Sign in to use this feature.

Years

Between: -

Subjects

remove_circle_outline
remove_circle_outline
remove_circle_outline
remove_circle_outline
remove_circle_outline
remove_circle_outline
remove_circle_outline

Journals

Article Types

Countries / Regions

Search Results (35)

Search Parameters:
Keywords = European hake

Order results
Result details
Results per page
Select all
Export citation of selected articles as:
18 pages, 1480 KB  
Article
Characterizing the Health Status of European Hake (Merluccius merluccius) in Areas with Different Anthropic Impacts (NW Mediterranean Sea)
by Irene Brandts, Sergi Omedes, Carmen Gilardoni, Marc Balcells, Montserrat Solé and Eve Galimany
Animals 2026, 16(1), 14; https://doi.org/10.3390/ani16010014 - 19 Dec 2025
Viewed by 751
Abstract
The high incidence of anthropogenic impacts in the Mediterranean basin raises concerns on the health and quality of commercial fish species. This study aims to evaluate the health status of the European hake, Merluccius merluccius, from three areas of the Catalan coast [...] Read more.
The high incidence of anthropogenic impacts in the Mediterranean basin raises concerns on the health and quality of commercial fish species. This study aims to evaluate the health status of the European hake, Merluccius merluccius, from three areas of the Catalan coast (NW Mediterranean Sea) with different anthropogenic impacts (i.e., chemical pollution, litter, …) and assess if hake could serve as a sentinel species. We measured biomarkers of chemical exposure including B-esterases, antioxidant enzymes (GST, GR, GPx, CAT), biotransformation markers (EROD), lipid peroxidation, and macro-parasite assemblages. Hake showed, generally, a good health status across all areas with homogeneous patterns for most parameters. Tissue-specific differences included elevated gonadal cholinesterases and higher brain and hepatic carboxylesterase activities in the south, and increased hepatic EROD but lower lipid peroxidation in the central Barcelona area. Parasite assemblages were dominated by Digenea, Cestoda, and Nematoda, with higher cestode prevalence in both central and south zones. In summary, despite a greater prevalence of environmental pollution in the central region, there was a homogeneous pattern in hake health indicators throughout the three studied fishing zones. These results establish a baseline for hake health in Mediterranean waters and suggest that the species’ high mobility and wide depth range may limit its utility to detect local-scale pollution impacts, though it may serve as a regional-scale bioindicator. Full article
Show Figures

Graphical abstract

17 pages, 3153 KB  
Article
Identification, Isolation, and In Vitro Culture Trials of Ovarian Germ Stem Cells from Different Teleost Fish Species
by Caterina Varvara, Gianluca Ventriglia, Chrysovalentinos Pousis, Teresa Di Gioia, Rosa Zupa, Deborah Maria Del Frassino, Aldo Corriero and Tiziana Martinello
Vet. Sci. 2025, 12(12), 1179; https://doi.org/10.3390/vetsci12121179 - 10 Dec 2025
Viewed by 587
Abstract
Germ cell xenotransplantation is a promising tool for enhancing aquaculture production and supporting the conservation of declining fish species. A major limitation is the reliable identification of germ stem cells, which remains challenging due to the scarcity of validated molecular markers. This study [...] Read more.
Germ cell xenotransplantation is a promising tool for enhancing aquaculture production and supporting the conservation of declining fish species. A major limitation is the reliable identification of germ stem cells, which remains challenging due to the scarcity of validated molecular markers. This study assessed the suitability of different immunohistochemical approaches for identifying ovarian germ stem cells (OGSCs) in three Mediterranean species of commercial interest: European hake (Merluccius merluccius), meagre (Argyrosomus regius), and flathead grey mullet (Mugil cephalus). Among the antibodies tested (anti-OCT4, anti-VASA, anti-Sox2), only anti-VASA and anti-Sox2 labeled cells with morphological features consistent with OGSCs, although staining intensity, specificity, and cross-reactivity with early oocytes varied across species. In parallel, preliminary protocols for OGSC isolation and in vitro proliferation were developed for European hake and meagre. Enzymatic dissociation with collagenase, followed by Ficoll-Paque density separation and culture in Leibovitz’s L-15 medium supplemented with 2% fetal bovine serum at 25 °C, resulted in the highest OGSC recovery and detectable increases in proliferating cells. A sequential pre-plating step enhanced enrichment in meagre but caused substantial cell loss in hake. Overall, this study provides a comparative evaluation of female germline stem cell markers in these species, contributing to future surrogate reproduction and germplasm conservation strategies. Full article
(This article belongs to the Section Veterinary Reproduction and Obstetrics)
Show Figures

Figure 1

20 pages, 3927 KB  
Article
Antimicrobial Activity, Genetic Diversity and Safety Assessment of Lactic Acid Bacteria Isolated from European Hakes (Merluccius merluccius, L.) Caught in the Northeast Atlantic Ocean
by Lara Díaz-Formoso, Diogo Contente, Javier Feito, Belén Orgaz, Pablo E. Hernández, Juan Borrero, Estefanía Muñoz-Atienza and Luis M. Cintas
Antibiotics 2025, 14(5), 469; https://doi.org/10.3390/antibiotics14050469 - 6 May 2025
Cited by 1 | Viewed by 1861
Abstract
Background/Objectives: The overuse and misuse of antibiotics has contributed significatively to the growing problem of the emergence and spread of antibiotic resistance genes among bacteria, posing a serious global challenge to the treatment of bacterial infectious diseases. For these reasons, there is a [...] Read more.
Background/Objectives: The overuse and misuse of antibiotics has contributed significatively to the growing problem of the emergence and spread of antibiotic resistance genes among bacteria, posing a serious global challenge to the treatment of bacterial infectious diseases. For these reasons, there is a current and growing interest in the development of effective alternative or complementary strategies to antibiotic therapy for the prevention of fish diseases, which are mainly based on the use of probiotics—in particular, those belonging to the Lactic Acid Bacteria (LAB) group. In this context, the aim of the present study was to characterise, evaluate the genetic diversity and assess the safety of candidate probiotic LAB strains for aquaculture isolated from faeces and intestines of European hakes (Merluccius merluccius, L.) caught in the Northeast Atlantic Ocean (Ireland). Methods: The direct antimicrobial activity of the LAB isolates was tested by the Stab-On-Agar method against key ichthyopathogens. Subsequently, their taxonomic classification and genetic diversity were determined by 16SrDNA sequencing and Enterobacterial Repetitive Intergenic Consensus-PCR (ERIC-PCR), respectively. To ensure the in vitro safety of the LAB isolates, their biofilm-forming ability was assessed by a microtiter plate assay; their sensitivity to major antibiotics used in aquaculture, human and veterinary medicine by a broth microdilution method and their haemolytic and gelatinase activity by microbiological assays. Results: All LAB isolates were biofilm producers and susceptible to chloramphenicol, oxytetracycline, flumequine and amoxicillin. A total of 30 isolates (85.7%) were resistant to at least one of the tested antibiotics. None of the 35 LAB isolates showed haemolytic or proteolytic activity. Conclusions: Among the isolated strains, five LAB strains exhibiting the highest antimicrobial activity against aquaculture-relevant ichthyopathogens, taxonomically identified as Streptococcus salivarius, Enterococcus avium and Latilactobacillus sakei, were selected for further characterisation as potential probiotic candidates to promote sustainable aquaculture. To our knowledge, this is the first study to report that hake intestines and faeces represent viable ecological niches for the isolation of LAB strains with antimicrobial activity. Full article
Show Figures

Figure 1

12 pages, 1207 KB  
Article
Natural and Regenerated Cellulosic Microfibers Dominate Anthropogenic Particles Ingested by Commercial Fish Species from the Adriatic Sea
by Serena Santonicola, Michela Volgare, Federico Olivieri, Mariacristina Cocca and Giampaolo Colavita
Foods 2025, 14(7), 1237; https://doi.org/10.3390/foods14071237 - 1 Apr 2025
Cited by 5 | Viewed by 1383
Abstract
This study investigated the occurrence of fibrous microplastics and natural and artificial cellulose microfibers in the gastrointestinal tracts of Mullus barbatus and Merluccius merluccius specimens from the Adriatic Sea (Central Mediterranean), an important hotspot for marine litter accumulation. Red mullet and European hake [...] Read more.
This study investigated the occurrence of fibrous microplastics and natural and artificial cellulose microfibers in the gastrointestinal tracts of Mullus barbatus and Merluccius merluccius specimens from the Adriatic Sea (Central Mediterranean), an important hotspot for marine litter accumulation. Red mullet and European hake were chosen due to their roles as bioindicators of marine pollution in the Mediterranean, and their economic relevance as fishery resources. Microfibers were found in 72% of M. barbatus and 68% of M. merluccius, at levels ranging from 1 to 67 particles/individual. Most of the microfibers extracted were textile fibers that were blue (33.6%), clear (26.1%), and black (20.3%) in color, while the length distribution showed the prevalence of microfibers in the size range of 350–950 µm. This visual identification, corroborated by the micro-FTIR analysis of a sub-sample of microfibers, revealed that natural and artificial cellulose microfibers were more common (80%) than fibrous microplastics. The results confirmed that both of these fish species are susceptible to microfiber ingestion and indicated the high availability of natural and artificial cellulosic fibers in the Adriatic Basin. Despite the increased evidence of microfiber pollution in the marine ecosystem, only a limited number of studies examine natural/artificial microfiber contamination and ingestion by marine biota. Therefore, greater attention should be given to this new type of contaminant, considering its implications in terms of environmental health, food security, and food safety. Full article
(This article belongs to the Section Food Quality and Safety)
Show Figures

Figure 1

12 pages, 5316 KB  
Brief Report
First Record of the European Hake Merluccius merluccius (Linnaeus, 1758) in Bulgarian Black Sea Waters
by Violin Stoyanov Raykov, Petya Ivanova, Maria Yankova, Nina Dzhembekova, Dimitar Petkov Dimitrov and Bogdan Prodanov
Diversity 2025, 17(4), 238; https://doi.org/10.3390/d17040238 - 27 Mar 2025
Viewed by 2193
Abstract
One specimen of the non-native European hake, Merluccius merluccius (Linnaeus, 1758), was caught in July 2023 in the offshore waters of the Bulgarian Black Sea. The species was identified based on its morphological characteristics (15 morphometric and 5 meristic) and DNA barcoding. The [...] Read more.
One specimen of the non-native European hake, Merluccius merluccius (Linnaeus, 1758), was caught in July 2023 in the offshore waters of the Bulgarian Black Sea. The species was identified based on its morphological characteristics (15 morphometric and 5 meristic) and DNA barcoding. The male specimen had a total length of 375 mm and a weight of 417.5 g. Its age was determined as 4 years. A fragment of the cytochrome b gene from its mitochondrial DNA was sequenced to support species identification. A phylogenetic analysis revealed a 100% genetic identity between the Bulgarian specimen and a M. merluccius sequence available in GenBank. This is the first documented report of this boreal-subtropic, benthopelagic fish species along the Bulgarian Black Sea coast. The record of the European hake confirms its presence along the western Black Sea coast. Full article
(This article belongs to the Section Marine Diversity)
Show Figures

Figure 1

15 pages, 2625 KB  
Article
A New Species of Anthocotyle (Polyopisthocotyla: Discocotylidae) from the Gills of the European Hake Merluccius merluccius (Teleostei, Merlucciidae) with a Revision of the Composition of the Genus
by Chahinez Bouguerche
Parasitologia 2025, 5(1), 2; https://doi.org/10.3390/parasitologia5010002 - 8 Jan 2025
Viewed by 2242
Abstract
This study revisits the taxonomy of Anthocotyle merluccii, originally described from the European hake Merluccius merluccius in the northeast Atlantic, addressing discrepancies in clamp morphology across populations. The original description from Belgium noted near-equal anterior clamp sizes, contrasting with populations from Plymouth [...] Read more.
This study revisits the taxonomy of Anthocotyle merluccii, originally described from the European hake Merluccius merluccius in the northeast Atlantic, addressing discrepancies in clamp morphology across populations. The original description from Belgium noted near-equal anterior clamp sizes, contrasting with populations from Plymouth (Atlantic) and the Mediterranean, which show marked size differences, questioning their conspecificity. We describe A. radkeaminorum n. sp. from M. merluccius in the western Mediterranean (off Algeria), distinguished from A. merluccii (Belgium) by differing anterior clamp size, genital atrium spine number, and overall anterior clamp dimensions. Populations from Plymouth, previously attributed to A. merluccii, are herein assigned to A. aff. merluccii based on differences in morphometrical traits pending further investigations. Additionally, A. radkeaminorum n. sp. differs from A. americanus in body and clamp size, atrial spine count, and hosts. Based on analysis of morphological and molecular data, we refute the synonymy of A. merluccii and A. americanus, and we reinstate the latter as a valid species. The distinction between A. merluccii and A. americanus was further supported by divergence in cox1 gene sequences analyzed from GenBank (10–11%). Finally, inconsistencies in terminal lappet hook morphology are discussed, cautioning against its use in species delineation. This work highlights the need for continued research to resolve species relationships within this genus. Full article
Show Figures

Figure 1

24 pages, 2545 KB  
Article
New Insights on the Diversity, Ecology and Genetic Population Structure of Anisakis spp. from Fish and Cetacean Hosts from Northeast Atlantic Waters
by Andrea Ramilo, Helena Rodríguez, Miguel López, Ángel F. González, Alfredo López, Graham J. Pierce, Santiago Pascual and Elvira Abollo
Animals 2024, 14(23), 3531; https://doi.org/10.3390/ani14233531 - 6 Dec 2024
Cited by 4 | Viewed by 3140
Abstract
In the last 25 years, nematode parasites of the genus Anisakis have attracted international attention from various socio-economic sectors, with serious concern about the impact of these parasites on seafood quality and safety, and public health (related to both zoonoses and allergy). A [...] Read more.
In the last 25 years, nematode parasites of the genus Anisakis have attracted international attention from various socio-economic sectors, with serious concern about the impact of these parasites on seafood quality and safety, and public health (related to both zoonoses and allergy). A knowledge-based understanding of the population structure of Anisakis spp. is useful to provide valuable data about the infection dynamics, host specificity and its ability to adapt to local environments and to climate change by adapting to the food-web structure. This study first aimed to investigate the taxonomic biodiversity of Anisakis spp. collected from commercial fish and cetacean species from the most significant Northeast Atlantic fishing grounds and evaluate the ecological connections of A. simplex and A. pegreffii (L3 and adults) in cetaceans and fish from NW Spain, through the analysis of their genetic diversity and population structure. A total of 1399 Anisakis spp. L3 larvae from six fish species and 475 adults from six cetacean species were identified using the ITS rDNA region as a molecular marker. Molecular identification allowed for the first detection of A. berlandi in European waters parasitizing the long-finned pilot whales Globicephala melas and the first report of A. nascettii and A. zhiphidarum infecting the striped dolphin Stenella coeruleoalba, as well as the identification of A. simplex, A. pegreffii and the hybrid genotype between both species. The analysis of the mitochondrial cytochrome oxidase 2 gene of A. simplex and A. pegreffii, the most prevalent species in FAO area 27, revealed panmictic populations for both species with high haplotype diversity. The predatory–prey relationship involving two major fish species (European hake and blue whiting) and the common dolphin appears to provide an important mechanism for maintaining genetic diversity and structure in major Anisakis species in the NE Atlantic. Full article
(This article belongs to the Section Aquatic Animals)
Show Figures

Figure 1

23 pages, 2302 KB  
Article
Influence of Contaminants Mercury and PAHs on Somatic Indexes of the European Hake (Merluccius merluccius, L. 1758)
by Monica Panfili, Stefano Guicciardi o Guizzardi, Emanuela Frapiccini, Cristina Truzzi, Federico Girolametti, Mauro Marini, Alberto Santojanni, Anna Annibaldi, Silvia Illuminati and Sabrina Colella
Animals 2024, 14(20), 2938; https://doi.org/10.3390/ani14202938 - 11 Oct 2024
Cited by 2 | Viewed by 2090
Abstract
This research investigates the dynamics of contaminant exposure in European hake (Merluccius merluccius, L. 1758) from the Adriatic Sea (Central Mediterranean Sea) by examining the levels of total mercury (THg) and polycyclic aromatic hydrocarbons (PAHs) in the muscle fish tissues. The [...] Read more.
This research investigates the dynamics of contaminant exposure in European hake (Merluccius merluccius, L. 1758) from the Adriatic Sea (Central Mediterranean Sea) by examining the levels of total mercury (THg) and polycyclic aromatic hydrocarbons (PAHs) in the muscle fish tissues. The study explores the correlations between these pollutants and somatic indexes to identify the early warning signals of pollution and ecological effects. The levels of pollutants are influenced by season and sex. Lipids appear to have a minimal effect on the PAH levels, whereas they exhibit a positive correlation with mercury levels in the muscle. No significant relationships between the pollutants and condition indexes were observed, except for a positive correlation between THg and the gonadosomatic index, indicating a potential impact on the reproductive health of fish. In contrast, PAHs showed no meaningful correlation with condition indexes. Differences in contaminant accumulations and lipid levels between sexes reflect variations in metabolic activity, reproductive costs, and adaptive strategies to seasonal changes and energy demands. This study highlights the importance of long-term monitoring to improve pollution management, environmental conservation, and the protection of marine organisms’ health. Full article
Show Figures

Figure 1

19 pages, 7706 KB  
Article
Locust Bean Gum/κ-Carrageenan Film Containing Blueberry or Beetroot Extracts as Intelligent Films to Monitoring Hake (Merluccius merluccius) Freshness
by Carla S. V. Faria, Jorge M. Vieira, António A. Vicente and Joana T. Martins
Foods 2024, 13(19), 3088; https://doi.org/10.3390/foods13193088 - 27 Sep 2024
Cited by 5 | Viewed by 2472
Abstract
The main goal of this work was to develop bio-based and ecofriendly intelligent films as freshness indicators to monitor European hake (Merluccius merluccius) quality during storage by using a visual, non-destructive, and real-time technique. Locust bean gum (LBG)/κ-carrageenan (Car) films incorporating [...] Read more.
The main goal of this work was to develop bio-based and ecofriendly intelligent films as freshness indicators to monitor European hake (Merluccius merluccius) quality during storage by using a visual, non-destructive, and real-time technique. Locust bean gum (LBG)/κ-carrageenan (Car) films incorporating blueberry extract (BLE) or beetroot extract (BEE) were developed and their effectiveness to detect hake deterioration during 7 days of storage at 4 °C was evaluated. A visible color response from pink to blue was observed on the BLE films at the end of hake storage, which correlated with the hake deterioration profile, namely an increase in pH values (from 6.60 ± 0.04 to 8.02 ± 0.03), total viable count (TVC, from 4.61 ± 0.36 to 8.61 ± 0.21 log CFU/g), and total volatile basic nitrogen content (TVB-N, from 10.21 ± 1.97 to 66.78 ± 4.81 mg/100 g) beyond the spoilage threshold. The results of this study are very promising, since it was possible to develop a new effective intelligent bio-based responsive indicator film incorporating natural dye BLE, which has the potential to contribute to food waste reduction and improve food safety by detecting the hake freshness status. Full article
(This article belongs to the Special Issue Storage and Shelf-Life Assessment of Food Products)
Show Figures

Figure 1

24 pages, 4544 KB  
Article
From Data to Insight: Machine Learning Approaches for Fish Age Prediction in European Hake
by Dimitris Klaoudatos, Maria Vlachou and Alexandros Theocharis
J. Mar. Sci. Eng. 2024, 12(9), 1466; https://doi.org/10.3390/jmse12091466 - 23 Aug 2024
Cited by 6 | Viewed by 3899
Abstract
The European hake (Merluccius merluccius) is a highly sought after, overfished commercial species with a high ecological value. Otolith morphometric characteristics were employed from 150 individuals captured from the Central Aegean Sea (Eastern Mediterranean) using a commercial trawler. Age reading was [...] Read more.
The European hake (Merluccius merluccius) is a highly sought after, overfished commercial species with a high ecological value. Otolith morphometric characteristics were employed from 150 individuals captured from the Central Aegean Sea (Eastern Mediterranean) using a commercial trawler. Age reading was independently performed by three readers. A multivariate methodology identified the morphometric factors that significantly affect age estimation, and easy to use equations using limited morphological otolith characteristics with a high degree of accuracy were produced as a practical tool for fisheries management. A second tool using ML algorithms produced a highly accurate ML model with the ability to further predict European hake’s age using limited otolith morphometric characteristics. Both tools are important for assessing fish population dynamics, managing sustainable fishing practices, and ensuring the long-term health of marine ecosystems. Practically, the models could be implemented by collecting fish otolith samples, measuring limited morphometric features using imaging techniques, and inputting these measurements into the machine learning model. Both model outputs will allow researchers and fisheries managers to obtain rapid and reliable age estimates without the need for labor-intensive traditional methods. By integrating these models into routine fisheries assessment workflows, stakeholders could make more informed decisions about fish stock assessments and conservation strategies. Full article
(This article belongs to the Section Marine Biology)
Show Figures

Figure 1

21 pages, 3127 KB  
Article
Genomic Sequence of Streptococcus salivarius MDI13 and Latilactobacillus sakei MEI5: Two Promising Probiotic Strains Isolated from European Hakes (Merluccius merluccius, L.)
by Lara Díaz-Formoso, Diogo Contente, Javier Feito, Pablo E. Hernández, Juan Borrero, Estefanía Muñoz-Atienza and Luis M. Cintas
Vet. Sci. 2024, 11(8), 365; https://doi.org/10.3390/vetsci11080365 - 10 Aug 2024
Cited by 2 | Viewed by 3506
Abstract
Frequently, diseases in aquaculture have been fought indiscriminately with the use of antibiotics, which has led to the development and dissemination of (multiple) antibiotic resistances in bacteria. Consequently, it is necessary to look for alternative and complementary approaches to chemotheraphy that are safe [...] Read more.
Frequently, diseases in aquaculture have been fought indiscriminately with the use of antibiotics, which has led to the development and dissemination of (multiple) antibiotic resistances in bacteria. Consequently, it is necessary to look for alternative and complementary approaches to chemotheraphy that are safe for humans, animals, and the environment, such as the use of probiotics in fish farming. The objective of this work was the Whole-Genome Sequencing (WGS) and bioinformatic and functional analyses of S. salivarius MDI13 and L. sakei MEI5, two LAB strains isolated from the gut of commercial European hakes (M. merluccius, L.) caught in the Northeast Atlantic Ocean. The WGS and bioinformatic and functional analyses confirmed the lack of transferable antibiotic resistance genes, the lack of virulence and pathogenicity issues, and their potentially probiotic characteristics. Specifically, genes involved in adhesion and aggregation, vitamin biosynthesis, and amino acid metabolism were detected in both strains. In addition, genes related to lactic acid production, active metabolism, and/or adaptation to stress and adverse conditions in the host gastrointestinal tract were detected in L. sakei MEI5. Moreover, a gene cluster encoding three bacteriocins (SlvV, BlpK, and BlpE) was identified in the genome of S. salivarius MDI13. The in vitro-synthesized bacteriocin BlpK showed antimicrobial activity against the ichthyopathogens Lc. garvieae and S. parauberis. Altogether, our results suggest that S. salivarius MDI13 and L. sakei MEI5 have a strong potential as probiotics to prevent fish diseases in aquaculture as an appropriate alternative/complementary strategy to the use of antibiotics. Full article
(This article belongs to the Section Veterinary Microbiology, Parasitology and Immunology)
Show Figures

Figure 1

15 pages, 1462 KB  
Article
Protein, Essential Amino Acid, and Fatty Acid Composition of Five Target Fishery Species of Central Mediterranean Sea
by Anna Traina, Enza Maria Quinci, Nadia Sabatino, Marianna Del Core, Antonio Bellante, Gioacchino Bono, Marta Giuga, Giuseppe Avellone, Mario Sprovieri and Fabio D’Agostino
Animals 2024, 14(15), 2158; https://doi.org/10.3390/ani14152158 - 24 Jul 2024
Cited by 4 | Viewed by 3487
Abstract
The protein, essential amino acid, and fatty acid composition of European pilchard (Sardina pilchardus), European hake (Merluccius merluccius), surmullet (Mullus surmuletus), red mullet (Mullus barbatus), and deep water rose shrimp (Parapenaeus longirostris) from [...] Read more.
The protein, essential amino acid, and fatty acid composition of European pilchard (Sardina pilchardus), European hake (Merluccius merluccius), surmullet (Mullus surmuletus), red mullet (Mullus barbatus), and deep water rose shrimp (Parapenaeus longirostris) from the central Mediterranean Sea were investigated. All the species showed an essential amino acid content of about 50% of total amino acids, while the protein and total fatty acids content varied from 19.9 to 24.8% and from 1.4 to 5.1%, respectively. The fatty acid profile mainly followed the order SFA (39.1–52.6%) > PUFA (21.0–39.3%) > MUFA (15.6–24.3%). Palmitic and stearic acids were predominant among saturated fatty acids (38–52% and 21–25%, respectively), while palmitoleic and oleic acids were the most represented of the total monounsaturated acids (10–21% and 55–68%, respectively). All the species, as expected, showed a more significant proportion of n-3 PUFA (EPA + DHA) of about 81–93% of the total PUFA, with the highest values was found in European pilchard. Also, several fat quality index values, such as n-6/n-3 ratio, PUFA/SFA, the index of atherogenicity (IA), the index of thrombogenicity (IT), the hypocholesterolemic/hypercholesterolemic ratio (HH), and fish lipid quality/flesh lipid quality (FLQ) were calculated to assess the nutritional quality. All the obtained results, along with the fat quality indexes, indicated the excellent nutritional values of the selected species. Full article
(This article belongs to the Section Animal Products)
Show Figures

Figure 1

27 pages, 4468 KB  
Article
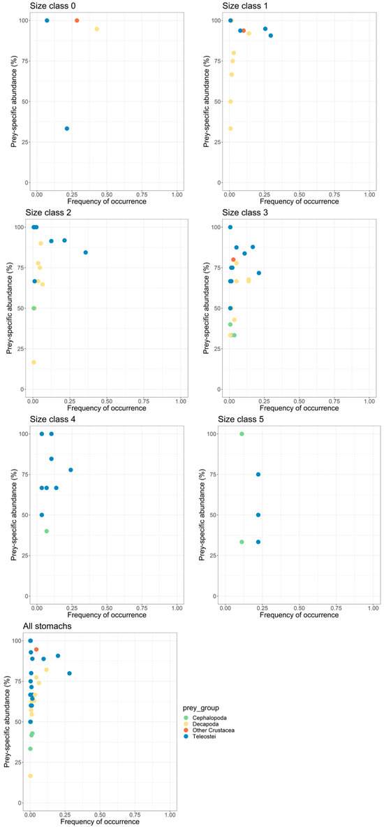
Ontogenetic, Spatial and Inter-Annual Variability in the Diet of European Hake Merluccius merluccius Linnaeus, 1758, in the North Aegean Sea
by Athanasios Evangelopoulos, Antonios Geropoulos, Nikolaos Kamidis and Emmanouil Koutrakis
Fishes 2024, 9(7), 257; https://doi.org/10.3390/fishes9070257 - 2 Jul 2024
Cited by 1 | Viewed by 2066
Abstract
This study contributes to filling knowledge gaps regarding recent information on the diet of the European hake, Merluccius merluccius Linnaeus, 1758, in the Greek seas, particularly its ontogenetic shifts and its spatiotemporal variability. The trophic preferences of M. merluccius were investigated in the [...] Read more.
This study contributes to filling knowledge gaps regarding recent information on the diet of the European hake, Merluccius merluccius Linnaeus, 1758, in the Greek seas, particularly its ontogenetic shifts and its spatiotemporal variability. The trophic preferences of M. merluccius were investigated in the North Aegean Sea during the summers of 2019 to 2023 with visual stomach content analysis to assess its composition, diversity, and variability across body-size classes, years, and subareas. The identified prey are functionally diverse and in many cases also primary targets for local fisheries. The ontogenetic trophic niche of hake was characterized by two distinct shifts, delineated by 10 and 50 cm body-size thresholds. Cephalopods were a prevalent dietary component for large hake individuals. The intermediate body-size classes demonstrated greater trophic niche breadth concerning prey diversity and absolute prey-size ranges. A feeding strategy characterized by the specialization of individuals was also revealed. The effect of the temporal and spatial context on the hake diet was occasionally correlated with spatiotemporal variations in the sizes of their populations. In conclusion, ontogenetic and spatiotemporal variability in the hake diet were found to be significant and should be considered in the data collection design and analyses of the trophic interactions of the species. Full article
(This article belongs to the Section Biology and Ecology)
Show Figures

Figure 1

16 pages, 2399 KB  
Article
Decline in Size-at-Maturity of European Hake in Relation to Environmental Regimes: A Case in the Eastern Ionian Sea
by Aglaia Legaki, Archontia Chatzispyrou, Dimitrios Damalas, Vasiliki Sgardeli, Evgenia Lefkaditou, Aikaterini Anastasopoulou, Aikaterini Dogrammatzi, Konstantinos Charalampous, Caterina Stamouli, Vassiliki Vassilopoulou, George Tserpes and Chryssi Mytilineou
Animals 2024, 14(1), 61; https://doi.org/10.3390/ani14010061 - 23 Dec 2023
Cited by 9 | Viewed by 2748
Abstract
European hake, Merluccius merluccius L. 1758, is a highly valuable demersal fish species exploited in both the east Atlantic and the Mediterranean Sea. Changes in the size-at-maturity of this species have been reported in various geographic areas. Size-at-maturity is a key parameter in [...] Read more.
European hake, Merluccius merluccius L. 1758, is a highly valuable demersal fish species exploited in both the east Atlantic and the Mediterranean Sea. Changes in the size-at-maturity of this species have been reported in various geographic areas. Size-at-maturity is a key parameter in fishery management. Our main goal was to study the trend of the size-at-maturity of European hake in the eastern Ionian Sea (Central Mediterranean) over the last five decades. Utilizing a multi-decadal series of data for various environmental variables, we employed multivariate analyses and non-additive modeling in an attempt to identify shifts in the climatic environment of the eastern Ionian Sea and whether the maturation of the hake population could be affected by these changes. The analyses used suggest a plausible environmental regime shift in the study area in the late 1990s/early 2000s. The decrease in size-at-maturity that was detected in the last two decades may, thus, be associated with environmental changes. However, as many fish stocks already experience fishery-induced evolution, further investigation is necessary to determine whether this environmental effect is an additional stressor on a possibly already fishery-impacted population. The outcomes of this study highlight the importance of investigating the relationship between fish reproductive traits and altered environmental conditions, as the latter are generally ignored during assessments, affecting the robustness of fishery management. Full article
(This article belongs to the Special Issue Sexual Maturation and Spawning in Fish)
Show Figures

Figure 1

18 pages, 2683 KB  
Article
Antibiotic Resistance Genes, Virulence Factors, and Biofilm Formation in Coagulase-Negative Staphylococcus spp. Isolates from European Hakes (Merluccius merluccius, L.) Caught in the Northeast Atlantic Ocean
by Lara Díaz-Formoso, Vanessa Silva, Diogo Contente, Javier Feito, Pablo E. Hernández, Juan Borrero, Gilberto Igrejas, Rosa del Campo, Estefanía Muñoz-Atienza, Patrícia Poeta and Luis M. Cintas
Pathogens 2023, 12(12), 1447; https://doi.org/10.3390/pathogens12121447 - 13 Dec 2023
Cited by 5 | Viewed by 3532
Abstract
The indiscriminate use of antibiotics has contributed to the dissemination of multiresistant bacteria, which represents a public health concern. The aim of this work was to characterize 27 coagulase-negative staphylococci (CoNS) isolated from eight wild Northeast Atlantic hakes (Merluccius merluccius, L.) [...] Read more.
The indiscriminate use of antibiotics has contributed to the dissemination of multiresistant bacteria, which represents a public health concern. The aim of this work was to characterize 27 coagulase-negative staphylococci (CoNS) isolated from eight wild Northeast Atlantic hakes (Merluccius merluccius, L.) and taxonomically identified as Staphylococcus epidermidis (n = 16), Staphylococcus saprophyticus (n = 4), Staphylococcus hominis (n = 3), Staphylococcus pasteuri (n = 2), Staphylococcus edaphicus (n = 1), and Staphylococcus capitis (n = 1). Biofilm formation was evaluated with a microtiter assay, antibiotic susceptibility testing was performed using the disk diffusion method, and antibiotic resistance and virulence determinants were detected by PCR. Our results showed that all staphylococci produced biofilms and that 92.6% of the isolates were resistant to at least one antibiotic, mainly penicillin (88.8%), fusidic acid (40.7%), and erythromycin (37%). The penicillin resistance gene (blaZ) was detected in 66.6% (18) of the isolates, of which 10 also carried resistance genes to macrolides and lincosamides (mphC, msr(A/B), lnuA, or vgaA), 4 to fusidic acid (fusB), and 3 to trimethoprim-sulfamethoxazole (dfrA). At least one virulence gene (scn, hla, SCCmecIII, and/or SCCmecV) was detected in 48% of the isolates. This study suggests that wild European hake destined for human consumption could act as a vector of CoNS carrying antibiotic resistance genes and/or virulence factors. Full article
(This article belongs to the Section Bacterial Pathogens)
Show Figures

Figure 1

Back to TopTop