Sign in to use this feature.

Years

Between: -

Subjects

remove_circle_outline
remove_circle_outline
remove_circle_outline
remove_circle_outline
remove_circle_outline
remove_circle_outline
remove_circle_outline
remove_circle_outline
remove_circle_outline

Journals

Article Types

Countries / Regions

Search Results (51)

Search Parameters:
Keywords = FFGS

Order results
Result details
Results per page
Select all
Export citation of selected articles as:
24 pages, 1394 KB  
Article
Archived Historical Aquatic Macroinvertebrate Specimens Suggest Connections Between Microplastic Abundance Patterns, Trophic Traits, and Land Use
by Rachel E. McNeish, Marisa D. Macchia, Nicole M. Lee, Austin T. Harrison, Alexandra J. Brown, John K. Jackson and John R. Wallace
Insects 2026, 17(4), 386; https://doi.org/10.3390/insects17040386 - 2 Apr 2026
Viewed by 792
Abstract
Plastic pollution is ubiquitous in the environment, with microplastics (particles < 5 mm) a worldwide emergent contaminant of concern; however, no studies have explored historical patterns in freshwater macroinvertebrates in connection to species traits and changes in land use. We measured microplastics in [...] Read more.
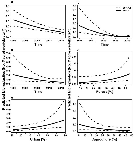
Plastic pollution is ubiquitous in the environment, with microplastics (particles < 5 mm) a worldwide emergent contaminant of concern; however, no studies have explored historical patterns in freshwater macroinvertebrates in connection to species traits and changes in land use. We measured microplastics in macroinvertebrates collected from 1998–2019 at six forest, urban, and agriculture dominated streams in the Schuylkill River watershed (PA, USA). We selected representative macroinvertebrates that underwent peroxide oxidation digestion and were examined for microplastics under a dissecting microscope with Rose Bengal dye to confirm microplastic identification. Microplastics were present in 134 individuals across 24 taxa and all functional feeding groups (FFGs). Abundance of microplastics in macroinvertebrates decreased through time with an increase of agriculture land use, whereas microplastics increased with an increase of urban land use. Collector-gatherer FFG had the greatest microplastic abundance, which may be linked to Elmidae and Psephenidae (Coleoptera), which tended to have the highest abundances of microplastics compared to all other taxa in some years. This relationship may be explained by the feeding mode of these families of macroinvertebrates and that gathering particles in the water column and scraping particles from biofilms may be similarly effective in the acquisition of microplastics. Overall, understanding microplastic temporal patterns and their connections to species traits and variations in land and water use is critical to developing a predictive framework for explaining microplastic abundance in the environment and interactions with aquatic biota. Full article
(This article belongs to the Section Insect Ecology, Diversity and Conservation)
Show Figures

Figure 1

10 pages, 1129 KB  
Article
Automated μFTIR Imaging Demonstrates Variability in Microplastic Ingestion by Aquatic Insects in a Remote Taiwanese Mountain Stream
by Yu-Cheng Wu, Chun-Hsuan Wei, Ming-Chih Chiu, Yu-Cheng Chen, Mei-Hwa Kuo and Vincent H. Resh
Environments 2026, 13(1), 3; https://doi.org/10.3390/environments13010003 - 19 Dec 2025
Viewed by 1476
Abstract
The use of focal plane array micro-Fourier transform infrared spectroscopy (FPA-μFTIR) enables high-resolution characterization of microplastics (MPs) in a wide variety of matrices, including both biotic and abiotic samples. However, this technique has not yet been applied to study MP ingestion in organisms [...] Read more.
The use of focal plane array micro-Fourier transform infrared spectroscopy (FPA-μFTIR) enables high-resolution characterization of microplastics (MPs) in a wide variety of matrices, including both biotic and abiotic samples. However, this technique has not yet been applied to study MP ingestion in organisms in areas with low MP pollution (e.g., national parks or protected areas). In this study, FPA-μFTIR was used to quantify MPs in the bodies of aquatic insects collected from a high-altitude stream (~2000 m) in Taiwan. Results showed that MP ingestion occurred in nearly all examined taxa, except for caddisfly (Trichoptera: Stenopsychidae) and dragonfly (Odonata: Gomphidae). The majority of MPs were smaller than 500 μm, and the dominant MP polymers identified were polyethylene (65%) and polypropylene (30%), which occurred mainly as fragments (83%) and, to a lesser extent, as fibers (17%). The highest number of MP particles was in the scraper functional-feeding group (FFG), while MPs were not detectable in collector–filterer FFG. The highest MP concentration (particles/individuals) was found in the waterpenny beetle Ectopria sp., followed by the mayflies Paraleptophlebia sp. and Epeorus erratus, and Chironomidae in the subfamily Tanypodinae. We suggest that using high-resolution FPA-μFTIR can be effectively applied to study and monitor MP ingestion in remote, pristine ecosystems. Full article
(This article belongs to the Special Issue Ecotoxicity of Microplastics)
Show Figures

Figure 1

19 pages, 2020 KB  
Article
A Low-Power SNN Processor Supporting On-Chip Learning for ECG Detection
by Jiada Mao, Youneng Hu, Fan Song, Yitao Li and De Ma
Electronics 2025, 14(24), 4923; https://doi.org/10.3390/electronics14244923 - 15 Dec 2025
Cited by 1 | Viewed by 602
Abstract
Traditional ECG detection devices are limited in their development due to the constraints of power consumption and differences in data sources. Currently, spiking neural networks (SNNs) have quickly attracted widespread attention owing to their low power consumption enabled by the event-driven nature and [...] Read more.
Traditional ECG detection devices are limited in their development due to the constraints of power consumption and differences in data sources. Currently, spiking neural networks (SNNs) have quickly attracted widespread attention owing to their low power consumption enabled by the event-driven nature and efficient learning capability inspired by the biological brain. This paper proposes a low-power SNN processor that supports on-chip learning. By implementing an efficient on-chip learning algorithm through hardware, adopting a two-layer dynamic neural network architecture, and utilizing an asynchronous communication interface for data transmission, the processor achieves excellent inference and learning performance while maintaining outstanding power efficiency. The proposed design was implemented and verified on Xilinx xc7z045ffg900. On the MIT-BIH database for ECG applications, it achieved an accuracy of 91.4%, with an inference power consumption of 62 mW and 215.53 μJ per classification. The designed processor is well-suited for ECG applications that demand low power consumption and environmental adaptability. Full article
(This article belongs to the Section Semiconductor Devices)
Show Figures

Figure 1

25 pages, 15963 KB  
Article
Real-Time Lossless Compression System for Bayer Pattern Images with a Modified JPEG-LS
by Xufeng Li, Li Zhou and Yan Zhu
Mathematics 2025, 13(20), 3245; https://doi.org/10.3390/math13203245 - 10 Oct 2025
Cited by 1 | Viewed by 1210
Abstract
Real-time lossless image compression based on the JPEG-LS algorithm is in high demand for critical missions such as satellite remote sensing and space exploration due to its excellent balance between complexity and compression rate. However, few researchers have made appropriate modifications to the [...] Read more.
Real-time lossless image compression based on the JPEG-LS algorithm is in high demand for critical missions such as satellite remote sensing and space exploration due to its excellent balance between complexity and compression rate. However, few researchers have made appropriate modifications to the JPEG-LS algorithm to make it more suitable for high-speed hardware implementation and application to Bayer pattern data. This paper addresses the current limitations by proposing a real-time lossless compression system specifically tailored for Bayer pattern images from spaceborne cameras. The system integrates a hybrid encoding strategy modified from JPEG-LS, combining run-length encoding, predictive encoding, and a non-encoding mode to facilitate high-speed hardware implementation. Images are processed in tiles, with each tile’s color channels processed independently to preserve individual channel characteristics. Moreover, potential error propagation is confined within a single tile. To enhance throughput, the compression algorithm operates within a 20-stage pipeline architecture. Duplication of computation units and the introduction of key-value registers and a bypass mechanism resolve structural and data dependency hazards within the pipeline. A reorder architecture prevents pipeline blocking, further optimizing system throughput. The proposed architecture is implemented on a XILINX XC7Z045-2FFG900C SoC (Xilinx, Inc., San Jose, CA, USA) and achieves a maximum throughput of up to 346.41 MPixel/s, making it the fastest architecture reported in the literature. Full article
(This article belongs to the Special Issue Complex System Dynamics and Image Processing)
Show Figures

Figure 1

20 pages, 1971 KB  
Article
FFG-YOLO: Improved YOLOv8 for Target Detection of Lightweight Unmanned Aerial Vehicles
by Tongxu Wang, Sizhe Yang, Ming Wan and Yanqiu Liu
Appl. Syst. Innov. 2025, 8(4), 109; https://doi.org/10.3390/asi8040109 - 4 Aug 2025
Viewed by 4435
Abstract
Target detection is essential in intelligent transportation and autonomous control of unmanned aerial vehicles (UAVs), with single-stage detection algorithms used widely due to their speed. However, these algorithms face limitations in detecting small targets, especially in aerial photography from unmanned aerial vehicles (UAVs), [...] Read more.
Target detection is essential in intelligent transportation and autonomous control of unmanned aerial vehicles (UAVs), with single-stage detection algorithms used widely due to their speed. However, these algorithms face limitations in detecting small targets, especially in aerial photography from unmanned aerial vehicles (UAVs), where small targets are often occluded, multi-scale semantic information is easily lost, and there is a trade-off between real-time processing and computational resources. Existing algorithms struggle to effectively extract multi-dimensional features and deep semantic information from images and to balance detection accuracy with model complexity. To address these limitations, we developed FFG-YOLO, a lightweight small-target detection method for UAVs based on YOLOv8. FFG-YOLO incorporates three modules: a feature enhancement block (FEB), a feature concat block (FCB), and a global context awareness block (GCAB). These modules strengthen feature extraction from small targets, resolve semantic bias in multi-scale feature fusion, and help differentiate small targets from complex backgrounds. We also improved the positioning accuracy of small targets using the Wasserstein distance loss function. Experiments showed that FFG-YOLO outperformed other algorithms, including YOLOv8n, in small-target detection due to its lightweight nature, meeting the stringent real-time performance and deployment requirements of UAVs. Full article
Show Figures

Figure 1

13 pages, 3222 KB  
Article
Effect of Flaxseed Gum on the Gelling and Structural Properties of Fish Gelatin
by Ting-Ting Wu, Ya-Ting Kuang, Chun-Yan Peng, Xin-Wu Hu, Ping Yuan, Xiao-Mei Sha and Zi-Zi Hu
Fishes 2025, 10(7), 346; https://doi.org/10.3390/fishes10070346 - 14 Jul 2025
Viewed by 1036
Abstract
Fish gelatin (FG) has garnered significant attention as an alternative to mammalian gelatin, primarily attributed to its distinct advantages. These include the absence of epidemic transmission risks and the lack of religious restrictions, making it a more universally acceptable and safer option. However, [...] Read more.
Fish gelatin (FG) has garnered significant attention as an alternative to mammalian gelatin, primarily attributed to its distinct advantages. These include the absence of epidemic transmission risks and the lack of religious restrictions, making it a more universally acceptable and safer option. However, its application is limited due to shortcomings such as insufficient gel properties (such as rheological properties, gel strength, etc.). In this study, flaxseed gum (FFG) of 0–1.2% w/v was used to modify FG. The rheological properties, structural characteristics, and chemical bond changes of FG before and after modification were systematically analyzed using instruments such as a rheometer, infrared spectrometer, and Zeta potential analyzer. The results revealed that an appropriate amount of FFG could increase the gel strength of FG, but excessive FFG (>0.4%) reduced its gel strength. Moreover, FFG could increase the gelation transition temperature and apparent viscosity of the composite gel. FTIR confirmed that FFG and FG were bound through hydrogen bonding, β-sheet structure formation, and multi-electrolyte complexation. The ESEM showed that FFG promoted the formation of a denser network structure of FG. This study laid a theoretical foundation for the application and development of FG in the field of high-gel foods. Full article
(This article belongs to the Special Issue Fish Processing and Preservation Technologies)
Show Figures

Graphical abstract

14 pages, 3500 KB  
Article
Taxonomic and Functional Responses of Macroinvertebrates to Hydrological Changes and Invasive Plants in an NW Patagonia Riparian Corridor (Argentina)
by Melina Mauad, Julieta Massaferro, Lyudmila Kamburska and Angela Boggero
Water 2025, 17(13), 1840; https://doi.org/10.3390/w17131840 - 20 Jun 2025
Viewed by 1034
Abstract
This study assessed the taxonomic and functional diversity of aquatic macroinvertebrate communities in Chacabuco stream, a 5500 ha pioneering open conservation ranch of Nahuel Huapi National Park in Argentina, focusing on the effects of seasonal hydrological regimes along a willow-invaded corridor. Sampling was [...] Read more.
This study assessed the taxonomic and functional diversity of aquatic macroinvertebrate communities in Chacabuco stream, a 5500 ha pioneering open conservation ranch of Nahuel Huapi National Park in Argentina, focusing on the effects of seasonal hydrological regimes along a willow-invaded corridor. Sampling was conducted during the spring of 2018 and the summer and spring of 2019, covering high (spring) and low (summer) water levels. Results showed no significant differences in taxonomic diversity between hydrological periods (p = 0.6), and similar taxonomic diversity during the low- and high-water periods of 2019 due to an extreme drought event. Functional diversity varied significantly (p = 0.009) between hydrological periods, and a significant difference in taxonomic diversity between invasive and native plots (p = 0.0001, R = 0.53) was found, while functional diversity revealed less distinction (p = 0.02, R = 0.08). Functional diversity does not follow the same pattern, showing opportunistic taxa such as predators and collectors equally present during both periods, sign of resilience of these FFGs over the others. This pioneering study in the region highlighted the importance of exploring both taxonomic and functional diversity in riparian ecosystems to assess the impact of seasonal hydrological regimes along a willow-invaded corridor and develop a more comprehensive understanding of riparian ecosystem health. Full article
(This article belongs to the Section Biodiversity and Functionality of Aquatic Ecosystems)
Show Figures

Figure 1

20 pages, 2759 KB  
Article
Blockchain Applications in Green Finance for Transparency and Accountability in Sustainable Investments
by Ting Li, Wei Theng Lau and Mohamed Hisham Dato Haji Yahya
Sustainability 2025, 17(6), 2520; https://doi.org/10.3390/su17062520 - 13 Mar 2025
Cited by 5 | Viewed by 5576
Abstract
The integration of blockchain (BC), artificial intelligence (AI), and green finance (GF) to promote sustainable investments and tackle environmental issues is examined in this study. By employing sophisticated analytical methods, the study seeks to pinpoint the main forces behind GF growth, especially in [...] Read more.
The integration of blockchain (BC), artificial intelligence (AI), and green finance (GF) to promote sustainable investments and tackle environmental issues is examined in this study. By employing sophisticated analytical methods, the study seeks to pinpoint the main forces behind GF growth, especially in the field of renewable energy. To guarantee reliable statistical analysis, financial data from Taiwanese companies listed on the stock exchange between 2000 and 2020 are examined using the Generalized Method of Moments (GMM). Furthermore, to make use of AI’s potential to pinpoint the key elements affecting GF development and investment, attention-based convolutional neural networks (CNNs) are used. The links between GF, BC, and AI are analyzed and visualized using a novel method called the Financial Filtered Graph (FFG). The results of the study demonstrate that by increasing the precision of investment forecasts and identifying critical factors that affect GF growth, AI-driven solutions can greatly improve the sustainability of green finance strategies. The suggested methodology effectively supports sustainable investment decisions, as evidenced by its remarkable 98.8% classification accuracy. According to the findings, integrating AI and BC has a lot of potential to enhance green finance’s accountability, transparency, and decision-making processes, all of which will support long-term economic and environmental sustainability. Full article
Show Figures

Figure 1

29 pages, 965 KB  
Article
Reputation Consensus Mechanism for Blockchain Based on Information-Centric Networking
by Yufei Zhou, Rui Han and Yang Li
Electronics 2025, 14(6), 1099; https://doi.org/10.3390/electronics14061099 - 11 Mar 2025
Cited by 3 | Viewed by 3530
Abstract
The integration of blockchain with Information-Centric Networking (ICN) enhances content distribution efficiency in areas such as the Internet of Things (IoT) and 5G/6G communications. This integration implies that the network state information of ICN can significantly impact consensus efficiency. However, the Ethereum Casper [...] Read more.
The integration of blockchain with Information-Centric Networking (ICN) enhances content distribution efficiency in areas such as the Internet of Things (IoT) and 5G/6G communications. This integration implies that the network state information of ICN can significantly impact consensus efficiency. However, the Ethereum Casper FFG consensus algorithm overlooks the network heterogeneity among consensus nodes, leading to a potential bottleneck in consensus efficiency, especially when nodes with inferior network quality participate. To address this issue, this paper proposes a multidimensional reputation model based on an ICN-enabled blockchain architecture. The model combines on-chain stake and network contributions to evaluate the reputation of ICN consensus nodes. Furthermore, a reputation-based hybrid consensus mechanism, RepuICN, is introduced, which enhances the network layer of the Casper FFG algorithm. This mechanism selects higher-reputation ICN consensus nodes as proposers for checkpoint blocks, mitigating the impact of network latency fluctuations on block propagation. Additionally, RepuICN improves block propagation efficiency through ICN multicast and caching techniques. Simulation results show that, under identical conditions with a network of 5000 nodes and 2% ICN nodes, RepuICN reduces broadcast latency by 17% for regular blocks and 61.4% for checkpoint blocks and achieves 3.4 times higher transaction throughput than Casper FFG. Full article
(This article belongs to the Section Networks)
Show Figures

Figure 1

17 pages, 2942 KB  
Article
Response of Trichoptera and Oligochaeta Communities to Modifications of Mountain River Channels with Low-Head Barriers
by Ewa Szarek-Gwiazda, Elżbieta Dumnicka, Bronisław Szczęsny, Andrzej Kownacki and Dariusz Ciszewski
Water 2025, 17(3), 404; https://doi.org/10.3390/w17030404 - 1 Feb 2025
Cited by 1 | Viewed by 1069
Abstract
The responses of benthic fauna to channel modifications of mountain rivers by low-head barriers are poorly understood. The study aimed (1) to estimate the impact of two different low-head barrier types: concrete sills and block ramps, on Oligochaeta and Trichoptera communities in two [...] Read more.
The responses of benthic fauna to channel modifications of mountain rivers by low-head barriers are poorly understood. The study aimed (1) to estimate the impact of two different low-head barrier types: concrete sills and block ramps, on Oligochaeta and Trichoptera communities in two small Carpathian rivers (Porębianka and Mszanka) in southern Poland, and (2) to determine changes in these communities in the mountain Porębianka River after 50 years by comparing current data with historical data. Both types of channel modifications led to a transformation from lotic to more lentic habitats. The research shows that habitat conditions and induced bed siltation greatly influenced the studied communities. In both rivers, the taxa richness and dominant taxa of Oligochaeta and Trichoptera were similar, alongside similar species compositions of Trichoptera. However, the river with the lower bed siltation rate had a higher Trichoptera density and a greater diversity in their density among habitats. After 50 years, the taxonomic richness of Oligochaeta and Trichoptera remained similar, unlike the considerable shift in their species compositions. Many species typical of mountain rivers have been replaced by species more tolerant to siltation, characteristic of lowland rivers. The family Tubificidae (Oli-gochaeta) and the genus Hydropsyche (Trichoptera) became dominant in both rivers in the early 2020s. Additionally, the functional feeding group (FFG) of Trichoptera changed considerably. Oligochaeta and Trichoptera communities serve as valuable indicators for moni-toring the environmental changes in these ecosystems. Full article
(This article belongs to the Section Biodiversity and Functionality of Aquatic Ecosystems)
Show Figures

Figure 1

25 pages, 11119 KB  
Article
Flood Hazard Assessment Using Weather Radar Data in Athens, Greece
by Apollon Bournas and Evangelos Baltas
Remote Sens. 2025, 17(1), 72; https://doi.org/10.3390/rs17010072 - 28 Dec 2024
Cited by 4 | Viewed by 3952
Abstract
Weather radar plays a critical role in flash flood forecasting, providing an effective and comprehensive guide for the identification of possible flood-prone areas. However, the utilization of radar precipitation data remains limited in current research and applications, particularly in addressing flash flood hazards [...] Read more.
Weather radar plays a critical role in flash flood forecasting, providing an effective and comprehensive guide for the identification of possible flood-prone areas. However, the utilization of radar precipitation data remains limited in current research and applications, particularly in addressing flash flood hazards in complex environments such as in Athens, Greece. To address this gap, this study introduces the Gridded Flash Flood Guidance (GFFG) method, a short-term flash flood forecasting and warning technology based on radar precipitation and hydrological model coupling, and implements it in the region of Athens, Greece. The GFFG system improves upon the traditional flash flood guidance (FFG) concept by better integrating the weather radar dataset’s spatial and temporal flexibility, leading to increased resolution results. Results from six flood events underscore its ability to identify high-risk areas dynamically, with urban regions frequently flagged for flooding unless initial soil moisture conditions are low. Moreover, the sensitivity analysis of the system showed that the most crucial parameter apart from rainfall input is the soil moisture conditions, which define the amount of effective rainfall. This study highlights the significance of incorporating radar precipitation and real-time soil moisture assessments to improve flood prediction accuracy and provide valuable flood risk assessments. Full article
(This article belongs to the Special Issue Remote Sensing Applications in Flood Forecasting and Monitoring)
Show Figures

Figure 1

12 pages, 2424 KB  
Article
Community Structural and Functional Features of Benthic Macroinvertebrates in a Cascade-Dams River
by Mengyue Zhang, Guangxia Shang and Sen Ding
Diversity 2024, 16(12), 772; https://doi.org/10.3390/d16120772 - 19 Dec 2024
Cited by 4 | Viewed by 2364
Abstract
Dam construction disrupts river continuity, and alters hydrological dynamics and the distributional composition of aquatic organisms. Understanding the spatial distribution of aquatic communities following dam construction is crucial for the effective management and restoration of riverine ecosystems. This study focused on the macroinvertebrate [...] Read more.
Dam construction disrupts river continuity, and alters hydrological dynamics and the distributional composition of aquatic organisms. Understanding the spatial distribution of aquatic communities following dam construction is crucial for the effective management and restoration of riverine ecosystems. This study focused on the macroinvertebrate community of the Hanjiang River during the low-flow period, and explored the relationship between water quality indices and bioindicators. The results revealed significant changes in both the composition and functional feeding groups (FFGs) of macroinvertebrate communities from the upper to the lower reaches of the river. Compared to the natural reach, the dam-affected reaches showed a decrease in the number of sensitive taxa of Ephemeroptera, Plecoptera, and Trichoptera (EPT), and an increase in the number of moderate tolerant taxa of Gastropoda and tolerant taxa of Oligochaeta. The collector-gatherers (CGs) dominated in the Hanjiang River. In the dam-affected reaches, the relative abundance of collector-filterers (CFs) and shredders (SHs) appeared to decrease, while that of scrapers (SCs) and CGs increased. Principal component analysis (PCA) revealed that latitude and dissolved oxygen (DO) played a crucial role in the spatial pattern of macroinvertebrates, and the biotic index (BI) and family biotic index (FBI) more accurately reflected the level of organic pollution in the Hanjiang River. The findings of this study are valuable for ecological management and biodiversity conservation following dam construction. Full article
(This article belongs to the Special Issue Freshwater Zoobenthos Biodiversity, Evolution and Ecology)
Show Figures

Figure 1

14 pages, 442 KB  
Article
Correlations and Variations Between the Major Biochemical Parameters of the Blood of Hybrid Swine
by Sergei Yu. Zaitsev, Oksana A. Voronina, Nikita S. Kolesnik, Anastasia A. Savina and Aloyna A. Zelenchenkova
Animals 2024, 14(20), 3002; https://doi.org/10.3390/ani14203002 - 17 Oct 2024
Viewed by 1276
Abstract
In modern animal husbandry, increasing attention is given to mathematical modeling and statistical methods, especially for evaluating commercial hybrids. Our aim was to evaluate the phenotypic and genetic variability of biochemical parameters of blood serum of the 56 hybrid boars (Large White × [...] Read more.
In modern animal husbandry, increasing attention is given to mathematical modeling and statistical methods, especially for evaluating commercial hybrids. Our aim was to evaluate the phenotypic and genetic variability of biochemical parameters of blood serum of the 56 hybrid boars (Large White × Landrace × Duroc) raised in feeding stations (Russia) through mathematical modeling. The particular variances and covariances of traits were calculated using the limited maximum likelihood model and the REMLF90 programs. A narrow range of variability was found for major biochemical parameters in relationship with the “FFG-factor” (“fattening period × final live weight × gain”), including the majority of the metabolites (p ≤ 0.05). The highest values of the genetic correlations were observed for the “total protein” parameter with albumins (0.78), globulins (0.94), creatinine (0.99), and enzymes: AST (0.98), ALT (0.80), etc. Phenotypic and genetic relationships showed fairly high correlation coefficients (0.5–0.8). It is important to emphasize that most of the studied amino acids (alanine, arginine, aspartic acid and asparagine, glutamic acid and glutamine, glycine, isoleucine, leucine, serine, threonine, tyrosine, valine) were significantly associated with the “FFG-factor” (p ≤ 0.05). The proposed approach provides reliable data on metabolite variability and correlations. Full article
(This article belongs to the Section Pigs)
17 pages, 3772 KB  
Article
The Spatiotemporal Variation and Ecological Evaluation of Macroinvertebrate Functional Feeding Groups in the Upper Yellow River
by Peilun Li, Shuhan Xiong, Jiacheng Liu, Tai Wang, Yanbin Liu, Kai Liu, Yongjie Wang and Jilong Wang
Biology 2024, 13(10), 791; https://doi.org/10.3390/biology13100791 - 2 Oct 2024
Cited by 2 | Viewed by 2151
Abstract
Against the backdrop of hydropower development in the upper Yellow River, comprehending the spatiotemporal variation and ecological evaluation of macroinvertebrate functional feeding groups (FFGs) is paramount for the conservation and restoration of aquatic biological resources in watersheds. Detailed surveys of macroinvertebrates were conducted [...] Read more.
Against the backdrop of hydropower development in the upper Yellow River, comprehending the spatiotemporal variation and ecological evaluation of macroinvertebrate functional feeding groups (FFGs) is paramount for the conservation and restoration of aquatic biological resources in watersheds. Detailed surveys of macroinvertebrates were conducted in the gorge and plain areas of the upper Yellow River in July 2022 and March, May, and October 2023, culminating in the identification of 65 taxonomic units (genus or species) spanning 4 phyla, 14 orders, and 35 families. Of these, 41 taxonomic units were discovered in the gorge areas and 57 in the plain areas. Among the FFGs of macroinvertebrates in the upper Yellow River, collector-gatherers were overwhelmingly dominant, followed by scrapers, collector-filterers, predators, and shredders. Concerning river section types, dominant species in the gorge areas included Gammarus sp., Limnodrilus hoffmeisteri, and Polypedilum sp. among collector-gatherers, while in the plain areas, dominant species included Ecdyonurus sp. among scrapers, Hydropsyche sp. among collector-filterers, and Gammarus sp., Limnodrilus hoffmeisteri, and Chironomus sp. among collector-gatherers. A Mantel test revealed that dissolved oxygen, conductivity, and orthophosphate were the primary environmental factors affecting the FFGs of macroinvertebrates in the upper Yellow River, with variations observed in their effects across different months. The evaluation results of the Hilsenhoff Biological Index and Shannon–Wiener Index indicate that the water quality of the upper Yellow River is at a moderate level. An assessment of the upper Yellow River ecosystem using FFG parameters demonstrated that macroinvertebrate biomass progressively increased from upstream (gorge areas) to downstream (plain areas) spatially, accompanied by increasing habitat stability, with cascade hydropower development identified as a key factor impacting habitat stability. These findings provide pertinent data and a theoretical foundation for the protection of aquatic biological resources and watershed management in the upper Yellow River. Full article
Show Figures

Figure 1

17 pages, 303 KB  
Article
Amino Acid Content in the Muscles of the Red Deer (Cervus elaphus) from Three Types of Feeding Grounds
by Anna Kasprzyk
Animals 2024, 14(19), 2763; https://doi.org/10.3390/ani14192763 - 25 Sep 2024
Cited by 1 | Viewed by 2496
Abstract
This study aimed to analyze the amino acid profile, with a particular focus on the nutritional value of the protein of the longissimus lumborum (LL) and the semimembranosus (SM) muscles of deer originating from three feeding grounds: forest (FFG); conventional (CFG) grounds; organic [...] Read more.
This study aimed to analyze the amino acid profile, with a particular focus on the nutritional value of the protein of the longissimus lumborum (LL) and the semimembranosus (SM) muscles of deer originating from three feeding grounds: forest (FFG); conventional (CFG) grounds; organic farm (OFG). This is the first time that deer from an organic farm feeding ground have been included in this study. The muscles were collected from 36 deer carcasses with equal proportions of sex and 31 months of age. This study demonstrated significantly higher essential amino acid (EAA) and non-essential amino acid (NEAA) contents in the muscles of deer from the FFG and CFG compared to the OFG. However, the EAA-to-NEAA ratio was significantly higher for the muscles of deer from the OFG. The muscles of the FFG and CFG deer were characterized by a higher concentration of lysine as well as acidic and tasty amino acids compared to the OFG deer, with the muscles of the latter exhibiting a higher percentage of branched-chain amino acids (BCAA). The results obtained can be used professionally by nutrition specialists in preventive and therapeutic diets and breeders to make decisions about farm location and deer feeding strategies. Full article
Back to TopTop