Sign in to use this feature.

Years

Between: -

Subjects

remove_circle_outline
remove_circle_outline
remove_circle_outline
remove_circle_outline
remove_circle_outline
remove_circle_outline
remove_circle_outline

Journals

Article Types

Countries / Regions

Search Results (12)

Search Parameters:
Keywords = Fortran 90

Order results
Result details
Results per page
Select all
Export citation of selected articles as:
18 pages, 6713 KB  
Article
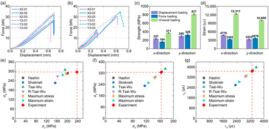
Strength and Failure Behavior of Carbon Fiber Composite Laminates Under Biaxial Compression for Deep-Sea Application
by Chujie Zhou, Zhanwen Tang, Xiaokai Deng, Yahe Gao and Heng Jiang
J. Compos. Sci. 2026, 10(3), 130; https://doi.org/10.3390/jcs10030130 - 28 Feb 2026
Viewed by 463
Abstract
The increasing use of carbon fiber-reinforced polymer (CFRP) shells in deep-sea environments calls for a clearer understanding of their mechanical response and failure under complex stress states, particularly biaxial compression. To address this need, laminate and cylindrical-shell specimens with a stacking sequence of [...] Read more.
The increasing use of carbon fiber-reinforced polymer (CFRP) shells in deep-sea environments calls for a clearer understanding of their mechanical response and failure under complex stress states, particularly biaxial compression. To address this need, laminate and cylindrical-shell specimens with a stacking sequence of [90°/90°/90°/20°/−20°]ns were designed and tested under uniaxial compression, biaxial compression, and hydrostatic pressure. Three-dimensional user material subroutines based on Fortran were developed for the maximum stress/strain, Tsai–Wu, Rationalized Tsai–Wu (R-Tsai–Wu), Hashin, and Shokrieh failure criteria to simulate the failure behavior of CFRP laminates under biaxial compression. The experimental and numerical results show that the biaxial compressive ultimate strength of CFRP is significantly lower than the corresponding uniaxial compressive strength in each loading direction. The Hashin criterion exhibited the highest predictive accuracy, with an error of only 2.6% for the strength in the 90° direction and 15.1% for the 0° direction under equal-displacement biaxial compression. The simulated failure pressure for the cylindrical shell was 20.75 MPa, differing by only 5.7% from the experimentally measured value of 22 MPa. This work provides an important experimental basis and reference for the selection of failure criteria in the strength design and evaluation of CFRP composite shells in deep-sea environments. Full article
(This article belongs to the Topic Numerical Simulation of Composite Material Performance)
Show Figures

Figure 1

21 pages, 5417 KB  
Article
Implementation of a Particle Swarm Optimization Algorithm with a Hooke’s Potential, to Obtain Cluster Structures of Carbon Atoms, and of Tungsten and Oxygen in the Ground State
by Jesús Núñez, Gustavo Liendo-Polanco, Jesús Lezama, Diego Venegas-Yazigi, José Rengel, Ulises Guevara, Pablo Díaz, Eduardo Cisternas, Tamara González-Vega, Laura M. Pérez and David Laroze
Inorganics 2025, 13(9), 293; https://doi.org/10.3390/inorganics13090293 - 31 Aug 2025
Viewed by 1949
Abstract
Particle Swarm Optimization (PSO) is a metaheuristic optimization technique based on population behavior, inspired by the movement of a flock of birds or a school of fish. In this method, particles move in a search space to find the global minimum of an [...] Read more.
Particle Swarm Optimization (PSO) is a metaheuristic optimization technique based on population behavior, inspired by the movement of a flock of birds or a school of fish. In this method, particles move in a search space to find the global minimum of an objective function. In this work, a modified PSO algorithm written in Fortran 90 is proposed. The optimized structures obtained with this algorithm are compared with those obtained using the basin-hopping (BH) method written in Python (3.10), and complemented with density functional theory (DFT) calculations using the Gaussian 09 software. Additionally, the results are compared with the structural parameters reported from single crystal X-ray diffraction data for carbon clusters Cn(n = 3–5), and tungsten–oxygen clusters, WOnm(n = 4–6, m=2,4,6). The PSO algorithm performs the search for the minimum energy of a harmonic potential function in a hyperdimensional space R3N (where N is the number of atoms in the system), updating the global best position ( gbest) and local best position ( pbest), as well as the velocity and position vectors for each swarm cluster. A good approximation of the optimized structures and energies of these clusters was obtained, compared to the geometric optimization and single-point electronic energies calculated with the BH and DFT methods in the Gaussian 09 software. These results suggest that the PSO method, due to its low computational cost, could be useful for approximating a molecular structure associated with the global minimum of potential energy, accelerating the prediction of the most stable configuration or conformation, prior to ab initio electronic structure calculation. Full article
(This article belongs to the Special Issue Optical and Quantum Electronics: Physics and Materials)
Show Figures

Graphical abstract

20 pages, 5384 KB  
Article
Integrated Water Resources Management in Response to Rainfall Change: A Runoff-Based Approach for Mixed Land-Use Catchments
by Jinsun Kim and Ok Yeon Choi
Environments 2025, 12(7), 241; https://doi.org/10.3390/environments12070241 - 14 Jul 2025
Viewed by 1023
Abstract
The U.S. Environmental Protection Agency (EPA) developed the concept of Water Quality Volume (WQv) as a Best Management Practice (BMP) to treat the first 25.4 mm of rainfall in urban areas, aiming to capture approximately 90% of annual runoff. However, applying this urban-based [...] Read more.
The U.S. Environmental Protection Agency (EPA) developed the concept of Water Quality Volume (WQv) as a Best Management Practice (BMP) to treat the first 25.4 mm of rainfall in urban areas, aiming to capture approximately 90% of annual runoff. However, applying this urban-based standard—designed for areas with over 50% imperviousness—to rural regions with higher infiltration and pervious surfaces may result in overestimated facility capacities. In Korea, a uniform WQv criterion of 5 mm is applied nationwide, regardless of land use or hydrological conditions. This study examines the suitability of this 5 mm standard in rural catchments using the Hydrological Simulation Program–Fortran (HSPF). Eight sub-watersheds in the target area were simulated under varying cumulative runoff depths (1–10 mm) to assess pollutant loads and runoff characteristics. First-flush effects were most evident below 5 mm, with variation depending on land cover. Nature-based treatment systems for constructed wetlands were modeled for each sub-watershed, and their effectiveness was evaluated using Flow Duration Curves (FDCs) and Load Duration Curves (LDCs). The findings suggest that the uniform 5 mm WQv criterion may result in overdesign in rural watersheds and highlight the need for region-specific standards that consider local land-use and hydrological variability. Full article
(This article belongs to the Special Issue Monitoring of Contaminated Water and Soil)
Show Figures

Figure 1

19 pages, 2714 KB  
Article
Evaluating the Effects of Parameter Uncertainty on River Water Quality Predictions
by André Fonseca, Cidália Botelho, Rui A. R. Boaventura and Vítor J. P. Vilar
Resources 2024, 13(8), 106; https://doi.org/10.3390/resources13080106 - 26 Jul 2024
Cited by 6 | Viewed by 2675
Abstract
Due to the high uncertainty of model predictions, it is often challenging to draw definitive conclusions when evaluating river water quality in the context of management options. The major aim of this study is to present a statistical evaluation of the Hydrologic Simulation [...] Read more.
Due to the high uncertainty of model predictions, it is often challenging to draw definitive conclusions when evaluating river water quality in the context of management options. The major aim of this study is to present a statistical evaluation of the Hydrologic Simulation Program FORTRAN (HSPF), which is a water quality modeling system, and how this modeling system can be used as a valuable tool to enhance monitoring planning and reduce uncertainty in water quality predictions. The authors’ findings regarding the sensitivity analysis of the HSPF model in relation to water quality predictions are presented. The application of the computer model was focused on the Ave River watershed in Portugal. Calibration of the hydrology was performed at two stations over five years, starting from January 1990 and ending in December 1994. Following the calibration, the hydrology model was then validated for another five-year period, from January 1995 to December 1999. A comprehensive evaluation framework is proposed, which includes a two-step statistical evaluation based on commonly used hydrology criteria for model calibration and validation. To thoroughly assess model uncertainty and parameter sensitivity, a Monte Carlo method uncertainty evaluation approach is integrated, along with multi-parametric sensitivity analyses. The Monte Carlo simulation considers the probability distributions of fourteen HSPF water quality parameters, which are used as input factors. The parameters that had the greatest impact on the simulated in-stream fecal coliform concentrations were those that represented the first-order decay rate and the surface runoff mechanism, which effectively removed 90 percent of the fecal coliform from the pervious land surface. These parameters had a more significant influence compared to the accumulation and maximum storage rates. When it comes to the oxygen governing process, the parameters that showed the highest sensitivity were benthal oxygen demand and nitrification/denitrification rate. The insights that can be derived from this study play a critical role in the development of robust water management strategies, and their significance lies in their potential to contribute to the advancement of predictive models in the field of water resources. Full article
Show Figures

Figure 1

14 pages, 1717 KB  
Article
Simulation of Wave Propagation Using Finite Differences in Oil Exploration
by Franyelit Suárez-Carreño, Luis Rosales-Romero, José Salazar, Patricia Acosta-Vargas, Henry-Fabricio Mendoza-Cedeño, Hernán Edwin Verde-Luján and Omar Flor-Unda
Appl. Sci. 2023, 13(15), 8852; https://doi.org/10.3390/app13158852 - 31 Jul 2023
Cited by 3 | Viewed by 2705
Abstract
This paper presents a numerical solution for the 2D acoustic wave equation, considering heterogeneous media. It has been developed through a software in Fortran 90 that uses a second-order finite difference approximation. This program generates a set of patterns to detect the presence [...] Read more.
This paper presents a numerical solution for the 2D acoustic wave equation, considering heterogeneous media. It has been developed through a software in Fortran 90 that uses a second-order finite difference approximation. This program generates a set of patterns to detect the presence of oil in the subsurface. The algorithm is based on a geological domain where the sources (shots) and receivers are located. Each process takes care of a subset of sources and returns to the primary method patterns and seismograms corresponding to its group of sources. In the end, an image of the resulting seismogram is shown along the analyzed geologic profile. Stability and convergence tests were performed to ensure the reliability of the results. These tests were performed using a geological profile 100,000 m long and 17,400 m deep, divided into strata. For the execution of the software, a cluster of 16 processors was used as a computational platform. Full article
Show Figures

Figure 1

30 pages, 46040 KB  
Article
Analysis of FPSO Motion Response under Different Wave Spectra
by Lei Sun, Xing-Quan Yang, Shu-Xia Bu, Wen-Tao Zheng, Yu-Xiang Ma and Zi-Lu Jiao
J. Mar. Sci. Eng. 2023, 11(7), 1467; https://doi.org/10.3390/jmse11071467 - 23 Jul 2023
Cited by 5 | Viewed by 4365
Abstract
A variety of floating structures at sea play a vital role in the exploitation and utilization of marine resources. The study about interactions between waves and structures is necessary for the impact of the harsh marine environment on the motion and service life [...] Read more.
A variety of floating structures at sea play a vital role in the exploitation and utilization of marine resources. The study about interactions between waves and structures is necessary for the impact of the harsh marine environment on the motion and service life of structures. Currently, most studies about the seakeeping of structures are based on simplified regular waves. Because the regular waves do not truly restore the actual wave conditions at sea, the simulation of irregular waves has great practical importance to the study of interactions between waves and structures. Based on the potential flow theory and high-order boundary element method (HOBEM), a Fortran code is developed in this paper and named as SWBI (Solver for Wave–Body Interactions). This program consists of the following two parts: a time–domain numerical model about interactions between waves and 3D structures is based on weakly nonlinear method, and a numerical model about simulation of the nonlinear regular waves, the long-crested irregular waves, and the short-crested irregular waves. This Fortran code is used to simulate the motion of Floating Production Storage and Offloading (FPSO) under three different ocean wave spectra (including ITTC two-parameters spectrum, JONSWAP spectrum and the most likely spectral form of Ochi-Hubble) and found that: To a certain extent, the difference in the motion of FPSO under different wave spectra have a connection with different type of wave, sea conditions and incident angle. The difference in roll of FPSO is quite significant in short-crested irregular waves. The range of FPOS’s roll under the JONSWAP spectrum is the largest when the incident angle is 30°, and range of FPOS’s roll under the most likely spectral form of Ochi-Hubble is the largest when the incident angle is 90°. Full article
(This article belongs to the Section Ocean Engineering)
Show Figures

Figure 1

21 pages, 3075 KB  
Article
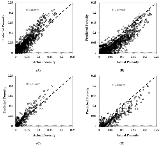
Integration of Multiple Bayesian Optimized Machine Learning Techniques and Conventional Well Logs for Accurate Prediction of Porosity in Carbonate Reservoirs
by Saad Alatefi, Reda Abdel Azim, Ahmad Alkouh and Ghareb Hamada
Processes 2023, 11(5), 1339; https://doi.org/10.3390/pr11051339 - 26 Apr 2023
Cited by 23 | Viewed by 3115
Abstract
The accurate estimation of reservoir porosity plays a vital role in estimating the amount of hydrocarbon reserves and evaluating the economic potential of a reservoir. It also aids decision making during the exploration and development phases of oil and gas fields. This study [...] Read more.
The accurate estimation of reservoir porosity plays a vital role in estimating the amount of hydrocarbon reserves and evaluating the economic potential of a reservoir. It also aids decision making during the exploration and development phases of oil and gas fields. This study evaluates the integration of artificial intelligence techniques, conventional well logs, and core analysis for the accurate prediction of porosity in carbonate reservoirs. In general, carbonate reservoirs are characterized by their complex pore systems, with the wide spatial variation and highly nonlinear nature of their petrophysical properties. Therefore, they require detailed well-log interpretations to accurately estimate their properties, making them good candidates for the application of machine learning techniques. Accordingly, a large database of (2100) well-log records and core-porosity measurements were integrated with four state-of-the-art machine learning techniques (multilayer perceptron artificial neural network, MLP-ANN; Gaussian process regression, GPR; least squares gradient boosting ensemble, LS-Boost; and radial basis function neural network, RBF-NN) for the prediction of reservoir porosity. The well-log data used in this study include sonic acoustic travel time, Gamma-ray, and bulk density log records, which were carefully collected from five wells in a carbonate reservoir. This study revealed that all the artificial intelligence models achieved high accuracy, with R-squared values exceeding 90% during both the training and blind-testing phases. Among the AI models examined, the GPR model outperformed the others in terms of the R-squared values, root-mean-square error (RMSE), and coefficient of variation of the root-mean-square error (CVRMSE). Furthermore, this study introduces an artificially intelligent AI-based correlation for the estimation of reservoir porosity from well-log data; this correlation was developed using an in-house, Fortran-coded MLP-ANN model presented herein. This AI-based correlation gave a promising level of accuracy, with R-squared values of 92% and 90% for the training and blind-testing datasets, respectively. This correlation can serve as an accurate and easy-to-use tool for porosity prediction without any prior experience in utilizing or implementing machine learning models. Full article
(This article belongs to the Section Energy Systems)
Show Figures

Graphical abstract

25 pages, 6862 KB  
Article
Experimental and Theoretical Investigations of a Modified Single-Slope Solar Still with an External Solar Water Heater
by Naseer T. Alwan, Sergey E. Shcheklein, Obed Majeed Ali, Milia H. Majeed and Ephraim Bonah Agyekum
Sustainability 2021, 13(22), 12414; https://doi.org/10.3390/su132212414 - 10 Nov 2021
Cited by 17 | Viewed by 4409
Abstract
One of the key impediments to the wide utilization of solar water desalination systems is limited production. Hence, this study aims at increasing the thermal performance of a single-slope solar still by increasing the surface area of evaporation and absorption exposed to sunlight. [...] Read more.
One of the key impediments to the wide utilization of solar water desalination systems is limited production. Hence, this study aims at increasing the thermal performance of a single-slope solar still by increasing the surface area of evaporation and absorption exposed to sunlight. A hollow rotating cylinder was installed inside the still structure; this modified system was then joined with an outside solar water heater for productivity improvement. The obtained results show that a 0.5 rpm rotational speed ensured that the cylinder’s surface was kept wet. A mathematical model has been formulated using the finite difference method and the Fortran 90 programming language to assess the thermal performance productivity of two solar stills (conventional solar still (CSS) and modified solar still (MSS)) modelled under different conditions. The experimental and theoretical results are well agreed, with an error of 6.14%. The obtained results show that the maximum productivity recorded in July 2019 was about 11.1 L/m2 from the MSS and 2.8 L/m2 from the CSS, with an improvement rate ranging between 286% and 300% during June, July, August, and September 2019. The production cost per liter of distilled water from the modified and conventional solar stills was 0.0302 USD/L and 0.0312 USD/L, respectively, which indicates a noticeable reduction in the cost of distillate water production. Full article
Show Figures

Figure 1

8 pages, 8641 KB  
Article
Tree2C: A Flexible Tool for Enabling Model Deployment with Special Focus on Cheminformatics Applications
by Alessandro Pedretti, Angelica Mazzolari, Silvia Gervasoni and Giulio Vistoli
Appl. Sci. 2020, 10(21), 7704; https://doi.org/10.3390/app10217704 - 30 Oct 2020
Cited by 5 | Viewed by 2461
Abstract
Despite the increasing role played by artificial intelligence methods (AI) in pharmaceutical sciences, model deployment remains an issue, which only can be addressed with great difficulty. This leads to a marked discrepancy between the number of published predictive studies based on AI methods [...] Read more.
Despite the increasing role played by artificial intelligence methods (AI) in pharmaceutical sciences, model deployment remains an issue, which only can be addressed with great difficulty. This leads to a marked discrepancy between the number of published predictive studies based on AI methods and the models, which can be used for new predictions by everyone. On these grounds, the present paper describes the Tree2C tool which automatically translates a tree-based predictive model into a source code with a view to easily generating applications which can run as a standalone software or can be inserted into an online web service. Moreover, the Tree2C tool is implemented within the VEGA environment and the generated program can include the source code to calculate the required attributes/descriptors. Tree2C supports various programming languages (i.e., C/C++, Fortran 90, Java, JavaScript, JScript, Lua, PHP, Python, REBOL and VBScript and C-Script). Along with a detailed description of the major features of this tool, the paper also describes two examples which are aimed to predict the blood–brain barrier (BBB) permeation as well as the mutagenicity. They permit a clear evaluation of the potentials of Tree2C and of its related features as implemented by the VEGA suite of programs. The Tree2C tool is available for free. Full article
(This article belongs to the Section Chemical and Molecular Sciences)
Show Figures

Figure 1

11 pages, 526 KB  
Article
PlanetCARMA: A New Framework for Studying the Microphysics of Planetary Atmospheres
by Erika Barth
Atmosphere 2020, 11(10), 1064; https://doi.org/10.3390/atmos11101064 - 6 Oct 2020
Cited by 8 | Viewed by 3117
Abstract
The Community Aerosol and Radiation Model for Atmospheres (CARMA) has been updated to apply to atmospheres of the Solar System outside of Earth. CARMA, as its name suggests, is a coupled aerosol microphysics and radiative transfer model and includes the processes of nucleation, [...] Read more.
The Community Aerosol and Radiation Model for Atmospheres (CARMA) has been updated to apply to atmospheres of the Solar System outside of Earth. CARMA, as its name suggests, is a coupled aerosol microphysics and radiative transfer model and includes the processes of nucleation, condensation, evaporation, coagulation, and vertical transport. Previous model versions have been applied separately to the atmospheres of Solar System bodies and extrasolar planets. The primary advantage to PlanetCARMA is that the core physics routines each reside in their own self-contained modules and can be turned on/off as desired while a separate planet module supplies all the necessary parameters to apply the model run to a particular planet (or planetary body). So a single codebase is used for all planetary studies. PlanetCARMA has also been updated to Fortran 90 modular format. Examples of outer solar system atmosphere applications are shown. Full article
(This article belongs to the Special Issue Modeling and Simulation of Planetary Atmospheres)
Show Figures

Figure 1

15 pages, 1768 KB  
Article
Characteristics of Suspended Sediment Loadings under Asian Summer Monsoon Climate Using the Hydrological Simulation Program-FORTRAN
by Ji-Hong Jeon, Chan-Gi Park, Donghyuk Choi and Taedong Kim
Sustainability 2017, 9(1), 44; https://doi.org/10.3390/su9010044 - 28 Dec 2016
Cited by 5 | Viewed by 4254
Abstract
The extreme variation in the amount of annual precipitation and rainfall during single events is typical of the East Asian monsoon climate and may greatly influence the characteristics of the suspended sediment load. The turbidity in Lake Imha which is the eighth largest [...] Read more.
The extreme variation in the amount of annual precipitation and rainfall during single events is typical of the East Asian monsoon climate and may greatly influence the characteristics of the suspended sediment load. The turbidity in Lake Imha which is the eighth largest multipurpose dam in Korea has been the cause of major water quality problems for use as drinking water. The turbidity rose to 882 NTU, and it remained over 30 NTU continuously for 170 days during 2002, as the result of significant amounts of soil erosion from the watershed during the Asian monsoon typhoon. In this study, characteristics of suspended sediment loadings under the Asian summer monsoon climate was investigated by comparing the variation of yearly suspended sediment loads and the ratio of maximum suspended sediment loads in a single event to yearly suspended sediment load from Lake Imha watershed using the Hydrologic Simulation Program-FORTRAN (HSPF). The model calibration is performed according to the 2009–2010 events, and simulation results characterized suspended sediment loadings under the Asian summer monsoon climate for 2001–2010. Water sampling and flow rate measurements were performed every 4–6 h, and calibration was performed using hourly simulated sediment loads. The calibration results demonstrated good agreement with the observed data. The characteristics of suspended sediment loadings under the Asian summer monsoon climate are a high variance of the yearly suspended sediment load and a significant of amount of suspended sediment load during a single event influenced by the typhoon intensity. The maximum yearly suspended sediment load was 10 times higher than the minimum yearly value. About half of the yearly suspended sediment load was loaded with a single event under the Asian summer monsoon climate and the ratio of suspended sediment loads by a single event to total yearly loads ranged from 29% to 90%. Structural best management practices (BMPs) to trap suspended sediment in stormwater such as stormwater ponds or wetlands rely on much more storage volume or area and non-structural BMPs to minimize soil erosion by source control such as mulching or revegetation in disturbed areas, which are important BMPs, especially in the Asian summer monsoon region. Full article
(This article belongs to the Section Sustainable Urban and Rural Development)
Show Figures

Figure 1

9 pages, 548 KB  
Article
Numerical Solution of Improper Integrals with Valid Implementation
by Saeid Abbasbandy and Mohammad Ali Fariborzi Araghi
Math. Comput. Appl. 2002, 7(1), 83-91; https://doi.org/10.3390/mca7010083 - 1 Apr 2002
Cited by 18 | Viewed by 2806
Abstract
In this paper, two theorems are explained which are used in order to find the improper integral I = ({int_a^infty})f(x)dx numerically. It has been proved in [4], one can use the Trapezoidal and Simpson rules to find the [...] Read more.
In this paper, two theorems are explained which are used in order to find the improper integral I = ({int_a^infty})f(x)dx numerically. It has been proved in [4], one can use the Trapezoidal and Simpson rules to find the definite integral Im = ({int_a^infty})f(x)dx numerically using the CESTAC (Control et Estimation Stochastique des Arrondis de Calculs ) method which is based on the stochastic arithmetic, [5-8,12]. These theorems are developed on the improper integrals. Then, the CESTAC method and stochastic arithmetic are used to validate the results and implement the numerical examples. By using this method, one can find the optimal integer number m ≥ 1 such that I ~ Im. In the last section two examples are solved. The programs have been provided with Fortran 90. Full article
Back to TopTop