Sign in to use this feature.

Years

Between: -

Subjects

remove_circle_outline
remove_circle_outline
remove_circle_outline
remove_circle_outline
remove_circle_outline
remove_circle_outline
remove_circle_outline
remove_circle_outline
remove_circle_outline

Journals

Article Types

Countries / Regions

remove_circle_outline
remove_circle_outline
remove_circle_outline
remove_circle_outline

Search Results (421)

Search Parameters:
Keywords = Friesian

Order results
Result details
Results per page
Select all
Export citation of selected articles as:
26 pages, 13810 KB  
Article
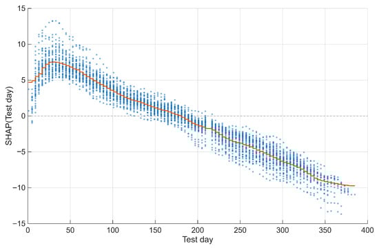
Efficient Prediction of Milk Yield with Machine Learning Models Using Cow Identification or Milk Quality Traits
by Aurelio Guevara-Escobar, Vicente Lemus-Ramírez, José Guadalupe García-Muñiz, Adolfo Kunio Yabuta-Osorio, Claudia Andrea Vidales-Basurto and Benjamín Valdés-Aguirre
Dairy 2026, 7(3), 31; https://doi.org/10.3390/dairy7030031 - 24 Apr 2026
Abstract
Modeling milk yield in dairy cows is essential for improving management decisions, but traditional lactation curve models often fail to capture individual variability. Machine learning approaches offer greater flexibility; however, their performance in small, within-herd datasets and their reliance on explicit cow identification [...] Read more.
Modeling milk yield in dairy cows is essential for improving management decisions, but traditional lactation curve models often fail to capture individual variability. Machine learning approaches offer greater flexibility; however, their performance in small, within-herd datasets and their reliance on explicit cow identification remain unclear, particularly in grazing systems. This study aimed to evaluate whether routinely measured biological traits can substitute for cow identification in machine learning models for predicting daily milk yield within a herd under limited data conditions. The dataset comprised 62 lactations from 48 Holstein–Friesian cows in a grazing system. Two machine learning models were developed: one including cow identification (With ID) and another excluding cow identification but incorporating milk quality traits, body weight, and body condition score (Without ID). Both models were compared with the Wood lactation model fitted to individual cows. The With ID and Without ID models achieved R2 values of 0.97 and 0.93 and RMSE values of 1.2 and 1.6 kg d1, respectively. Both machine learning models outperformed the Wood model fitted individually to each cow (R2 < 0.90; RMSE > 2.03 kg d1), which represents an implicitly cow-specific approach. The model including cow identification therefore served as a machine learning analogue to this benchmark. Importantly, the trait-based model closely matched the performance of the cow-specific model. These results demonstrate that machine learning models based on routinely measured traits provide a practical approach for predicting within-herd milk yield from small datasets, while retaining much of the accuracy of cow-specific models. Full article
Show Figures

Figure 1

16 pages, 851 KB  
Article
Effects of Replacing Corn Stover Silage with Sweet Sorghum Silage on Dry Matter Intake, Fibre Digestibility, and Milk Composition in Thai Holstein Crossbred Dairy Cows
by Norakamol Laorodphan, Thanatsan Poonpaiboonpipat, Tossaporn Incharoen, Suban Foiklang, Anusorn Cherdthong, Paiboon Panase, Nattapat Chaporton and Payungsuk Intawicha
Ruminants 2026, 6(2), 27; https://doi.org/10.3390/ruminants6020027 - 24 Apr 2026
Abstract
Milk production in tropical smallholder systems is constrained by limited high-quality roughage during the hot–dry season. Sweet sorghum silage is drought-tolerant and may replace corn stover silage. Twelve Holstein–Friesian crossbred cows were assigned to the same commercial concentrate plus either corn stover silage [...] Read more.
Milk production in tropical smallholder systems is constrained by limited high-quality roughage during the hot–dry season. Sweet sorghum silage is drought-tolerant and may replace corn stover silage. Twelve Holstein–Friesian crossbred cows were assigned to the same commercial concentrate plus either corn stover silage or sweet sorghum silage as the primary roughage source (n = 6 per diet). Intake, apparent digestibility, milk yield and composition, and feed-use efficiency were evaluated on day 15 and 30 and analyzed using linear mixed-effects models with cow as a random effect. Compared with corn stover silage, sweet sorghum silage increased dry matter intake (p < 0.05) and improved the digestibility of fibre fractions, including crude fibre, NDF and ADF (p ≤ 0.003), while crude protein- and nitrogen-free extract digestibility were not different (p > 0.05). Milk yield, 4% fat-corrected milk, energy-corrected milk, and feed-use efficiency indices were unaffected by silage source (p > 0.05). Milk protein concentration was higher with sweet sorghum silage (treatment effect p < 0.05), whereas milk fat and lactose were unchanged. Sweet sorghum silage can therefore replace corn stover silage in tropical dairy diets, improving intake and fibre utilization without compromising milk output. Full article
Show Figures

Figure 1

10 pages, 3576 KB  
Article
Effects of Single-Nucleotide Polymorphisms on the Estimated Breeding Values for Feet in Holstein-Friesian Cows in Hungary
by Attila Zsolnai, László Bognár, Szabolcs Albin Bene, Zsolt Jenő Kőrösi, László Rózsa, Ferenc Szabó and István Anton
Animals 2026, 16(9), 1299; https://doi.org/10.3390/ani16091299 - 23 Apr 2026
Abstract
The aim of this study was to identify SNPs in the cattle genome associated with estimated breeding values of feet (EBVfeet) in Holstein-Friesian (HF) cows in Hungary. Foot health is of major importance in dairy cattle industry whereas claw disorders are [...] Read more.
The aim of this study was to identify SNPs in the cattle genome associated with estimated breeding values of feet (EBVfeet) in Holstein-Friesian (HF) cows in Hungary. Foot health is of major importance in dairy cattle industry whereas claw disorders are leading to lameness and thus result in low fertility rates and productivity. Genotyping was performed using the EuroG_MDv4 microarray platform. The final database comprised 2963 animals and 59,151 SNPs. EBVfeet values have been divided into high and low groups. All calculations regarding the genetic differentiation (genome-wide and locus-specific) between high- and low-value groups for EBVfeet, linear regression, and haplotype association tests have been performed with the SNP and Variation Suite software. Thirty-nine SNPs associated with EBVfeet were determined on BTAs 3, 7, 8, 15, 21, and X. The maximum values of the identified SNPs were 0.22 for Fst_marker, 23.1 for the −log10(p) of the linear regression, and 26.3 for the −log10(p) of the haplotype association tests on BTA 3. The closest genes to SNPs associated with estimated breeding values for feet (EBVfeet) are mainly associated with tissue structure, immune response, metabolism, growth, development, transport and signaling. Our results could add additional information to the genetic programs focusing on the improvement of foot health in HF cattle. Full article
Show Figures

Figure 1

18 pages, 679 KB  
Article
Effects of Thermal Variability on Milk Production Traits in Dairy Cattle Under Temperate Continental Conditions in Serbia
by Nenad Mićić, Dragan Stanojević, Dragan Milićević, Miloš Marinković, Marina Lazarević, Ljiljana Samolovac and Vladan Bogdanović
Sustainability 2026, 18(8), 3966; https://doi.org/10.3390/su18083966 - 16 Apr 2026
Viewed by 183
Abstract
Milk production in dairy cattle is increasingly challenged by thermal variability. This underscores the need for reliable assessment of microclimatic conditions and their interaction with animal- and management-related factors to ensure sustainable dairy production. The aim of this study was to evaluate the [...] Read more.
Milk production in dairy cattle is increasingly challenged by thermal variability. This underscores the need for reliable assessment of microclimatic conditions and their interaction with animal- and management-related factors to ensure sustainable dairy production. The aim of this study was to evaluate the effects of thermal variability and selected environmental and biological factors on key milk production traits in dairy cattle. The influence of fixed factors related to production conditions and microclimatic variability, including the Temperature–Humidity Index (THI) as an indicator of thermal variability, on daily milk yield (MY), milk fat content (MF), and milk protein content (MP) was assessed. This study used a dataset covering two observation periods of daily milk production traits in cows of different breeds (Simmental, Holstein-Friesian, Red Holstein, and Brown Swiss) reared in three regions of the Republic of Serbia (Mačva, Podunavlje, and Šumadija), enabling an assessment of thermal variability under diverse production and microclimatic conditions. The expression and variability of the investigated traits were determined using the PROC FREQ and PROC MEANS procedures, while the effects of individual factors were analysed using general linear and regression models, with results expressed as least squares means. All examined factors showed a highly significant effect on MY, MF, and MP (p < 0.0001). Milk production was highest within the THI range of 51–60, corresponding to thermoneutral conditions, whereas higher THI values (>60) reflect increasing thermal load and were associated with measurable reductions in milk yield, as confirmed by statistical analysis. These findings demonstrate that thermal variability and heat stress significantly influence milk production and composition and highlight the importance of integrating microclimatic indicators into sustainability-oriented dairy management and breeding strategies. Full article
Show Figures

Figure 1

12 pages, 704 KB  
Case Report
Bovine Ocular Squamous Cell Carcinoma—A Descriptive Epidemiological Survey in the Azores, Portugal
by Beatriz Bilhastre, Helena Vala, Ana Clara Ribeiro, Sara Faria, Ana Oliveira, Sandra Branco and Carlos Pinto
Vet. Sci. 2026, 13(4), 371; https://doi.org/10.3390/vetsci13040371 - 11 Apr 2026
Viewed by 353
Abstract
Bovine ocular squamous cell carcinoma (BOSCC) is the most common ocular tumour in cattle, with a multifactorial aetiology involving ultraviolet (UV) radiation, genetic factors, pigmentation, and management practices. A detailed epidemiological characterisation of BOSCC in the Azores, Portugal, is provided, with particular emphasis [...] Read more.
Bovine ocular squamous cell carcinoma (BOSCC) is the most common ocular tumour in cattle, with a multifactorial aetiology involving ultraviolet (UV) radiation, genetic factors, pigmentation, and management practices. A detailed epidemiological characterisation of BOSCC in the Azores, Portugal, is provided, with particular emphasis on its spatial distribution and potential risk determinants. Data were obtained through an epidemiological questionnaire completed by field veterinarians between August 2023 and March 2025. A total of 85 BOSCC cases were recorded across 62 farms—45 on Terceira Island and 17 on São Miguel Island. All affected animals were adult Holstein Friesian dairy cows, managed under extensive pasture-based systems. The nictitating membrane was the most frequently affected structure (69.5%), and multiple lesions occurred in 20% of the cases. Farms located at 200–400 m of altitude presented the highest number of cases. Continuous exposure to UV under pasture-based management represents the main environmental risk factor. Although periocular pigmentation may provide partial protection, other environmental and genetic factors can also contribute to tumour development. Artificial insemination is considered a promising preventive tool, enabling genetic selection for protective traits such as periocular pigmentation. This research provides the first regional epidemiological characterization of BOSCC in the Azores, highlighting the interplay among environmental, genetic, and management-related factors in disease occurrence. Full article
Show Figures

Figure 1

15 pages, 535 KB  
Article
Dietary Protected Fats from Palm Oil Refinery Increase Bioactive CLA Levels in Bovine Milk
by Lolita Udin Riestanti, Despal, Yuli Retnani, Ria Noviar Triana, Nuri Andarwulan, Renata Kazimierczak and Dominika Średnicka-Tober
Appl. Sci. 2026, 16(7), 3364; https://doi.org/10.3390/app16073364 - 30 Mar 2026
Viewed by 373
Abstract
Conjugated linoleic acid (CLA) is recognized as a bioactive compound with significant health-promoting properties. This study aimed to evaluate the potential of palm oil derivatives to enhance milk CLA levels and milk fatty acid quality in Holstein Friesian dairy cows. The study was [...] Read more.
Conjugated linoleic acid (CLA) is recognized as a bioactive compound with significant health-promoting properties. This study aimed to evaluate the potential of palm oil derivatives to enhance milk CLA levels and milk fatty acid quality in Holstein Friesian dairy cows. The study was conducted using a randomized block design (RBD) with four treatments and four replications: (1) Basal ration (Napier grass + concentrate); (2) Basal ration + 2.2% palm-calcium soap (PCS); (3) Basal ration + 2% palm-prilled fat (PPF); and (4) Basal ration + 2% hard palm stearin (HPS). The results showed that palm-prilled fat (PPF) supplementation in the dairy cow significantly improved (p < 0.05) milk fatty acid profile (C18:1-cis and Conjugated Linoleic Acid) and decreased (p < 0.05) ΣtFA in milk. Palm-prilled fat supplementation significantly increased (p < 0.05) the C14:1 and C18:1 desaturase index (DI) and enhanced the health-promoting index (HPI) in milk. Based on this study, it can be concluded that supplementation with PPF was able to enhance milk quality. Furthermore, dietary fat supplementation led to an improved milk fatty acid profile, which may increase its value as a functional food and promote human health. Full article
(This article belongs to the Section Chemical and Molecular Sciences)
Show Figures

Figure 1

11 pages, 938 KB  
Article
The Effect of Artificial Insemination and Multiple Ovulation Embryo Transfer on Production, Health Status, and Survival of Holstein–Friesian Cows
by Eszter Tóth, János Posta, István Komlósi, Zoltán Szelényi, Michael Gonda, József Rátky and Renáta Knop
Vet. Sci. 2026, 13(4), 320; https://doi.org/10.3390/vetsci13040320 - 26 Mar 2026
Viewed by 558
Abstract
The effects of reproductive technologies, namely, artificial insemination (AI) and multiple ovulation embryo transfer (MOET), on the production, health, and longevity of Holstein–Friesian cows were evaluated. Data were obtained from the time period between 2017 and 2024 on a Hungarian dairy farm and [...] Read more.
The effects of reproductive technologies, namely, artificial insemination (AI) and multiple ovulation embryo transfer (MOET), on the production, health, and longevity of Holstein–Friesian cows were evaluated. Data were obtained from the time period between 2017 and 2024 on a Hungarian dairy farm and consisted of 1783 cows (1544 AI and 239 MOET). Deep-frozen semen from identical bulls was used for both the AI and MOET groups. Disease incidence, productive life, and early-lactation milk production phenotypes were collected in these cows. MOET cows demonstrated significantly higher milk yield during the first 100 days of lactation but had a 43.9% greater risk of culling compared with AI cows (p < 0.05). Metabolic and reproductive disorders were the most common reasons for culling cows, with increased frequency of health issues correlating with higher culling risk ratios (p < 0.05). While MOET cows showed lower incidences of metabolic disorders, reproductive problems, and mastitis, their shorter productive lifespan likely limited overall disease exposure. Nevertheless, when MOET cows experienced illness, the impact was more severe, particularly in relation to metabolic issues (p < 0.05). These findings highlight trade-offs between improved genetic potential and health resilience in MOET-derived cows. Despite their higher productivity, their management may require greater health vigilance. This study offers practical insights for dairy producers in selecting reproductive strategies to balance genetic gain, herd health, and longevity under intensive production systems. Full article
(This article belongs to the Section Veterinary Reproduction and Obstetrics)
Show Figures

Figure 1

13 pages, 2998 KB  
Article
Deep Single-Cell Transcriptomic Profiling of Bovine Milk Somatic Cells Revealed Expression of Stem Cell Related Transcription Factors
by Mateja Dolinar, Peter Dovč and Minja Zorc
Genes 2026, 17(4), 365; https://doi.org/10.3390/genes17040365 - 24 Mar 2026
Viewed by 380
Abstract
Background/Objectives: Milk somatic cells reflect the cellular composition and functional state of the lactating mammary gland and represent a valuable, non-invasive source for transcriptomic studies. Single-cell RNA sequencing (scRNA-seq) enables cell-type-resolved analysis of bovine milk; however, sequencing depth strongly influences the detection [...] Read more.
Background/Objectives: Milk somatic cells reflect the cellular composition and functional state of the lactating mammary gland and represent a valuable, non-invasive source for transcriptomic studies. Single-cell RNA sequencing (scRNA-seq) enables cell-type-resolved analysis of bovine milk; however, sequencing depth strongly influences the detection of lowly expressed genes and the resolution of transcriptional cell states. The aim of this study was to further characterise the single-cell transcriptome of bovine milk somatic cells, with particular emphasis on high-resolution gene expression profiling and cellular heterogeneity. Methods: Milk somatic cells were isolated from two healthy Holstein Friesian cows in mid-lactation and profiled using a droplet-based scRNA-seq platform. Newly generated high-depth datasets were integrated with two previously published bovine milk scRNA-seq datasets using an identical bioinformatics pipeline. Data integration, clustering and cell-type annotation were performed using the Seurat framework, and transcription factor expression was evaluated across datasets with different sequencing depths. Results: Single-cell transcriptomic analysis revealed a diverse cellular landscape in bovine milk, comprising epithelial, progenitor, and immune cell populations. Unsupervised clustering identified 21 transcriptionally distinct clusters, including multiple CD8+ T-cell subpopulations, monocytes, neutrophils, mast cells, and B cells, as well as luminal epithelial and luminal progenitor cells. While overall cell-type composition was comparable across datasets, deeply sequenced samples exhibited higher transcriptomic complexity and enabled refined resolution of immune and epithelial subpopulations. Deeper sequencing facilitated the detection of low-abundance transcription factors that were not observed in lower-depth datasets. Among these, NANOG was detected exclusively in deeply sequenced samples, suggesting the presence of rare transcriptional states associated with cellular plasticity. Conclusions: This study expands the single-cell transcriptomic landscape of bovine milk somatic cells and demonstrates the importance of sequencing depth for resolving functional cellular heterogeneity. The results highlight milk as a powerful, non-invasive source for investigating mammary gland biology and cellular plasticity during lactation. Full article
(This article belongs to the Special Issue Research on Genetics and Breeding of Cattle)
Show Figures

Figure 1

15 pages, 283 KB  
Article
Evaluating Beef Fatty Acid Composition and Lipid Quality in Response to Silage Type and Feeding Intensity During the Finishing Phase
by Zenon Nogalski and Martyna Momot
Animals 2026, 16(6), 923; https://doi.org/10.3390/ani16060923 - 15 Mar 2026
Viewed by 326
Abstract
The quality of beef fat depends on both intramuscular fat (IMF) content and fatty acid (FA) composition, which can be modulated by finishing diets. This study evaluated the effects of silage type and feeding intensity on IMF deposition, FA profile, desaturase indices, and [...] Read more.
The quality of beef fat depends on both intramuscular fat (IMF) content and fatty acid (FA) composition, which can be modulated by finishing diets. This study evaluated the effects of silage type and feeding intensity on IMF deposition, FA profile, desaturase indices, and lipid quality indices in finishing Holstein–Friesian bulls. Thirty-two bulls were assigned to a 2 × 2 factorial design (n = 8/group) and fed total mixed rations for 120 days based on grass silage or maize silage, under intensive (≈50:50 forage:concentrate, DM basis) or semi-intensive feeding (≈70:30). FA composition of longissimus lumborum lipids was determined by GC-FID, and lipid quality indices were calculated, including the atherogenic index (AI), thrombogenic index (TI), and the hypocholesterolemic/hypercholesterolemic ratio (h/H). Feeding intensity increased IMF content (p = 0.001) and the absolute amounts of major FA classes (g/100 g meat). Silage type primarily affected FA composition by increasing n-3 PUFA and lowering the n-6/n-3 ratio in grass silage diets (p = 0.042). Several FAs showed silage type × feeding intensity interactions (p < 0.05), indicating that the response to dietary energy supply depended on the forage base. Overall, feeding intensity mainly regulated lipid deposition, whereas silage type modulated the nutritional profile of intramuscular fat. Full article
9 pages, 1884 KB  
Article
Correlation of Trace Mineral Status Between Cows and Their Calves: Insights from Paired Serum Samples
by Laura Fresco-Rey, Lucas Rigueira, Candela Fernández-Villa, Belén Larrán, Marta López-Alonso, Silvia Rojo-Montejo, Ramiro Fouz, Víctor Pereira and Marta Miranda
Animals 2026, 16(6), 866; https://doi.org/10.3390/ani16060866 - 10 Mar 2026
Viewed by 338
Abstract
This study assessed trace mineral levels (Co, Cr, Cu, Fe, Mn, Mo, Se, and Zn) in paired serum samples from multiparous Holstein Friesian cows and their calves after colostrum intake, to explore potential relationships between maternal and neonatal mineral status. The acid-digested samples [...] Read more.
This study assessed trace mineral levels (Co, Cr, Cu, Fe, Mn, Mo, Se, and Zn) in paired serum samples from multiparous Holstein Friesian cows and their calves after colostrum intake, to explore potential relationships between maternal and neonatal mineral status. The acid-digested samples were analyzed by inductively coupled plasma mass spectrometry. Serum levels of Co, Cu, Fe, and Se were significantly higher in cows than in calves (p < 0.001), while Zn levels were higher in calves. The levels of Cr, Mn, and Mo were similar in both groups. Overall, mineral deficiencies were more prevalent in cows, with Se being the most deficient element, followed by Zn, Cu, and Co. Calves were more deficient in Co and Mn than their mothers but were not generally deficient in Se. Serum levels of Cr, Cu, Mn, Mo, and Se were positively correlated in cows and their calves, suggesting that maternal mineral status influences neonatal mineral levels. Overall, these results provide insights into trace mineral dynamics in cow–calf pairs. Further studies are needed to clarify the relative contribution of placental and colostral mineral transfer. Full article
(This article belongs to the Collection Feeding Cattle for Health Improvement)
Show Figures

Figure 1

15 pages, 457 KB  
Article
Comparative Efficacy of Tulathromycin and Ceftiofur for Treating Undifferentiated BRDC and Tulathromycin Metaphylaxis in Dairy Cattle
by Sahaphop Pengpanun, Surachet Panyapan and Tawatchai Singhla
Antibiotics 2026, 15(2), 154; https://doi.org/10.3390/antibiotics15020154 - 2 Feb 2026
Viewed by 957
Abstract
Background/Objectives: Bovine respiratory disease complex (BRDC) is commonly treated empirically, as etiological diagnosis is often impractical under field conditions. Comparative evidence on antimicrobial efficacy in undifferentiated BRDC remains limited. This study aimed to compare the therapeutic efficacy of tulathromycin and ceftiofur for treating [...] Read more.
Background/Objectives: Bovine respiratory disease complex (BRDC) is commonly treated empirically, as etiological diagnosis is often impractical under field conditions. Comparative evidence on antimicrobial efficacy in undifferentiated BRDC remains limited. This study aimed to compare the therapeutic efficacy of tulathromycin and ceftiofur for treating undifferentiated BRDC in dairy cattle and to describe hematological and biochemical responses following a tulathromycin metaphylaxis program implemented during the seasonal high-PM2.5 period in northern Thailand. Methods: Thirty-eight Holstein–Friesian cattle with clinical BRDC were randomly assigned to receive tulathromycin (2.5 mg/kg, single subcutaneous dose; n = 20) or ceftiofur (2.2 mg/kg, intramuscularly for three consecutive days; n = 18). The clinical parameters of the surviving cattle were monitored for 5 days, and hematological and biochemical profiles were assessed on Days 1 and 5 in the surviving cattle. In addition, 87 pregnant dairy heifers were enrolled in a metaphylaxis trial and allocated to no injection, one tulathromycin injection, or two injections administered one month apart. Results: Cure rates were comparable between the tulathromycin and ceftiofur groups (90.0% vs. 88.9%), with similar case fatality rates (10.0% vs. 11.1%). No significant between-group differences were observed for clinical, hematological, or biochemical parameters. Both treatments resulted in significant within-group clinical and hematological improvement. During the metaphylaxis trial, no animals developed clinical BRDC; however, significant differences were observed in selected hematological parameters among injection groups. Conclusions: Tulathromycin and ceftiofur demonstrated comparable efficacy for treating undifferentiated BRDC in dairy cattle under field conditions. In the metaphylaxis component, conducted during the seasonal high-PM2.5 period, the absence of clinical BRDC cases did not allow for evaluation of preventive efficacy. Nevertheless, differences in selected blood parameters were observed among injection groups and should be interpreted cautiously, warranting further investigation in studies incorporating low- and high-PM2.5 comparisons. Full article
(This article belongs to the Section Antibiotics in Animal Health)
Show Figures

Figure 1

17 pages, 827 KB  
Article
Rapid Direct CSN2 Genotyping by PCR and Its Application in Population Genetics and A2 Milk Selection in Holstein Cattle
by Lilla Sándorová, Péter Árpád Fehér, Ana Clarissa Ambagan, Katalin Nagy, Miklós Gábor Szabari, Szilvia Áprily, Szilárd Bodó, Ákos Bodnár, Péter Póti, Ferenc Pajor, Gabriella Holló and Viktor Stéger
Dairy 2026, 7(1), 12; https://doi.org/10.3390/dairy7010012 - 30 Jan 2026
Cited by 2 | Viewed by 1114
Abstract
The polymorphism of the bovine β-casein gene (CSN2) is of increasing interest due to its relevance for A2 milk production. This study genotyped 2773 Holstein-Friesian cows for five CSN2 alleles (A1, A2, A3, B, I) using both conventional DNA-based PCR and a newly [...] Read more.
The polymorphism of the bovine β-casein gene (CSN2) is of increasing interest due to its relevance for A2 milk production. This study genotyped 2773 Holstein-Friesian cows for five CSN2 alleles (A1, A2, A3, B, I) using both conventional DNA-based PCR and a newly evaluated direct PCR protocol. Eleven genotypes were detected, with A2/A2 (33.9%) and A1/A2 (30.3%) being the most common, resulting in an A2 allele frequency of 59.0%. Genetic diversity indices indicated moderate polymorphism and a significant deviation from Hardy–Weinberg equilibrium, consistent with ongoing selection for the A2 allele. Associations between CSN2 genotype and milk traits (305-day milk, fat, and protein yield; fat% and protein%) were evaluated using linear mixed-effects models including lactation number, age at calving, and calving year as covariates, and cow ID as a random intercept. Several genotype effects reached statistical significance (p < 0.05); however, all effect sizes were very small (partial η2 < 0.01), indicating that any influence of CSN2 on production traits is negligible within this population and management context. These findings suggest that A2-oriented selection is unlikely to compromise productivity. The direct PCR genotyping method achieved 96–100% success and enabled substantially faster and more cost-efficient processing (approximately 80–90% reduction in reagent costs), providing a rapid and scalable approach for large herds. Full article
(This article belongs to the Section Dairy Systems Biology)
Show Figures

Graphical abstract

14 pages, 1087 KB  
Article
Serum α-Glucosidase Activity as a New Parameter of Negative Energy Balance in Dairy Cows
by Babett Bartling, Thomas Tröbner, Lena Grone and Marion Schmicke
Vet. Sci. 2026, 13(2), 122; https://doi.org/10.3390/vetsci13020122 - 27 Jan 2026
Viewed by 826
Abstract
Enzymes of the α-glucosidase group cleave α-D-glucose from the non-reducing end of short oligosaccharides. They contribute to carbohydrate digestion as maltase-glucoamylase in the intestinal brush border and as neutral α-glucosidase in other tissues. Neutral α-glucosidase is also active in blood, but little is [...] Read more.
Enzymes of the α-glucosidase group cleave α-D-glucose from the non-reducing end of short oligosaccharides. They contribute to carbohydrate digestion as maltase-glucoamylase in the intestinal brush border and as neutral α-glucosidase in other tissues. Neutral α-glucosidase is also active in blood, but little is known about its relevance as an indicator of the body’s metabolic state. Therefore, we proved whether the α-glucosidase activity level in blood does reflect the state of negative energy balance (NEB). As NEB commonly occurs in dairy cows around calving, our study included blood (serum, plasma) samples of 73 Holstein Friesian cows collected ±14 d to parturition. After the establishment and characterization of a fast and low-cost activity assay, these blood samples were analyzed for α-glucosidase compared to known NEB biomarkers. This analysis revealed the lowest α-glucosidase activity 5 d post partum (−25% compared to 14 d ante partum) by using two different α-glucosidase substrates. The reduced activity recovered 14 d post partum; however, the degree of recovery depended inversely on the number of parities. In this regard, α-glucosidase activity changed peripartum in line with known biomarkers (e.g., NEFA, IGF-1, glucose). In conclusion, the α-glucosidase activity is a new and easily detectable blood parameter of NEB in dairy cows. Full article
(This article belongs to the Section Nutritional and Metabolic Diseases in Veterinary Medicine)
Show Figures

Figure 1

12 pages, 2866 KB  
Article
Through the Calf’s Eye: Exploring Infrared Thermography to Uncover Pair-Housed Calves’ Affective States
by Gaia Pesenti Rossi, Sara Barbieri, Emanuela Dalla Costa, Michela Minero and Elisabetta Canali
Animals 2026, 16(2), 182; https://doi.org/10.3390/ani16020182 - 8 Jan 2026
Viewed by 599
Abstract
Pair housing has been proven to improve calves’ welfare during the pre-weaning phase, potentially promoting positive emotions. Based on the emotional valence hypothesis, according to which positive emotions are mainly processed in the left brain hemisphere, infrared thermography (IRT) may detect changes in [...] Read more.
Pair housing has been proven to improve calves’ welfare during the pre-weaning phase, potentially promoting positive emotions. Based on the emotional valence hypothesis, according to which positive emotions are mainly processed in the left brain hemisphere, infrared thermography (IRT) may detect changes in eye temperature, particularly thermal asymmetries. This study aimed to evaluate whether pair-housed calves presented ocular thermal asymmetry, compared to individually housed calves during the pre-weaning phase. Fifty-six Friesian female calves from two commercial dairy farms were enrolled and housed either individually or in pairs from birth until 8 weeks of age. IRT images of the lacrimal caruncle of both eyes were collected at 7, 21, 35, and 56 days of age. A linear mixed model tested the effects of housing, farm, year, and timepoint. No significant effect of pair housing on ocular asymmetry emerged, while absolute eye temperatures were significantly higher in pair-housed calves. Moreover, eye temperature declined over time, suggesting reduced arousal and habituation with age. Although the lateralization hypothesis was not confirmed, the study offers insights into IRT for assessing calf emotions and supports further investigation in positive contexts to better explore links between housing, emotional valence, and brain activity. Full article
(This article belongs to the Special Issue Infrared Thermography in Animals)
Show Figures

Figure 1

17 pages, 2690 KB  
Article
Genome-Wide Association Study on the Estimated Breeding Values for Udder and Longevity and the Candidate Genes in Holstein-Friesian Cows in Hungary
by Attila Zsolnai, László Bognár, Szabolcs Albin Bene, Laszló Rózsa, Péter Póti, Ferenc Szabó and István Anton
Animals 2026, 16(1), 73; https://doi.org/10.3390/ani16010073 - 26 Dec 2025
Viewed by 557
Abstract
Our genome-wide association study identified single-nucleotide polymorphisms (SNPs) associated with estimated breeding values (EBVs) for udder traits and longevity in Holstein-Friesian cows. While no SNP was individually associated with multiple EBVs, the functional profiles of the associated genes revealed overlapping biological processes across [...] Read more.
Our genome-wide association study identified single-nucleotide polymorphisms (SNPs) associated with estimated breeding values (EBVs) for udder traits and longevity in Holstein-Friesian cows. While no SNP was individually associated with multiple EBVs, the functional profiles of the associated genes revealed overlapping biological processes across traits, including cell signaling, transcription regulation, immune response, metabolism, and cellular maintenance. Notably, nearby SNPs BTB-01738708 and ARS-BFGL-NGS-111478 were associated with EBVlongevity and EBVudder and located near numerous genes, including GPR85, BMT2, IFRD1, and DOCK4, suggesting a potential for shared genetic influence on these traits. Our findings provide insights into the complex genetic architecture of these economically important traits and highlight the need for further research, including fine-mapping and functional genomics, to elucidate the specific variants and their effects. Full article
(This article belongs to the Special Issue Advances in Cattle Genetics and Breeding)
Show Figures

Figure 1

Back to TopTop