterial wall remodeling, including an increase in the thickness of the intima media complex (IMT), and endothelial dysfunction leading to plaque formation. The decreased nitric oxide synthesis and accumulation of lipids in the wall result in a reduction in the vasodilating potential of the vessel. This study aimed to establish a clear relationship between markers of endothelial dysfunction and the activity of repair enzymes in cardiac tissue from a pig model of early atherosclerosis. The study was conducted on 28 female Polish Landrace pigs, weighing 40 kg (approximately 3.5 months old), which were divided into three groups. The control group (n = 11) was fed a standard, commercial, balanced diet (BDG) for 12 months. The second group (n = 9) was fed an unbalanced, high-calorie Western-type diet (UDG). The third group (n = 8) was fed a Western-type diet for nine months and then switched to a standard, balanced diet (regression group, RG). Control examinations, including blood and urine sampling, were conducted every three months under identical conditions with food restriction for 12 h and water restriction for four hours before general anesthesia. The study analyzed markers of oxidative stress formed during lipid peroxidation processes, including etheno DNA adducts, ADMA, and NEFA. These markers play a crucial role in reactive oxygen species analysis in ischemia–reperfusion and atherosclerosis in mammalian tissue. Essential genes involved in oxidative-stress-induced DNA demethylation like OGG1 (8-oxoguanine DNA glycosylase), MPG (N-Methylpurine DNA Glycosylase), TDG (Thymine-DNA glycosylase), APEX (apurinic/apirymidinic endodeoxyribonuclease 1), PTGS2 (prostaglandin-endoperoxide synthase 2), and ALOX (Arachidonate Lipoxygenase) were measured using the Real-Time RT-PCR method. The data suggest that high oxidative stress, as indicated by TBARS levels, is associated with high levels of DNA repair enzymes and depends on the expression of genes involved in the repair pathway. In all analyzed groups of heart tissue homogenates, the highest enzyme activity and gene expression values were observed for the OGG1 protein recognizing the modified 8oxoG. Conclusion: With the long-term use of an unbalanced diet, the levels of all DNA repair genes are increased, especially (significantly) Apex, Alox, and Ptgs, which strongly supports the hypothesis that an unbalanced diet induces oxidative stress that deregulates DNA repair mechanisms and may contribute to genome instability and tissue damage. Full article
(This article belongs to the Special Issue Molecular Insights into Thrombosis)
Show Figures

Graphical abstract

21 pages, 9991 KB  
Article
Sulforaphane Inhibits Foam Cell Formation and Atherosclerosis via Mechanisms Involving the Modulation of Macrophage Cholesterol Transport and the Related Phenotype
by Shiyan Liu, Yuan Zhang, Xiangyu Zheng, Ziling Wang, Pan Wang, Mengdi Zhang, Mengfan Shen, Yongping Bao and Dan Li
Nutrients 2023, 15(9), 2117; https://doi.org/10.3390/nu15092117 - 28 Apr 2023
Cited by 18 | Viewed by 5628
Abstract
Sulforaphane (SFN), an isothiocyanate, is one of the major dietary phytochemicals found in cruciferous vegetables. Many studies suggest that SFN can protect against cancer and cardiometabolic diseases. Despite the proposed systemic and local vascular protective mechanisms, SFN’s potential to inhibit atherogenesis by targeting [...] Read more.
Sulforaphane (SFN), an isothiocyanate, is one of the major dietary phytochemicals found in cruciferous vegetables. Many studies suggest that SFN can protect against cancer and cardiometabolic diseases. Despite the proposed systemic and local vascular protective mechanisms, SFN’s potential to inhibit atherogenesis by targeting macrophages remains unknown. In this study, in high fat diet fed ApoE-deficient (ApoE−/−) mice, oral SFN treatment improved dyslipidemia and inhibited atherosclerotic plaque formation and the unstable phenotype, as demonstrated by reductions in the lesion areas in both the aortic sinus and whole aorta, percentages of necrotic cores, vascular macrophage infiltration and reactive oxygen species (ROS) generation. In THP-1-derived macrophages, preadministration SFN alleviated oxidized low-density lipoprotein (ox-LDL)-induced lipid accumulation, oxidative stress and mitochondrial injury. Moreover, a functional study revealed that peritoneal macrophages isolated from SFN-treated mice exhibited attenuated cholesterol influx and enhanced apolipoprotein A-I (apoA-I)- and high-density lipoprotein (HDL)-mediated cholesterol efflux. Mechanistic analysis revealed that SFN supplementation induced both intralesional and intraperitoneal macrophage phenotypic switching toward high expression of nuclear factor erythroid 2-related factor 2 (Nrf2), heme oxygenase-1 (HO-1) and ATP-binding cassette subfamily A/G member 1 (ABCA1/G1) and low expression of peroxisome proliferator-activated receptor γ (PPARγ) and cluster of differentiation 36 (CD36), which was further validated by the aortic protein expression. These results suggest that the regulation of macrophages’ cholesterol transport and accumulation may be mainly responsible for SFN’s potential atheroprotective properties, and the regulatory mechanisms might involve upregulating ABCA1/G1 and downregulating CD36 via the modulation of PPARγ and Nrf2. Full article
Show Figures

Figure 1

18 pages, 7250 KB  
Article
Alterations of Lipid Metabolism in the Heart in Spontaneously Hypertensive Rats Precedes Left Ventricular Hypertrophy and Cardiac Dysfunction
by Tomasz K. Bednarski, Monika K. Duda and Pawel Dobrzyn
Cells 2022, 11(19), 3032; https://doi.org/10.3390/cells11193032 - 27 Sep 2022
Cited by 17 | Viewed by 3125
Abstract
Disturbances in cardiac lipid metabolism are associated with the development of cardiac hypertrophy and heart failure. Spontaneously hypertensive rats (SHRs), a genetic model of primary hypertension and pathological left ventricular (LV) hypertrophy, have high levels of diacylglycerols in cardiomyocytes early in development. However, [...] Read more.
Disturbances in cardiac lipid metabolism are associated with the development of cardiac hypertrophy and heart failure. Spontaneously hypertensive rats (SHRs), a genetic model of primary hypertension and pathological left ventricular (LV) hypertrophy, have high levels of diacylglycerols in cardiomyocytes early in development. However, the exact effect of lipids and pathways that are involved in their metabolism on the development of cardiac dysfunction in SHRs is unknown. Therefore, we used SHRs and Wistar Kyoto (WKY) rats at 6 and 18 weeks of age to analyze the impact of perturbations of processes that are involved in lipid synthesis and degradation in the development of LV hypertrophy in SHRs with age. Triglyceride levels were higher, whereas free fatty acid (FA) content was lower in the LV in SHRs compared with WKY rats. The expression of de novo FA synthesis proteins was lower in cardiomyocytes in SHRs compared with corresponding WKY controls. The higher expression of genes that are involved in TG synthesis in 6-week-old SHRs may explain the higher TG content in these rats. Adenosine monophosphate-activated protein kinase phosphorylation and peroxisome proliferator-activated receptor α protein content were lower in cardiomyocytes in 18-week-old SHRs, suggesting a lower rate of β-oxidation. The decreased protein content of α/β-hydrolase domain-containing 5, adipose triglyceride lipase (ATGL) activator, and increased content of G0/G1 switch protein 2, ATGL inhibitor, indicating a lower rate of lipolysis in the heart in SHRs. In conclusion, the present study showed that the development of LV hypertrophy and myocardial dysfunction in SHRs is associated with triglyceride accumulation, attributable to a lower rate of lipolysis and β-oxidation in cardiomyocytes. Full article
(This article belongs to the Special Issue Metabolic Remodeling in Heart Failure: Cause or Consequence?)
Show Figures

Figure 1

16 pages, 1741 KB  
Perspective
On the Origins of Omicron’s Unique Spike Gene Insertion
by A. J. Venkatakrishnan, Praveen Anand, Patrick J. Lenehan, Rohit Suratekar, Bharathwaj Raghunathan, Michiel J. M. Niesen and Venky Soundararajan
Vaccines 2022, 10(9), 1509; https://doi.org/10.3390/vaccines10091509 - 9 Sep 2022
Cited by 16 | Viewed by 3229
Abstract
The emergence of a heavily mutated SARS-CoV-2 variant (Omicron; Pango lineage B.1.1.529 and BA sublineages) and its rapid spread to over 75 countries raised a global public health alarm. Characterizing the mutational profile of Omicron is necessary to interpret its clinical phenotypes which [...] Read more.
The emergence of a heavily mutated SARS-CoV-2 variant (Omicron; Pango lineage B.1.1.529 and BA sublineages) and its rapid spread to over 75 countries raised a global public health alarm. Characterizing the mutational profile of Omicron is necessary to interpret its clinical phenotypes which are shared with or distinctive from those of other SARS-CoV-2 variants. We compared the mutations of the initially circulating Omicron variant (now known as BA.1) with prior variants of concern (Alpha, Beta, Gamma, and Delta), variants of interest (Lambda, Mu, Eta, Iota, and Kappa), and ~1500 SARS-CoV-2 lineages constituting ~5.8 million SARS-CoV-2 genomes. Omicron’s Spike protein harbors 26 amino acid mutations (23 substitutions, 2 deletions, and 1 insertion) that are distinct compared to other variants of concern. While the substitution and deletion mutations appeared in previous SARS-CoV-2 lineages, the insertion mutation (ins214EPE) was not previously observed in any other SARS-CoV-2 lineage. Here, we consider and discuss various mechanisms through which the nucleotide sequence encoding for ins214EPE could have been acquired, including local duplication, polymerase slippage, and template switching. Although we are not able to definitively determine the mechanism, we highlight the plausibility of template switching. Analysis of the homology of the inserted nucleotide sequence and flanking regions suggests that this template-switching event could have involved the genomes of SARS-CoV-2 variants (e.g., the B.1.1 strain), other human coronaviruses that infect the same host cells as SARS-CoV-2 (e.g., HCoV-OC43 or HCoV-229E), or a human transcript expressed in a host cell that was infected by the Omicron precursor. Full article
(This article belongs to the Special Issue The Variant-Based Dynamics of SARS-CoV-2 and Other Viral Diseases)
Show Figures

Figure 1

16 pages, 3318 KB  
Article
β2-Adrenergic Receptor Expression and Intracellular Signaling in B Cells Are Highly Dynamic during Collagen-Induced Arthritis
by Nadine Honke, Clemens J. Wiest and Georg Pongratz
Biomedicines 2022, 10(8), 1950; https://doi.org/10.3390/biomedicines10081950 - 11 Aug 2022
Cited by 9 | Viewed by 2656
Abstract
The sympathetic nervous system (SNS) has either a pro-inflammatory or anti-inflammatory effect, depending on the stage of arthritis. In the past, treatment of arthritic B cells with a β2-adrenergic receptor (β2-ADR) agonist has been shown to attenuate arthritis. In this study, the expression [...] Read more.
The sympathetic nervous system (SNS) has either a pro-inflammatory or anti-inflammatory effect, depending on the stage of arthritis. In the past, treatment of arthritic B cells with a β2-adrenergic receptor (β2-ADR) agonist has been shown to attenuate arthritis. In this study, the expression and signaling of β2-ADR in B cells during collagen-induced arthritis (CIA) were investigated to provide an explanation of why only B cells from arthritic mice are able to improve CIA. Splenic B cells were isolated via magnetic-activated cell sorting (MACS). Adrenergic receptors on B cells and intracellular β2-ADR downstream molecules (G protein-coupled receptor kinase 2 (GRK-2), β-Arrestin 2, p38 MAPK, extracellular signal-regulated kinase 1/2 (ERK1/2) and cAMP response element-binding protein (CREB)) were analyzed at different time points in naïve and arthritic B cells with and without stimulation of β2-ADR agonist terbutaline by flow cytometry. β2-ADR-expressing B cells increase during CIA without a change in receptor density. Moreover, we observed a profound downregulation of GRK-2 shortly after induction of arthritis and an increase in β-Arrestin 2 only at late stage of arthritis. The second messengers studied (p38, ERK1/2 and CREB) followed a biphasic course, characterized by a reduction at onset and an increase in established arthritis. Stimulation of CIA B cells with the β-ADR agonist terbutaline increased pp38 MAPK independent of the timepoint, while pERK1/2 and pCREB were enhanced only in the late phase of arthritis. The phosphorylation of p38 MAPK, ERK1/2 and CREB in the late phase of arthritis was associated with increased IL-10 produced by B10 cells. The change of β2-ADR expression and signaling during sustained inflammation might be an integral part of the switch from pro- to anti-inflammatory action of sympathetic mechanisms in late arthritis. Full article
(This article belongs to the Special Issue Beta-Adrenergic Receptors in Physiopathology)
Show Figures

Figure 1

20 pages, 3839 KB  
Article
Actions of Novel Angiotensin Receptor Blocking Drugs, Bisartans, Relevant for COVID-19 Therapy: Biased Agonism at Angiotensin Receptors and the Beneficial Effects of Neprilysin in the Renin Angiotensin System
by Graham J. Moore, Harry Ridgway, Konstantinos Kelaidonis, Christos T. Chasapis, Irene Ligielli, Thomas Mavromoustakos, Joanna Bojarska and John M. Matsoukas
Molecules 2022, 27(15), 4854; https://doi.org/10.3390/molecules27154854 - 29 Jul 2022
Cited by 12 | Viewed by 3357
Abstract
Angiotensin receptor blockers (ARBs) used in the treatment of hypertension and potentially in SARS-CoV-2 infection exhibit inverse agonist effects at angiotensin AR1 receptors, suggesting the receptor may have evolved to accommodate naturally occurring angiotensin ‘antipeptides’. Screening of the human genome has identified a [...] Read more.
Angiotensin receptor blockers (ARBs) used in the treatment of hypertension and potentially in SARS-CoV-2 infection exhibit inverse agonist effects at angiotensin AR1 receptors, suggesting the receptor may have evolved to accommodate naturally occurring angiotensin ‘antipeptides’. Screening of the human genome has identified a peptide (EGVYVHPV) encoded by mRNA, complementary to that encoding ANG II itself, which is an inverse agonist. Thus, opposite strands of DNA encode peptides with opposite effects at AR1 receptors. Agonism and inverse agonism at AR1 receptors can be explained by a receptor ‘switching’ between an activated state invoking receptor dimerization/G protein coupling and an inverse agonist state mediated by an alternative/second messenger that is slow to reverse. Both receptor states appear to be driven by the formation of the ANG II charge-relay system involving TyrOH-His/imidazole-Carboxylate (analogous to serine proteases). In this system, tyrosinate species formed are essential for activating AT1 and AT2 receptors. ANGII is also known to bind to the zinc-coordinated metalloprotease angiotensin converting enzyme 2 (ACE2) used by the COVID-19 virus to enter cells. Here we report in silico results demonstrating the binding of a new class of anionic biphenyl-tetrazole sartans (‘Bisartans’) to the active site zinc atom of the endopeptidase Neprilysin (NEP) involved in regulating hypertension, by modulating humoral levels of beneficial vasoactive peptides in the RAS such as vasodilator angiotensin (1–7). In vivo and modeling evidence further suggest Bisartans can inhibit ANG II-induced pulmonary edema and may be useful in combatting SARS-CoV-2 infection by inhibiting ACE2-mediated viral entry to cells. Full article
(This article belongs to the Special Issue Advances in Research of Short Peptides II)
Show Figures

Figure 1

16 pages, 2483 KB  
Article
A Potential Citrate Shunt in Erythrocytes of PKAN Patients Caused by Mutations in Pantothenate Kinase 2
by Maike Werning, Verena Dobretzberger, Martin Brenner, Ernst W. Müllner, Georg Mlynek, Kristina Djinovic-Carugo, David M. Baron, Lena Fragner, Almut T. Bischoff, Boriana Büchner, Thomas Klopstock, Wolfram Weckwerth and Ulrich Salzer
Biomolecules 2022, 12(2), 325; https://doi.org/10.3390/biom12020325 - 18 Feb 2022
Cited by 4 | Viewed by 3685
Abstract
Pantothenate kinase-associated neurodegeneration (PKAN) is a progressive neurodegenerative disease caused by mutations in the pantothenate kinase 2 (PANK2) gene and associated with iron deposition in basal ganglia. Pantothenate kinase isoforms catalyze the first step in coenzyme A (CoA) biosynthesis. Since PANK2 is the [...] Read more.
Pantothenate kinase-associated neurodegeneration (PKAN) is a progressive neurodegenerative disease caused by mutations in the pantothenate kinase 2 (PANK2) gene and associated with iron deposition in basal ganglia. Pantothenate kinase isoforms catalyze the first step in coenzyme A (CoA) biosynthesis. Since PANK2 is the only isoform in erythrocytes, these cells are an excellent ex vivo model to study the effect of PANK2 point mutations on expression/stability and activity of the protein as well as on the downstream molecular consequences. PKAN erythrocytes containing the T528M PANK2 mutant had residual enzyme activities but variable PANK2 abundances indicating an impaired regulation of the protein. Patients with G521R/G521R, G521R/G262R, and R264N/L275fs PANK2 mutants had no residual enzyme activity and strongly reduced PANK2 abundance. G521R inactivates the catalytic activity of the enzyme, whereas G262R and the R264N point mutations impair the switch from the inactive to the active conformation of the PANK2 dimer. Metabolites in cytosolic extracts were analyzed by gas chromatography–mass spectrometry and multivariate analytic methods revealing changes in the carboxylate metabolism of erythrocytes from PKAN patients as compared to that of the carrier and healthy control. Assuming low/absent CoA levels in PKAN erythrocytes, changes are consistent with a model of altered citrate channeling where citrate is preferentially converted to α-ketoglutarate and α-hydroxyglutarate instead of being used for de novo acetyl-CoA generation. This finding hints at the importance of carboxylate metabolism in PKAN pathology with potential links to reduced cytoplasmic acetyl-CoA levels in neurons and to aberrant brain iron regulation. Full article
(This article belongs to the Special Issue Biochemical and Biophysical Properties of Red Blood Cells in Disease)
Show Figures

Figure 1

14 pages, 3797 KB  
Article
Antiangiogenic Properties of Axitinib versus Sorafenib Following Sunitinib Resistance in Human Endothelial Cells—A View towards Second Line Renal Cell Carcinoma Treatment
by Eva Juengel, Pascal Schnalke, Jochen Rutz, Sebastian Maxeiner, Felix K.-H. Chun and Roman A. Blaheta
Biomedicines 2021, 9(11), 1630; https://doi.org/10.3390/biomedicines9111630 - 6 Nov 2021
Cited by 6 | Viewed by 2784
Abstract
Tyrosine kinase inhibitors (TKIs) and immune checkpoint inhibitors predominate as first-line therapy options for renal cell carcinoma. When first-line TKI therapy fails due to resistance development, an optimal second-line therapy has not yet been established. The present investigation is directed towards comparing the [...] Read more.
Tyrosine kinase inhibitors (TKIs) and immune checkpoint inhibitors predominate as first-line therapy options for renal cell carcinoma. When first-line TKI therapy fails due to resistance development, an optimal second-line therapy has not yet been established. The present investigation is directed towards comparing the anti-angiogenic properties of the TKIs, sorafenib and axitinib on human endothelial cells (HUVECs) with acquired resistance towards the TKI sunitinib. HUVECs were driven to resistance by continuously exposing them to sunitinib for six weeks. They were then switched to a 24 h or further six weeks treatment with sorafenib or axitinib. HUVEC growth, as well as angiogenesis (tube formation and scratch wound assay), were evaluated. Cell cycle proteins of the CDK-cyclin axis (CDK1 and 2, total and phosphorylated, cyclin A and B) and the mTOR pathway (AKT, total and phosphorylated) were also assessed. Axitinib (but not sorafenib) significantly suppressed growth of sunitinib-resistant HUVECs when they were exposed for six weeks. This axinitib-associated growth reduction was accompanied by a cell cycle block at the G0/G1-phase. Both axitinib and sorafenib reduced HUVEC tube length and prevented wound closure (sorafenib > axitinib) when applied to sunitinib-resistant HUVECs for six weeks. Protein analysis revealed diminished phosphorylation of CDK1, CDK2 and pAKT, accompanied by a suppression of cyclin A and B. Both drugs modulated CDK-cyclin and AKT-dependent signaling, associated either with both HUVEC growth and angiogenesis (axitinib) or angiogenesis alone (sorafenib). Axitinib and sorafenib may be equally applicable as second line treatment options, following sunitinib resistance. Full article
(This article belongs to the Special Issue Resistance to Targeted Therapies in Human Cancer)
Show Figures

Figure 1

18 pages, 2653 KB  
Article
Stabilization Effect of Intrinsically Disordered Regions on Multidomain Proteins: The Case of the Methyl-CpG Protein 2, MeCP2
by David Ortega-Alarcon, Rafael Claveria-Gimeno, Sonia Vega, Olga C. Jorge-Torres, Manel Esteller, Olga Abian and Adrian Velazquez-Campoy
Biomolecules 2021, 11(8), 1216; https://doi.org/10.3390/biom11081216 - 16 Aug 2021
Cited by 12 | Viewed by 3050
Abstract
Intrinsic disorder plays an important functional role in proteins. Disordered regions are linked to posttranslational modifications, conformational switching, extra/intracellular trafficking, and allosteric control, among other phenomena. Disorder provides proteins with enhanced plasticity, resulting in a dynamic protein conformational/functional landscape, with well-structured and disordered [...] Read more.
Intrinsic disorder plays an important functional role in proteins. Disordered regions are linked to posttranslational modifications, conformational switching, extra/intracellular trafficking, and allosteric control, among other phenomena. Disorder provides proteins with enhanced plasticity, resulting in a dynamic protein conformational/functional landscape, with well-structured and disordered regions displaying reciprocal, interdependent features. Although lacking well-defined conformation, disordered regions may affect the intrinsic stability and functional properties of ordered regions. MeCP2, methyl-CpG binding protein 2, is a multifunctional transcriptional regulator associated with neuronal development and maturation. MeCP2 multidomain structure makes it a prototype for multidomain, multifunctional, intrinsically disordered proteins (IDP). The methyl-binding domain (MBD) is one of the key domains in MeCP2, responsible for DNA recognition. It has been reported previously that the two disordered domains flanking MBD, the N-terminal domain (NTD) and the intervening domain (ID), increase the intrinsic stability of MBD against thermal denaturation. In order to prove unequivocally this stabilization effect, ruling out any artifactual result from monitoring the unfolding MBD with a local fluorescence probe (the single tryptophan in MBD) or from driving the protein unfolding by temperature, we have studied the MBD stability by differential scanning calorimetry (reporting on the global unfolding process) and chemical denaturation (altering intramolecular interactions by a different mechanism compared to thermal denaturation). Full article
(This article belongs to the Special Issue The Amazing World of IDPs in Human Diseases II)
Show Figures

Figure 1

20 pages, 4559 KB  
Article
Mdm2-Mediated Downmodulation of GRK2 Restricts Centrosome Separation for Proper Chromosome Congression
by Clara Reglero, Belén Ortiz del Castillo, Verónica Rivas, Federico Mayor and Petronila Penela
Cells 2021, 10(4), 729; https://doi.org/10.3390/cells10040729 - 25 Mar 2021
Cited by 3 | Viewed by 3227
Abstract
The timing of centrosome separation and the distance moved apart influence the formation of the bipolar spindle, affecting chromosome stability. Epidermal growth factor receptor (EGFR) signaling induces early centrosome separation through downstream G protein-coupled receptor kinase GRK2, which phosphorylates the Hippo pathway component [...] Read more.
The timing of centrosome separation and the distance moved apart influence the formation of the bipolar spindle, affecting chromosome stability. Epidermal growth factor receptor (EGFR) signaling induces early centrosome separation through downstream G protein-coupled receptor kinase GRK2, which phosphorylates the Hippo pathway component MST2 (Mammalian STE20-like protein kinase 2), in turn allowing NIMA kinase Nek2A activation for centrosomal linker disassembly. However, the mechanisms that counterbalance centrosome disjunction and separation remain poorly understood. We unveil that timely degradation of GRK2 by the E3 ligase Mdm2 limits centrosome separation in the G2. Both knockout expression and catalytic inhibition of Mdm2 result in GRK2 accumulation and enhanced centrosome separation before mitosis onset. Phosphorylation of GRK2 on residue S670 enables a complex pattern of non-K48-linked polyubiquitin chains assembled by Mdm2, which correlate with kinase protein degradation. Remarkably, GRK2-S670A protein fails to phosphorylate MST2 despite overcoming Mdm2-dependent degradation, which results in defective centrosome separation, shorter spindles, and abnormal chromosome congression. Conversely, extra levels of wild-type kinase in the G2 cause increased inter-centrosome distances with longer spindles, also converging in congression issues. Our findings show that the signals enabling activity of the GRK2/MST2/Nek2A axis for separation also switches on Mdm2 degradation of GRK2 to ensure accurate centrosome dynamics and proper mitotic spindle functionality. Full article
Show Figures

Figure 1

26 pages, 2683 KB  
Article
Lysophosphatidic Acid Induces Aerobic Glycolysis, Lipogenesis, and Increased Amino Acid Uptake in BV-2 Microglia
by Lisha Joshi, Ioanna Plastira, Eva Bernhart, Helga Reicher, Chintan N. Koyani, Tobias Madl, Corina Madreiter-Sokolowski, Zhanat Koshenov, Wolfgang F. Graier, Seth Hallström and Wolfgang Sattler
Int. J. Mol. Sci. 2021, 22(4), 1968; https://doi.org/10.3390/ijms22041968 - 17 Feb 2021
Cited by 14 | Viewed by 4743
Abstract
Lysophosphatidic acid (LPA) species are a family of bioactive lipids that transmit signals via six cognate G protein-coupled receptors, which are required for brain development and function of the nervous system. LPA affects the function of all cell types in the brain and [...] Read more.
Lysophosphatidic acid (LPA) species are a family of bioactive lipids that transmit signals via six cognate G protein-coupled receptors, which are required for brain development and function of the nervous system. LPA affects the function of all cell types in the brain and can display beneficial or detrimental effects on microglia function. During earlier studies we reported that LPA treatment of microglia induces polarization towards a neurotoxic phenotype. In the present study we investigated whether these alterations are accompanied by the induction of a specific immunometabolic phenotype in LPA-treated BV-2 microglia. In response to LPA (1 µM) we observed slightly decreased mitochondrial respiration, increased lactate secretion and reduced ATP/ADP ratios indicating a switch towards aerobic glycolysis. Pathway analyses demonstrated induction of the Akt-mTOR-Hif1α axis under normoxic conditions. LPA treatment resulted in dephosphorylation of AMP-activated kinase, de-repression of acetyl-CoA-carboxylase and increased fatty acid content in the phospholipid and triacylglycerol fraction of BV-2 microglia lipid extracts, indicating de novo lipogenesis. LPA led to increased intracellular amino acid content at one or more time points. Finally, we observed LPA-dependent generation of reactive oxygen species (ROS), phosphorylation of nuclear factor erythroid 2–related factor 2 (Nrf2), upregulated protein expression of the Nrf2 target regulatory subunit of glutamate-cysteine ligase and increased glutathione synthesis. Our observations suggest that LPA, as a bioactive lipid, induces subtle alterations of the immunometabolic program in BV-2 microglia. Full article
(This article belongs to the Special Issue Molecular, Cellular and Systemic Signature of Microglia)
Show Figures

Figure 1

21 pages, 4587 KB  
Article
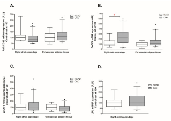
The Gene and Protein Expression of the Main Components of the Lipolytic System in Human Myocardium and Heart Perivascular Adipose Tissue. Effect of Coronary Atherosclerosis
by Małgorzata Knapp, Jan Górski, Janina Lewkowicz, Anna Lisowska, Monika Gil, Beata Wójcik, Tomasz Hirnle, Adrian Chabowski and Agnieszka Mikłosz
Int. J. Mol. Sci. 2020, 21(3), 737; https://doi.org/10.3390/ijms21030737 - 22 Jan 2020
Cited by 12 | Viewed by 3954
Abstract
The aim of our study was to examine the regulation of triacylglycerols (TG) metabolism in myocardium and heart perivascular adipose tissue in coronary atherosclerosis. Adipose triglyceride lipase (ATGL) is the major TG-hydrolase. The enzyme is activated by a protein called comparative gene identification [...] Read more.
The aim of our study was to examine the regulation of triacylglycerols (TG) metabolism in myocardium and heart perivascular adipose tissue in coronary atherosclerosis. Adipose triglyceride lipase (ATGL) is the major TG-hydrolase. The enzyme is activated by a protein called comparative gene identification 58 (CGI-58) and inhibited by a protein called G0/G1 switch protein 2 (G0S2). Samples of the right atrial appendage and perivascular adipose tissue were obtained from two groups of patients: 1—with multivessel coronary artery disease qualified for coronary artery bypass grafting (CAD), 2—patients with no atherosclerosis qualified for a valve replacement (NCAD). The mRNA and protein analysis of ATGL, HSL, CGI-58, G0S2, FABP4, FAT/CD36, LPL, β-HAD, CS, COX4/1, FAS, SREBP-1c, GPAT1, COX-2, 15-LO, and NFκβ were determined by using real-time PCR and Western Blot. The level of lipids (i.e., TG, diacylglycerol (DG), and FFA) was examined by GLC. We demonstrated that in myocardium coronary atherosclerosis increases only the transcript level of G0S2 and FABP4. Most importantly, ATGL, β-HAD, and COX4/1 protein expression was reduced and it was accompanied by over double the elevation in TG content in the CAD group. The fatty acid synthesis and their cellular uptake were stable in the myocardium of patients with CAD. Additionally, the expression of proteins contributing to inflammation was increased in the myocardium of patients with coronary stenosis. Finally, in the perivascular adipose tissue, the mRNA of G0S2 was elevated, whereas the protein content of FABP-4 was increased and for COX4/1 diminished. These data suggest that a reduction in ATGL protein expression leads to myocardial steatosis in patients with CAD. Full article
(This article belongs to the Section Molecular Biology)
Show Figures

Figure 1

21 pages, 1814 KB  
Article
Assessment of the Main Compounds of the Lipolytic System in Treadmill Running Rats: Different Response Patterns between the Right and Left Ventricle
by Agnieszka Mikłosz, Bartłomiej Łukaszuk, Marcin Baranowski, Adrian Chabowski and Jan Górski
Int. J. Mol. Sci. 2019, 20(10), 2556; https://doi.org/10.3390/ijms20102556 - 24 May 2019
Cited by 7 | Viewed by 3381
Abstract
The aim of the present study was to investigate the time and intensity dependent effects of exercise on the heart components of the lipolytic complex. Wistar rats ran on a treadmill with the speed of 18 m/min for 30 min (M30) or 120 [...] Read more.
The aim of the present study was to investigate the time and intensity dependent effects of exercise on the heart components of the lipolytic complex. Wistar rats ran on a treadmill with the speed of 18 m/min for 30 min (M30) or 120 min (M120) or with the speed of 28 m/min for 30 min (F30). The mRNA and protein expressions of the compounds adipose triglyceride lipase (ATGL), comparative gene identification-58 (CGI-58), G0/G1 switch gene 2 (G0S2), hormone sensitive lipase (HSL) and peroxisome proliferator-activated receptor gamma coactivator 1-alpha (PGC-1α) were examined by real-time PCR and Western blot, respectively. Lipid content of free fatty acids (FFA), diacylglycerols (DG) and triacylglycerols (TG) were estimated by gas liquid chromatography. We observed virtually no changes in the left ventricle lipid contents and only minor fluctuations in its ATGL mRNA levels. This was in contrast with its right counterpart i.e., the content of TG and DG decreased in response to both increased duration and intensity of a run. This occurred in tandem with increased mRNA expression for ATGL, CGI-58 and decreased expression of G0S2. It is concluded that exercise affects behavior of the components of the lipolytic system and the lipid content in the heart ventricles. However, changes observed in the left ventricle did not mirror those in the right one. Full article
(This article belongs to the Section Molecular Biology)
Show Figures

Graphical abstract

14 pages, 749 KB  
Article
Influence of Blue Mussel (Mytilus edulis) Intake on Disease Activity in Female Patients with Rheumatoid Arthritis: The MIRA Randomized Cross-Over Dietary Intervention
by Helen M. Lindqvist, Inger Gjertsson, Tove Eneljung and Anna Winkvist
Nutrients 2018, 10(4), 481; https://doi.org/10.3390/nu10040481 - 13 Apr 2018
Cited by 21 | Viewed by 6505
Abstract
Rheumatoid Arthritis (RA) is a chronic inflammatory disease. This study evaluates the effect of blue mussel intake on disease activity and quality of life in women with RA. Thirty-nine women with established RA and a disease activity score 28 (DAS28) >3.0 were recruited [...] Read more.
Rheumatoid Arthritis (RA) is a chronic inflammatory disease. This study evaluates the effect of blue mussel intake on disease activity and quality of life in women with RA. Thirty-nine women with established RA and a disease activity score 28 (DAS28) >3.0 were recruited to a randomized 2 × 11-week cross-over dietary intervention. The participants continued with their medication and habitual diet and exchanged one cooked meal a day, five days a week, with a meal including 75 g blue mussels or 75 g meat. Diets were switched after an eight week washout period. Data regarding quality of life (SF-36), blood lipids, erythrocyte sediment rate (ESR), C-reactive protein (CRP) and tender and swollen joints were examined at the start and end of each dietary period. Thirty women completed one period, and twenty-three completed both. Intake of the blue mussel diet led to a significant reduction of DAS28-CRP (p = 0.048), but not DAS28. The number of EULAR (European League Against Rheumatism) criteria moderate and good responders were higher when consuming blue mussel diet (p = 0.036). Blood lipids did not change. To conclude, blue mussel intake reduced disease symptoms in women with RA and improved perceived health. The reported effects need to be confirmed by non-patient reported outcomes, such as inflammation markers. Full article
Show Figures

Figure 1

Back to TopTop