Next Article in Journal
Promoting a Circular Economy in Mining Practices
Previous Article in Journal
A Logistic Regression Model for the Analysis of Attitudes and Behaviours Towards Functional Foods Among Senior Consumers Aged 60+ Years
 
 
Font Type:
Arial Georgia Verdana
Font Size:
Aa Aa Aa
Line Spacing:
Column Width:
Background:
Article

Research and Prediction Analysis of Key Factors Influencing the Carbon Dioxide Emissions of Countries Along the “Belt and Road” Based on Panel Regression and the A-A-E Coupling Model

1
Department of Basic Teaching, The Engineering & Technology College, Chengdu University of Technology, Leshan 614000, China
2
Department of Nuclear Engineering and New Energy Technology, The Engineering & Technology College, Chengdu University of Technology, Leshan 614000, China
3
Department of Electronic Information and Computer Engineering, The Engineering & Technology College, Chengdu University of Technology, Leshan 614000, China
*
Author to whom correspondence should be addressed.
Sustainability 2024, 16(24), 11014; https://doi.org/10.3390/su162411014
Submission received: 28 October 2024 / Revised: 10 December 2024 / Accepted: 12 December 2024 / Published: 16 December 2024

Abstract

With the in-depth implementation of China’s “Belt and Road” strategic policy, member countries along the Belt and Road have gained enormous economic benefits. Thus, it is important to accurately grasp the factors that affect carbon emissions and coordinate the relationship between economic development and environmental protection, which can impact the living environment of people worldwide. In this study, the researchers gathered data from the World Bank database, identified key indicators significantly impacting carbon emissions, employed the Pearson correlation coefficient and random forest model to perform dimensionality reduction on these indicators, and subsequently assessed the refined data using a panel regression model to examine the correlation and significance of these indicators and carbon emissions across various country types. To ensure the stability of the results, three prediction models were selected for coupling analysis: the adaptive neuro-fuzzy inference system (ANFIS) from the field of machine learning, the autoregressive integrated moving average (ARIMA) model, and the exponential smoothing method prediction model (ES) from the field of time series prediction. These models were used to assess carbon emissions from 54 countries along the Belt and Road from 2021 to 2030, and a coupling formula was defined to integrate the prediction results. The findings demonstrated that the integrated prediction amalgamates the forecasting traits of the three approaches, manifesting remarkable stability. The error analysis also indicated that the short-term prediction results are satisfactory. This has substantial practical implications for China in terms of fine-tuning its foreign policy, considering the entire situation and planning accordingly, and advancing energy conservation and emission reduction worldwide.

1. Introduction

In 2013, General Secretary Xi Jinping launched cooperation initiatives to build the “Silk Road Economic Belt” and the “21st Century Maritime Silk Road”. Leveraging the existing bilateral and multilateral mechanisms between China and relevant countries and utilizing established and effective regional cooperation platforms and the historical symbolism of the ancient Silk Road actively fosters economic cooperation relationships with partners geared toward a community of shared interests, destiny, and responsibility characterized by political mutual trust, economic integration, and cultural inclusiveness. In 2017, the Ministry of Environmental Protection of the People’s Republic of China, the Ministry of Foreign Affairs, and other departments jointly issued guiding opinions on promoting the construction of the green “Belt and Road” to jointly establish a sound and efficient ecological and environmental protection cooperation and exchange system with countries along the Belt and Road. In September 2023, General Secretary Xi Jinping proposed the concept of “new quality productivity” during his inspection in Heilongjiang. Green energy comprises the foundation and driving force underlying new quality productivity. The dual strategy of peak carbon emissions before 2030 and achieving carbon neutrality before 2060 is used to advocate for a green, environmentally friendly, and low-carbon lifestyle. It aims to promote the green transformation of the economy and society through careful organization and planning at the national level, as well as deep participation by various sectors of society. There is a close internal connection between “new quality productivity” and “dual carbon” goals.
According to research results in relevant fields, economic development is an inseparable component of climate change. A major producer of carbon emissions, host of a large population, and the initiator of the Belt and Road policy, China has adjusted its foreign exchange methods and policies with countries along the Belt and Road. This has become an important factor affecting whether China can establish green and open sustainable cooperative relations with other countries and achieve healthy, coordinated economic development and environmental governance. This issue has attracted extensive attention from scholars in related fields and is a key issue affecting whether China can achieve the “3060” goal.
Many scholars have accurately predicted carbon emissions for specific industries. Gao Xiangyu and Wang Xinchun [1] used a linear fitting method to predict carbon emissions from 2023 to 2040 based on a completed construction area and ceramic usage from 2012 to 2022. Yipu Zeng [2] conducted a study focusing on a specific building complex in Shanghai. At the macro level, he predicted the trajectory of the carbon peak by utilizing the expanded STIRPAT model derived from the environmental Kuznets curve. On the other hand, at the micro level, he delved into carbon emission behavior by leveraging the penetration rate of renewable energy and employing a multiobjective optimization model. Wen Yang [3] conducted a study on carbon emissions in three cities located in the Inner Mongolia Autonomous Region. Utilizing the STRIPAT model to broaden the scope of indicators, he established a comprehensive “driving–prediction–simulation” framework for carbon emissions. Yanfen Qi [4] introduced a dynamic multifactor analysis approach to forecast carbon dioxide emissions in the Bohai region of China. Mengru Song [5] developed two models to examine the spatiotemporal characteristics of regional energy consumption and the carbon emissions resulting from it. Shihong Zeng [6] introduced a novel approach to allocating carbon emission quotas. He further predicted the distribution ratios of China’s carbon emission quotas from 2020 to 2030 to facilitate the nation’s efforts in achieving its energy conservation and emission reduction targets. Wei Li’s [7] model was designed to evaluate the potential for carbon emission reduction in dependent national regions to predict and optimize regional carbon intensity. Through the application of simulated annealing and genetic algorithms for computational purposes, it was anticipated that the carbon intensity in Shanxi Province would decline by 18.78% by 2020. Yanming Sun [8] employed an autoregressive integrated moving-average model to devise both a baseline and a “dual carbon” scenario. Utilizing a fuzzy comprehensive evaluation approach, he established a comprehensive research and evaluation framework for transportation carbon emissions. Using relevant data from China’s western region between 2010 and 2019, Mingchen Yang [9] analyzed the factors influencing the spatial and temporal distribution differences in carbon intensity in these areas. He employed a gray prediction model to predict the evolving trend of average carbon intensity. Further, he established that factors such as per capita GDP, energy consumption per unit of GDP, and investment in industrial pollution control by residents exert a positive influence on carbon intensity. Lingling Wang [10] emphasized the growing significance of accurately assessing and predicting carbon emissions given the prevailing trend of environmental protection and the urgent demand for energy conservation and emission reduction. Zhuge Dan [11] developed an algorithm based on dynamic programming to optimize the emission control area (ECA) policies of shipping networks from the perspective of ECA regulatory agencies. This is crucial for reducing global shipping emissions and protecting the environment. Huang Jianheng [12] collected data from 51 global economies that have proposed carbon neutrality targets from 2003 to 2020 to build a series of spatial measurement models and explored the impact of e-government construction on carbon emission intensity (CEI). O Adeyemo’s [13] study empirically investigated the impact of oil exportation on carbon dioxide emission in Nigeria, covering the period 1980 to 2020. Ali Hasnain’s study investigated the impact of digital finance, tax policy, economic expansion, and urbanization on carbon emissions. An autoregressive distributed lag model approach was used on time series data from Pakistan, with results indicating that there were long- and short-term relationships in the model [14]. S Zeng [15] conducted a theoretical analysis, establishing the motion trajectory of carbon emissions and developing an understanding of the factors affecting carbon emissions. Xiongfeng Pan [16] reported on differences in carbon emissions in the eastern, central, and western regions of China from 2005 to 2021 using the Theil index and decomposed carbon emissions into emission intensity, industrial structure, economic scale, and population size effects using the logarithmic mean Divisia index. ZX Xie [17] selected 30 provincial units in China as research objects and used the input–output method to calculate the indirect carbon emissions from food consumption.
Coupling analysis of the impact of economic policies and environmental factors on carbon emissions is a commonly used method in carbon emission research. Many scholars have researched the factors influencing carbon emissions based on cross-border trade, regional (national) development, and other factors and conducted heterogeneity analyses of the Belt and Road policy. Xiaoxiang Li [18] studied regional groupings and changes in countries’ carbon emissions along the route in conjunction with different degrees of Chinese investment. Wei Zou [19] conducted a study utilizing panel data from Chinese A-share listed companies from 2007 to 2020 to explore the intricate relationship between the development of China Railway Express and corporate green innovation. Yuanjie Deng [20] conducted extensive research on land use changes and simulated various future scenarios. Leveraging multi-temporal land use data from CPEC and integrating GIS technology, he delved into the spatiotemporal evolution of land use in CPEC from 2000 to 2020. Tritto A [21] advocated for Indonesia to prioritize economic growth over environmental and social sustainability. Liu M [22] highlighted that the extensive development of energy infrastructure could potentially result in significant alterations in carbon dioxide emissions, echoing concerns about China’s investments through the Belt and Road initiative. Gallagher K.S [23] further emphasized that China’s Belt and Road initiative has the potential to emerge as a pivotal avenue for disseminating clean energy technologies across developing nations, contingent upon the recipient countries’ enforcement of stricter environmental regulations and China’s overseas investment policies. Given the upward trend in green overseas investment by Chinese enterprises in countries along the Belt and Road [24,25] along with comprehensive and accurate data provided by listed companies, the focus of the study was on the green investment activities of these companies. Xinyu Wang [26] conducted a comprehensive investigation on the energy poverty situation in 70 countries participating in the Belt and Road initiative. She developed a comprehensive energy poverty assessment framework and evaluated the impact of energy poverty alleviation on carbon emissions using the entropy-based TOPSIS method. Rauf [27] employed dynamic panel estimation techniques, including dynamic ordinary least squares (DOLS) and fully modified ordinary least squares, to examine long-term relationships among certain variables and enhance public awareness of environmental protection investments in the economies along the Belt and Road. Yuxin Yan [28] chose key domestic regions along the Belt and Road as the study subject, adhering to the research framework of static measurement (utilizing the super-efficiency SBM model) and dynamic decomposition (employing the Malmquist productivity index model). Jun Zhao [29] incorporated different dimensions of financial development and explored the threshold effect of China’s OFDI on carbon emissions in countries along the Belt and Road using a threshold model. Based on a theoretical mechanism analysis, he conducted an empirical analysis using panel data from 34 countries along the Belt and Road from 2003 to 2019.
This study takes the countries along the Belt and Road strategic policy as the object, studies the temporal and spatial trends of carbon emissions and key influencing factors, and forecasts the future carbon emissions of each country. The purpose is to accurately analyze what factors affect the changes in carbon emissions of countries along the Belt and Road, predict and plan their development trends, grasp the changes in carbon emissions, and intervene and adjust them promptly. Carbon emissions are related to many factors. The integration of technology fields introduced by the Belt and Road to countries along the line has also had a significant impact on the implementation of a sustainable green development pathway and changes in carbon emissions. In this context, it is of vital significance for China to accurately grasp the factors that have a key impact on carbon emissions of countries along the Belt and Road, adjust foreign policies promptly, regulate carbon emissions accurately and reasonably, modify business policies promptly, and even achieve the 3060 goal. The prediction of carbon emissions provides a reference for countries along the Belt and Road to formulate sustainable green development policies in the future.

2. Indicators and Data

2.1. Construction of Index System

To accurately analyze the influencing factors of carbon emissions, it is necessary to establish a comprehensive and appropriate indicator system. According to empirical studies, industrial production is the main industry that generates carbon emissions, and it is related to the level of national economic development, degree of openness to the outside world, and population distribution within a country and region. In order to study the factors influencing carbon emissions from multiple perspectives, combined with the results of [27], this article divides the factors influencing carbon emissions into four main categories: macroeconomic, energy, foreign trade, and implicit population.
Firstly, we consider macroeconomic factors. Carbon emissions primarily stem from energy consumption, which is intricately linked to the economy. The robust development of a country’s economy can offer increased financial backing to the energy sector, potentially resulting in a surge in carbon emissions in nations that heavily rely on industrial production and a lag in transitioning to clean and alternative energy industries. Additionally, fluctuations in the cost of raw material procurement can influence businesses to make diverse choices. Given China’s escalating international influence and the implementation of the Belt and Road initiative, its investments in participating countries may also contribute to varying degrees of carbon emission changes. Among macroeconomic factors, four secondary indicators are selected [30,31,32,33,34,35]: coal rent, Chinese investment, commodity trade, service trade, and gross domestic product.
Secondly, we consider energy factors. The consumption of energy, particularly fossil fuels, by the country has a direct correlation with carbon emissions. Furthermore, with the emergence of the clean energy sector, national enterprises can significantly reduce carbon emissions through proactive transitions, including the vigorous development of clean energy and nuclear power generation. Consequently, analyzing the factors influencing carbon emissions from both energy production and consumption perspectives offers a more intuitive understanding. The key factors [31,32,33,34,35,36,37,38,39,40] to consider include nuclear power generation, per capita electricity consumption, energy usage, energy consumption per unit of GDP, fossil fuel-based power generation, and net energy imports.
Thirdly, we consider foreign trade factors. In the context of the Belt and Road policy, countries along the Belt and Road actively adjust their foreign trade measures, and the import and export of goods involve energy, services, goods, high-tech products, and other aspects. According to the principle of economic climate integration [41], economic development impacts the environment and climate. In foreign trade, the impact of transportation factors cannot be ignored. In addition, the amount of foreign investment by the country indirectly confirms the country’s development level and implies an impact on carbon emissions [19,42]. Primarily, this includes the import value of transportation services, the export value of transportation services, the import value of commercial services, and the export value of high-tech products.
Finally, we consider implicit population factors. The population density of a country or region can reflect its level of development. Simultaneously, the size of the labor force and the urbanization rate also indirectly affect the carbon emissions of the area. From the perspective of the regional industrial structure, in countries dominated by industry and commerce, an increase in the labor force may mean that more people are invested in industrial production, and the resulting emissions of pollutants will also increase. The urbanization rate represents the level of urban development, and there are significant differences in carbon emissions between towns and farms of the same scale, including the population density, labor force, and urbanization rate [27,43].
In summary, indicators were selected for these four areas to construct a system that could be used to study the factors affecting carbon emissions. Finally, 20 indicators were selected, with carbon emissions as the dependent variable. The specific variable names and symbols are shown in Table 1.
To ensure the feasibility of empirical analysis, it is necessary to make assumptions about the research scenario.
On the one hand, we aimed to eliminate the potential impact of population changes on carbon emissions: it was assumed that during the year carbon emissions are predicted, the subject country will not experience large-scale population migration due to force majeure factors such as war and large-scale natural disasters.
In addition, we predict the future based on the current level of technological development: it is assumed that within the research year range, the new energy technology of the target country will not experience dramatic shifts, but will develop steadily according to the trend of changes in the current year.
On the other hand, we aim to avoid fluctuations in carbon emission forecasts caused by changes in the industrial structure: it is assumed that within the research year range, there will be no large-scale changes in the industrial structure of the target country, and the primary and secondary industries will always be the main industries that generate carbon emissions.
Finally, we exclude the impact of policy changes on carbon emissions: it is assumed that the Belt and Road policy is developing healthily within the study year and its economic and green development and impact on carbon emissions are stable in each study country.

2.2. Data Sources

This study selected 60 countries along the Belt and Road as the research object and used 20 indicators from 2005 to 2020, totaling 19,200 data points that could be used for analysis. The data were sourced from the official website of the World Bank, which integrates data obtained from official research institutions such as the Oak Ridge National Laboratory and statistical agencies in the United States, ensuring the authority and accuracy of the obtained data.

2.3. Descriptive Statistics and Data Preprocessing

2.3.1. Study of the Distribution of Countries

The 60 selected countries along the Belt and Road are distributed in Asia, Europe, Africa, the Americas, and Oceania. The specific geographical locations are shown in Figure 1.
Low-income countries comprise many target research countries along the Belt and Road. Therefore, in the context of the Belt and Road policy, establishing reasonable and good trade and exchange relations with countries on all continents, especially low-income countries, is significant to achieving healthy, coordinated development of the “economic climate” in the new era.

2.3.2. Changes in World Carbon Emissions

Based on World Bank statistics, the carbon emissions of 60 research subject countries were recorded from 2005 to 2020, and a bar chart of carbon emission changes was created. The detailed results are shown in Figure 2.
Overall, the carbon emissions of the research subject countries are increasing year by year. Taking the year when the Belt and Road policy was implemented (2013) as the dividing line, the growth rate of total carbon emissions slowed in the years after 2013, but then showed a significant fluctuation trend. It is preliminarily speculated that this is related to the economic benefits of the Belt and Road initiative. In 2020, the world’s carbon emissions suddenly declined, which may have been related to the impact of the outbreak of the COVID-19 epidemic on the normal development of various industries.
In order to more intuitively observe the changes in carbon emissions of countries, some countries were selected from the four continents that are part of the Belt and Road. Their respective carbon emissions in different years were mapped, as shown in Figure 3.
The carbon emissions of South Africa and Uruguay increased by 3 and 30 times, respectively. The changes in carbon emissions of the countries in Figure 3 show an overall upward trend, and all experienced a decline after 2019. This may be related to the worldwide outbreak of COVID-19 in early 2020 [44,45].

2.3.3. Changes in the Rate of Change in Global Carbon Emissions

The rate of change in carbon emissions can also reflect the severity of the increase in carbon emissions over a period of time.
R t i = C V i C V i 1 C V i
Using Formula (1), we calculated the annual rate of change in carbon emissions for each country. In the formula, R t i represents the change in carbon emission rate in the i-th year, and C V i represents the carbon emissions in the i-th year. We drew a scatterplot based on the calculation results, as shown in Figure 4.
Taking the implementation year of the Belt and Road policy as the dividing line, after the implementation of the policy, high growth rates emerged in some Southeast Asian countries (such as Laos). Southeast Asia and China are geographically close, and the economic benefits generated by the Belt and Road may have a more significant impact on Southeast Asian countries. Some European countries (such as Malta) also experienced an increase in the growth rate of carbon emissions. In 2015, Europe was still recovering from the European debt crisis. In addition, the economic benefits of the Belt and Road led to a sharp increase in its carbon emissions. Figure 5 shows the rate of change in carbon emissions in these two countries.
The changes in carbon emissions and their rate of change mentioned above, combined with the principle of economic climate integration [15], indirectly confirm the hypothesis that carbon emissions are influenced by multiple factors. Simultaneously, due to the many low-income countries around China, accurately analyzing the factors affecting carbon emissions is of great significance for establishing healthy and green foreign trade relations and promoting the achievement of the “3060” target.

2.3.4. Data Distribution and Linear Testing

In order to further analyze data and ensure the accuracy and rationality of an analysis method, it is necessary to test the distribution of indicator data and the linear relationship between pairwise indicators.
Firstly, the large quantity of missing indicator data in some countries could not be addressed using methods such as fitting or interpolation. Therefore, these countries were deleted (Table 2).
On this basis, we selected some indicators, drew kernel density maps of their respective data distributions, and created contour maps of the linear relationship between the two indicators. The specific results are shown in Figure 6. The distribution of all indicators is represented by a Q–Q chart.
In Figure 6, the linear correlation and kernel density map distribution of different indicator pairs are represented separately. The selected indicator data do not follow a normal distribution, and there is no good linear relationship between the two indicators. After the four selected feature pairs were removed, a Q–Q plot was developed to test the other features for normal distribution. The test results showed that no indicator data were normally distributed.
Many statistical analysis methods require data to follow a normal distribution, such as Pearson correlation coefficient analysis. Therefore, in order to use a more rigorous data analysis method, it is necessary to correct the normal distribution of the data. Box–Cox transformation was used here, and the results were verified through a Q–Q diagram, as shown in Figure 7.
In the Q–Q plot, data that conform to or approximate normal distribution should have a good fit around the straight line. In the CNI and HTE indicators, there was a significant deviation from the fitted line before the transformation, and there was a significant improvement in the fitting degree after the transformation, which proves that the data at this time conformed to a normal distribution. We processed all indicator data in sequence to obtain a dataset that conformed to a normal distribution overall.

2.3.5. Statistical Analysis of Data

The corrected data were verified to address missing or abnormal values. The describe function in the Pandas package in Spyder was used in the statistical analysis of the data. The statistical results are shown in Table 3.
After describing the statistical analysis, we used the mapstd function in MATLAB 2014(a) to standardize the data and used the standardized data as the dataset for analysis.

3. Model Theory

3.1. Correlation Coefficient Theory

The theory of correlation coefficients was employed to compute the interrelations among pairs of variables. Commonly utilized correlation analysis methods include the Pearson and Spearman correlation coefficient approaches. Pearson’s is more rigorous than Spearman’s, as it requires data for correlation analysis to follow a normal distribution and be continuous. When data fail to meet these requirements, the Spearman analysis method should be employed, and it yields results with notable differences from Pearson’s.
The calculated correlation coefficient values were in the range of [−1, 1]. For the Pearson correlation coefficient method, we calculated the correlation coefficients between the variables according to Formula (2):
r = i = 1 n X i X ¯ Y i Y ¯ i = 1 n X i X ¯ 2 i = 1 n Y i Y ¯ 2
In the formula, X ¯ and Y ¯ are the sample means corresponding to X and Y , and X i and Y i represent the corresponding values of the i-th indicator. The calculated result r indicates the correlation coefficient between the two indicators.

3.2. Random Forest

The random forest model is essentially an ensemble of multiple decision tree models and is a quintessential example within the bagging ensemble learning framework. The integrated model has better generalization ability and better application value in feature extraction. Due to the use of a replacement sampling method to construct the training set for indicators in random forests, the unselected samples are referred to as out-of-bag samples g t (OOB), and OOB estimation was performed based on these samples.
Under the bagging architecture, for a dataset of N, the probability of a sample not being sampled is as follows (3):
1 1 N N
As N tends toward positive infinity, the probability can be approximated using Equation (4).
lim N + 1 1 N N = lim N + 1 N N 1 N = lim N + 1 1 + 1 N 1 N 1 e
Here, we define the performance metrics for the fusion of out-of-bag samples:
G n x = g i 1 , g i 2 , , g i T T
where n represents the index of the sample. By sequentially retrieving the out-of-bag samples and calculating the mean as the outcome, we obtained the OOB (out-of-bag) error:
E O O B G = 1 N n = 1 N e r r y n , G n x n
The OOB error, as derived from Equation (6), provides an accurate assessment of RF performance. Subsequently, the RF model was employed to prioritize the significance of features. Upon acquiring the data, we started by expanding the dataset’s indicators:
Φ i x = P i T · X
In Equation (7), Φ i x represents the mapping function and X indicates the mapping matrix. Each feature post-mapping is a linear combination of multiple features. The process of determining importance involves scoring each feature and ranking them based on the score d , as illustrated in Equation (8).
Φ ( x ) = ( x i 1 , x i 2 , , x i 3 ) w i t h d < d f o r g ( Φ ( x ) )

3.3. Panel Regression Model

Panel regression can provide regression coefficients for each dependent variable based on data. It can reflect the impact of the dependent variable on the explanatory variable when analyzing the positive and negative values and the magnitude of the coefficients, such as the magnitude of the impact and whether it has a positive or negative driving or inhibitory effect on the explanatory variable. Within the indicator system for factors affecting carbon emissions, we considered panel data spanning 16 years from 54 countries. Consequently, we selected three types of panel regression models: individual (regional) fixed effect, time fixed effect, and mixed fixed effect. Utilizing OLS regression, we performed an econometric analysis of the panel data. The individual (time) fixed effect model is presented in Equation (9), while Equation (10) represents a regression model that incorporates individual (time) dummy variables:
Y it = β 0 + β 1 X it + + β n X it + a i ϕ t + u i t
Y it = β 0 + β 1 X it + + β n X it + θ j i = 1 N 1 D j v t t = 1 h 1 I t + u i t
In Equation (9), Y it represents the dependent variable, β 0 is the constant term, β n is the regression coefficient, and X it is the explanatory variable. a i and ϕ t denote individual and time factors, respectively, with u i t representing the random error term. In Equation (10), θ j i = 1 N 1 D j and v t t = 1 h 1 I t represent the dummy variables for individuals and time, each with a quantity corresponding to the number of individuals (countries) and the number of years, respectively.
The mixed effect model can be viewed as the sum of the previous two, with the detailed regression models illustrated in (11) and (12):
Y it = β 0 + β 1 X it + + β n X it + a i + ϕ t + u i t
Y it = β 0 + β 1 X it + + β n X it + θ j i = 1 N 1 D j + v t t = 1 h 1 I t + u i t
To further align the geographical distribution of countries with their levels of economic development, an analysis was conducted on how to formulate foreign policies for countries across different continents and income brackets. Using the regression coefficients, a coupling model was formulated, as shown in Equation (13):
β t i = γ 1 β 1 i + γ 2 β 2 i + + γ n β n i
In the formula, β t i represents the coupled regression coefficient for the i-th country, β n i n = 1 , 2 , , n , i = 1 , , 54 denotes the regression coefficient for the corresponding indicator of the i-th country across various partitioning methods, and n signifies the total number of partitioning methods. γ i represents the importance degree coefficient corresponding to the regression coefficient, which was determined by the number of division methods. For instance, when there were two division methods, they were considered equally important, with both coefficients set at 0.5. The significance of indicators was similarly calculated using this coupled model.

3.4. Adaptive Neuro-Fuzzy Inference System (ANFIS)

The adaptive neuro-fuzzy inference system (ANFIS) model combines the inference capabilities of fuzzy systems and the learning abilities of neural networks, allowing it to adapt to diverse data input patterns with enhanced fault tolerance. It has found effective applications in forecasting complex, nonlinear, and uncertain time series data in areas like stock market prediction, meteorology, and traffic flow management. Moreover, owing to its fuzzy inference capability, ANFIS can more effectively mitigate the risk of overfitting in highly dimensional variable spaces.
The model is a multilayer feedforward network, as illustrated in Figure 8, where the boxes indicate the components requiring parameter learning. Each layer has a distinct function. The first layer is responsible for obfuscating the input signals, as depicted in Equations (14) and (15):
R i 1 = μ A i x i = 1 , 2
R i 1 = μ B i y i = 1 , 2
In this context, x and y are node i inputs, A i and B i represent fuzzy sets, and O i 1 denotes the membership function value of the fuzzy set, indicating the degree to which x and y belong to two fuzzy sets. The membership functions μ A i and μ B i are defined by the parameters of the antecedent.
The second layer is tasked with computing the dot product of the input signal based on Formula (16), with the output indicating the reliability of the input signal. The third layer normalizes the strengths of all input signals, as described in Formula (17):
R i 2 = ω i = R 1 1 + R 2 1 = μ A i x μ B i x i = 1 , 2
R i 3 = R ¯ i 2 = ω ¯ i = ω i ω 1 + ω 2 i = 1 , 2
Each node in the fourth layer, an adaptive node, computes the output of the fuzzy rule, as depicted in Equation (18). Subsequently, the fifth layer computes the aggregated output of all input signals, as per Equation (19).
R i 4 = R i 3 f i = ω ¯ i p i x + q i y + r i i = 1 , 2
R i 5 = R i 4 i = 1 , 2
In Equation (18), the output of the third layer is multiplied by three parameters, where p i , q i , r i is the parameter set of node i . Finally, the result of the fifth output layer is shown as (19), which can also be expressed as Equation (20):
R i 5 = ω ¯ 1 x p 1 + ω ¯ 1 y q 1 + ω ¯ 1 r 1 + ω ¯ 2 x p 2 + ω ¯ 2 y q 1 + ω ¯ 2 r 2
This result demonstrates that the output of the fuzzy system can be formulated as a linear combination of the input signal and the consequent parameters. Following the fuzzy system inference, we employed the backpropagation algorithm or a combined approach of the BP algorithm and least squares estimation to iteratively minimize errors and ultimately meet the prediction objectives. The ANFIS prediction outcome is designated as R A 1 .

3.5. Autoregressive Integrated Moving Average (ARIMA)

The autoregressive integrated moving average (ARIMA) time series forecasting model combines the ARMA model with differencing, offering strong capabilities for fitting and predicting non-stationary and non-seasonal periodic time series data. Initially, a data stationarity test was conducted: if the data were found to be non-stationary, differencing was applied. For first-order differencing, the differentiated sequence Y t is as shown in Equation (21):
Y t = X t X t 1
Next, we determined the model parameters. Specifically, we ascertained the order p (autoregressive term), d (order of differencing), and q (moving average term) of the ARIMA model. The value of d represents the number of times the data are made stationary through differencing, and p and q can be estimated through maximum likelihood optimization as per Equation (22):
min ϕ 1 , , ϕ p , θ 1 , , θ q , σ 2 t = p + q + 1 T y t ϕ 1 y t 1 ϕ p y t p θ 1 e t 1 θ q e t
In this context, y t represents the observed value, e t represents the error term, ϕ j and θ j are the parameters to be estimated, and σ 2 denotes the error variance. Subsequently, a diagnostic analysis was performed on the model to ascertain whether the data constitute white noise. The Ljung–Box Q statistic test was defined, as shown in Equation (23):
Q k = n n + 2 i = 1 k ρ i 2 n i
In this context, n represents the sample size, ρ i denotes the residual autocorrelation coefficient, and k indicates the lag order. If the Q statistic surpasses the predefined critical value, the null hypothesis that the residuals are white noise is rejected. Subsequently, multistep prediction can be conducted, and the value of R T + h for the h -th step can be expressed using the following recursive Formula (24):
R T + h = ϕ 1 R T + h 1 + + ϕ p R T + h p + θ 1 e T + + θ q e T q + 1
In the formula, R T + h 1 , , R T + h p represents the initial predicted value, which can be derived by incorporating the last few known predicted values and error terms. To summarize, the predictions from the ARIMA model are denoted by R A 2 .

3.6. Exponential Smoothing Method Prediction Model (ES)

Exponential smoothing (ES) is widely used in time series forecasting, featuring easy parameter determination and the flexibility to adjust order via straightforward calculation changes. When the data exhibit a linear trend, a quadratic exponential smoothing model can be derived by updating calculations based on the first-order model’s formula. The formula for the cubic exponential smoothing model, capable of addressing nearly all time series forecasting issues, is provided here:
a 1 = S 1 + S 2 + + S k k
b 1 = S k + 1 + S k + 2 + + S 2 k S 1 + S 2 + + S k k
c 1 = S 1 a 1
a i + 1 = α S i c i + 1 α a i + b i
b i + 1 = β a i + 1 a i + 1 β b i
c i + 1 = γ S i a i b i + 1 γ c i
R i + 1 = a i + 1 + b i + 1 + c i + 1 k + 1
Equations (25)–(27) were utilized to generate the model’s initial values. The prediction result of the cubic exponential smoothing method was derived by summing three values, as depicted in Equation (31). Here, a represents the outcome of the first-order exponential smoothing calculation, and the sum of a and b yields the second-order exponential smoothing. Subsequently, the prediction result R E of the third-order exponential smoothing model was calculated, as shown in Equation (31).
The model includes three undetermined coefficients: α , β , and γ . The initial values generated by the model were used to predict the original data’s corresponding values and were compared. The parameter combination with the smallest error was chosen as the undetermined coefficient, and then the determined coefficients were calculated using Equations (28)–(30) and summed to generate a prediction. For different countries, parameters may differ; thus, they cannot be uniformly set as fixed values, but instead should be tailored to each country’s specific circumstances.

3.7. Coupling Model of Carbon Emissions

The optimal carbon emission forecast should exhibit overall stability devoid of any drastic or sudden fluctuations. To ensure that the forecast results reflect the impact of various factors and possess reasonable stability, this study integrated the model results. Firstly, the coupling coefficient was defined as follows.
The mean standard deviation of the predictions was computed for model j as per Equation (32):
S ¯ j = S t d R j n
In the formula, R j represents the prediction result of model j , S t d represents the standard deviation, and S ¯ j represents the average standard deviation of model j . We took the reciprocal of S ¯ j , as shown in Equation (33):
τ j = 1 S ¯ j
The obtained τ j denotes the prediction coefficient for model j , and it is aggregated into the total prediction coefficient, as shown in Equation (34):
υ m = j = 1 n τ j
In the formula, υ m represents the total prediction coefficient and n denotes the number of models. The coupling coefficients for each model can be calculated using Equation (35):
υ j = τ j υ m
The coupling coefficient for model j is υ j , as derived from Equation (36). Consequently, the carbon emission coupling model is as follows:
R m = j = 1 k υ j R j
In Equation (36), R m represents the coupled prediction outcome, υ j is the coupling coefficient for model j , and R j is the prediction result derived from model j . Essentially, the coupling model represents a weighted sum of the prediction outcomes from multiple models. Within the A-A-E coupling model, which employs the ANFIS, ARIMA, and ES models, the coupling outcome is described by Equation (37):
R m = υ 1 R A 1 + υ 2 R A 2 + υ 3 R E

4. Empirical Analysis

4.1. Dimensionality Reduction of Indicators: Employing the Correlation Coefficient Technique and Random Forest Model

Following the data processing described previously, the data within the utilized dataset conformed to a normal distribution, thereby satisfying the prerequisites for employing the Pearson correlation coefficient method. In the MATLAB environment, we computed the correlation coefficients among the quantitative indicators using the “corr” function and generated a heatmap to visualize the correlations, as depicted in Figure 10a.
To assess the significance of the reduced indicators in influencing carbon emissions, with carbon emissions as the explanatory variable, a random forest model was employed to prioritize their importance. Initially, the parameters of the random forest must be chosen, specifically the number of leaf nodes and the number of trees. The TreeBagger function in MATLAB was utilized to obtain error assessment results for seven distinct leaf node numbers and compare these results. The detailed outcomes are depicted in Figure 9.
In the first and fifth error evaluations, the variations in error corresponding to different numbers of leaf nodes were not substantial. Concurrently, the errors for the seven distinct node counts rapidly converged to a relatively low and stable range, indicating the accuracy of the preceding data processing and the viability of this approach. Based on the findings in Figure 9, the error was at its minimum when there were five leaf nodes, and the error curve stabilized when there were approximately 10 trees. Consequently, we opted for five leaf nodes and 10 trees. Building on this foundation, the significance of each indicator in relation to carbon emissions was prioritized using random forests, as depicted in Figure 10b. GDP stands out as the most critical macroeconomic factor, playing a vital role in analyzing changes in carbon emissions. Other indicators are ranked in descending order of importance.
Based on the heatmap of correlation coefficients in Figure 10a, we selected feature pairs with a correlation coefficient of 0.5 or higher as pairs of high-correlation features. We marked them with black wireframes. Features with high correlation tend to contribute similarly to the description of explanatory variables. In describing explanatory variables, one of the highly correlated features can be safely omitted without altering the overall description. Therefore, by analyzing the correlation coefficients, we first reduced the dimensions of the indicators that affect carbon emissions. The specific correlation coefficients are presented in Table 4. Since highly negatively correlated indicators cannot be dismissed through mere correlation analysis, and further discussion is warranted. Therefore, only feature pairs with high positive correlation were selected, and there were no feature pairs with high negative correlation.
As shown in Table 4, an indicator may have a high correlation with multiple indicators. Hence, it is essential to specifically analyze which ones should be discarded. For example, the strong correlation between GDP and several indicators underscores the importance of this metric in capturing carbon emissions, thus justifying its retention. Using this criterion, it follows that LB, INA, and EC ought to be eliminated. ST1 shows strong correlations with ST2, PPC, and EC. As a comparable metric (trade volume), when accounting for the share of commerce and services within the national industrial structure, the 2020 edition of the China Statistical Yearbook indicates that the tertiary industry’s share in GDP composition under national economic accounting reached 53.9% in 2019. Drawing from previous statistical data, the proportion of the tertiary industry has been increasing annually. Therefore, ST2 was retained, while ST1 was discarded. Regarding other indicators, EC and ST1 were discarded, ST2 was selected for retention, and PPC, lacking comparison objects, was also retained.
The aforementioned analysis was sequentially applied to the remaining highly correlated indicators, resulting in the exclusion of 6 out of 21 indicators. We employed a random forest model to arrange the remaining indicators in order of importance relative to carbon emissions and subsequently visualize the outcomes. Given the need to analyze the factors influencing carbon emissions from multiple perspectives, the 10 most important indicators were selected as the key factors influencing carbon emissions. The specific information is shown in Table 5.

4.2. Quantitative Analysis Based on Panel Regression Model

With the dimensionality-reduced data, conduct panel regression by utilizing the PanelOLS method from linearmodels and the smf method from statsmodels. Initially, we compared three panel regression models and assessed the significance of the indicators based on their p-values. The detailed results are presented in Table 6.
The comparison indicates that the regression model, optimized with the inclusion of dummy variables, exhibits a notable enhancement in performance. Among the three optimization models, the mixed fixed-effect regression model demonstrated the best performance, achieving an R2 of 0.99.
To thoroughly investigate the influence of a country’s geographical location and economic status on its carbon emissions, we built upon the full sample regression. We then performed heterogeneity analyses based on the categorization of a country’s geographic location (continent) and economic status (high income or low income). Subsequently, employing the coupling model represented by Formula (13), we calculated the coupling regression coefficients for different types of countries, assigning an importance coefficient of 0.5 to each. To enhance visibility, a heatmap depicting the coupled regression coefficients for various countries was created, with significance indicated. The analysis is illustrated in Figure 11.
Upon segmenting countries based on their distinct geographical locations and varying levels of economic development, most indicators exhibit a notable influence on carbon emissions. This verifies the logical selection of indicators. Such findings are crucial for precisely assessing how various indicators affect carbon emissions across different nations and strategizing effective opening-up policies.

4.3. Carbon Emission Prediction Based on Machine Learning Methods and ANFIS Model

To validate the predictive accuracy of various machine learning models for carbon emission data, we initially employed multiple linear regression. After normalizing the input data, we trained the model using MATLAB’s regress() function (Figure 12).
Evidently, the predictions of classical supervised learning models using carbon emissions data are suboptimal. The neural network, optimized using particle swarm optimization (PSO), was employed for model training and prediction. For PSO, we set the maximum iteration count to 30. The results are displayed in Figure 13.
As depicted in Figure 13, the particle swarm optimization fitness curve converges rapidly. The neural network model optimized using PSO performs well on the training set, yet it exhibits suboptimal performance on the test set, with significant fluctuations in the R2 values obtained during each training iteration. Considering that the model has 10 input variables, for highly dimensional variable spaces, machine learning models may tend to overfit in spaces with high dimensionality. Specifically, the model performs well on the training set, but poorly on the test set. This is because the model merely captures the superficial relationships between the data and variables rather than truly understanding their underlying correlation, weakening the ability to generalize to unseen data.
Considering the time series nature and uncertainty of the data, to investigate whether LSTM time series prediction can improve the overfitting phenomenon, the LSTM network parameters were established in the MATLAB environment, as presented in Table 7.
The predictAndUpdateState() function in MATLAB was used to train and forecast time series models, with the final results displayed in Figure 14.
Employing an LSTM network for prediction rapidly converges both MSE and loss during the training iteration process, and the R2 of the test set is significantly improved, which confirms the advantages and rationality of adding state gate operations in neural cells to process complex, nonlinear data. Furthermore, the ANFIS model has demonstrated its proficiency in handling data that are nonlinear and exhibit time series characteristics. Therefore, further testing was conducted to determine the ANFIS model’s predictive performance regarding carbon emissions.
MATLAB has incorporated the ANFIS toolbox, enabling the selection of fuzzy rules and the configuration of network structures. Detailed network parameters are presented in Table 8.
As depicted in Figure 15, the ANFIS model demonstrates notably superior performance in predicting carbon emissions compared to the aforementioned machine learning models, achieving an R2 score of 0.90034 on the test set. Building on this foundation, we employed the ANFIS model to forecast each of the 10 input indicators for each successive year, projecting to the year 2030. Subsequently, the indicators for each country for the respective years were plugged into the ANFIS model to estimate carbon emissions. The complete computational workflow is illustrated in Figure 16.
According to the classification based on different continents and economic income levels mentioned earlier, we selected countries in each category that still had a significant increase in carbon emissions at the end of 2020 and proceeded to forecast their carbon emissions.

4.4. Prediction of Carbon Emissions Based on Exponential Smoothing Method

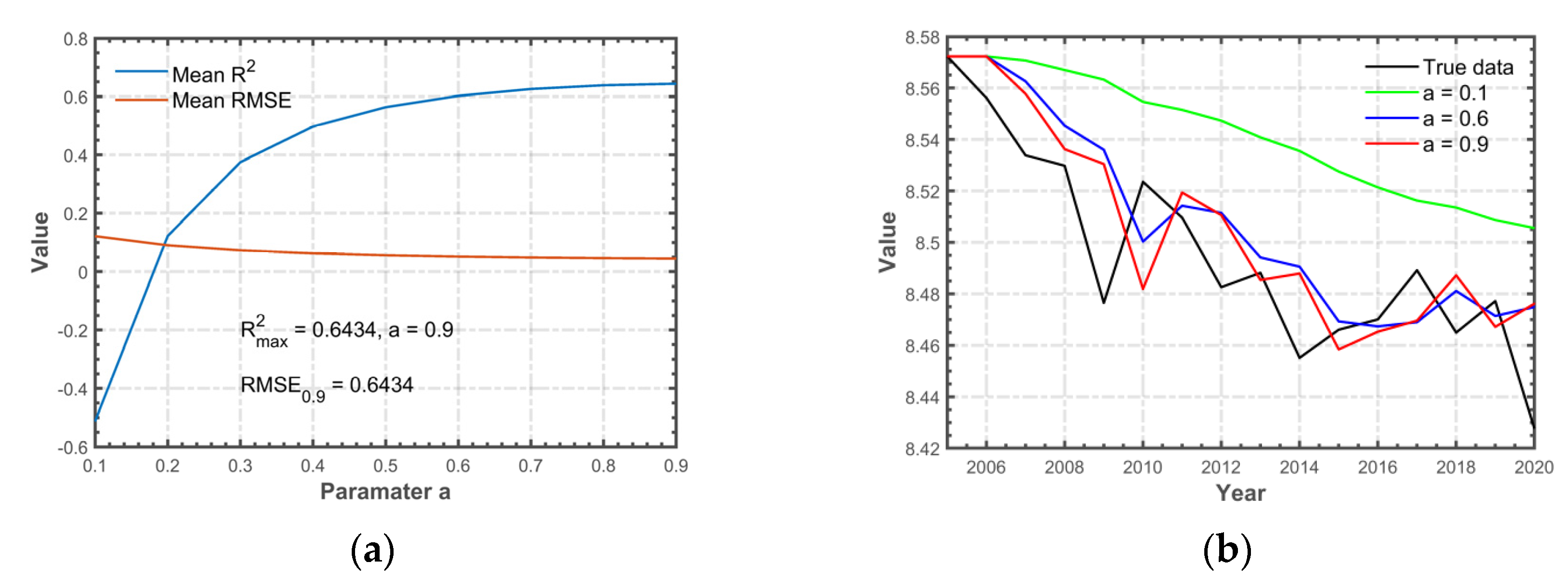
To objectively assess the influence of various model parameters on prediction accuracy, the value of parameter α was iterated through the range of 0.1 to 0.9, examining the impact on the model’s predictive performance. These results are shown in Figure 17.
Figure 17a presents the mean evaluation metrics used for predicting carbon emissions across various countries based on different model parameters. The goodness of fit, R2, consistently improves, reaching its peak at 0.9, with a concomitant reduction in RMSE. To corroborate these findings, three different parameters were chosen for predictive comparisons, as illustrated in panel (b). Notably, at 0.9, the predictive outcomes most closely aligned with the original data, confirming the effectiveness of this parameter selection approach.
To mitigate the prediction value lag bias resulting from trends in the data, we further opted for a cubic exponential smoothing model. We fine-tuned the three parameters of the model using the aforementioned method and conducted residual and error analysis, as illustrated in Figure 18.
Both RMSE and residuals exhibit a periodic increase, suggesting a parameter configuration that minimizes the deviation between the predicted and actual values. As the number of parameter combinations rises, the value of γ within those parameters also climbs. Since γ dictates the fluctuation intensity in the prediction outcomes, both the error and residual grow progressively. Therefore, we can select the optimal parameter combination for each country to forecast carbon emissions.

4.5. Carbon Emission Prediction Based on ARIMA Time Series Model

To utilize the ARIMA model, we also selected the appropriate parameters. Within the Python environment, employing the auto_arima method from the pmdarima package allows for the streamlined selection of the model’s p , d , and q parameters by discerning the minimum values of AIC and BIC. Within the package, we could verify whether the data constituted a white noise sequence, ascertain the necessity of differentiation, and determine the appropriate number of instances of differentiation. Once the model parameters for 54 countries were established, carbon emissions forecasts could be conducted for those respective countries.

4.6. Analysis of Coupled Prediction Results

By integrating the forecast outcomes of the three models, we determined the coupling weights for each model using Formula (38) and proceeded with the coupled analysis of the results. The computation outcomes for select countries utilizing the aforementioned three models are depicted in Figure 19.
Some countries shown in the figure span four continents along the Belt and Road. Evidently, the ANFIS model’s prediction results exhibit the greatest fluctuations. This is because its model input is also derived from predictions, and the accumulation of errors from these two prediction steps results in pronounced fluctuations in the final outcomes. After coupling, the features of the ANFIS model’s prediction results, which experienced significant fluctuations, were retained. By integrating with two other time series prediction models, we obtained more stable and historically accurate time series prediction data.
According to the forecast results, there was a downward trend in carbon emissions in some countries around 2022, which may be related to the outbreak of the Russia–Ukraine war at the end of 2022 and the intensification of economic sanctions against the Russian Federation by the US-led capitalist system, resulting in changes in the global industrial landscape.

4.7. Error Analysis

To ensure the accuracy of the results, we conducted an error analysis. Given that key factors like carbon rent, national gross domestic product, personal power consumption, and urbanization rate do not experience significant changes in the short term, we introduced a 1% random error to the existing dataset to simulate the effects of policy intervention. We then performed 100 simulation calculations. The results are presented in Figure 20.
In Figure 20, the solid line represents the prediction result obtained using the previous coupled algorithm, while the dots depict the prediction outcomes obtained after applying 100 random errors. In the box plot presentation, it is evident that the prediction outcomes for Greece, Jordan, and Nigeria remain relatively stable, indicating the effectiveness of the preceding coupling algorithm. Over time, the deviation in Turkey’s prediction results gradually increased, possibly due to the limited number of indicators retained during the selection of key indicators. However, if the prediction is only performed for three to five years, the results are still satisfactory.

5. Conclusions and Suggestions

5.1. Summary

This study used statistical data on 54 countries from the World Bank along the Belt and Road from 2005 to 2020 to build a dataset, described the carbon emissions of different countries by establishing a multidisciplinary indicator system, classified countries, and determined the key factors affecting the carbon emissions of countries in the region based on panel econometric regression. Based on three prediction models—the adaptive ANFIS model, cubic exponential smoothing ES model, and time series ARIMA model—this study generated a prediction of the carbon emissions of countries until 2030 and described the trends of change and possible reasons for differences in the carbon emissions of different countries.
According to the results of the analysis, the carbon emissions of countries worldwide are influenced by various factors, such as politics, the economy, and the military. In this era of turbulence and development, China has proposed the constructive strategic policy of the Belt and Road, which not only highlights the responsibility of major countries but also reflects the significance and value of a community with a shared vision for mankind. A comprehensive analysis of the impact of various countries and factors on carbon emissions, coupled with the establishment of an accurate carbon emissions prediction model, can help enhance the efficiency and accuracy of carbon emissions forecasting while reducing costs. This in turn lays a solid theoretical foundation for achieving the “3060” goal and promoting the healthy and sustainable development of the Belt and Road.

5.2. Recommendations

Based on the conclusions of this empirical analysis, against the policy background supporting the robust growth of the AIIB, the active participation of countries worldwide in the Belt and Road, and the imminent achievement of the “carbon peak” goal, the following suggestions are tentatively proposed for the relevant departments of the national government:
Firstly, reasonable outbound investment, supporting an overall planning environment and economy. In the context of China’s outward investment, the findings from the coupled panel regression indicate a highly significant influence on carbon emissions across various country types. However, there are variations in both the extent of this influence and its associated positive and negative aspects. Increased economic investment in high-income countries across Europe, the Americas, and Oceania, as well as in low-income countries in the Americas and Oceania, is suggested. This investment can aid in the robust development of the new energy industry, enhance energy production, and decrease carbon emissions. When investing in high-income Asian countries, low-income Asian countries, low-income European countries, and African countries, caution is advised. Beyond mere economic exports, it is advisable to send technical personnel and technical support to regions where the economic and clean energy sectors are less developed than in more advanced nations to offset their increasing carbon emissions.
Secondly, strengthen exchanges in green industries and improve the national industrial structure. GDP trends mirror the aggregate progress of diverse sectors within a nation’s economy and positively influence the carbon footprint of all nations, regardless of their classification. Given that the traditional primary and secondary industries are the main sources of carbon emissions in the current industrial structure of most countries, optimizing and transforming the industrial structure can serve as a breakthrough point for energy conservation and emission reduction. We should actively promote the development of new industries such as new energy vehicles, clean energy generation, nuclear energy applications, and green agriculture; reduce the carbon emissions of traditional industry and agriculture; balance greenhouse gas emissions while promoting economic development; and promote the green, coordinated development of the “climate economy.”
Thirdly, improve the carbon emission accounting data platform to support the development of scientific and technological innovation in the industry. A high-performance carbon emission accounting and prediction model requires accurate measurement data. Currently, China’s carbon emission research data platforms face challenges, including inconsistent data metrics and cumbersome access procedures, which hinder related scientific and technological research. Drawing from the successful models in the World Bank database, we can establish a global carbon emission accounting platform. This will enhance evaluation metrics and encourage countries worldwide to collaborate and contribute to the shared goal of energy conservation and emission reduction.

Author Contributions

Conceptualization, X.-D.F.; Methodology, X.-D.F.; Software, X.-D.F. and X.-L.W.; Formal analysis, X.-D.F.; Investigation, L.W. and Y.Y.; Data curation, X.-L.W., L.W. and Y.Y.; Writing—original draft, X.-L.W. and L.W.; Writing—review & editing, X.-D.F. and Y.-Q.Z.; Supervision, Y.-Q.Z.; Project administration, X.-D.F.; Funding acquisition, X.-D.F.. All authors have read and agreed to the published version of the manuscript.

Funding

This research received no external funding.

Institutional Review Board Statement

Not applicable.

Informed Consent Statement

Not applicable.

Data Availability Statement

The authors confirm that all data generated or analyzed during this study are included in this published article (https://doi.org/10.57760/sciencedb.13121).

Conflicts of Interest

The authors declare no conflict of interest.

References

  1. Gao, X.; Wang, X. Prediction of Carbon Emissions from China’s Construction and Sanitary Ceramics Industry. Foshan Ceram. 2024, 34, 47–51+86. [Google Scholar]
  2. Zeng, Y.; Dai, Y.; Shu, Y.; Yin, T. Carbon Emission Analysis of Low-Carbon Technology Coupled with a Regional Interated Energy System Considering Carbon-Peaking Targets. Appl. Sci. 2024, 14, 8277. [Google Scholar] [CrossRef]
  3. Yang, W.; Xia, B.; Li, Y.; Qi, X.; Zhang, J. Prediction and Scenario Simulation of Carbon Emissions Peak of Resource-Based Urban Agglomeration with Indrstrial Clusters-Case of Huban Agglomeration Inner Mongolia Autonomous Region, China. Energies 2024, 17, 5521. [Google Scholar] [CrossRef]
  4. Qi, Y.; Zhang, X.; Zhang, J.; Sun, Y. Dynamic Multi-Factor Correlation Analysis for Prediction of Provincial Carbon Emissions in China’s Bohai Rim Region. Processes 2024, 12, 2207. [Google Scholar] [CrossRef]
  5. Song, M.; Wang, Y.; Han, Y.; Ji, Y. Estimation Model and Spatio-Temporal Analysis of Carbon Emissions from Energy Consumption with NPP-VIIRS-like Nighttime Light Images: A Case Study in the Pearl River Delta Urban Agglomeration of China. Remote Sens. 2024, 16, 3407. [Google Scholar] [CrossRef]
  6. Zeng, S.; Chen, J. Forecasting the Allocation Ratio of Carbon Emission Allowance Currency for 2020 and 2030 in China. Sustainability 2016, 8, 650. [Google Scholar] [CrossRef]
  7. Li, W.; Li, G.; Zhang, R.; Sun, W.; Jin, B.; Cui, P. Carbon Reduction Potential of Resource-Dependent Regions Based on Simulated Annealing Programming Algorithm. Sustainability 2017, 9, 1161. [Google Scholar] [CrossRef]
  8. Sun, Y.; Yang, Y.; Liu, S.; Li, Q. Research on Transportation Carbon Emission Peak Prediction and Judgment System in China. Sustainability 2023, 15, 14880. [Google Scholar] [CrossRef]
  9. Yang, M.; Wang, L.; Hu, H. Analysis of Factors Influencing the Spatial and Temporal Variability of Carbon Intensity in Western China. Sustainability 2024, 16, 3364. [Google Scholar] [CrossRef]
  10. Wang, L.; Dai, S.; Wang, C. Carbon Footprint Accounting and Verification of Seven Major Urban Agglomerations in China Based on Dynamic Emission Factor Model. Sustainability 2024, 16, 9817. [Google Scholar] [CrossRef]
  11. Dan, Z.; Lu, Z. Shipping Emission Control Area Optimization Considering Carbon Emission Reduction. Oper. Res. 2024, 72, 1333. [Google Scholar]
  12. Huang, J.; Cui, J.; Dong, F. Impact of e-governments on carbon emission reduction targets: Evidence from global 51 countries. Clean Technol. Environ. Policy 2024, 26, 2357. [Google Scholar] [CrossRef]
  13. Adeyemo, O.O.; Asuru, C. Impact of Oil Exports on Carbon Dioxide Emission in Nigeria. Int. J. Energy Environ. 2023, 11, 33–45. [Google Scholar] [CrossRef]
  14. Hasnain, A.; Ayesha, S.; Shahzad, A.; Saif, R. Impact of Digital Finance, Tax Policy, Economic Expansion and Urbanization on Carbon Emission in the Context of Pakistan. Rev. Educ. Adm. Law (REAL) 2023, 6, 631. [Google Scholar]
  15. Zeng, S.; Wang, M. Theoretical and empirical analyses on the factors affecting carbon emissions: Case of Zhejiang province, China. Environ. Dev. Sustain. 2023, 25, 2522–2549. [Google Scholar] [CrossRef]
  16. Pan, X.; Guo, S. Decomposition analysis of regional differences in China’s carbon emissions based on socio-economic factors. Energy 2024, 303, 131932. [Google Scholar] [CrossRef]
  17. Xie, Z.; Zhao, R.; Yao, S.; Hu, Y.; Ji, Y.; Hua, Y.; Li, Y. Measurement and influencing factors of indirect carbon emissions from food consumption in China. Appl. Ecol. Environ. Res. 2023, 21, 3691. [Google Scholar] [CrossRef]
  18. Li, X.; Liu, C.; Wang, F.; Ge, Q.; Hao, Z. The effect of Chinese investment on reducing CO2 emission for the Belt and Road countries. J. Clean. Prod. 2021, 288, 125125. [Google Scholar] [CrossRef]
  19. Zou, W.; Feng, J. International Transportation Infrastructure and China Enterprises Green Innovation: Evidence from the China Railway Express. Sustainability 2024, 11, 8160. [Google Scholar] [CrossRef]
  20. Deng, Y.; Chen, H.; Hai, Y. Land Use Changes and Future Land Use Scenario Simulations of the China-Pakistan Economic Corridor under the Belt and Road Initiative. Sustainability 2024, 16, 8842. [Google Scholar] [CrossRef]
  21. Tritto, A. China’s Belt and Road Initiative: From perceptions to realities in Indonesia’s coal power sector. Energy Strategy Rev. 2021, 34, 100624. [Google Scholar] [CrossRef]
  22. Liu, M.; Ma, H. Untangling the effects of the Belt and Road Initiative on carbon dioxide emissions. Environ. Manag. 2023, 325, 116628. [Google Scholar] [CrossRef]
  23. Gallagher, K.S.; Bhandary, R.; Narassimhan, E.; Nguyen, Q.T. Banking on coal? Driver of demand for Chinese overseas inverstments in coal in Bangladesh, India, Indonesia, and Vietnam. Energy Res. Soc. Sci. 2021, 71, 101827. [Google Scholar] [CrossRef]
  24. Liu, H.; Wang, Y.; Jiang, J.; Wu, P. How green is the “Belt and Road Initiative”?—Evidence from Chinese OFDI in the energy sector. Energy Policy 2020, 145, 111709. [Google Scholar] [CrossRef]
  25. Jiang, Q.; Ma, X.; Wang, Y. How does the one belt one road initiative affect the green economic growth? Energy Econ. 2021, 101, 105429. [Google Scholar] [CrossRef]
  26. Wang, X.; Wang, Y.; Zhou, K. The impact of energy poverty alleviation on carbon emissions in countries along the Belt and Road initiative. Sustainability 2024, 16, 4681. [Google Scholar] [CrossRef]
  27. Rauf, A.; Liu, X.; Amin, W.; Ozturk, I.I.; Rehman, O.U.; Sarwar, S. Energy and ecological sustainability: Challenges and panoramas in Belt and Road initiative countries. Sustainability 2018, 10, 2743. [Google Scholar] [CrossRef]
  28. Yan, Y.; Chen, Y.; Hua, M.; Zhen, H. Research on energy efficiency evaluation of provinces along the Belt and Road under carbon emission constraints: Based on super-efficient SBM and Malmquist index model. Sustainability 2022, 14, 8453. [Google Scholar] [CrossRef]
  29. Zhao, J.; Wang, X. The impact of China’s foreign direct investment on carbon emission of countries along the “the Belt and Road ”—based on the threshold effect of financial development. J. Ind. Technol. Econ. 2021, 40, 42–51. [Google Scholar]
  30. Yue, X.; Shi, B.; Li, J. Research on Fault Diagnosis of Oil Immersed Transformer Base on Improved Particle Swarm Optimization T-S ANFIS Algorithm. Comput. Meas. Control 2023, 31, 33–39. [Google Scholar]
  31. Wilos, I.E.; Wiloso, R.A.; Setiawan, R.A.A.; Jupeata, J.; Fang, K.; Heijungs, R.; Faturay, F. ndonesia’s contribution to global carbon flows: Which sectors are most responsible for the emissions embodied in trade? Sustain. Prod. Comsum. 2024, 48, 157–168. [Google Scholar]
  32. Wang, Q.; Wang, W.; Liu, M.; Lv, J.; Liu, J.; Yue, G. Development and prospect of ultra critical coal-fired power generation technology. Therm. Power Gener. 2021, 50, 1–9. [Google Scholar]
  33. Chen, G.; Li, D.; Chen, Z.; He, R.; Zheng, G.; Zhou, J.; Zhang, M.; Wang, J.; Xiao, F. The development application of key technologies for combustion adjustment technology in China under the background of carbon neutrality. Coal. Sci. Technol. 2020, 6, 10–15. [Google Scholar]
  34. Lv, J.; Jiang, L.; Ke, X.; Zhang, H.; Liu, Q.; Huang, Z.; Zhou, T.; Zhang, M.; Xiao, F. The development prospect of circulation fluidized bed combustion technology in China under the background of carbon neutrality. Coul Sci. Technol. 2023, 51, 514–522. [Google Scholar]
  35. Liu, Z.; Wu, X.; Fan, W.; Zhang, X.; Liu, Y. Effect of characteristic elements of coal ash on ash-forming characteristics of pulverized coal during high temperature oxygen-enriched combustion. Clean Coal Technol. 2021, 27, 272–280. [Google Scholar]
  36. Tan, X.; Wu, L.; Yu, Q.; Liu, Z.; Wanf, Y.; Sun, G. Temperature Control Research of Solar-air Source Heat Pump Heating System Based on ANFIS. Acta Energiae Solaris Sin. 2024, 45, 16–22. [Google Scholar]
  37. Iman, R.; Kashif, R.; Bok, J.Y.; Dong, S.K. Development of environment-friendly dual fuel pulverized coal-natural gas combustion technology for the co-firing power plant boiler: Experimental and numerical analysis. Energy 2021, 228, 120550. [Google Scholar]
  38. Tao, Y.; Liang, H.; Celia, M.A. Electric power development associated with the Belt and Road Initiative and its carbon emissions implications. Appl. Energy 2020, 267, 114784. [Google Scholar] [CrossRef]
  39. Dong, F.; Qin, C.; Zhang, X.; Zhao, X.; Pan, Y.; Gao, Y.; Zhu, J.; Li, Y. Towards Carbon Neutrality: The Impact of Renewable Energy Development on Carbon Emission Efficiency. Int. J. Environ. Res. Public Health 2021, 18, 13284. [Google Scholar] [CrossRef] [PubMed]
  40. Yu, Z.; Khan, S.A.R.; Ponce, P.; de Sousa Jabbour, A.B.L.; Jabbour, C.J.C. Factors affecting carbon emissions in emerging economies in the context of a green recovery: Implications for sustainable development goals. Technol. Forecast. Soc. Chang. 2022, 176, 121417. [Google Scholar] [CrossRef]
  41. Nordhaus, W.D. Economic growth and climate: The carbon dioxide problem. Am. Econ. Rev. 1977, 67, 341–346. [Google Scholar]
  42. Fang, Y.; Jiang, Y.; Sun, L. Design of green cold chain networks for imported fresh Agri-products in Belt and Road development. Sustainability 2018, 10, 1572. [Google Scholar] [CrossRef]
  43. Zhang, W.; Yang, Y. Impact analysis of energy-related carbon emission in Chongqing based on logarithmic mean division index. Environ. Prog. Sustain. Energy 2022, 41, e13724. [Google Scholar] [CrossRef]
  44. Sun, X.; Mi, Z. Factors Driving China’s Carbon Emissions after the COVID-19 Outbreak. Environ. Sci. Technol. 2023, 57, 19125–19136. [Google Scholar] [CrossRef] [PubMed]
  45. Huang, H.P.; Li, Z.X.; Huang, D.; Xie, M.H.; Wang, Z.P. Research on the Measurement, Analysis and Prediction of Agricultural Carbon Emissions in Jiangxi Province under the “Dual Carbon” Goals. J. Ecol. Rural Environ. 2024, 40, 179–190. [Google Scholar]
Figure 1. The distribution of countries along the Belt and Road.
Figure 1. The distribution of countries along the Belt and Road.
Sustainability 16 11014 g001
Figure 2. The changes in total carbon emissions based on panel data from the researched countries from 2005 to 2020.
Figure 2. The changes in total carbon emissions based on panel data from the researched countries from 2005 to 2020.
Sustainability 16 11014 g002
Figure 3. The changes in carbon emissions produced by four countries in specific years.
Figure 3. The changes in carbon emissions produced by four countries in specific years.
Sustainability 16 11014 g003
Figure 4. Rates of change in carbon emissions of different countries based on panel data from 2005 to 2020. (a) Distribution of rates of change in carbon emissions in various countries in 2006. (b) Distribution of rates of change in carbon emissions in various countries in 2009. (c) Distribution of rates of change in carbon emissions in various countries in 2015. (d) Distribution of rates of change in carbon emissions in various countries in 2019.
Figure 4. Rates of change in carbon emissions of different countries based on panel data from 2005 to 2020. (a) Distribution of rates of change in carbon emissions in various countries in 2006. (b) Distribution of rates of change in carbon emissions in various countries in 2009. (c) Distribution of rates of change in carbon emissions in various countries in 2015. (d) Distribution of rates of change in carbon emissions in various countries in 2019.
Sustainability 16 11014 g004
Figure 5. Annual rate of change in carbon emissions in Laos and Malta from 2005 to 2020: (a) Laos; (b) Malta.
Figure 5. Annual rate of change in carbon emissions in Laos and Malta from 2005 to 2020: (a) Laos; (b) Malta.
Sustainability 16 11014 g005
Figure 6. Data distribution and linear tests of indicator pairs.
Figure 6. Data distribution and linear tests of indicator pairs.
Sustainability 16 11014 g006
Figure 7. Data distribution before and after Box–Cox transformation for CNI and HTE.
Figure 7. Data distribution before and after Box–Cox transformation for CNI and HTE.
Sustainability 16 11014 g007
Figure 8. ANFIS network structure and calculation sequence.
Figure 8. ANFIS network structure and calculation sequence.
Sustainability 16 11014 g008
Figure 9. Results of the first and fifth error evaluation changes in the selection of random forest parameters.
Figure 9. Results of the first and fifth error evaluation changes in the selection of random forest parameters.
Sustainability 16 11014 g009
Figure 10. Correlation heatmap and importance ranking of indicators.
Figure 10. Correlation heatmap and importance ranking of indicators.
Sustainability 16 11014 g010
Figure 11. Thermal map and significance criteria for coupling regression coefficients of mixed effect models for different types of countries.
Figure 11. Thermal map and significance criteria for coupling regression coefficients of mixed effect models for different types of countries.
Sustainability 16 11014 g011
Figure 12. Comparison of true and predicted carbon emission data using multiple linear regression.
Figure 12. Comparison of true and predicted carbon emission data using multiple linear regression.
Sustainability 16 11014 g012
Figure 13. PSO neural network used for predicting carbon emissions data: a comparison of actual and predicted values. (a) PSO network training set results. (b) PSO network test set results. (c) PSO algorithm fitness curve changes. (d) PSO neural network R2 variation.
Figure 13. PSO neural network used for predicting carbon emissions data: a comparison of actual and predicted values. (a) PSO network training set results. (b) PSO network test set results. (c) PSO algorithm fitness curve changes. (d) PSO neural network R2 variation.
Sustainability 16 11014 g013
Figure 14. Training effectiveness of the LSTM model for predicting carbon emissions. (a) Changes in MSE and loss during training. (b) LSTM carbon emission prediction situation.
Figure 14. Training effectiveness of the LSTM model for predicting carbon emissions. (a) Changes in MSE and loss during training. (b) LSTM carbon emission prediction situation.
Sustainability 16 11014 g014
Figure 15. ANFIS prediction results of carbon emission data. (a) Comparison of ANFIS’s true and predicted carbon emissions. (b) Changes in the prediction error of ANFIS. (c) Histogram of ANFIS’s prediction error distribution.
Figure 15. ANFIS prediction results of carbon emission data. (a) Comparison of ANFIS’s true and predicted carbon emissions. (b) Changes in the prediction error of ANFIS. (c) Histogram of ANFIS’s prediction error distribution.
Sustainability 16 11014 g015
Figure 16. Cycle prediction flowchart.
Figure 16. Cycle prediction flowchart.
Sustainability 16 11014 g016
Figure 17. Comparison of parameter selection and prediction of the one-time exponential smoothing method model. (a) R2 and RMSE corresponding to different model parameters. (b) Comparison of three parameter prediction results with actual values.
Figure 17. Comparison of parameter selection and prediction of the one-time exponential smoothing method model. (a) R2 and RMSE corresponding to different model parameters. (b) Comparison of three parameter prediction results with actual values.
Sustainability 16 11014 g017
Figure 18. Error and residual analysis of the triple exponential smoothing model’s parameter selection. (a) RMSE variation in different parameter combinations. (b) Residual variation in different parameter combinations.
Figure 18. Error and residual analysis of the triple exponential smoothing model’s parameter selection. (a) RMSE variation in different parameter combinations. (b) Residual variation in different parameter combinations.
Sustainability 16 11014 g018
Figure 19. Partial results of the coupled model’s carbon emission prediction.
Figure 19. Partial results of the coupled model’s carbon emission prediction.
Sustainability 16 11014 g019
Figure 20. Prediction effect diagram of 100 random errors.
Figure 20. Prediction effect diagram of 100 random errors.
Sustainability 16 11014 g020
Table 1. Index system of factors influencing carbon emissions.
Table 1. Index system of factors influencing carbon emissions.
Primary IndicatorsSecondary IndicatorsSymbol
Macroeconomic factorsCarbon rent C R
Chinese investment C N I
Stake trading S T 1
Service trading S T 2
GDP G D P
Energy factorsNuclear electric power generation N E P G
Personal power consumption P P C
Energy consumption E C
Energy consumption per unit of GDP E G D P
Fossil fuel electric power generation F E P G
Energy import (net amount) E I N A
Foreign trade factorsTransport service import T S I
Transport service export T S E
Commerce service import C S I
High-technology export H T E
Commerce service export C S E
Import (net amount) I N A
Implicit population factorsPersonal power consumption P D
Labor L B
Urban rate U R
Dependent variableCarbon emissions C E M
Table 2. Countries and corresponding indicators that were deleted due to significant amounts of missing data.
Table 2. Countries and corresponding indicators that were deleted due to significant amounts of missing data.
Deleted CountriesMissing Indicators
IraqHigh-tech export volume
Bolivarian Republic of VenezuelaHigh-tech export volume
CubaHigh-tech export volume
Islamic Republic of IranService trade volume
LaosEnergy (net imports)
VietnamExport volume of transportation services
Table 3. Results of statistical data analysis.
Table 3. Results of statistical data analysis.
IndexMeanStdMinMax
C R 0.35781.5222025.8999
C N I 147,746.3476443,644.447375,985,785
C S I 1.8966 × 10 10 2.8499 × 10 10 2.8602 × 10 7 2.1159 × 10 11
H T E 8.3039 × 10 9 2.1316 × 10 10 43,186 1.5993 × 10 11
S T 1 72.392744.140810.2021343.4881
C S E 2.0384 × 10 10 3.1659 × 10 10 1.3379 × 10 8 2.1949 × 10 11
S T 2 22.436727.83992.3380226.7944
N E P G 5.379814.4488074.2403
P P C 3855.69564041.880263.729529,928.5088
P D 312.09811023.60141.64647965.8785
E C 2383.17232339.0783161.758912,936.2700
U R 61.67604321.163715.1490100
I N A 3.1974 × 10 9 8.5343 × 10 9 5.835 × 10 10 7.7206 × 10 10
L B 2.4773 × 10 7 6.6489 × 10 10 161,8965.2052 × 108
E I N A −12.5358130.9856−849.5552102.7435
T S I 34.795314.42203.649385.1643
T S E 27.736616.10701.006893.3517
E G D P 11.79216.85270.200465.1858
F E P G 64.948130.29310100
G D P 2.7171 × 10 11 4.3995 × 10 11 2.4602 × 10 9 2.8356 × 10 12
C E M 162,792340,8892,458,1801352.3
Table 4. High-correlation features.
Table 4. High-correlation features.
Link IndexHigh-Correlation IndexCorrelation Coefficient
CSILB0.57
GDP0.76
ST1PPC0.5
ST20.71
EC0.51
HTECSI0.81
GDP0.62
CSEHTE0.76
LB0.65
CSI0.88
GDP0.88
PPCEC0.95
UR0.77
ECUR0.72
LBGDP0.58
INAGDP0.68
CRNEPG0.5
Table 5. Selection of key factors influencing carbon emissions.
Table 5. Selection of key factors influencing carbon emissions.
TypeIndex
Macroeconomic factorsGDP
CR
CNI
Energy factorsFEPG
EGDP
EINA
PPC
Foreign trade factorsTSI
CSE
Hidden factors of populationUR
Table 6. Comparison of multiple model regression coefficient results and evaluation indicators.
Table 6. Comparison of multiple model regression coefficient results and evaluation indicators.
IndexIndividual Fixed EffectFixed Time EffectMixed Fixed Effect
CR0.0371 ***
(0.0180)
0.1731
(0.0119)
0.0609 ***
(0.0186)
CNI−0.0360
(0.0092)
−0.0094 *
(0.0153)
0.0004 *
(0.0120)
CSE0.1078
(0.0217)
−0.0191 *
(0.0212)
0.1245
(0.0230)
PPC0.4324
(0.0395)
0.1204
(0.0199)
0.4329
(0.0407)
UR0.1790
(0.0577)
−0.0940
(0.0168)
0.2242
(0.0645)
EINA0.0177 **
(0.0102)
0.0285 ***
(0.0134)
0.0127 *
(0.0100)
TSI0.0003 *
(0.0092)
0.0590
(0.0120)
0.0157 **
(0.0094)
EGDP−0.0320
(0.0084)
−0.1877
(0.0128)
0.0321
(0.0092)
FEPG0.0754
(0.0148)
0.1391
(0.0124)
0.0660
(0.0147)
GDP0.2179
(0.0280)
0.8602
(0.0184)
0.3191
(0.0309)
R2 (original model)0.52060.91490.4570
R2 (optimal results)0.9890.9150.990
Note: *** Significant at 1% level, ** significant at 5% level, * significant at 10% level. The standard error is within parentheses, while the regression coefficient is outside.
Table 7. LSTM network parameter settings.
Table 7. LSTM network parameter settings.
ParameterValueParameterValue
Input Layer10Max Epochs50
LSTM Layer128Gradient Threshold1
Dropout Layer0.1Initial Learn Rate0.005
Fully Connected Layer1Learn Rate Drop Period125
Mini Batch Size2Learn Rate Drop Factor0.2
Table 8. ANFIS network parameter settings.
Table 8. ANFIS network parameter settings.
ParameterValue
Max Epoch300
Error Goal0
Initial Step Size0.01
Step Size Rate of Decrease0.9
Step Size Rate of Increase1.1
FIS Generation MethodFCM
Optimization MethodBackpropagation
Disclaimer/Publisher’s Note: The statements, opinions and data contained in all publications are solely those of the individual author(s) and contributor(s) and not of MDPI and/or the editor(s). MDPI and/or the editor(s) disclaim responsibility for any injury to people or property resulting from any ideas, methods, instructions or products referred to in the content.

Share and Cite

MDPI and ACS Style

Feng, X.-D.; Wang, X.-L.; Wen, L.; Yuan, Y.; Zhang, Y.-Q. Research and Prediction Analysis of Key Factors Influencing the Carbon Dioxide Emissions of Countries Along the “Belt and Road” Based on Panel Regression and the A-A-E Coupling Model. Sustainability 2024, 16, 11014. https://doi.org/10.3390/su162411014

AMA Style

Feng X-D, Wang X-L, Wen L, Yuan Y, Zhang Y-Q. Research and Prediction Analysis of Key Factors Influencing the Carbon Dioxide Emissions of Countries Along the “Belt and Road” Based on Panel Regression and the A-A-E Coupling Model. Sustainability. 2024; 16(24):11014. https://doi.org/10.3390/su162411014

Chicago/Turabian Style

Feng, Xiang-Dong, Xiang-Long Wang, Li Wen, Yao Yuan, and Yu-Qin Zhang. 2024. "Research and Prediction Analysis of Key Factors Influencing the Carbon Dioxide Emissions of Countries Along the “Belt and Road” Based on Panel Regression and the A-A-E Coupling Model" Sustainability 16, no. 24: 11014. https://doi.org/10.3390/su162411014

APA Style

Feng, X.-D., Wang, X.-L., Wen, L., Yuan, Y., & Zhang, Y.-Q. (2024). Research and Prediction Analysis of Key Factors Influencing the Carbon Dioxide Emissions of Countries Along the “Belt and Road” Based on Panel Regression and the A-A-E Coupling Model. Sustainability, 16(24), 11014. https://doi.org/10.3390/su162411014

Note that from the first issue of 2016, this journal uses article numbers instead of page numbers. See further details here.

Article Metrics

Back to TopTop