Sign in to use this feature.

Years

Between: -

Subjects

remove_circle_outline
remove_circle_outline
remove_circle_outline
remove_circle_outline
remove_circle_outline
remove_circle_outline
remove_circle_outline
remove_circle_outline

Journals

Article Types

Countries / Regions

Search Results (16)

Search Parameters:
Keywords = Exponential Smoothing (ES)

Order results
Result details
Results per page
Select all
Export citation of selected articles as:
19 pages, 2656 KB  
Article
A Novel Hybrid Temporal Fusion Transformer Graph Neural Network Model for Stock Market Prediction
by Sebastian Thomas Lynch, Parisa Derakhshan and Stephen Lynch
AppliedMath 2025, 5(4), 176; https://doi.org/10.3390/appliedmath5040176 - 8 Dec 2025
Cited by 1 | Viewed by 5269
Abstract
Forecasting stock prices remains a central challenge in financial modelling, as markets are influenced by market sentiment, firm-level fundamentals and complex interactions between macroeconomic and microeconomic factors, for example. This study evaluates the predictive performance of both classical statistical models and advanced attention-based [...] Read more.
Forecasting stock prices remains a central challenge in financial modelling, as markets are influenced by market sentiment, firm-level fundamentals and complex interactions between macroeconomic and microeconomic factors, for example. This study evaluates the predictive performance of both classical statistical models and advanced attention-based deep learning architectures for daily stock price forecasting. Using a dataset of major U.S. equities and Exchange Traded Funds (ETFs) covering 2012–2024, we compare traditional statistical approaches, Seasonal Autoregressive Integrated Moving Average (SARIMA) and Exponential Smoothing (ES) in the Error, Trend, Seasonal (ETS) framework, with deep learning architectures such as the Temporal Fusion Transformer (TFT), and a novel hybrid model, the TFT-Graph Neural Network (TFT-GNN), which incorporates relational information between assets. All models are assessed under consistent experimental conditions in terms of forecast accuracy, computational efficiency, and interpretability. Our results indicate that while statistical models offer strong baselines with high stability and low computational cost, the TFT outperforms them in capturing short-term nonlinear dependencies. The hybrid TFT-GNN achieves the highest overall predictive accuracy, demonstrating that relational signals derived from inter-asset connections provide meaningful enhancements beyond traditional temporal and technical indicators. These findings highlight the advantages of integrating relational learning into temporal forecasting frameworks and emphasise the continued relevance of statistical models as interpretable and efficient benchmarks for evaluating deep learning approaches in high-frequency financial prediction. Full article
Show Figures

Figure 1

19 pages, 654 KB  
Article
Optimizing Time Series Models for Forecasting Environmental Variables: A Rainfall Case Study
by Alexander D. Pulido-Rojano, Neyfe Sablón-Cossío, Jhoan Iglesias-Ortega, Sheila Ruiz-Berdugo, Silvia Torres-Cervantes and Josueth Durant-Daza
Water 2025, 17(19), 2863; https://doi.org/10.3390/w17192863 - 1 Oct 2025
Cited by 3 | Viewed by 1483
Abstract
The application of time series models for forecasting environmental variables such as precipitation is essential for understanding climatic patterns and supporting sustainable urban planning in environments characterized by high or moderate levels of risk. This study aims to evaluate and optimize time series [...] Read more.
The application of time series models for forecasting environmental variables such as precipitation is essential for understanding climatic patterns and supporting sustainable urban planning in environments characterized by high or moderate levels of risk. This study aims to evaluate and optimize time series forecasting models for rainfall prediction in Barranquilla, Colombia. To this end, five models were applied, namely, Simple Moving Average (SMA), Weighted Moving Average (WMA), Exponential Smoothing (ES), and multiplicative and additive Holt–Winters models, using 139 monthly precipitation records from the IDEAM database covering the period 2013–2025. Model accuracy was evaluated using Mean Absolute Error (MAE) and Mean Squared Error (MSE), and nonlinear optimization techniques were applied to estimate smoothing and weighting parameters for improved accuracy. The results showed that optimization significantly enhances model performance, particularly in the multiplicative Holt–Winters model, which achieved the lowest errors, with a minimum MAE of 75.33 mm and an MSE of 9647.07. The comparative analysis with previous studies demonstrated that even simple models can yield substantial improvements when properly optimized. Furthermore, forecasts optimized using MAE were more stable and consistent, whereas those optimized with MSE were more sensitive to extreme variations. Overall, the findings confirm that seasonal models with optimized parameters offer superior predictive capacity, making them valuable tools for hydrological risk management. Full article
(This article belongs to the Section Hydrology)
Show Figures

Figure 1

30 pages, 8853 KB  
Article
Research and Prediction Analysis of Key Factors Influencing the Carbon Dioxide Emissions of Countries Along the “Belt and Road” Based on Panel Regression and the A-A-E Coupling Model
by Xiang-Dong Feng, Xiang-Long Wang, Li Wen, Yao Yuan and Yu-Qin Zhang
Sustainability 2024, 16(24), 11014; https://doi.org/10.3390/su162411014 - 16 Dec 2024
Cited by 4 | Viewed by 1666
Abstract
With the in-depth implementation of China’s “Belt and Road” strategic policy, member countries along the Belt and Road have gained enormous economic benefits. Thus, it is important to accurately grasp the factors that affect carbon emissions and coordinate the relationship between economic development [...] Read more.
With the in-depth implementation of China’s “Belt and Road” strategic policy, member countries along the Belt and Road have gained enormous economic benefits. Thus, it is important to accurately grasp the factors that affect carbon emissions and coordinate the relationship between economic development and environmental protection, which can impact the living environment of people worldwide. In this study, the researchers gathered data from the World Bank database, identified key indicators significantly impacting carbon emissions, employed the Pearson correlation coefficient and random forest model to perform dimensionality reduction on these indicators, and subsequently assessed the refined data using a panel regression model to examine the correlation and significance of these indicators and carbon emissions across various country types. To ensure the stability of the results, three prediction models were selected for coupling analysis: the adaptive neuro-fuzzy inference system (ANFIS) from the field of machine learning, the autoregressive integrated moving average (ARIMA) model, and the exponential smoothing method prediction model (ES) from the field of time series prediction. These models were used to assess carbon emissions from 54 countries along the Belt and Road from 2021 to 2030, and a coupling formula was defined to integrate the prediction results. The findings demonstrated that the integrated prediction amalgamates the forecasting traits of the three approaches, manifesting remarkable stability. The error analysis also indicated that the short-term prediction results are satisfactory. This has substantial practical implications for China in terms of fine-tuning its foreign policy, considering the entire situation and planning accordingly, and advancing energy conservation and emission reduction worldwide. Full article
Show Figures

Figure 1

31 pages, 918 KB  
Review
A Review of Time-Series Forecasting Algorithms for Industrial Manufacturing Systems
by Syeda Sitara Wishal Fatima and Afshin Rahimi
Machines 2024, 12(6), 380; https://doi.org/10.3390/machines12060380 - 1 Jun 2024
Cited by 61 | Viewed by 30604
Abstract
Time-series forecasting is crucial in the efficient operation and decision-making processes of various industrial systems. Accurately predicting future trends is essential for optimizing resources, production scheduling, and overall system performance. This comprehensive review examines time-series forecasting models and their applications across diverse industries. [...] Read more.
Time-series forecasting is crucial in the efficient operation and decision-making processes of various industrial systems. Accurately predicting future trends is essential for optimizing resources, production scheduling, and overall system performance. This comprehensive review examines time-series forecasting models and their applications across diverse industries. We discuss the fundamental principles, strengths, and weaknesses of traditional statistical methods such as Autoregressive Integrated Moving Average (ARIMA) and Exponential Smoothing (ES), which are widely used due to their simplicity and interpretability. However, these models often struggle with the complex, non-linear, and high-dimensional data commonly found in industrial systems. To address these challenges, we explore Machine Learning techniques, including Support Vector Machine (SVM) and Artificial Neural Network (ANN). These models offer more flexibility and adaptability, often outperforming traditional statistical methods. Furthermore, we investigate the potential of hybrid models, which combine the strengths of different methods to achieve improved prediction performance. These hybrid models result in more accurate and robust forecasts. Finally, we discuss the potential of newly developed generative models such as Generative Adversarial Network (GAN) for time-series forecasting. This review emphasizes the importance of carefully selecting the appropriate model based on specific industry requirements, data characteristics, and forecasting objectives. Full article
(This article belongs to the Special Issue Smart Manufacturing and Industrial Automation)
Show Figures

Figure 1

18 pages, 5429 KB  
Article
Predicting Saudi Stock Market Index by Using Multivariate Time Series Based on Deep Learning
by Mutasem Jarrah and Morched Derbali
Appl. Sci. 2023, 13(14), 8356; https://doi.org/10.3390/app13148356 - 19 Jul 2023
Cited by 21 | Viewed by 13441
Abstract
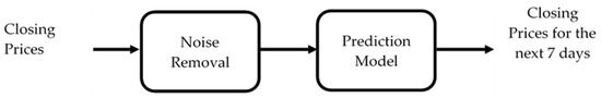
Time-series (TS) predictions use historical data to forecast future values. Various industries, including stock market trading, power load forecasting, medical monitoring, and intrusion detection, frequently rely on this method. The prediction of stock-market prices is significantly influenced by multiple variables, such as the [...] Read more.
Time-series (TS) predictions use historical data to forecast future values. Various industries, including stock market trading, power load forecasting, medical monitoring, and intrusion detection, frequently rely on this method. The prediction of stock-market prices is significantly influenced by multiple variables, such as the performance of other markets and the economic situation of a country. This study focuses on predicting the indices of the stock market of the Kingdom of Saudi Arabia (KSA) using various variables, including opening, lowest, highest, and closing prices. Successfully achieving investment goals depends on selecting the right stocks to buy, sell, or hold. The output of this project is the projected closing prices over the next seven days, which aids investors in making informed decisions. Exponential smoothing (ES) was employed in this study to eliminate noise from the input data. This study utilized exponential smoothing (ES) to eliminate noise from data obtained from the Saudi Stock Exchange, also known as Tadawul. Subsequently, a sliding-window method with five steps was applied to transform the task of time series forecasting into a supervised learning problem. Finally, a multivariate long short-term memory (LSTM) deep-learning (DL) algorithm was employed to predict stock market prices. The proposed multivariate LSTMDL model achieved prediction rates of 97.49% and 92.19% for the univariate model, demonstrating its effectiveness in stock market price forecasting. These results also highlight the accuracy of DL and the utilization of multiple information sources in stock-market prediction. Full article
(This article belongs to the Section Computing and Artificial Intelligence)
Show Figures

Figure 1

23 pages, 5260 KB  
Article
An Intelligent Early Flood Forecasting and Prediction Leveraging Machine and Deep Learning Algorithms with Advanced Alert System
by Israa M. Hayder, Taief Alaa Al-Amiedy, Wad Ghaban, Faisal Saeed, Maged Nasser, Ghazwan Abdulnabi Al-Ali and Hussain A. Younis
Processes 2023, 11(2), 481; https://doi.org/10.3390/pr11020481 - 5 Feb 2023
Cited by 56 | Viewed by 8611
Abstract
Flood disasters are a natural occurrence around the world, resulting in numerous casualties. It is vital to develop an accurate flood forecasting and prediction model in order to curb damages and limit the number of victims. Water resource allocation, management, planning, flood warning [...] Read more.
Flood disasters are a natural occurrence around the world, resulting in numerous casualties. It is vital to develop an accurate flood forecasting and prediction model in order to curb damages and limit the number of victims. Water resource allocation, management, planning, flood warning and forecasting, and flood damage mitigation all benefit from rain forecasting. Prior to recent decades’ worth of research, this domain demonstrated to be promising prospects in time series prediction tasks. Therefore, the main aim of this study is to build a forecasting model based on the exponential smoothing-long-short term memory (ES-LSTM) structure and recurrent neural networks (RNNs) for predicting hourly precipitation seasons; and classify the precipitation using an artificial neural network (ANN) model and decision tree (DT) algorithm. We employ the dataset from the Australian commonwealth office of meteorology named Historical Daily Weather dataset to test the effectiveness of the proposed model. The findings showed that the ES-LSTM and RNN had achieved 3.17 and 6.42 in terms of mean absolute percentage error (MAPE), respectively. Meanwhile, the ANN and DT models obtained a prediction accuracy rate of 96.65% and 84.0%, respectively. Finally, the outcomes revealed that ES-LSTM and ANN had achieved the best results compared to other models. Full article
(This article belongs to the Special Issue Trends of Machine Learning in Multidisciplinary Engineering Processes)
Show Figures

Figure 1

20 pages, 13188 KB  
Article
Evaluating State-of-the-Art, Forecasting Ensembles and Meta-Learning Strategies for Model Fusion
by Pieter Cawood and Terence Van Zyl
Forecasting 2022, 4(3), 732-751; https://doi.org/10.3390/forecast4030040 - 18 Aug 2022
Cited by 18 | Viewed by 7221
Abstract
The techniques of hybridisation and ensemble learning are popular model fusion techniques for improving the predictive power of forecasting methods. With limited research that instigates combining these two promising approaches, this paper focuses on the utility of the Exponential Smoothing-Recurrent Neural Network (ES-RNN) [...] Read more.
The techniques of hybridisation and ensemble learning are popular model fusion techniques for improving the predictive power of forecasting methods. With limited research that instigates combining these two promising approaches, this paper focuses on the utility of the Exponential Smoothing-Recurrent Neural Network (ES-RNN) in the pool of base learners for different ensembles. We compare against some state-of-the-art ensembling techniques and arithmetic model averaging as a benchmark. We experiment with the M4 forecasting dataset of 100,000 time-series, and the results show that the Feature-Based FORecast Model Averaging (FFORMA), on average, is the best technique for late data fusion with the ES-RNN. However, considering the M4’s Daily subset of data, stacking was the only successful ensemble at dealing with the case where all base learner performances were similar. Our experimental results indicate that we attain state-of-the-art forecasting results compared to Neural Basis Expansion Analysis (N-BEATS) as a benchmark. We conclude that model averaging is a more robust ensembling technique than model selection and stacking strategies. Further, the results show that gradient boosting is superior for implementing ensemble learning strategies. Full article
(This article belongs to the Special Issue Improved Forecasting through Artificial Intelligence)
Show Figures

Figure 1

46 pages, 14129 KB  
Article
Single or Combine? Tourism Demand Volatility Forecasting with Exponential Weighting and Smooth Transition Combining Methods
by Yuruixian Zhang, Wei Chong Choo, Jen Sim Ho and Cheong Kin Wan
Computation 2022, 10(8), 137; https://doi.org/10.3390/computation10080137 - 9 Aug 2022
Cited by 10 | Viewed by 7356
Abstract
Tourism forecasting has garnered considerable interest. However, integrating tourism forecasting with volatility is significantly less typical. This study investigates the performance of both the single models and their combinations for forecasting the volatility of tourism demand. The seasonal autoregressive integrated moving average (SARIMA) [...] Read more.
Tourism forecasting has garnered considerable interest. However, integrating tourism forecasting with volatility is significantly less typical. This study investigates the performance of both the single models and their combinations for forecasting the volatility of tourism demand. The seasonal autoregressive integrated moving average (SARIMA) model is used to construct the mean equation, and three single models, namely the generalized autoregressive conditional heteroscedasticity (GARCH) family models, the error-trend-seasonal exponential smoothing (ETS-ES) model, and the innovative smooth transition exponential smoothing (STES) model, are employed to estimate the volatility of monthly tourist arrivals into Malaysia. This study also assesses the accuracy of forecasts using simple average (SA), minimum variance (MV), and novel smooth transition (ST). STES performs the best of the single models for forecasting the out-of-sample of tourism demand volatility, followed closely by ETS-ES. In contrast, the ST combining method surpasses SA and MV. Interestingly, forecast combining methods do not always outperform the best single model, but they consistently outperform the worst single model. The MCS and DM tests confirm the aforementioned findings. This article merits consideration for future forecasting research on tourism demand volatility. Full article
Show Figures

Figure 1

21 pages, 2197 KB  
Article
A Comparative Assessment of Conventional and Artificial Neural Networks Methods for Electricity Outage Forecasting
by Adeniyi Kehinde Onaolapo, Rudiren Pillay Carpanen, David George Dorrell and Evans Eshiemogie Ojo
Energies 2022, 15(2), 511; https://doi.org/10.3390/en15020511 - 12 Jan 2022
Cited by 18 | Viewed by 3167
Abstract
The reliability of the power supply depends on the reliability of the structure of the grid. Grid networks are exposed to varying weather events, which makes them prone to faults. There is a growing concern that climate change will lead to increasing numbers [...] Read more.
The reliability of the power supply depends on the reliability of the structure of the grid. Grid networks are exposed to varying weather events, which makes them prone to faults. There is a growing concern that climate change will lead to increasing numbers and severity of weather events, which will adversely affect grid reliability and electricity supply. Predictive models of electricity reliability have been used which utilize computational intelligence techniques. These techniques have not been adequately explored in forecasting problems related to electricity outages due to weather factors. A model for predicting electricity outages caused by weather events is presented in this study. This uses the back-propagation algorithm as related to the concept of artificial neural networks (ANNs). The performance of the ANN model is evaluated using real-life data sets from Pietermaritzburg, South Africa, and compared with some conventional models. These are the exponential smoothing (ES) and multiple linear regression (MLR) models. The results obtained from the ANN model are found to be satisfactory when compared to those obtained from MLR and ES. The results demonstrate that artificial neural networks are robust and can be used to predict electricity outages with regards to faults caused by severe weather conditions. Full article
(This article belongs to the Special Issue Smart Grid Control and Optimization)
Show Figures

Figure 1

25 pages, 2145 KB  
Article
A Statistics and Deep Learning Hybrid Method for Multivariate Time Series Forecasting and Mortality Modeling
by Thabang Mathonsi and Terence L. van Zyl
Forecasting 2022, 4(1), 1-25; https://doi.org/10.3390/forecast4010001 - 22 Dec 2021
Cited by 35 | Viewed by 9974
Abstract
Hybrid methods have been shown to outperform pure statistical and pure deep learning methods at forecasting tasks and quantifying the associated uncertainty with those forecasts (prediction intervals). One example is Exponential Smoothing Recurrent Neural Network (ES-RNN), a hybrid between a statistical forecasting model [...] Read more.
Hybrid methods have been shown to outperform pure statistical and pure deep learning methods at forecasting tasks and quantifying the associated uncertainty with those forecasts (prediction intervals). One example is Exponential Smoothing Recurrent Neural Network (ES-RNN), a hybrid between a statistical forecasting model and a recurrent neural network variant. ES-RNN achieves a 9.4% improvement in absolute error in the Makridakis-4 Forecasting Competition. This improvement and similar outperformance from other hybrid models have primarily been demonstrated only on univariate datasets. Difficulties with applying hybrid forecast methods to multivariate data include (i) the high computational cost involved in hyperparameter tuning for models that are not parsimonious, (ii) challenges associated with auto-correlation inherent in the data, as well as (iii) complex dependency (cross-correlation) between the covariates that may be hard to capture. This paper presents Multivariate Exponential Smoothing Long Short Term Memory (MES-LSTM), a generalized multivariate extension to ES-RNN, that overcomes these challenges. MES-LSTM utilizes a vectorized implementation. We test MES-LSTM on several aggregated coronavirus disease of 2019 (COVID-19) morbidity datasets and find our hybrid approach shows consistent, significant improvement over pure statistical and deep learning methods at forecast accuracy and prediction interval construction. Full article
(This article belongs to the Special Issue Mortality Modeling and Forecasting)
Show Figures

Figure 1

14 pages, 789 KB  
Article
EBITDA Index Prediction Using Exponential Smoothing and ARIMA Model
by Lihki Rubio, Alejandro J. Gutiérrez-Rodríguez and Manuel G. Forero
Mathematics 2021, 9(20), 2538; https://doi.org/10.3390/math9202538 - 9 Oct 2021
Cited by 17 | Viewed by 5741
Abstract
Forecasting has become essential in different economic sectors for decision making in local and regional policies. Therefore, the aim of this paper is to use and compare performance of two linear models to predict future values of a measure of real profit for [...] Read more.
Forecasting has become essential in different economic sectors for decision making in local and regional policies. Therefore, the aim of this paper is to use and compare performance of two linear models to predict future values of a measure of real profit for a group of companies in the fashion sector, as a financial strategy to determine the economic behavior of this industry. With forecasting purposes, Exponential Smoothing (ES) and autoregressive integrated moving averages (ARIMA) models were used for yearly data. ES and ARIMA models are widely used in statistical methods for time series forecasting. Accuracy metrics were used to select the model with best performance and ES parameters. For the real profit measure of the financial performance of the fashion sector in Colombia EBITDA (Earnings Before Interest, Taxes, Depreciation, and Amortization) was used and was calculated using multiple SQL queries. Full article
Show Figures

Figure 1

11 pages, 573 KB  
Article
Convolutional Neural Network–Component Transformation (CNN–CT) for Confirmed COVID-19 Cases
by Juan Frausto-Solís, Lucía J. Hernández-González, Juan J. González-Barbosa, Juan Paulo Sánchez-Hernández and Edgar Román-Rangel
Math. Comput. Appl. 2021, 26(2), 29; https://doi.org/10.3390/mca26020029 - 12 Apr 2021
Cited by 9 | Viewed by 4005
Abstract
The COVID-19 disease constitutes a global health contingency. This disease has left millions people infected, and its spread has dramatically increased. This study proposes a new method based on a Convolutional Neural Network (CNN) and temporal Component Transformation (CT) called CNN–CT. This method [...] Read more.
The COVID-19 disease constitutes a global health contingency. This disease has left millions people infected, and its spread has dramatically increased. This study proposes a new method based on a Convolutional Neural Network (CNN) and temporal Component Transformation (CT) called CNN–CT. This method is applied to confirmed cases of COVID-19 in the United States, Mexico, Brazil, and Colombia. The CT changes daily predictions and observations to weekly components and vice versa. In addition, CNN–CT adjusts the predictions made by CNN using AutoRegressive Integrated Moving Average (ARIMA) and Exponential Smoothing (ES) methods. This combination of strategies provides better predictions than most of the individual methods by themselves. In this paper, we present the mathematical formulation for this strategy. Our experiments encompass the fine-tuning of the parameters of the algorithms. We compared the best hybrid methods obtained with CNN–CT versus the individual CNN, Long Short-Term Memory (LSTM), ARIMA, and ES methods. Our results show that our hybrid method surpasses the performance of LSTM, and that it consistently achieves competitive results in terms of the MAPE metric, as opposed to the individual CNN and ARIMA methods, whose performance varies largely for different scenarios. Full article
(This article belongs to the Special Issue Numerical and Evolutionary Optimization 2020)
Show Figures

Figure 1

22 pages, 4410 KB  
Article
A New BDS-2 Satellite Clock Bias Prediction Algorithm with an Improved Exponential Smoothing Method
by Ye Yu, Mo Huang, Changyuan Wang, Rui Hu and Tao Duan
Appl. Sci. 2020, 10(21), 7456; https://doi.org/10.3390/app10217456 - 23 Oct 2020
Cited by 9 | Viewed by 2727
Abstract
High-accuracy and dependable prediction of the bias of space-borne atomic clocks is extremely crucial for the normal operation of the satellites in the case of interrupted communication. Currently, the clock bias prediction for the Chinese BeiDou Navigation Satellite System (BDS) remains still a [...] Read more.
High-accuracy and dependable prediction of the bias of space-borne atomic clocks is extremely crucial for the normal operation of the satellites in the case of interrupted communication. Currently, the clock bias prediction for the Chinese BeiDou Navigation Satellite System (BDS) remains still a huge challenge. To develop a high-precision approach for forecasting satellite clock bias (SCB) in allusion to analyze the shortcomings of the exponential smoothing (ES) model, a modified ES model is proposed hereof, especially for BDS-2 satellites. Firstly, the basic ES models and their prediction mechanism are introduced. As the smoothing coefficient is difficult to determine, this leads to increasing fitting errors and poor forecast results. This issue is addressed by introducing a dynamic “thick near thin far (TNTF)” principle based on the sliding windows (SW) to optimize the best smoothing coefficient. Furthermore, to enhance the short-term forecasted accuracy of the ES model, the gray model (GM) is adopted to learn the fitting residuals of the ES model and combine the forecasted results of the ES model with the predicted results of the GM model from error learning (ES + GM). Compared with the single ES models, the experimental results show that the short-term forecast based on the ES + GM models is improved remarkably, especially for the combination of the three ES model and GM model (ES3 + GM). To further improve the medium-term prediction accuracy of the ES model, the new algorithms in ES with GM error learning based on the SW (ES + GM + SW) are presented. Through examples analysis, compared with the single ES2 (ES3) model, results indicate that (1) the average forecast precision of the new algorithms ES2 + GM + SW (ES3 + GM + SW) can be dramatically enhanced by 49.10% (56.40%) from 5.56 ns (6.77 ns) to 2.83 ns (2.95 ns); (2) the average forecast stability of the new algorithms ES2 + GM + SW (ES3 + GM + SW) is also observably boosted by 53.40% (49.60%) from 8.99 ns (16.13 ns) to 4.19 ns (8.13 ns). These new coupling forecast models proposed in this contribution are more effective in clock bias prediction both forecast accuracy and forecast stability. Full article
(This article belongs to the Section Aerospace Science and Engineering)
Show Figures

Figure 1

12 pages, 1806 KB  
Article
A New Period-Sequential Index Forecasting Algorithm for Time Series Data
by Hongyan Jiang, Dianjun Fang, Klaus Spicher, Feng Cheng and Boxing Li
Appl. Sci. 2019, 9(20), 4386; https://doi.org/10.3390/app9204386 - 17 Oct 2019
Cited by 7 | Viewed by 2758
Abstract
A period-sequential index algorithm with sigma-pi neural network technology, which is called the (SPNN-PSI) method, is proposed for the prediction of time series datasets. Using the SPNN-PSI method, the cumulative electricity output (CEO) dataset, Volkswagen sales (VS) dataset, and electric motors exports (EME) [...] Read more.
A period-sequential index algorithm with sigma-pi neural network technology, which is called the (SPNN-PSI) method, is proposed for the prediction of time series datasets. Using the SPNN-PSI method, the cumulative electricity output (CEO) dataset, Volkswagen sales (VS) dataset, and electric motors exports (EME) dataset are tested. The results show that, in contrast to the moving average (MA), exponential smoothing (ES), and autoregressive integrated moving average (ARIMA) methods, the proposed SPNN-PSI method shows satisfactory forecasting quality due to lower error, and is more suitable for the prediction of time series datasets. It is also concluded that: There is a trend that the higher the correlation coefficient value of the reference historical datasets, the higher the prediction quality of SPNN-PSI method, and a higher value (>0.4) of correlation coefficient for SPNN-PSI method can help to improve occurrence probability of higher forecasting accuracy, and produce more accurate forecasts for the big datasets. Full article
(This article belongs to the Section Computing and Artificial Intelligence)
Show Figures

Figure 1

18 pages, 16244 KB  
Article
Urban Water Demand Forecasting: A Comparative Evaluation of Conventional and Soft Computing Techniques
by Oluwaseun Oyebode and Desmond Eseoghene Ighravwe
Resources 2019, 8(3), 156; https://doi.org/10.3390/resources8030156 - 19 Sep 2019
Cited by 35 | Viewed by 8085
Abstract
Previous studies have shown that soft computing models are excellent predictive models for demand management problems. However, their applications in solving water demand forecasting problems have been scantily reported. In this study, feedforward artificial neural networks (ANNs) and a support vector machine (SVM) [...] Read more.
Previous studies have shown that soft computing models are excellent predictive models for demand management problems. However, their applications in solving water demand forecasting problems have been scantily reported. In this study, feedforward artificial neural networks (ANNs) and a support vector machine (SVM) were used to forecast water consumption. Two ANN models were trained using different algorithms: differential evolution (DE) and conjugate gradient (CG). The performance of these soft computing models was investigated with real-world data sets from the City of Ekurhuleni, South Africa, and compared with conventionally used exponential smoothing (ES) and multiple linear regression (MLR). The results obtained showed that the ANN model that was trained with DE performed better than the CG-trained ANN and other predictive models (SVM, ES and MLR). This observation further demonstrates the robustness of evolutionary computation techniques amongst soft computing techniques. Full article
Show Figures

Figure 1

Back to TopTop