Sign in to use this feature.

Years

Between: -

Subjects

remove_circle_outline
remove_circle_outline
remove_circle_outline
remove_circle_outline
remove_circle_outline
remove_circle_outline
remove_circle_outline
remove_circle_outline
remove_circle_outline

Journals

Article Types

Countries / Regions

Search Results (107)

Search Parameters:
Keywords = ETB

Order results
Result details
Results per page
Select all
Export citation of selected articles as:
23 pages, 3209 KB  
Article
Resting Cytosolic and Nuclear Reactive Oxygen Species (ROS) Are Regulated by the Basal Activity of ET-1 Receptors in Human Vascular Smooth Muscle Cells
by Ghassan Bkaily, Rana Semaan and Danielle Jacques
Int. J. Mol. Sci. 2026, 27(6), 2524; https://doi.org/10.3390/ijms27062524 - 10 Mar 2026
Viewed by 234
Abstract
Endothelin-1 (ET-1) is a potent vasoconstrictor that exerts its numerous biological actions through two receptors, ETA and ETB. However, the implication and role of each receptor in ROS generation remain ambiguous. Previously, our group reported that blocking the basal activity [...] Read more.
Endothelin-1 (ET-1) is a potent vasoconstrictor that exerts its numerous biological actions through two receptors, ETA and ETB. However, the implication and role of each receptor in ROS generation remain ambiguous. Previously, our group reported that blocking the basal activity of ETA and ETB receptors with their respective peptidic antagonists increased basal intracellular calcium (Ca2+) levels, an effect inhibited by chelating extracellular Ca2+. Since a crosstalk between Ca2+ and reactive oxygen species (ROS) exists, the purpose of the present work was to investigate whether this increase in basal resting Ca2+ level induced by the blockade of ETA and ETB receptors is associated with an increase in resting ROS level. Our results showed that the basal activity of ETA and ETB receptors contributes negatively to the resting level of cytosolic and nuclear ROS, and that each receptor appears to act as the other’s physiological antagonist. Furthermore, our results showed that ET-1 receptor blockade increases ROS via a receptor insensitive to ETA and ETB receptor antagonists. This type of receptor could be the one reported by our group, ETC, or simply a heterodimeric ETA/ETB receptor. Moreover, blocking the heterodimerized ETA/ETB binding site is sufficient to unblock the physiological antagonism that each receptor exerts on the other. Furthermore, our results showed that blocking both ETA and ETB receptors, thereby preventing heterodimerization, prevented the increase in resting ROS, supporting the existence of a heterodimerized ET-1 receptor. Since human vascular smooth muscle cells (VSMCs) express only ETB receptors at the nuclear membrane, it is possible to suggest that nuclear ETB receptors are homodimers that regulate the resting nuclear ROS level. In conclusion, our results showed that the regulation of resting ROS levels by ET-1 and its receptors can be mediated by homodimerized and/or heterodimerized receptor activation; hence, the importance of developing drugs targeting this receptor type. Full article
Show Figures

Figure 1

24 pages, 8047 KB  
Article
MEE-DETR: Multi-Scale Edge-Aware Enhanced Transformer for PCB Defect Detection
by Xiaoyu Ma, Xiaolan Xie and Yuhui Song
Electronics 2026, 15(3), 504; https://doi.org/10.3390/electronics15030504 - 23 Jan 2026
Viewed by 509
Abstract
Defect inspection of Printed Circuit Board (PCB) is essential for maintaining the safety and reliability of electronic products. With the continuous trend toward smaller components and higher integration levels, identifying tiny imperfections on densely packed PCB structures has become increasingly difficult and remains [...] Read more.
Defect inspection of Printed Circuit Board (PCB) is essential for maintaining the safety and reliability of electronic products. With the continuous trend toward smaller components and higher integration levels, identifying tiny imperfections on densely packed PCB structures has become increasingly difficult and remains a major challenge for current inspection systems. To tackle this problem, this study proposes the Multi-scale Edge-Aware Enhanced Detection Transformer (MEE-DETR), a deep learning-based object detection method. Building upon the RT-DETR framework, which is grounded in Transformer-based machine learning, the proposed approach systematically introduces enhancements at three levels: backbone feature extraction, feature interaction, and multi-scale feature fusion. First, the proposed Edge-Strengthened Backbone Network (ESBN) constructs multi-scale edge extraction and semantic fusion pathways, effectively strengthening the structural representation of shallow defect edges. Second, the Entanglement Transformer Block (ETB), synergistically integrates frequency self-attention, spatial self-attention, and a frequency–spatial entangled feed-forward network, enabling deep cross-domain information interaction and consistent feature representation. Finally, the proposed Adaptive Enhancement Feature Pyramid Network (AEFPN), incorporating the Adaptive Cross-scale Fusion Module (ACFM) for cross-scale adaptive weighting and the Enhanced Feature Extraction C3 Module (EFEC3) for local nonlinear enhancement, substantially improves detail preservation and semantic balance during feature fusion. Experiments conducted on the PKU-Market-PCB dataset reveal that MEE-DETR delivers notable performance gains. Specifically, Precision, Recall, and mAP50–95 improve by 2.5%, 9.4%, and 4.2%, respectively. In addition, the model’s parameter size is reduced by 40.7%. These results collectively indicate that MEE-DETR achieves excellent detection performance with a lightweight network architecture. Full article
Show Figures

Figure 1

14 pages, 1208 KB  
Article
Prevalence, Antimicrobial Resistance, and Molecular Characteristics of MRSA in Saudi Arabia: A Retrospective Study
by Soha Abdallah Moursi, Mohd Saleem, Azharuddin Sajid Syed Khaja, Ehab Rakha, Kareemah Salem Alshurtan, Nahed Fathallah Fahmy, Amal Daher Alshammari, Emad Abboh Abdallah Abboh, Metab Nasser Alshammari and Homoud Almalaq
Microorganisms 2026, 14(1), 227; https://doi.org/10.3390/microorganisms14010227 - 19 Jan 2026
Viewed by 627
Abstract
Methicillin-resistant Staphylococcus aureus (MRSA) is a significant pathogen in both healthcare-associated (HA-MRSA) and community-associated (CA-MRSA) infections, posing major challenges due to its evolving antimicrobial resistance (AMR) and genetic diversity. This study investigates the prevalence, antimicrobial resistance patterns, and molecular characteristics of HA-MRSA and [...] Read more.
Methicillin-resistant Staphylococcus aureus (MRSA) is a significant pathogen in both healthcare-associated (HA-MRSA) and community-associated (CA-MRSA) infections, posing major challenges due to its evolving antimicrobial resistance (AMR) and genetic diversity. This study investigates the prevalence, antimicrobial resistance patterns, and molecular characteristics of HA-MRSA and CA-MRSA isolates in Saudi Arabia. A retrospective analysis was conducted on 178 MRSA isolates obtained from clinical samples. MRSA identification was performed using cefoxitin disk diffusion, and antimicrobial susceptibility testing for vancomycin, linezolid, and ciprofloxacin was conducted using the BD Phoenix M50 system. Molecular characterization included SCCmec typing, spa typing, and PCR-based detection of virulence genes (pvl, tst, eta, etb, lukS, lukF). Statistical analysis was carried out using SPSS, with a significance threshold of p < 0.05. Among 1496 S. aureus isolates, 178 (11.9%) were confirmed as MRSA, with HA-MRSA (61.8%) being more prevalent than CA-MRSA (38.2%). Notably, 7.8% of HA-MRSA isolates exhibited heteroresistant vancomycin-intermediate S. aureus (hVISA). Ciprofloxacin resistance was significantly higher in HA-MRSA (85.0%) compared to CA-MRSA (38.9%). SCCmec type V was the predominant genotype (87.1%), suggesting increased infiltration of CA-MRSA strains into hospital settings. Spa typing revealed high genetic diversity, with t037 being the most common (27%). Virulence genes were detected in 6% of isolates, indicating limited dissemination of these factors. The findings highlight the increasing prevalence of MRSA, the emergence of hVISA, and shifts in clonal distribution, underscoring the need for ongoing molecular surveillance and stringent antimicrobial stewardship programs to control MRSA spread in both healthcare and community environments. Full article
Show Figures

Figure 1

16 pages, 2980 KB  
Article
Multi-Objective Optimization of ETBE Intensified Processes Considering Economic, Environmental, and Inherent Safety Aspects
by Gabriel Hernández-Morales, Edgar Daniel Montaño-Olvera, Manuel Gómez-Ochoa and Arturo Jiménez-Gutiérrez
Processes 2025, 13(11), 3539; https://doi.org/10.3390/pr13113539 - 4 Nov 2025
Viewed by 550
Abstract
Process intensification has gained significant importance during the last few years because of its potential to develop innovative structures with improved energy efficiency and better economics. One approach that has been developed in this field is the transformation of a process flowsheet with [...] Read more.
Process intensification has gained significant importance during the last few years because of its potential to develop innovative structures with improved energy efficiency and better economics. One approach that has been developed in this field is the transformation of a process flowsheet with a series of conventional units into another one with minimal pieces of equipment. In this work we consider a base process to produce ethyl tert-butyl ether, which consists of a reactor and an isobaric distillation sequence. Given a set of design options provided by the gradual intensification of any processes that contain a dividing wall, reactive distillation, or reactive dividing wall columns, we take those intensified structures and make them subject to a multi-objective optimization task. The formulation consists of the minimization of the combination of economic, environmental, and inherent safety components. Different policies are simulated through weights assigned to each of those components. It is shown that the optimal structure depends on the priorities given to each term of the multi-objective formulation, and that the application of the optimization procedure further improves the economic and environmental potential provided by the base, fully intensified process, with reductions of up to 27.9 and 6.2 percent in those metrics. Full article
(This article belongs to the Special Issue Process Engineering: Process Design, Control, and Optimization)
Show Figures

Figure 1

16 pages, 1526 KB  
Article
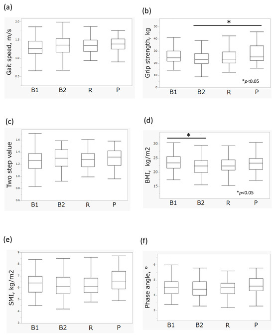
Gut Microbiota Enterotype as a Predictor of Sarcopenia in the Japanese Elderly Population
by Sayaka Hotta, Michiko Matsunaga, Akimitsu Miyake, Aya K. Takeda, Satoshi Watanabe, Naoki Hosen and Keisuke Hagihara
Nutrients 2025, 17(20), 3250; https://doi.org/10.3390/nu17203250 - 16 Oct 2025
Viewed by 1696
Abstract
Background/Objectives: Frailty and sarcopenia are age-related conditions that impair quality of life in older adults. Although the gut microbiota affects muscle health, its role in sarcopenia remains unclear. This study investigated the association between gut microbiota enterotypes and sarcopenia in community-dwelling older [...] Read more.
Background/Objectives: Frailty and sarcopenia are age-related conditions that impair quality of life in older adults. Although the gut microbiota affects muscle health, its role in sarcopenia remains unclear. This study investigated the association between gut microbiota enterotypes and sarcopenia in community-dwelling older Japanese adults. Methods: In this cross-sectional study, 322 community-dwelling adults from the Japanese Frailty Scale cohort aged ≥65 years were assessed for sarcopenia using standardized criteria. Physical measures included grip strength, gait speed, and skeletal muscle mass index (SMI). Gut microbiota profiles were analyzed using 16S rRNA sequencing and classified into four enterotypes (ET-B1, ET-B2, ET-R, ET-P). Associations with sarcopenia were evaluated using multivariable logistic regression. Results: Participants with enterotype ET-B2 had significantly lower microbial diversity (p < 0.01) and reduced grip strength (p < 0.05), whereas the difference in SMI compared with ET-P individuals did not reach statistical significance (p = 0.0625). Sarcopenia prevalence differed significantly between enterotypes (p < 0.01). A predictive model incorporating age and ET-B2 exhibited an area under the receiver operating characteristic curve (AUC) of 0.795, significantly higher than the age-only model (AUC = 0.686, DeLong’s test, p < 0.05). Conclusions: Gut microbiota composition, especially enterotype ET-B2, is significantly associated with sarcopenia in older Japanese adults. These findings indicate the potential for using the gut microbiota as a biomarker and therapeutic target in treating age-related muscle decline. Full article
(This article belongs to the Section Geriatric Nutrition)
Show Figures

Figure 1

10 pages, 855 KB  
Case Report
Staphylococcal Scalded Skin Syndrome (SSSS) in a Preterm Infant: Clinical Presentation and Role of Next-Generation Sequencing in Toxin Gene Identification—A Case Report
by Giovanni Lorenzin, Maddalena Carlin, Claudio Scarparo, Mariachiara Cardellini, Francesca Tota and Aldo Naselli
Antibiotics 2025, 14(10), 1017; https://doi.org/10.3390/antibiotics14101017 - 13 Oct 2025
Viewed by 2518
Abstract
Staphylococcal scalded skin syndrome (SSSS) is a rare, toxin-mediated dermatosis caused by exfoliative toxin–producing Staphylococcus aureus strains, with neonates and preterm infants being particularly vulnerable due to immature immunity and reduced toxin clearance. We report the case of a male preterm infant, born [...] Read more.
Staphylococcal scalded skin syndrome (SSSS) is a rare, toxin-mediated dermatosis caused by exfoliative toxin–producing Staphylococcus aureus strains, with neonates and preterm infants being particularly vulnerable due to immature immunity and reduced toxin clearance. We report the case of a male preterm infant, born at 24 weeks of gestation, who presented at the age of one month with fever and later developed widespread erythema, flaccid bullae, and periorificial desquamation. Methicillin-sensitive S. aureus (MSSA) was isolated from blood, catheter, and auricular swabs. Whole-genome sequencing revealed sequence type ST121 carrying both eta and etb genes, confirming the dual-toxin profile associated with severe disease. The infant improved with targeted intravenous oxacillin following catheter removal. A subsequent nasal swab identified a methicillin-resistant S. aureus (MRSA) ST30 strain lacking exfoliative toxins, consistent with asymptomatic colonization. This case underscores the importance of integrating advanced molecular diagnostics such as next-generation sequencing into the management of neonatal SSSS, enabling precise identification of virulence factors and resistance genes. Literature also highlights the global epidemiology of SSSS, diversity of S. aureus toxin genes, and value of genomic surveillance in neonatal care; our case aligns with reports of ST121 strains carrying both ETA and ETB, where the dual-toxin profile drives rapid onset, extensive skin disease, and good outcomes with prompt therapy. Full article
Show Figures

Figure 1

16 pages, 17338 KB  
Article
MSRS-DETR: End-to-End Object Detection for Multi-Scale Remote Sensing
by Jie Yuan, Shuyi Feng and Hao Han
Sensors 2025, 25(18), 5734; https://doi.org/10.3390/s25185734 - 14 Sep 2025
Cited by 1 | Viewed by 2344
Abstract
Remote sensing imagery (RSI) object detection is critical to many applications, yet mainstream detectors analyse only spatial features and, because of spectral bias, fail to learn high-frequency information adequately, resulting in performance bottlenecks under cluttered backgrounds, distractors, and multi-scale targets, especially small ones. [...] Read more.
Remote sensing imagery (RSI) object detection is critical to many applications, yet mainstream detectors analyse only spatial features and, because of spectral bias, fail to learn high-frequency information adequately, resulting in performance bottlenecks under cluttered backgrounds, distractors, and multi-scale targets, especially small ones. To break these limitations, we propose MSRS-DETR, an end-to-end framework that deeply fuses spatial and frequency cues. The approach introduces three key innovations: (1) C2fFATNET, a frequency-attention-enhanced lightweight residual backbone that provides richer dual-domain features with fewer parameters; (2) an Entanglement Transformer Block (ETB) in the encoder that refines deep semantics via cross-domain frequency–spatial interaction and suppresses background interference; and (3) S2-CCFF, a shallow-feature-extended bidirectional fusion path that markedly improves the retention and utilisation of fine details for small objects. Experiments on HRSC2016 and ShipRSImageNet demonstrate the effectiveness and generalisation of this spatial–frequency paradigm: relative to the baseline, MSRS-DETR reduces parameters by 29.1%, boosts inference speed by 12.4% and 8.4%, and raises mAP50-95 by 1.69% and 2.16%, respectively. Full article
(This article belongs to the Special Issue Advanced Pattern Recognition: Intelligent Sensing and Imaging)
Show Figures

Figure 1

25 pages, 2009 KB  
Article
Molecular Epidemiology, Antimicrobial Resistance, and Virulence Profiles of Staphylococcus aureus from Fish, Aquatic Environments, and Fish Handlers in Southeast Nigeria
by Uju Catherine Okafor, Onyinye Josephine Okorie-Kanu, Akwoba Joseph Ogugua, Chika Florence Ikeogu, Simeon Chibuko Okafor, Madubuike Umunna Anyanwu, Obichukwu Chisom Nwobi, Chidiebere Ohazuruike Anyaoha, Anthony Christian Mgbeahuruike, Lynda Onyinyechi Majesty-Alukagberie, Innocent Okwundu Nwankwo, Chukwunonso Francis Obi, Ejike Ekene Ugwuijem, Nkechi Harriet Ikenna-Ezeh, Ifeyinwa Riona Okosi, Onyemaechi Ugboh, George Okey Ezeifeka, Ekene Vivienne Ezenduka, Charles Odilichukwu R. Okpala and Edet Ekpenyong Udo
Microorganisms 2025, 13(9), 2059; https://doi.org/10.3390/microorganisms13092059 - 4 Sep 2025
Cited by 1 | Viewed by 2243
Abstract
Background: Staphylococcus aureus is a major zoonotic and foodborne pathogen with substantial One Health implications, yet its prevalence, resistance, and virulence potential within the aquaculture sector in Nigeria remains poorly characterized. Objectives: To supplement existing information, this current study investigated the [...] Read more.
Background: Staphylococcus aureus is a major zoonotic and foodborne pathogen with substantial One Health implications, yet its prevalence, resistance, and virulence potential within the aquaculture sector in Nigeria remains poorly characterized. Objectives: To supplement existing information, this current study investigated the prevalence, clonal distribution, antimicrobial resistance, and virulence gene profiles of S. aureus isolates from fish, fish water, and occupationally exposed fish handlers in Anambra State, Southeast Nigeria. Methods: A total of 607 samples—comprising 465 surface swabs from raw and processed fish, 36 fish water samples, and 106 nasal swabs from fish handlers—were processed using selective culture, biochemical tests, antimicrobial susceptibility testing, DNA microarray analysis, spa typing, and SCCmec typing. Results: S. aureus was recovered from 16.5% (100/607) of the samples. Fourteen (14%) isolates were methicillin-resistant (MRSA), harboring mecA and SCCmec types IV and V, with a combined MRSA prevalence of 2.3%. Multidrug resistance was observed in 52.2% of isolates (mean Multiple Antimicrobial Resistance index: 0.23), with 19 resistance genes spanning nine antimicrobial classes—including heavy metal and biocide resistance. Twenty-eight spa types across 13 clonal complexes (CCs) were identified, with CC1, CC5, and CC8 predominating. The detection of shared spa types between fish and handlers indicates potential cross-contamination. Detected virulence genes included those for accessory gene regulators (agrI-IV), Pantone–Valentine leucocidin (lukFS-PV), toxic shock syndrome (tsst-1), hemolysins (hla, hlb, hld/hlIII, hlgA), biofilm formation (icaA, icaD), immune evasion (chp, scn, sak), enterotoxins (sea, seb, sec, sed, egc, and others), exfoliative toxins (etA, etB), epidermal cells differentiation (edinA, edinB), and capsular types (cap5, cap8). Conclusions: This study reveals that the aquaculture sector in Southeast Nigeria serves as a significant reservoir of genetically diverse, multidrug-resistant S. aureus strains with robust virulence profiles. These findings highlight the necessity of integrated One Health surveillance and targeted interventions addressing antimicrobial use and hygiene practices within aquatic food systems. Full article
Show Figures

Figure 1

21 pages, 12036 KB  
Article
Temporal Analysis of Reservoirs, Lakes, and Rivers in the Euphrates–Tigris Basin from Multi-Sensor Data Between 2018 and 2022
by Omer Gokberk Narin, Roderik Lindenbergh and Saygin Abdikan
Remote Sens. 2025, 17(16), 2913; https://doi.org/10.3390/rs17162913 - 21 Aug 2025
Cited by 1 | Viewed by 5197
Abstract
Monitoring freshwater resources is essential for assessing the impacts of drought, water management and global warming. Spaceborne LiDAR altimeters allow researchers to obtain water height information, while water area and precipitation data can be obtained using different satellite systems. In our study, we [...] Read more.
Monitoring freshwater resources is essential for assessing the impacts of drought, water management and global warming. Spaceborne LiDAR altimeters allow researchers to obtain water height information, while water area and precipitation data can be obtained using different satellite systems. In our study, we examined 5 years (2018–2022) of data concerning the Euphrates–Tigris Basin (ETB), one of the most important freshwater resources of the Middle East, and the water bodies of both the ETB and the largest lake of Türkiye, Lake Van. A multi-sensor study aimed to detect and monitor water levels and water areas in the water scarcity basin. The ATL13 product of the Ice, Cloud, and Land Elevation Satellite-2 (ICESat-2) was used to determine water levels, while the normalized difference water index was applied to the Sentinel-2 optical imaging satellite to monitor the water area. Variations in both water level and area may be related to the time series of precipitation data from the ECMWF Reanalysis v5 (ERA5) product. In addition, our results were compared with global HydroWeb water level data. Consequently, it was observed that the water levels in the region decreased by 5–6 m in many reservoirs after 2019. It is noteworthy that there was a decrease of approximately 14 m in the water level and 684 km2 in the water area between July 2019 and July 2022 in Lake Therthar. Full article
(This article belongs to the Special Issue Multi-Source Remote Sensing Data in Hydrology and Water Management)
Show Figures

Figure 1

11 pages, 3602 KB  
Case Report
Case Report of Toxic Shock-like Syndrome Associated with Mixed Staphylococcus aureus, Streptococcus halichoeri and Dermatophilus spp. Infection in a Dog
by Carmen Negoiță, Veronica Ciupescu, Laurențiu Mihai Ciupescu and Valentina Negoiță
Vet. Sci. 2025, 12(8), 764; https://doi.org/10.3390/vetsci12080764 - 16 Aug 2025
Viewed by 2076
Abstract
Toxic shock syndrome (TSS) is a serious, often fatal disease, rarely occurring in dogs via infection with Staphylococcus and Streptococcus. The development of TSS is mainly dependent on the presence of bacterial toxins recognized to be potent superantigens causing the release of [...] Read more.
Toxic shock syndrome (TSS) is a serious, often fatal disease, rarely occurring in dogs via infection with Staphylococcus and Streptococcus. The development of TSS is mainly dependent on the presence of bacterial toxins recognized to be potent superantigens causing the release of massive amounts of host inflammatory cytokines, notably TNF-α, progressing to high fever, hypotension, haemoconcentration, thrombosis and neutrophil and endothelial activation with multiple organ failure. Rarely, TSS is associated with erythematous and exfoliative dermatitis progressing to ulceration with extremely extensive dermo-epidermal detachment, which is often very painful. Like in humans, very little is known about the transmission and prevention of this condition. In our paper, a case of TSS-like caused by a mixed bacterial infection with Staphylococcus aureus, Streptococcus halichoeri and Dermatophilus spp. has been described in an 11 year-old, cross-breed male dog, most probably following injury due to biting and fighting. Lesions consisted of severe and diffuse ulceration on the dorsum, and bacterial culture/cytology led to the isolation and identification of Gram-positive staphylococci and streptococci associated with an intense neutrophil reaction. Dermatophilus spp. was presumed morphologically based on cytological preps, not by culture or molecular analysis. PCR demonstrated the presence of the nuc thermonucleaze gene (for S. aureus confirmation) together with the genes encoding enterotoxin H (seh), protein A (spa), toxic shock syndrome toxin TSST-1 (tst) and methicillin resistance (mecC); the exfoliative toxins (eta, etb) were detected. Clinical signs, cytology, bacterial culture and the response to systemic antibiotic therapy were compatible with a TSS-like diagnosis. The patient has completely recovered after 1 year of treatment. Full article
(This article belongs to the Special Issue Bacterial Infectious Diseases of Companion Animals—2nd Edition)
Show Figures

Figure 1

21 pages, 6621 KB  
Article
Ecological Restoration Reshapes Ecosystem Service Interactions: A 30-Year Study from China’s Southern Red-Soil Critical Zone
by Gaigai Zhang, Lijun Yang, Jianjun Zhang, Chongjun Tang, Yuanyuan Li and Cong Wang
Forests 2025, 16(8), 1263; https://doi.org/10.3390/f16081263 - 2 Aug 2025
Cited by 1 | Viewed by 1505
Abstract
Situated in the southern hilly-mountain belt of China’s “Three Zones and Four Belts Strategy”, Gannan region is a critical ecological shelter belt for the Ganjiang River. Decades of intensive mineral extraction and irrational agricultural development have rendered it into an ecologically fragile area. [...] Read more.
Situated in the southern hilly-mountain belt of China’s “Three Zones and Four Belts Strategy”, Gannan region is a critical ecological shelter belt for the Ganjiang River. Decades of intensive mineral extraction and irrational agricultural development have rendered it into an ecologically fragile area. Consequently, multiple restoration initiatives have been implemented in the region over recent decades. However, it remains unclear how relationships among ecosystem services have evolved under these interventions and how future ecosystem management should be optimized based on these changes. Thus, in this study, we simulated and assessed the spatiotemporal dynamics of five key ESs in Gannan region from 1990 to 2020. Through integrated correlation, clustering, and redundancy analyses, we quantified ES interactions, tracked the evolution of ecosystem service bundles (ESBs), and identified their socio-ecological drivers. Despite a 31% decline in water yield, ecological restoration initiatives drove substantial improvements in key regulating services: carbon storage increased by 6.9 × 1012 gC while soil conservation rose by 4.8 × 108 t. Concurrently, regional habitat quality surged by 45% in mean scores, and food production increased by 2.1 × 105 t. Critically, synergistic relationships between habitat quality, soil retention, and carbon storage were progressively strengthened, whereas trade-offs between food production and habitat quality intensified. Further analysis revealed that four distinct ESBs—the Agricultural Production Bundle (APB), Urban Development Bundle (UDB), Eco-Agriculture Transition Bundle (ETB), and Ecological Protection Bundle (EPB)—were shaped by slope, forest cover ratio, population density, and GDP. Notably, 38% of the ETB transformed into the EPB, with frequent spatial interactions observed between the APB and UDB. These findings underscore that future ecological restoration and conservation efforts should implement coordinated, multi-service management mechanisms. Full article
Show Figures

Figure 1

16 pages, 298 KB  
Article
Antimicrobial-Resistant Staphylococcus spp. Harbored by Hedgehogs (Erinaceus europaeus) in Central Italy
by Fabrizio Bertelloni, Francesca Pauselli, Giulia Cagnoli, Roberto Biscontri, Renato Ceccherelli and Valentina Virginia Ebani
Antibiotics 2025, 14(7), 725; https://doi.org/10.3390/antibiotics14070725 - 18 Jul 2025
Cited by 2 | Viewed by 1063
Abstract
Background/Objectives: European hedgehogs (Erinaceus europaeus) are present in areas where there is human activity; therefore, they can be a source of pathogens for other animals and humans. Methods: Eighteen hedgehog carcasses were collected and analyzed for Staphylococcus spp. Isolated strains were [...] Read more.
Background/Objectives: European hedgehogs (Erinaceus europaeus) are present in areas where there is human activity; therefore, they can be a source of pathogens for other animals and humans. Methods: Eighteen hedgehog carcasses were collected and analyzed for Staphylococcus spp. Isolated strains were typed and analyzed for exfoliative toxins genes and the phenotypic and genotypic characteristics of antimicrobial resistance. Results: A total of 54 strains were isolated and typed as S. aureus, S. xylosus, S. sciuri, S. pseudintermedius, S. simulans, S. chromogenes, S. epidermidis, S. hyicus, and S. lentus. No strains had the eta and etb genes coding for exfoliative toxins. Overall, 39/54 (72.20%) isolates showed phenotypic resistance to at least one antimicrobial and 21/54 (38.80%) showed more than one resistance. The lowest efficacy was observed for erythromycin, with 40/54 (74.08%) strains classified as intermediate and 6/54 (11.11%) classified as resistant. Among the 29 isolates shown to be penicillin-resistant, 11 (37.93%) were oxacillin-resistant, with a minimum inhibitory concentration (MIC). Among the 54 staphylococcal strains, 2 (3.70%) were resistant to vancomycin, both with an MIC value equal to the maximum concentration of the antibiotic tested (256 μg/mL) and 2 (3.70%) had an intermediate resistance profile with an 8 μg/mL MIC value. No strains had the genes vanA and vanB. Two of the 29 (6.90%) penicillin-resistant strains had the blaZ gene; 8 (27.13%) strains had the mecA gene. Overall, 2/54 (3.70%) isolates were classified as extensively drug-resistant (XDR) and 9/54 (16.66%) were classified as multidrug-resistant (MDR). Conclusions: Hedgehogs can harbor antimicrobial-resistant staphylococci and can be sources of these bacteria for other animals and humans. They can also serve as bioindicators of the pathogens and antimicrobial-resistant bacteria circulating in a given habitat. Full article
23 pages, 2728 KB  
Article
Shear Stress-Dependent Modulation of Endothelin B Receptor: The Role of Endothelial Glycocalyx Heparan Sulfate
by Camden Holm, Son Nam Nguyen and Solomon A. Mensah
Cells 2025, 14(14), 1088; https://doi.org/10.3390/cells14141088 - 16 Jul 2025
Cited by 1 | Viewed by 1983
Abstract
The endothelial glycocalyx (GCX) plays a crucial role in vascular health and integrity and influences many biochemical activities through mechanotransduction, in which heparan sulfate (HS) plays a major role. Endothelin-1 (ET-1) is a potent vasoregulator that binds to the endothelin B receptor (ETB) [...] Read more.
The endothelial glycocalyx (GCX) plays a crucial role in vascular health and integrity and influences many biochemical activities through mechanotransduction, in which heparan sulfate (HS) plays a major role. Endothelin-1 (ET-1) is a potent vasoregulator that binds to the endothelin B receptor (ETB) on endothelial cells (ECs), stimulating vasodilation, and to the endothelin A receptor on smooth muscle cells, stimulating vasoconstriction. While the shear stress (SS) dependence of ET-1 and HS is well documented, there is limited research documenting the SS dependence of the ETB. Understanding the SS dependence of the ETB is crucial for clarifying the role of hemodynamic forces in the endothelin system. We hypothesize that GCX HS regulates the expression of the ETB on the EC surface in an SS-dependent manner. Human lung microvascular ECs were exposed to SS in a parallel-plate flow chamber for 12 h. Damage to the GCX was simulated by treatment with 15 mU/mL heparinase-III during SS exposure. Immunostaining and qPCR were used to evaluate changes in ET-1, ETB, and HS expression. Results indicate that ETB expression is SS sensitive, with at least a 1.3-fold increase in ETB protein expression and a 0.6 to 0.4-fold-change decrease in ETB mRNA expression under SS. This discrepancy suggests post-translational regulation. In some cases, enzymatic degradation of HS attenuated the SS-induced increase in ETB protein, reducing the fold-change difference to 1.1 relative to static controls. This implies that ETB expression may be partially dependent on HS-mediated mechanotransduction, though inconclusively. Furthermore, ET-1 mRNA levels were elevated two-fold under SS without a corresponding rise in ET-1 protein expression or significant impact from HS degradation, implying that post-translational regulation of ET-1 occurs independently of HS. Full article
(This article belongs to the Special Issue Cellular and Molecular Mechanisms of Vascular-Related Diseases)
Show Figures

Figure 1

15 pages, 568 KB  
Article
Resistance Rates of Mycobacterium tuberculosis Complex Strains: A Retrospective Study in Türkiye
by Melda Payaslıoğlu, İmran Sağlık and Cüneyt Özakın
Medicina 2025, 61(6), 1060; https://doi.org/10.3390/medicina61061060 - 9 Jun 2025
Viewed by 1714
Abstract
Background and Objectives: Tuberculosis (TB) is one of the most common infectious diseases in developing countries. The resistance of the causative agent, Mycobacterium tuberculosis, to two or more first-line anti-TB drugs results in multidrug-resistant (MDR) TB, posing a serious challenge to [...] Read more.
Background and Objectives: Tuberculosis (TB) is one of the most common infectious diseases in developing countries. The resistance of the causative agent, Mycobacterium tuberculosis, to two or more first-line anti-TB drugs results in multidrug-resistant (MDR) TB, posing a serious challenge to the control of TB worldwide. This study was designed to determine the changes in drug resistance over time in TB strains isolated from patients in all departments of Uludağ University Hospital in western Türkiye. Materials and Methods: We retrospectively analyzed 104,598 clinical samples sent to our laboratory for the investigation of the presence of TB between 1996 and 2023. BACTEC 460 TB, BACTEC MGIT 960 culture systems and Löwenstein–Jensen medium were used for the culture of these samples. The susceptibility of M. tuberculosis complex strains grown in culture to isoniazid (INH) (0.1 μg/mL), rifampicin (RIF) (1.0 μg/mL), ethambutol (ETB) (5.0 μg/mL) and streptomycin (SM) (1.0 μg/mL) antibiotics was studied according to the manufacturer’s recommendation. Results: Out of 104,598 patient samples, 2752 (2.6%) were culture-positive, and the susceptibility test results of 1869 of these were analyzed. Of the isolates, 358 (19.2%) were found to be resistant to at least one first-line drug, i.e., INH, RIF, ETB, or SM. In addition, 2.9% were resistant to two or more first-line drugs. Conclusions: Drug susceptibility testing is essential to ensure the optimal treatment and control of drug-resistant TB strains. This study highlights the value of ongoing efforts to control tuberculosis drug resistance in the fight against this disease. Full article
(This article belongs to the Section Epidemiology & Public Health)
Show Figures

Figure 1

10 pages, 708 KB  
Article
A Retrospective Chart Review of Ostomy Pouching Systems in New Ileostomy Patients: A Sub-Analysis
by Cecilia Zamarripa, Alexandra Craig, Carol Mathews, Lisa Small and Amy Folk
Nurs. Rep. 2025, 15(6), 206; https://doi.org/10.3390/nursrep15060206 - 6 Jun 2025
Cited by 1 | Viewed by 4013
Abstract
Background/Objectives: Ostomy creation surgery is a common intervention for patients with conditions such as colorectal cancer, ulcerative colitis, Crohn’s disease, or acute events like trauma and gastrointestinal perforation. Individuals with an ileostomy face unique challenges when managing their new ostomies due to the [...] Read more.
Background/Objectives: Ostomy creation surgery is a common intervention for patients with conditions such as colorectal cancer, ulcerative colitis, Crohn’s disease, or acute events like trauma and gastrointestinal perforation. Individuals with an ileostomy face unique challenges when managing their new ostomies due to the liquid caustic nature of the effluent, increasing the likelihood of leakage and peristomal skin complications (PSCs). This sub-analysis evaluates the prevalence of leakage and PSCs in a cohort of individuals with a new ileostomy and examines the risk of leakage of different ostomy pouching systems and their impact on leakage and PSCs. Methods: This sub-analysis examined a cohort of 98 patients from a previously published retrospective chart review of stoma-creation surgeries at the University of Pittsburgh Medical Center. Data on pouching system selection, leakage, and PSCs were collected from electronic medical records and evaluated across 479 pouch changes. Two main barrier pouching systems were analyzed: elastic tapeless border (ETB) and ceramide-infused tape-border (CIB) barriers. Statistical analyses using generalized linear mixed models assessed the risk of leakage for each barrier type and controlled for significant differences in the sub-groups. Results: The prevalence of leakage in the ileostomy cohort was 19%, with the prevalence of leakage increasing over successive pouch changes. The ETB sub-group experienced a significantly lower risk of leakage (13.7%) compared to CIB (29.3%), reflecting a 53.2% lower risk of leakage with ETB (p = 0.03; OR 2.45). Conclusions: This sub-analysis of ileostomy patients confirms that ETB significantly reduces the risk of leakage in this more difficult to manage population compared to CIB, a clinically important consideration in PSC development and overall ostomy management. Evidence-based selection of ostomy barriers can improve patient outcomes, enhance quality of life, and reduce healthcare resource utilization. Full article
Show Figures

Figure 1

Back to TopTop