A New BDS-2 Satellite Clock Bias Prediction Algorithm with an Improved Exponential Smoothing Method
Abstract
1. Introduction
2. Theory of Improved Exponential Smoothing Method Prediction
2.1. Exponential Smoothing Prediction Model
2.2. Optimize the Smoothing Coefficient Using the “TNTF” Principle
2.3. Prediction Principle of ES Based on Sliding Window
2.4. Prediction Principle of ES + GM Using Sliding Window
3. Experimental Data and Evaluation Indicators
3.1. Experimental Datasets
3.2. Evaluation Criteria
4. Results and Discussion
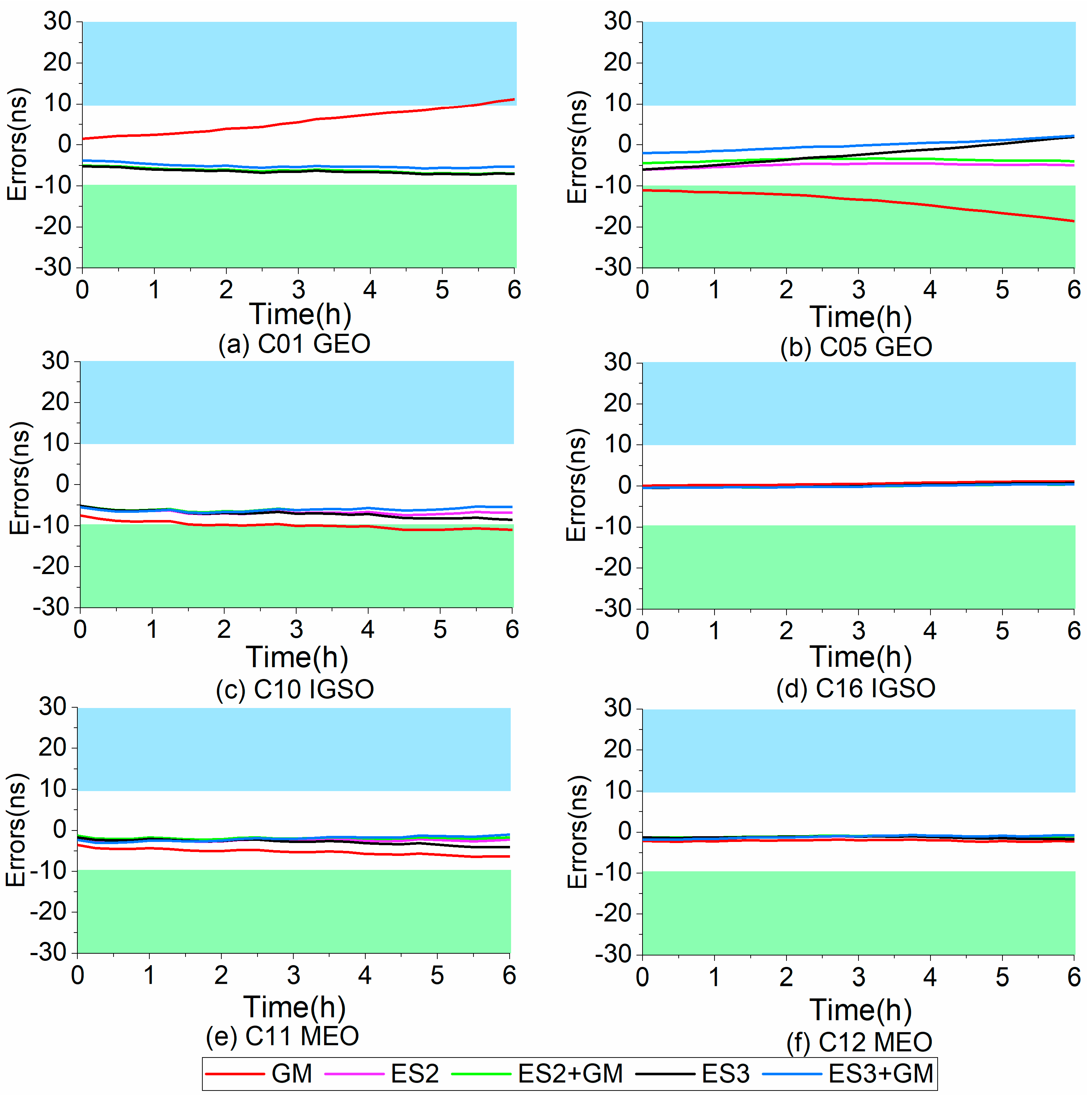
4.1. Short-Term Forecast Performance Analysis
4.2. Medium-Term Forecast Performance Analysis
5. Conclusions
Author Contributions
Funding
Acknowledgments
Conflicts of Interest
Abbreviations
| Abbreviation | The full name |
| BDS | BeiDou Navigation Satellite System |
| SCB | Satellite Clock Bias |
| ES | Exponential Smoothing |
| TNTF | Thick Near Thin Far |
| SW | Sliding Windows |
| GM | Gray Model |
| ES1 | One Exponential Smoothing |
| ES2 | Two Exponential Smoothing |
| ES3 | Three Exponential Smoothing |
| ES + SW | Exponential Smoothing using Sliding Windows |
| ES + GM | the combination model of the ES model and the GM |
| ES2 + GM | the combination model of the ES2 model and the GM |
| ES3 + GM | the combination model of the ES3 model and the GM |
| ES2 + GM + SW | the combination of the ES2 model and the GM using sliding windows |
| ES3 + GM + SW | the combination of the ES3 model and the GM using sliding windows |
| GNSS | Global Navigation Satellite System |
| GPS | Global Positioning System |
| GLONASS | GLObal NAvigation Satellite System |
| PNT | Positioning, navigation, and timing |
| IGS | International GNSS Service |
| PPP | Precise point positioning |
| ARMA | Auto-Regressive Moving Average model |
| SAM | Spectrum Analysis Model |
| LSSVM | Least Squares Support Vector Machines |
| WNN | Wavelet Neural Network |
| MEO | Medium Earth Orbit |
| GEO | Geosynchronous Earth Orbit |
| IGSO | Inclined Geosynchronous Satellite Orbit |
| WMAPE | Weighted Mean Absolute Percentage Error |
| iGMAS | international GNSS Monitoring & Assessment System |
| PRN | Pseudo-Random Noise code |
| LSM | Least Squares Method |
| RMS | Root Mean Square |
References
- CSNO. Development of the BeiDou Navigation Satellite System (Version 4.0). Available online: http://www.beidou.gov.cn/xt/gfxz/201912/P020191227337020425733.pdf (accessed on 15 October 2020).
- Tu, R.; Zhang, R.; Fan, L.H.; Han, J.Q.; Zhang, P.F.; Lu, X.C. Real-Time Detection of Orbital Maneuvers Using Epoch-Differenced Carrier Phase Observations and Broadcast Ephemeris Data: A Case Study of the BDS Dataset. Sensors 2020, 20, 4584. [Google Scholar] [CrossRef]
- Montenbruck, O.; Steigenberger, P.; Prange, L. The multi GNSS experiment (MGEX) of the international GNSS service (IGS)–achievements, prospects and challenges. Adv. Space Res. 2017, 59, 1671–1697. [Google Scholar] [CrossRef]
- Cai, C.; Gao, Y. GLONASS-based precise point positioning and performance analysis. Adv. Space Res. 2013, 51, 514–524. [Google Scholar] [CrossRef]
- Zhang, L.; Yang, H.; Gao, Y.; Yao, Y.; Xu, C. Evaluation and analysis of real-time precise orbits and clocks products from different IGS analysis centers. Adv. Space Res. 2018, 61, 2942–2954. [Google Scholar] [CrossRef]
- Ge, M.R.; Chen, J.P.; Dousa, J.; Gendt, G.; Wickert, J. A computationally efficient approach for estimating high-rate satellite clock corrections in realtime. GPS Solut. 2012, 16, 9–17. [Google Scholar] [CrossRef]
- Huang, G.W.; Cui, B.B.; Zhang, Q.; Fu, W.J.; Li, P.L. An Improved Predicted Model for BDS Ultra-Rapid Satellite Clock Offsets. Remote Sens. 2018, 10, 60. [Google Scholar] [CrossRef]
- Xu, B.; Wang, L.; Fu, W.; Chen, R.; Li, T.; Zhang, X. A Practical Adaptive Clock Offset Prediction Model for the Beidou-2 System. Remote Sens. 2019, 11, 1850. [Google Scholar] [CrossRef]
- He, L.; Zhou, H.; Wen, Y.; He, X. Improving Short Term Clock Prediction for BDS-2 Real-Time Precise Point Positioning. Sensors 2019, 12, 2762. [Google Scholar] [CrossRef]
- Senior, K.L.; Ray, J.R.; Beard, R.L. Characterization of periodic variations in the GPS satellite clocks. GPS Solut. 2008, 12, 211–225. [Google Scholar] [CrossRef]
- Heo, Y.J.; Cho, J. Improving prediction accuracy of GPS satellite clocks with periodic variation behavior. Meas. Sci. Technol. 2010, 21, 073001–073008. [Google Scholar] [CrossRef]
- Lu, J.C.; Zhang, C.; Zheng, Y.; Wang, R.P. Fusion-based Satellite Clock Bias Prediction Considering Characteristics and Fitted Residue. J. Navig. 2018, 71, 1–16. [Google Scholar] [CrossRef]
- Xu, A.; Xu, Z.; Xu, X. Precise Point Positioning Using the Regional BeiDou Navigation Satellite Constellation. J. Navig. 2014, 67, 523–537. [Google Scholar] [CrossRef]
- Zhao, Q.; Guo, J.; Hu, Z.; Shi, C.; Liu, J. Initial results of precise orbit and clock determination for compass navigation satellite system. J. Geod. 2013, 87, 475–486. [Google Scholar] [CrossRef]
- Hauschild, A.; Montenbruck, O.; Steigenberger, P. Short-term analysis of GNSS clocks. GPS Solut. 2013, 17, 295–307. [Google Scholar] [CrossRef]
- Wang, D.; Guo, R.; Xiao, S.; Xin, J.; Tang, T.; Yuan, Y. Atomic clock performance and combined clock error prediction for the new generation of BeiDou navigation satellites. Adv. Space Res. 2018, 63, 2889–2898. [Google Scholar] [CrossRef]
- Liang, Y.; Ren, C.; Yang, X.; Pang, G.; Lan, L. A grey model based on first differences in the application of satellite clock bias prediction. Chin. Astron. Astrophys. 2015, 40, 79–93. [Google Scholar] [CrossRef]
- Liu, Q.; Sun, J.; Chen, X.; Liu, J.; Zhang, Q. Application analysis of CPSO-LSSVM algorithm in AR clock error prediction. J. Jilin Univ. Eng. Technol. Ed. 2014, 44, 807–811. [Google Scholar]
- He, L.; Zhou, H.; Liu, Z.; Wen, Y.; He, X. Improving clock prediction algorithm for BDS-2/3 satellites based on LS-SVM method. Remote Sens. 2019, 11, 2554. [Google Scholar] [CrossRef]
- Wang, Y.; Lv, Z.; Ning, W.; Li, L.; Gong, X. Prediction of navigation satellite clock bias considering clock’s stochastic variation behavior with robust least square collocation. Acta Geod. Cartogr. Sin. 2016, 45, 646–655. [Google Scholar]
- Xu, B.; Wang, Y.; Yang, X. Navigation satellite clock error prediction based on functional network. Neural Process. Lett. 2013, 38, 305–320. [Google Scholar] [CrossRef]
- El-Mowafy, A.; Deo, M.; Kubo, N. Maintaining real-time precise point positioning during outages of orbit and clock corrections. GPS Solut. 2017, 21, 937–947. [Google Scholar] [CrossRef]
- Pan, L.; Zhang, X.; Li, X.; Liu, J.; Guo, F.; Yuan, Y. GPS inter-frequency clock bias modeling and prediction for real-time precise point positioning. GPS Solut. 2018, 22, 1–15. [Google Scholar] [CrossRef]
- Li, Y.; Gao, Y.; Li, B. An impact analysis of arc length on-orbit prediction and clock estimation for PPP ambiguity resolution. GPS Solut. 2015, 19, 201–213. [Google Scholar] [CrossRef]
- Wang, Y.; Lu, Z.; Qu, Y. Improving prediction performance of GPS satellite clock bias based on wavelet neural network. GPS Solut. 2017, 21, 523–534. [Google Scholar] [CrossRef]
- Wang, X.; Chai, H.; Wang, C.; Chong, Y. A wavelet neural network for optimal wavelet function to predict GPS satellite clock bias. Acta Geod. Cartogr. Sin. 2020, 49, 983–992. [Google Scholar]
- Panfilo, G.; Tavella, P. Atomic clock prediction based on stochastic differential equations. Metrologia 2008, 45, S108–S116. [Google Scholar] [CrossRef]
- Han, T. Fractal behavior of BDS-2 satellite clock offsets and its application to real-time clock offsets prediction. GPS Solut. 2020, 24, 35–47. [Google Scholar] [CrossRef]
- Yang, D.; Sharma, V.; Ye, Z.; Lim, L.; Zhao, L.; Aryaputera, A. Forecasting of global horizontal irradiance by exponential smoothing, using decompositions. Energy 2015, 81, 111–119. [Google Scholar] [CrossRef]
- Chan, K.; Dillon, T.; Singh, J.; Chang, E. Neural network-based models for short-term traffic flow forecasting using a hybrid exponential smoothing and Levenberg-Marquardt algorithm. IEEE Trans. Intell. Transp. Syst. 2012, 13, 644–654. [Google Scholar] [CrossRef]
- Yang, Q.; Yang, Y.; Feng, Z.; Zhao, X. Prediction method for passenger volume of city public transit based on grey theory and Markov model. China J. Highw. Transp. 2013, 26, 169–175. [Google Scholar]
- Liu, S.; Gu, S.; Bao, T. An automatic forecasting method for time series. J. Electron. 2017, 26, 445–452. [Google Scholar] [CrossRef]
- Wang, L.; Zhang, Q.; Huang, G.; Tian, J. GPS satellite clock bias prediction based on exponential smoothing method. Geomat. Inf. Sci. Wuhan Univ. 2017, 42, 995–1001. [Google Scholar]
- Mi, J.; Fan, L.; Duan, X.; Qiu, Y. Short-term power load forecasting method based on improved exponential smoothing grey model. Math. Probl. Eng. 2018, 2018, 1–11. [Google Scholar] [CrossRef]
- Guan, P.; Wu, W.; Huang, D. Trends of reported human brucellosis cases in mainland China from 2007 to 2017: An exponential smoothing time series analysis. Environ. Health Prev. Med. 2018, 23, 2–7. [Google Scholar] [CrossRef] [PubMed]
- Raha, S.; Gayen, S.K. Simulation of meteorological drought using exponential smoothing models: A study on Bankura District, West Bengal, India. SN Appl. Sci. 2020, 2, 909. [Google Scholar] [CrossRef]
- Ge, P.; Wang, J.; Ren, P.; Gao, H.; Luo, Y. A new improved forecasting method integrated fuzzy time series with the exponential smoothing method. Int. J. Environ. Pollut. 2013, 51, 206–221. [Google Scholar] [CrossRef]
- Chen, J.; Ji, P.R.; Lu, F. Exponential smoothing method and its application to load forecasting. J. China Three Gorges Univ. Nat. Sci. 2010, 32, 37–41. [Google Scholar]
- Zeng, B.; Zhou, M.; Liu, X.; Zhang, Z. Application of a new grey prediction model and grey average weakening buffer operator to forecast China’s shale gas output. Energy Rep. 2020, 6, 1608–1618. [Google Scholar] [CrossRef]
- BEIDOU CONSTELLATION STATUS. Available online: https://www.glonass-iac.ru/en/BEIDOU/index.php (accessed on 16 February 2020).
- Li, Y.; Zhan, X.; Mei, H.; Liu, B. Particle swarm adaptive satellite clock error prediction model based on grey theory. J. Harbin Inst. Technol. 2018, 50, 71–77. [Google Scholar]













| PRN | Satellite No. | NORAD.ID | SVN | Int. sat. ID | Manuf. | Notes |
|---|---|---|---|---|---|---|
| C 01 | GEO-01 | 36287 | C 003 | 2010-001 A | 2G-CAST | 140.0° E; launched 17 January 2010 |
| C 05 | GEO-05 | 38091 | C 011 | 2012-008 A | 2G-CAST | 58.75° E; launched 25 February 2012 |
| C 10 | IGSO-05 | 37948 | C 010 | 2011-073 A | 2I-CAST | ~95° E; launched 2 December 2011 |
| C 16 | IGSO-07 | 43539 | C 019 | 2018-057 A | 2I-CAST | ~95° E; launched 10 July 2018 |
| C 11 | MEO-03 | 38250 | C 012 | 2012-018 A | 2M-CAST | Slot A-7; launched 30 April 2012 |
| C 12 | MEO-04 | 38251 | C 013 | 2012-018 B | 2M-CAST | Slot A-8; launched 30 April 2012 |
| Satellite No. | GM 1 | ES2 1 | ES2 + GM 1 | ES3 1 | ES3 + GM 1 | ||||||
|---|---|---|---|---|---|---|---|---|---|---|---|
| RMS | Range | RMS | Range | RMS | Range | RMS | Range | RMS | Range | ||
| GEO | C 01 | 6.49 | 9.60 | 6.34 | 2.12 | 6.23 | 2.08 | 6.47 | 2.05 | 5.09 | 1.86 |
| C 05 | 14.05 | 7.47 | 4.94 | 1.57 | 3.69 | 1.16 | 3.29 | 7.99 | 1.23 | 4.21 | |
| IGSO | C 10 | 9.90 | 3.48 | 6.77 | 2.15 | 6.03 | 1.57 | 7.18 | 3.38 | 6.13 | 1.49 |
| C 16 | 0.69 | 1.03 | 0.34 | 0.99 | 0.29 | 0.83 | 0.41 | 1.21 | 0.41 | 1.21 | |
| MEO | C 11 | 5.24 | 2.87 | 2.44 | 1.02 | 1.90 | 1.01 | 2.92 | 2.44 | 2.08 | 2.04 |
| C 12 | 2.09 | 0.54 | 1.23 | 0.66 | 1.00 | 0.69 | 1.29 | 0.79 | 1.16 | 1.22 | |
| GM | ES2 | ES2 + GM | IMP 1 (%) | ES3 | ES3 + GM | IMP 2 (%) | |||||||
|---|---|---|---|---|---|---|---|---|---|---|---|---|---|
| RMS | Range | RMS | Range | RMS | Range | RMS | Range | RMS | Range | RMS | Range | RMS | Range |
| 6.41 | 4.17 | 3.68 | 1.42 | 3.19 | 1.22 | 13.30 | 14.10 | 3.59 | 2.98 | 2.68 | 2.01 | 25.30 | 32.60 |
| Strategies | Criteria | GEO | IGSO | MEO | |||
|---|---|---|---|---|---|---|---|
| C 01 | C 05 | C 10 | C 16 | C 11 | C 12 | ||
| GM | RMS | 36.90 | 43.91 | 16.38 | 3.77 | 12.93 | 3.51 |
| Range | 73.10 | 68.98 | 20.45 | 7.05 | 19.64 | 4.09 | |
| ES2 | RMS | 8.79 | 7.95 | 9.08 | 1.89 | 3.39 | 2.24 |
| Range | 21.38 | 11.00 | 9.09 | 5.22 | 3.96 | 3.27 | |
| ES2 + SW 1 | RMS | 7.10 | 3.72 | 3.78 | 1.40 | 1.95 | 1.13 |
| Range | 17.08 | 9.86 | 7.36 | 3.22 | 3.82 | 2.94 | |
| ES2 + GM + SW 1 | RMS | 6.14 | 3.16 | 3.91 | 1.27 | 1.67 | 0.81 |
| Range | 5.73 | 6.86 | 4.61 | 2.79 | 3.00 | 2.48 | |
| ES3 | RMS | 9.21 | 8.11 | 9.01 | 2.96 | 8.41 | 2.93 |
| Range | 20.06 | 29.00 | 19.58 | 6.58 | 14.69 | 6.85 | |
| ES3 + SW 1 | RMS | 8.30 | 7.36 | 5.67 | 1.04 | 4.47 | 1.18 |
| Range | 15.75 | 27.69 | 15.96 | 4.82 | 14.03 | 4.88 | |
| ES3 + GM + SW 1 | RMS | 5.41 | 3.75 | 4.61 | 0.67 | 2.21 | 1.05 |
| Range | 6.09 | 13.49 | 13.12 | 3.35 | 8.20 | 4.53 | |
| GM | ES2 | ES2 + SW | IMP 1 (%) | ES2 + GM + SW | IMP 2 (%) | ES3 | ES3 + SW | IMP 1 (%) | ES3 + GM + SW | IMP 2 (%) | |||||||||||
|---|---|---|---|---|---|---|---|---|---|---|---|---|---|---|---|---|---|---|---|---|---|
| RMS | Range | RMS | Range | RMS | Range | RMS | Range | RMS | Range | RMS | Range | RMS | Range | RMS | Range | RMS | Range | RMS | Range | RMS | Range |
| 19.57 | 32.22 | 5.56 | 8.99 | 3.18 | 7.38 | 42.80 | 17.90 | 2.83 | 4.19 | 11.00 | 43.20 | 6.77 | 16.13 | 4.67 | 13.86 | 31.00 | 14.10 | 2.95 | 8.13 | 36.80 | 41.30 |
Publisher’s Note: MDPI stays neutral with regard to jurisdictional claims in published maps and institutional affiliations. |
© 2020 by the authors. Licensee MDPI, Basel, Switzerland. This article is an open access article distributed under the terms and conditions of the Creative Commons Attribution (CC BY) license (http://creativecommons.org/licenses/by/4.0/).
Share and Cite
Yu, Y.; Huang, M.; Wang, C.; Hu, R.; Duan, T. A New BDS-2 Satellite Clock Bias Prediction Algorithm with an Improved Exponential Smoothing Method. Appl. Sci. 2020, 10, 7456. https://doi.org/10.3390/app10217456
Yu Y, Huang M, Wang C, Hu R, Duan T. A New BDS-2 Satellite Clock Bias Prediction Algorithm with an Improved Exponential Smoothing Method. Applied Sciences. 2020; 10(21):7456. https://doi.org/10.3390/app10217456
Chicago/Turabian StyleYu, Ye, Mo Huang, Changyuan Wang, Rui Hu, and Tao Duan. 2020. "A New BDS-2 Satellite Clock Bias Prediction Algorithm with an Improved Exponential Smoothing Method" Applied Sciences 10, no. 21: 7456. https://doi.org/10.3390/app10217456
APA StyleYu, Y., Huang, M., Wang, C., Hu, R., & Duan, T. (2020). A New BDS-2 Satellite Clock Bias Prediction Algorithm with an Improved Exponential Smoothing Method. Applied Sciences, 10(21), 7456. https://doi.org/10.3390/app10217456

