Sign in to use this feature.

Years

Between: -

Subjects

remove_circle_outline
remove_circle_outline
remove_circle_outline
remove_circle_outline
remove_circle_outline
remove_circle_outline
remove_circle_outline
remove_circle_outline
remove_circle_outline

Journals

Article Types

Countries / Regions

Search Results (138)

Search Parameters:
Keywords = Florida Keys

Order results
Result details
Results per page
Select all
Export citation of selected articles as:
26 pages, 17304 KB  
Article
Refining Public DEMs for Urban Waterlogging Simulation via Vector–Raster Integration
by Bo Han, Xiaoman Qi, Xiaotong Qi and Yuebin Wang
Remote Sens. 2026, 18(7), 1080; https://doi.org/10.3390/rs18071080 - 3 Apr 2026
Viewed by 233
Abstract
The Digital Elevation Model (DEM), a crucial data source for waterlogging simulations, significantly influences the accuracy of the results. In complex urban environments, low-resolution DEMs cannot accurately capture the depressional characteristics of city roads or water levels during river floods, leading to distorted [...] Read more.
The Digital Elevation Model (DEM), a crucial data source for waterlogging simulations, significantly influences the accuracy of the results. In complex urban environments, low-resolution DEMs cannot accurately capture the depressional characteristics of city roads or water levels during river floods, leading to distorted urban flooding simulations. To this end, this study developed a novel technique to refine the public 30 m resolution DEM to 1 m resolution for the urban area. The method establishes a zero-flood-depth baseline by correcting the elevations of key elements to improve the accuracy of urban inundation simulations. This is achieved through a semi-automated vector–raster integration workflow, which includes (1) road elevation correction that classifies road vectors, samples elevation at end points, and applies linear interpolation to depict roads as depressions and (2) waterway elevation correction that raises riverbed levels to match adjacent banks, simulating a pre-flood critical state. Polk County in Florida, USA, and the Central Business District (CBD) in Beijing, China, were selected as the research areas. In Polk County, we directly verified its accuracy using the official 1m LiDAR DEM. The results show that the mean error (ME), the root mean square error (RMSE), and the Standard Deviation (SD) improved by approximately 9%, 20%, and 65%, respectively, compared with previous methods. In Beijing, we used a volume matching algorithm to simulate urban flood depths under different rainfall scenarios, indirectly validating the results by comparing the simulated inundation volumes with the theoretical rainfall amounts. The refinement of the DEM significantly improved the topological accuracy of the river channels and the reliability of flood depths, and we analyzed two types of water accumulation behavior patterns. Overall, this study innovatively integrates public raster and vector data, utilizing known attribute information to refine public datasets and construct a highly precise water accumulation model. Full article
(This article belongs to the Section Urban Remote Sensing)
Show Figures

Figure 1

14 pages, 2672 KB  
Article
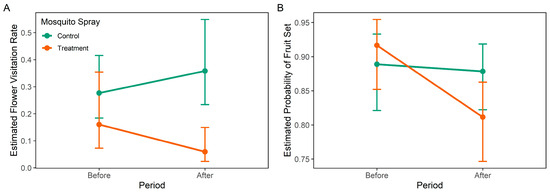
Indirect Effects of Mosquito-Control Insecticides on Pollinator Visitation and Reproductive Success of Flowering Plants in the Florida Keys
by Brittany M. Harris and Suzanne Koptur
Appl. Sci. 2026, 16(7), 3488; https://doi.org/10.3390/app16073488 - 3 Apr 2026
Viewed by 132
Abstract
Efforts to chemically manage mosquito populations often unintentionally impact beneficial insects, particularly pollinators. A decline in pollinator activity can lead to reduced pollination success, diminished fruit and seed production, and increased self-fertilization, which may compromise genetic diversity—especially in rare plant species. This study [...] Read more.
Efforts to chemically manage mosquito populations often unintentionally impact beneficial insects, particularly pollinators. A decline in pollinator activity can lead to reduced pollination success, diminished fruit and seed production, and increased self-fertilization, which may compromise genetic diversity—especially in rare plant species. This study examined three yellow-flowered plant species, from distinct families and with different floral structures, across three islands in the Florida Keys. These islands contain conservation areas adjacent to residential zones where mosquito insecticides are routinely applied. Using field observations of pollinator visitation and fruit set in three plant species across control and insecticide-exposed sites, we evaluated whether mosquito-control spraying reduces plant reproductive success. Observations made before and after spraying revealed that flowers blooming post-treatment received fewer visits from pollinators. Notably, fruit production declined in species reliant on pollinators for reproduction. The findings suggest that insecticide use near protected habitats poses a significant risk to pollinator-dependent plants. For species unable to self-pollinate effectively, this could result in reduced reproductive output and threaten long-term survival. Full article
Show Figures

Figure 1

12 pages, 1120 KB  
Article
Phosphorus Rate Optimization for Snap Bean on Florida’s Sandy Soils: A Multi-Year Linear–Plateau Analysis
by Elena Máximo Salgado, Md. Jahidul Islam Shohag, Nurjahan Sriti and Guodong Liu
Agriculture 2026, 16(7), 749; https://doi.org/10.3390/agriculture16070749 - 28 Mar 2026
Viewed by 326
Abstract
Phosphorus availability is extremely limited in Florida’s sandy soils due to intense sorption by aluminum (Al), iron (Fe) oxides, and fertilizer retention. Current fertilization recommendations do not account for P-fixation, a defining characteristic of Florida’s soils. Site-specific and multi-year yield-based thresholds for snap [...] Read more.
Phosphorus availability is extremely limited in Florida’s sandy soils due to intense sorption by aluminum (Al), iron (Fe) oxides, and fertilizer retention. Current fertilization recommendations do not account for P-fixation, a defining characteristic of Florida’s soils. Site-specific and multi-year yield-based thresholds for snap bean under these conditions have not been established. This study is among the first to derive yield-based thresholds from a multi-year linear–plateau model using nonlinear mixed-effects modeling that accounts for stochastic variability across sites and years, thereby defining a threshold range for this crop in this soil system. This work assessed snap bean (Phaseolus vulgaris L.) pod yield responses to phosphorus fertilization from 2022 to 2025. Field experiments employing increasing P2O5 rates and fertilizer sources were conducted. Hastings and Citra were selected to represent sandy soil conditions across northeast and north-central Florida’s commercial snap bean production areas, where soil tests consistently indicated elevated extractable Al and Fe in the rhizosphere, key drivers of P fixation and fertilizer demand. At low-to-moderate P2O5 rates, yield increased linearly over site-years before plateauing. A breakpoint of 215.6 kg ha−1 P2O5 was found in Hastings by the multi-year model. A single-year fit at Citra in 2025 revealed a breakpoint of 265.7 kg ha−1 P2O5. Confidence intervals were wide due to year and plot variability, with values of 148.2–283 kg ha−1 P2O5. When all site-years were pooled, the population-level breakpoint was estimated at 223.5 kg ha−1 P2O5, with 90% and 95% model estimates of maximum yield obtained at about 164 and 194 kg ha−1 P2O5, respectively. These findings provide a fertilizer range for snap bean production in Florida’s sandy soils under similar conditions, with implications for regional fertilizer guidelines. Full article
(This article belongs to the Section Crop Production)
Show Figures

Figure 1

16 pages, 6453 KB  
Article
Tornado Impact and the Built Environment: The Development of an Integrated Risk-Exposure and Spatial Modeling Metric
by Mehmet Burak Kaya, Onur Alisan, Eren Erman Ozguven and Ren Moses
Geographies 2026, 6(1), 32; https://doi.org/10.3390/geographies6010032 - 14 Mar 2026
Viewed by 361
Abstract
Tornadoes pose growing threats to both communities and the built environment, yet few studies have quantified how spatial characteristics of the built environment interact with social and economic factors while influencing tornado impacts. This paper introduces an integrated metric that combines tornado risk [...] Read more.
Tornadoes pose growing threats to both communities and the built environment, yet few studies have quantified how spatial characteristics of the built environment interact with social and economic factors while influencing tornado impacts. This paper introduces an integrated metric that combines tornado risk and exposure to evaluate localized disaster impact. Focusing on Florida’s Panhandle, we examine how housing density and affordability, network connectivity, and urban form efficiency, together with demographic and socioeconomic attributes, shape tornado impacts at the U.S. census block group (CBG) level. To address spatial autocorrelation and non-stationarity, five statistical models were compared, including both global and local spatial regressions. The findings indicate that multiscale geographically weighted regression (MGWR) most effectively captures the spatial heterogeneity of tornado impacts. Built-environment and affordability factors show clear spatial heterogeneity— smart location indexand housing cost burden (h_ami) are positively associated with tornado impact in CBGs near Tallahassee and parts of Pensacola—suggesting amplified impacts in location-efficient urban areas where exposure is concentrated and affordability stress may limit preparedness and recovery. In contrast, network density is negatively associated with the impact of key clusters, consistent with the idea that denser, more redundant road networks can reduce canopy-weighted disruption by providing alternative routes for emergency access and restoration. Overall, these findings can inform our understanding of how the built environment influences tornado exposure, offering critical insights for planners and policymakers seeking to strengthen communities against tornadoes. Full article
Show Figures

Figure 1

24 pages, 10247 KB  
Article
A Segmented Adaptive Filtering Method for Nearshore Bathymetry Using ICESat-2 Dataset
by Yifu Chen, Ziqiang Wang, Wuxing Song, Yuan Le, Liqin Zhou, Haichao Guo, Lin Wu and Lin Yi
Remote Sens. 2026, 18(4), 568; https://doi.org/10.3390/rs18040568 - 11 Feb 2026
Viewed by 380
Abstract
Equipped with an Advanced Topographic Laser Altimeter System (ATLAS), ICESat-2 (Ice, Cloud and land Elevation Satellite-2) is a photon-counting laser altimetry mission with strong potential for nearshore bathymetry. In this study, a novel filtering and bathymetric method termed a segmented adaptive filtering bathymetry [...] Read more.
Equipped with an Advanced Topographic Laser Altimeter System (ATLAS), ICESat-2 (Ice, Cloud and land Elevation Satellite-2) is a photon-counting laser altimetry mission with strong potential for nearshore bathymetry. In this study, a novel filtering and bathymetric method termed a segmented adaptive filtering bathymetry has been proposed. Sea-surface photons are identified from peaks in the elevation-density histogram, enabling separation of surface and seafloor photons. The seafloor photons are then partitioned into along-track segments, where seafloor signal photons are extracted using an adaptive elliptical kernel whose parameters and orientation are determined from local density patterns and seafloor slope. The seafloor profile is obtained by polynomial fitting, and nearshore depth is estimated from the elevations of the surface and seafloor signal photons. To ensure and improve the accuracy and reliability of the proposed method, ICESat-2 data from Qilianyu Islands at the South China Sea and West Island at the Florida Keys of the United States were adopted to perform experiments. Furthermore, the bathymetric results obtained by ICESat-2 datasets at different experimental areas were compared with the reference bathymetry obtained by the airborne light detection and ranging (LiDAR) bathymetry (ALB) system. Finally, the bathymetric accuracy validation and assessment were performed. The highest accuracy of root mean square error (RMSE) and coefficient of determination (R2) has reached 0.37 m and 98%, respectively. The accuracy validation of bathymetric results at different study areas demonstrated that the method proposed in this study can automatically and effectively achieve high-precision nearshore bathymetry and topographic surveys. Full article
Show Figures

Figure 1

28 pages, 7335 KB  
Article
Long- Versus Short-Term Changes in Seafloor Elevation and Volume of the Upper Florida Keys Reef Tract: 1935–2002 and 2002–2016
by Selena A. Johnson, David G. Zawada, Kimberly K. Yates and Connor M. Jenkins
Remote Sens. 2026, 18(3), 463; https://doi.org/10.3390/rs18030463 - 1 Feb 2026
Viewed by 853
Abstract
Coral reefs provide immense ecosystem and economic value, supporting biodiversity, fisheries, tourism, and coastal protection worth billions annually. However, widespread degradation from thermal stress, storms, disease, and human impacts has caused significant coral cover and reef structure loss, increasing coastal vulnerability and economic [...] Read more.
Coral reefs provide immense ecosystem and economic value, supporting biodiversity, fisheries, tourism, and coastal protection worth billions annually. However, widespread degradation from thermal stress, storms, disease, and human impacts has caused significant coral cover and reef structure loss, increasing coastal vulnerability and economic risks. While coral loss is well-documented, degradation of underlying reef infrastructure and surrounding seafloor changes remain poorly understood. This study addresses this knowledge gap by quantifying seafloor elevation and volume changes across 234.2 km2 of the Upper Florida Keys (UFK) reef tract using historical bathymetric and modern lidar (light detection and ranging) data collected from two periods with distinctly different disturbance regimes: 1935–2002 (frequent storms and major coral loss) and 2002–2016 (few storms and persistently low coral cover). Analysis of over 25,000 data points revealed substantial elevation and volume loss during 1935–2002 (−0.1 ± 0.8 m; 13.6 × 106 m3 net loss), shifting to minimal gains by 2002–2016 (0.0 ± 0.3 m; 1.6 × 106 m3 net gain). Despite this shift, benthic cover data showed continued declines in stony coral, with increases in macroalgae and octocorals, indicating that limited reef accretion persists even with reduced storm activity. Spatial analyses highlighted variable accretion and erosion patterns across habitats and subregions, underscoring the limitations of localized measurements for ecosystem-wide assessments. Our findings demonstrate the value of integrating historical and modern datasets for regional reef monitoring, establishing baselines for restoration planning, and emphasizing the need for continued high-resolution monitoring to guide adaptive management amid ongoing environmental change. Full article
Show Figures

Figure 1

30 pages, 6863 KB  
Article
Explainable Deep Learning and Edge Inference for Chilli Thrips Severity Classification in Strawberry Canopies
by Uchechukwu Ilodibe, Daeun Choi, Sriyanka Lahiri, Changying Li, Daniel Hofstetter and Yiannis Ampatzidis
Agriculture 2026, 16(2), 252; https://doi.org/10.3390/agriculture16020252 - 19 Jan 2026
Viewed by 521
Abstract
Traditional plant scouting is often a costly and labor-intensive task that requires experienced specialists to diagnose and manage plant stresses. Artificial intelligence (AI), particularly deep learning and computer vision, offers the potential to transform scouting by enabling rapid, non-intrusive detection and classification of [...] Read more.
Traditional plant scouting is often a costly and labor-intensive task that requires experienced specialists to diagnose and manage plant stresses. Artificial intelligence (AI), particularly deep learning and computer vision, offers the potential to transform scouting by enabling rapid, non-intrusive detection and classification of early stress symptoms from plant images. However, deep learning models are often opaque, relying on millions of parameters to extract complex nonlinear features that are not interpretable by growers. Recently, eXplainable AI (XAI) techniques have been used to identify key spatial regions that contribute to model predictions. This project explored the potential of convolutional neural networks (CNNs) for classifying the severity of chilli thrips damage in strawberry plants in Florida and employed XAI techniques to interpret model decisions and identify symptom-relevant canopy features. Four CNN architectures, YOLOv11, EfficientNetV2, Xception, and MobileNetV3, were trained and evaluated using 2353 square RGB canopy images of different sizes (256, 480, 640 and 1024 pixels) to classify symptoms as healthy, moderate, or severe. Trade-offs between image size, model parameter count, inference speed, and accuracy were examined in determining the best-performing model. The models achieved accuracies ranging from 77% to 85% with inference times of 5.7 to 262.3 ms, demonstrating strong potential for real-time pest severity estimation. Gradient-Weighted Class Activation Mapping (Grad-CAM) visualization revealed that model attention focused on biologically relevant regions such as fruits, stems, leaf edges, leaf surfaces, and dying leaves, areas commonly affected by chilli thrips. Subsequent analysis showed that model attention spread from localized regions in healthy plants to wide diffuse regions in severe plants. This alignment between model attention and expert scouting logic suggests that CNNs internalize symptom-specific visual cues and can reliably classify pest-induced plant stress. Full article
Show Figures

Graphical abstract

30 pages, 9805 KB  
Article
Is Satellite-Derived Bathymetry Vertical Accuracy Dependent on Satellite Mission and Processing Method?
by Monica Palaseanu-Lovejoy, Jeffrey Danielson, Minsu Kim, Bryan Eder, Gretchen Imahori and Curt Storlazzi
Remote Sens. 2026, 18(2), 195; https://doi.org/10.3390/rs18020195 - 6 Jan 2026
Viewed by 625
Abstract
This research focusses on three satellite-derived bathymetry methods and optical satellite instruments: (1) a stereo photogrammetry bathymetry module (SaTSeaD) developed for the NASA Ames stereo pipeline open-source software (version 3.6.0) using stereo WorldView data; (2) physics-based radiative transfer equations (PBSDB) using Landsat data; [...] Read more.
This research focusses on three satellite-derived bathymetry methods and optical satellite instruments: (1) a stereo photogrammetry bathymetry module (SaTSeaD) developed for the NASA Ames stereo pipeline open-source software (version 3.6.0) using stereo WorldView data; (2) physics-based radiative transfer equations (PBSDB) using Landsat data; and (3) a modified composite band-ratio method for Sentinel-2 (SatBathy) with an initial simplified calibration, followed by a more rigorous linear regression against in situ bathymetry data. All methods were tested in three different areas with different geological and environmental conditions, Cabo Rojo, Puerto Rico; Key West, Florida; and Cocos Lagoon and Achang Flat Reef Preserve, Guam. It is demonstrated that all satellite derived bathymetry (SDB) methods have increased accuracy when the results are aligned with higher-accuracy ICESat-2 ATL24 track bathymetry data using the iterative closest point (ICP). SDB vertical accuracy depends more on location characteristics than the method or optical satellite instrument used. All error metrics considered (mean absolute error, median absolute deviation, and root mean square error) can be less than 5% of the maximum bathymetry depth penetration for at least one method, although not necessarily for the same method for all sites. The SDB error distribution tends to be bimodal irrespective of method, satellite instrument, alignment, site, or maximum bathymetry depth, leading to the potential ineffectiveness of traditional error metrics, such as the root mean square error. However, our analysis demonstrates that performing detrending where possible can achieve an error distribution as close to normality as possible for which error metrics are more diagnostic. Full article
Show Figures

Graphical abstract

11 pages, 1046 KB  
Article
Patterns of Species Dominance in Two Coastal Restorations: Evidence of Sustained Seagrass Success over Long Time Scales
by Susan S. Bell and Kasey L. MacLeod
Diversity 2025, 17(12), 832; https://doi.org/10.3390/d17120832 - 2 Dec 2025
Viewed by 526
Abstract
Restoration in coastal settings by reconstructing seagrass coverage after widespread loss has generally been monitored over a short time, with few studies extending ≥5 years. We assemble monitoring data available from two seagrass restoration areas in Florida, USA, to examine community development of [...] Read more.
Restoration in coastal settings by reconstructing seagrass coverage after widespread loss has generally been monitored over a short time, with few studies extending ≥5 years. We assemble monitoring data available from two seagrass restoration areas in Florida, USA, to examine community development of benthic macrophytes from 1989 to 2025 after planting of the early successional seagrass, Halodule wrightii. Using field data collected at varying intervals, we (1) examined patterns of species persistence, investigating species replacement or persistence of benthic macrophyte taxa and (2) compared temporal patterns of species dominance in restored versus nearby natural reference sites. The pattern and tempo of seagrass expansion by H. wrightii at each of the two restoration areas differed. At Lassing Park, episodes of H. wrightii dominance were intermixed with a period of multi-species composition and co-dominance. After a bloom of the macroalga, Caulerpa prolifera, displaced seagrass in 2006, H. wrightii quickly recolonized the restoration site. At Shell Key, H. wrightii was the only species recorded at the restoration site over two decades. Species dominance by H. wrightii was recorded in both restoration and natural sites. Our findings illustrate the value of long-term monitoring for evaluating the resilience of restoration efforts and adopting extended monitoring programs. Such efforts would be enhanced by the genesis of innovative ideas for data collection and new methods for following the post-planting of seagrass. Full article
Show Figures

Figure 1

38 pages, 5688 KB  
Article
Seasonal and Spatial Microbial Community Dynamics Along the Shallow Southwest Florida Continental Shelf
by Trevor R. Tubbs, Robert Marlin Smith, Adam B. Catasus, Puspa L. Adhikari, James G. Douglass and Hidetoshi Urakawa
Coasts 2025, 5(4), 47; https://doi.org/10.3390/coasts5040047 - 2 Dec 2025
Viewed by 1383
Abstract
Microbial communities play a crucial role in coastal ecosystem function, yet their seasonal and spatial dynamics in response to environmental change remain underexplored in tropical and subtropical regions. This yearlong study investigated microbial composition in water, sinking particles, and sediments along an inshore–offshore [...] Read more.
Microbial communities play a crucial role in coastal ecosystem function, yet their seasonal and spatial dynamics in response to environmental change remain underexplored in tropical and subtropical regions. This yearlong study investigated microbial composition in water, sinking particles, and sediments along an inshore–offshore gradient influenced by the Caloosahatchee River Estuary in southwest Florida. The region has been altered by rapid coastal development and was struck by Hurricane Ian in September 2022. Environmental parameters exhibited significant spatiotemporal variation, shaping microbial beta diversity in all habitats. Sediment communities showed the greatest hurricane-induced disruption but returned to pre-disturbance conditions within six months. Dominant microbial classes included Alphaproteobacteria, Bacteroidia, and Gammaproteobacteria. Biogeochemical cycling taxa displayed strong habitat specificity, such as Desulfobulbia which dominated sinking particles, Desulfobacteria which was abundant in sediments, and Nitrosomonadaceae and Nitrosopumilaceae which were key nitrifiers in water and sediments, respectively. Particle–sediment taxonomic overlap suggests resuspension processes. Several inshore microbial indicators were consistently present across microbial habitats, especially at estuarine sites, suggesting the estuary as a microbial diversity reservoir for the coastal zone. These results highlight the value of long-term microbial monitoring to understand ecosystem change and resilience in dynamic coastal environments. Full article
Show Figures

Figure 1

30 pages, 711 KB  
Article
Coevolving Citizen Science, Bats, and Urban Planning to Support More-Than-Human Healthy Cities: Lessons from Florida
by Nicole Sarver, Glen Cousquer and Peter Lurz
Environments 2025, 12(11), 438; https://doi.org/10.3390/environments12110438 - 13 Nov 2025
Viewed by 1489
Abstract
Urbanisation has resulted in habitat degradation and destruction for native bat species in Florida, USA, posing a continuing threat to bat populations and ecosystem health. Citizen science has been documented to fill population data gaps and outline bat responses to urbanisation, but an [...] Read more.
Urbanisation has resulted in habitat degradation and destruction for native bat species in Florida, USA, posing a continuing threat to bat populations and ecosystem health. Citizen science has been documented to fill population data gaps and outline bat responses to urbanisation, but an understanding of how this influences societal perceptions of bats and can shape and evolve urban planning initiatives are under-researched and poorly understood. This paper explores how citizen science could contribute to urban planning for bat conservation. A literature review of citizen science projects and native species’ responses to urbanisation mapped the current situation and was supplemented by an analysis of semi-structured interviews with three key informants in the field of bat conservation. Only four of Florida’s thirteen species were featured in the citizen science projects reported in the literature. There was a clear lack of attention to the impact of urbanisation on these species, demonstrating a need for reimagining how data collection and public participation can be improved. An analysis of interviews identified themes of evolving individual perspectives and complex societal connections whose interdependence and coevolution influences the success of both citizen science and urban planning. Understanding this coevolution of society and bat conservation alongside our current knowledge could provide future opportunities for bat-friendly urban planning in Florida with the potential for this to be framed in terms of healthy more-than-human cities. Full article
Show Figures

Figure 1

16 pages, 5009 KB  
Article
Influence of Major Hurricanes “Helene” and “Milton” in 2024 on EVA of the Long Ocean Water Level Record at Key West, USA
by Phil J. Watson
Coasts 2025, 5(4), 41; https://doi.org/10.3390/coasts5040041 - 1 Nov 2025
Cited by 1 | Viewed by 1228
Abstract
This paper investigates the influence of back-to-back major hurricanes “Helene” and “Milton” which devastated south-eastern regions of the USA in 2024, and the extent to which associated storm surges influenced Extreme Value Analysis (EVA) of the long ocean water level record at Key [...] Read more.
This paper investigates the influence of back-to-back major hurricanes “Helene” and “Milton” which devastated south-eastern regions of the USA in 2024, and the extent to which associated storm surges influenced Extreme Value Analysis (EVA) of the long ocean water level record at Key West, Florida dating back to 1913. The highest recorded storm surge of 890 mm was recorded during a major hurricane event in October 1944, approximately 56 mm higher than the peak of the surge recorded at Key West during hurricane “Wilma” in 2005. Reanalysis of 2023 published EVA results for Key West indicate that despite the devastation of “Helene” and “Milton”, the super-elevation of the ocean water surface above Mean Sea Level (MSL) recorded at the Key West tidal facility during these hurricanes were at or below that which would be expected around once per annum. The timing and location of the peak of the storm surge with high predicted tides is no more than coincidental but remain the governing factors behind realizing record-breaking water levels over the historical record. Full article
Show Figures

Figure 1

12 pages, 1099 KB  
Article
Biocontrol Potential of a Commercially Available Predator Rhyzobius lophanthae Blaisdell (Coleoptera: Coccinellidae) Against Diaphorina citri Kuwayama (Hemiptera: Liviidae)
by Gabriel Rodrigo Rugno and Jawwad A. Qureshi
Insects 2025, 16(11), 1083; https://doi.org/10.3390/insects16111083 - 23 Oct 2025
Viewed by 1844
Abstract
Diaphorina citri Kuwayama is a key pest of citrus and insect vector of Huanglongbing (HLB), also known as citrus greening disease, causing significant losses in Florida and other regions. The naturally occurring effective ladybeetle predators and their impact on D. citri reduced from [...] Read more.
Diaphorina citri Kuwayama is a key pest of citrus and insect vector of Huanglongbing (HLB), also known as citrus greening disease, causing significant losses in Florida and other regions. The naturally occurring effective ladybeetle predators and their impact on D. citri reduced from years of insecticide use against this pest and are not available commercially. Additionally, most species are large-sized, while most eggs and neonates of D. citri are in hard-to-reach locations such as unopened leaves, which makes access difficult for them. We evaluated a commercially available small-sized predatory ladybeetle Rhyzobius lophanthae Blaisdell against D. citri immatures. A single adult consumed an average of 24.9 eggs and 8.7 first and second instar nymphs of D. citri within 24 h. Beetles exhibited Type II functional response against nymphs with an attack rate of 0.92 h−1 and a handling time of 0.08 h. Their consumption rate increased with nymphal density up to twenty per shoot. In the field test, beetles lived 10 days longer when confined with new shoots infested with D. citri immatures in a voile fabric sleeve cage in citrus trees every two days, versus seven days. In an open field release of R. lophanthae in a citrus orchard, these ladybeetles were found foraging in sentinel and neighboring trees infested with D. citri. The consumption rate of R. lophanthae on D. citri immatures and its survival in Florida orchards suggest its potential for biological control and Integrated Pest Management. Full article
Show Figures

Figure 1

37 pages, 864 KB  
Entry
Classifying Cyber Ranges: A Case-Based Analysis Using the UWF Cyber Range
by Emily Miller, Dustin Mink, Peyton Spellings, Sikha S. Bagui and Subhash C. Bagui
Encyclopedia 2025, 5(4), 162; https://doi.org/10.3390/encyclopedia5040162 - 10 Oct 2025
Cited by 2 | Viewed by 2576
Definition
To address the gaps in cyber range survey research, this entry develops and applies a structured classification taxonomy to support the comparison, evaluation, and design of cyber ranges. The entry will address the following question: What are the objectives and key features of [...] Read more.
To address the gaps in cyber range survey research, this entry develops and applies a structured classification taxonomy to support the comparison, evaluation, and design of cyber ranges. The entry will address the following question: What are the objectives and key features of current cyber ranges, and how can they be classified into a comprehensive taxonomy? The entry synthesizes existing frameworks and analyzes and classifies a variety of documented cyber ranges to find similarities and gaps in the current classification methods. The findings indicate recurring design elements across ranges, persistent gaps in standardization, and demonstrate how the University of West Florida (UWF) Cyber Range exemplifies the taxonomy application in practice. The goal is to facilitate informed decision-making by cybersecurity professionals when choosing platforms and to support academic research in cybersecurity education. Pulling information from studies about other cyber ranges to compare with the UWF Cyber Range, this taxonomy aims to contribute to the documentation of cyber ranges by providing a clear understanding of the current cyber range landscape. Full article
(This article belongs to the Section Mathematics & Computer Science)
Show Figures

Figure 1

22 pages, 1222 KB  
Article
Codon Usage Bias of the Polyphenol Oxidase Genes in Camellia sinensis: A Comprehensive Analysis
by Yeşim Aktürk Dizman
Plants 2025, 14(19), 3074; https://doi.org/10.3390/plants14193074 - 4 Oct 2025
Cited by 2 | Viewed by 1185
Abstract
Tea, a widely consumed beverage globally, is a vital agricultural product for many countries. Polyphenol oxidases (PPOs), copper-containing enzymes found in plants, fungi, and animals, are essential for physiological metabolism and enzymatic browning in tea plants (Camellia sinensis). Codon usage bias [...] Read more.
Tea, a widely consumed beverage globally, is a vital agricultural product for many countries. Polyphenol oxidases (PPOs), copper-containing enzymes found in plants, fungi, and animals, are essential for physiological metabolism and enzymatic browning in tea plants (Camellia sinensis). Codon usage bias (CUB), a key evolutionary characteristic, offers valuable insights into species evolution and gene function. However, the codon usage patterns of Camellia sinensis polyphenol oxidase (CsPPO) genes remain undocumented. In this study, we conducted, for the first time, a comprehensive analysis of CUB in 24 CsPPO genes, comparing their CUB profiles with those of other Camellia species (Camellia lanceoleosa, Camellia nitidissima, Camellia ptilophylla) and non-Camellia species (Actinidia chinensis, Cornus florida, Rhododendron vialii) to elucidate potential evolutionary relationships and functional constraints influencing CUB. Nucleotide composition analysis revealed an AT-rich bias, with a preference for G/C-ending codons at the third position. Codon usage indices indicated low expression levels and weak CUB. RSCU and RFSC analyses revealed that the preferred and high-frequency codons were mostly G/C-ending. Codon usage frequency analysis suggested Zea mays as a suitable host for CsPPO gene expression. ENC-GC3s, PR2, and neutrality plots showed natural selection had a stronger impact than mutation on CUB. Additionally, measure independent of length and composition (MILC) values confirmed low PPO gene expression levels, and correlation analyses demonstrated that both nucleotide composition and gene expression affect CUB. Overall, codon usage in CsPPO genes is mainly shaped by natural selection, with weak bias and low expression potential, providing useful insights for future genetic engineering and heterologous expression. Full article
(This article belongs to the Special Issue Plant Genetic Diversity and Molecular Evolution)
Show Figures

Figure 1

Back to TopTop