Gut Microbiota Enterotype as a Predictor of Sarcopenia in the Japanese Elderly Population
Abstract
1. Introduction
2. Materials and Methods
2.1. Study Population
2.2. Health Check-Up for Frailty and Related Conditions
2.3. Fecal Sampling, DNA Extraction, and Sequencing
2.4. Taxonomy Assignment Based on 16S rRNA Gene Sequencing
2.5. Diversity Analysis
2.6. Microbiome Community Typing
2.7. Statistical Analysis
3. Results
3.1. Subjects’ Characteristics
3.2. Relationship Between Microbiome and Frailty
4. Discussion
5. Conclusions
6. Patents
Supplementary Materials
Author Contributions
Funding
Institutional Review Board Statement
Informed Consent Statement
Data Availability Statement
Acknowledgments
Conflicts of Interest
Abbreviations
| SMI | skeletal muscle mass index |
| ET | Enterotype |
| JFS | Japan Frailty Scale |
| KCL | Kihon checklist |
| BMI | body mass index |
| J-CHS | Japanese-Cardiovascular health study |
| DMM | Dirichlet multinomial mixture |
| AUC | Area under the curve |
References
- Hoogendijk, E.O.; Afilalo, J.; Ensrud, K.E.; Kowal, P.; Onder, G.; Fried, L.P. Frailty: Implications for Clinical Practice and Public Health. Lancet 2019, 394, 1365–1375. [Google Scholar] [CrossRef]
- Yu, R.; Wong, M.; Chong, K.C.; Chang, B.; Lum, C.M.; Auyeung, T.W.; Lee, J.; Lee, R.; Woo, J. Trajectories of Frailty among Chinese Older People in Hong Kong between 2001 and 2012: An Age-Period-Cohort Analysis. Age Ageing 2018, 47, 254–261. [Google Scholar] [CrossRef]
- Hua, K.; Pan, Y.; Fang, J.; Wu, H.; Hua, Y. Integrating Social, Climate and Environmental Changes to Confront Accelerating Global Aging. BMC Public Health 2024, 24, 2838. [Google Scholar] [CrossRef]
- Toson, B.; Edney, L.C.; Haji Ali Afzali, H.; Visvanathan, R.; Khadka, J.; Karnon, J. Economic Burden of Frailty in Older Adults Accessing Community-Based Aged Care Services in Australia. Geriatr. Gerontol. Int. 2024, 24, 939–947. [Google Scholar] [CrossRef] [PubMed]
- Bugeja, L.; Ibrahim, J.E.; Ferrah, N.; Murphy, B.; Willoughby, M.; Ranson, D. The Utility of Medico-Legal Databases for Public Health Research: A Systematic Review of Peer-Reviewed Publications Using the National Coronial Information System. Health Res. Policy Syst. 2016, 14, 28. [Google Scholar] [CrossRef] [PubMed]
- Vermeiren, S.; Vella-Azzopardi, R.; Beckwée, D.; Habbig, A.K.; Scafoglieri, A.; Jansen, B.; Bautmans, I.; Bautmans, I.; Verté, D.; Beyer, I.; et al. Frailty and the Prediction of Negative Health Outcomes: A Meta-Analysis. J. Am. Med. Dir. Assoc. 2016, 17, 1163.e1–1163.e17. [Google Scholar] [CrossRef] [PubMed]
- Wang, Y.; Wehling-Henricks, M.; Welc, S.S.; Fisher, A.L.; Zuo, Q.; Tidball, J.G. Aging of the Immune System Causes Reductions in Muscle Stem Cell Populations, Promotes Their Shift to a Fibrogenic Phenotype, and Modulates Sarcopenia. FASEB J. 2019, 33, 1415–1427. [Google Scholar] [CrossRef]
- Fulop, T.; McElhaney, J.; Pawelec, G.; Cohen, A.A.; Morais, J.A.; Dupuis, G.; Baehl, S.; Camous, X.; Witkowski, J.M.; Larbi, A. Frailty, Inflammation and Immunosenescence. Interdiscip. Top. Gerontol. Geriatr. 2015, 41, 26–40. [Google Scholar] [CrossRef]
- Ferrucci, L.; Fabbri, E. Inflammageing: Chronic Inflammation in Ageing, Cardiovascular Disease, and Frailty. Nat. Rev. Cardiol. 2018, 15, 505–522. [Google Scholar] [CrossRef]
- Turner, J.R. Intestinal Mucosal Barrier Function in Health and Disease. Nat. Rev. Immunol. 2009, 9, 799–809. [Google Scholar] [CrossRef]
- Turnbaugh, P.J.; Ley, R.E.; Mahowald, M.A.; Magrini, V.; Mardis, E.R.; Gordon, J.I. An Obesity-Associated Gut Microbiome with Increased Capacity for Energy Harvest. Nature 2006, 444, 1027–1031. [Google Scholar] [CrossRef]
- Wu, G.D.; Chen, J.; Hoffmann, C.; Bittinger, K.; Chen, Y.Y.; Keilbaugh, S.A.; Bewtra, M.; Knights, D.; Walters, W.A.; Knight, R.; et al. Linking Long-Term Dietary Patterns with Gut Microbial Enterotypes. Science 2011, 334, 105–108. [Google Scholar] [CrossRef] [PubMed]
- Desai, M.S.; Seekatz, A.M.; Koropatkin, N.M.; Kamada, N.; Hickey, C.A.; Wolter, M.; Pudlo, N.A.; Kitamoto, S.; Terrapon, N.; Muller, A.; et al. A Dietary Fiber-Deprived Gut Microbiota Degrades the Colonic Mucus Barrier and Enhances Pathogen Susceptibility. Cell 2016, 167, 1339–1353.e21. [Google Scholar] [CrossRef] [PubMed]
- Furusawa, Y.; Obata, Y.; Fukuda, S.; Endo, T.A.; Nakato, G.; Takahashi, D.; Nakanishi, Y.; Uetake, C.; Kato, K.; Kato, T.; et al. Commensal Microbe-Derived Butyrate Induces the Differentiation of Colonic Regulatory T Cells. Nature 2013, 504, 446–450. [Google Scholar] [CrossRef] [PubMed]
- Thevaranjan, N.; Puchta, A.; Schulz, C.; Naidoo, A.; Szamosi, J.C.; Verschoor, C.P.; Loukov, D.; Schenck, L.P.; Jury, J.; Foley, K.P.; et al. Age-Associated Microbial Dysbiosis Promotes Intestinal Permeability, Systemic Inflammation, and Macrophage Dysfunction. Cell Host Microbe 2017, 21, 455–466.e4. [Google Scholar] [CrossRef] [PubMed]
- Vieira-Silva, S.; Sabino, J.; Valles-Colomer, M.; Falony, G.; Kathagen, G.; Caenepeel, C.; Cleynen, I.; van der Merwe, S.; Vermeire, S.; Raes, J. Quantitative Microbiome Profiling Disentangles Inflammation- and Bile Duct Obstruction-Associated Microbiota Alterations across PSC/IBD Diagnoses. Nat. Microbiol. 2019, 4, 1826–1831. [Google Scholar] [CrossRef]
- Brennan, C.A.; Garrett, W.S. Gut Microbiota, Inflammation, and Colorectal Cancer. Annu. Rev. Microbiol. 2016, 70, 395–411. [Google Scholar] [CrossRef]
- Koeth, R.A.; Wang, Z.; Levison, B.S.; Buffa, J.A.; Org, E.; Sheehy, B.T.; Britt, E.B.; Fu, X.; Wu, Y.; Li, L.; et al. Intestinal Microbiota Metabolism of L-Carnitine, a Nutrient in Red Meat, Promotes Atherosclerosis. Nat. Med. 2013, 19, 576–585. [Google Scholar] [CrossRef]
- Loh, J.S.; Mak, W.Q.; Tan, L.K.S.; Ng, C.X.; Chan, H.H.; Yeow, S.H.; Foo, J.B.; Ong, Y.S.; How, C.W.; Khaw, K.Y. Microbiota–Gut–Brain Axis and Its Therapeutic Applications in Neurodegenerative Diseases. Signal Transduct. Target. Ther. 2024, 9, 37. [Google Scholar] [CrossRef]
- Vieira-Silva, S.; Falony, G.; Belda, E.; Nielsen, T.; Aron-Wisnewsky, J.; Chakaroun, R.; Forslund, S.K.; Assmann, K.; Valles-Colomer, M.; Nguyen, T.T.D.; et al. Statin Therapy Is Associated with Lower Prevalence of Gut Microbiota Dysbiosis. Nature 2020, 581, 310–315. [Google Scholar] [CrossRef]
- Egashira, R.; Sato, T.; Miyake, A.; Takeuchi, M.; Nakano, M.; Saito, H.; Moriguchi, M.; Tonari, S.; Hagihara, K. The Japan Frailty Scale Is a Promising Screening Test for Frailty and Pre-Frailty in Japanese Elderly People. Gene 2022, 844, 146775. [Google Scholar] [CrossRef] [PubMed]
- Strasser, B.; Wolters, M.; Weyh, C.; Krüger, K.; Ticinesi, A. The Effects of Lifestyle and Diet on Gut Microbiota Composition, Inflammation and Muscle Performance in Our Aging Society. Nutrients 2021, 13, 2045. [Google Scholar] [CrossRef] [PubMed]
- O’Toole, P.W.; Jeffery, I.B. Microbiome–Health Interactions in Older People. Cell. Mol. Life Sci. 2018, 75, 119–128. [Google Scholar] [CrossRef] [PubMed]
- Jackson, M.; Jeffery, I.B.; Beaumont, M.; Bell, J.T.; Clark, A.G.; Ley, R.E.; O’Toole, P.W.; Spector, T.D.; Steves, C.J. Signatures of Early Frailty in the Gut Microbiota. Genome Med. 2016, 8, 8. [Google Scholar] [CrossRef]
- Claesson, M.J.; Jeffery, I.B.; Conde, S.; Power, S.E.; O’connor, E.M.; Cusack, S.; Harris, H.M.B.; Coakley, M.; Lakshminarayanan, B.; O’sullivan, O.; et al. Gut Microbiota Composition Correlates with Diet and Health in the Elderly. Nature 2012, 488, 178–184. [Google Scholar] [CrossRef]
- Lauretani, F.; Roberto Russo, C.; Bandinelli, S.; Bartali, B.; Cavazzini, C.; Di Iorio, A.; Maria Corsi, A.; Rantanen, T.; Guralnik, J.M.; Ferrucci, L.; et al. Age-Associated Changes in Skeletal Muscles and Their Effect on Mobility: An Operational Diagnosis of Sarcopenia. J. Appl. Physiol. 2003, 95, 1851–1860. [Google Scholar] [CrossRef]
- Kang, L.; Li, P.; Wang, D.; Wang, T.; Hao, D.; Qu, X. Alterations in Intestinal Microbiota Diversity, Composition, and Function in Patients with Sarcopenia. Sci. Rep. 2021, 11, 402. [Google Scholar] [CrossRef]
- Collins, G.S.; Reitsma, J.B.; Altman, D.G.; Moons, K.G.M. Transparent Reporting of a Multivariable Prediction Model for Individual Prognosis or Diagnosis (TRIPOD): The TRIPOD Statement. BMJ 2015, 350, g7594. [Google Scholar] [CrossRef]
- Kuys, S.S.; Peel, N.M.; Klein, K.; Slater, A.; Hubbard, R.E. Gait Speed in Ambulant Older People in Long Term Care: A Systematic Review and Meta-Analysis. J. Am. Med. Dir. Assoc. 2014, 15, 194–200. [Google Scholar] [CrossRef]
- Satake, S.; Arai, H. The Revised Japanese Version of the Cardiovascular Health Study Criteria (Revised J-CHS Criteria). Geriatr. Gerontol. Int. 2020, 20, 991–992. [Google Scholar] [CrossRef]
- Arai, H.; Satake, S. English Translation of the Kihon Checklist. Geriatr. Gerontol. Int. 2015, 15, 518–519. [Google Scholar] [CrossRef]
- Chen, L.K.; Woo, J.; Assantachai, P.; Auyeung, T.W.; Chou, M.Y.; Iijima, K.; Jang, H.C.; Kang, L.; Kim, M.; Kim, S.; et al. Asian Working Group for Sarcopenia: 2019 Consensus Update on Sarcopenia Diagnosis and Treatment. J. Am. Med. Dir. Assoc. 2020, 21, 300–307.e2. [Google Scholar] [CrossRef] [PubMed]
- Bolyen, E.; Rideout, J.R.; Dillon, M.R.; Bokulich, N.A.; Abnet, C.C.; Al-Ghalith, G.A.; Alexander, H.; Alm, E.J.; Arumugam, M.; Asnicar, F.; et al. Reproducible, Interactive, Scalable Andextensible Microbiome Data Science Using QIIME2. Nat. Biotechnol. 2019, 37, 850–852. [Google Scholar]
- Quast, C.; Pruesse, E.; Yilmaz, P.; Gerken, J.; Schweer, T.; Yarza, P.; Peplies, J.; Glöckner, F.O. The SILVA Ribosomal RNA Gene Database Project: Improved Data Processing and Web-Based Tools. Nucleic Acids Res. 2013, 41, D590–D596. [Google Scholar] [CrossRef] [PubMed]
- Yoshida, N.; Watanabe, S.; Yamasaki, H.; Sakuma, H.; Takeda, A.K.; Yamashita, T.; Hirata, K.I. Average Gut Flora in Healthy Japanese Subjects Stratified by Age and Body Mass Index. Biosci. Microbiota Food Health 2022, 41, 45–53. [Google Scholar] [CrossRef]
- Holmes, I.; Harris, K.; Quince, C. Dirichlet Multinomial Mixtures: Generative Models for Microbial Metagenomics. PLoS ONE 2012, 7, e30126. [Google Scholar] [CrossRef]
- Arumugam, M.; Raes, J.; Pelletier, E.; Le Paslier, D.; Yamada, T.; Mende, D.R.; Fernandes, G.R.; Tap, J.; Bruls, T.; Batto, J.M.; et al. Enterotypes of the Human Gut Microbiome. Nature 2011, 473, 174–180. [Google Scholar] [CrossRef]
- Cruz-Jentoft, A.J.; Baeyens, J.P.; Bauer, J.M.; Boirie, Y.; Cederholm, T.; Landi, F.; Martin, F.C.; Michel, J.P.; Rolland, Y.; Schneider, S.M.; et al. Sarcopenia: European Consensus on Definition and Diagnosis. Age Ageing 2010, 39, 412–423. [Google Scholar] [CrossRef]
- Poggiogalle, E.; Lubrano, C.; Gnessi, L.; Mariani, S.; Di Martino, M.; Catalano, C.; Lenzi, A.; Donini, L.M. The Decline in Muscle Strength and Muscle Quality in Relation to Metabolic Derangements in Adult Women with Obesity. Clin. Nutr. 2019, 38, 2430–2435. [Google Scholar] [CrossRef]
- Sachs, S.; Zarini, S.; Kahn, D.E.; Harrison, K.A.; Perreault, L.; Phang, T.; Newsom, S.A.; Strauss, A.; Kerege, A.; Schoen, J.A.; et al. Intermuscular Adipose Tissue Directly Modulates Skeletal Muscle Insulin Sensitivity in Humans. Am. J. Physiol. Endocrinol. Metab. 2019, 316, 866–879. [Google Scholar] [CrossRef]
- Soysal, P.; Isik, A.T.; Carvalho, A.F.; Fernandes, B.S.; Solmi, M.; Schofield, P.; Veronese, N.; Stubbs, B. Oxidative Stress and Frailty: A Systematic Review and Synthesis of the Best Evidence. Maturitas 2017, 99, 66–72. [Google Scholar] [CrossRef]
- Chen, S.Y.; Wang, T.Y.; Zhao, C.; Wang, H.J. Oxidative Stress Bridges the Gut Microbiota and the Occurrence of Frailty Syndrome. World J. Gastroenterol. 2022, 28, 5547–5556. [Google Scholar] [CrossRef]
- Zou, H.; Wang, D.; Ren, H.; Cai, K.; Chen, P.; Fang, C.; Shi, Z.; Zhang, P.; Wang, J.; Yang, H.; et al. Effect of Caloric Restriction on BMI, Gut Microbiota, and Blood Amino Acid Levels in Non-Obese Adults. Nutrients 2020, 12, 631. [Google Scholar] [CrossRef] [PubMed]
- Thomas, D.K.; Quinn, M.A.; Saunders, D.H.; Greig, C.A. Protein Supplementation Does Not Significantly Augment the Effects of Resistance Exercise Training in Older Adults: A Systematic Review. J. Am. Med. Dir. Assoc. 2016, 17, 959.e1–959.e9. [Google Scholar] [CrossRef] [PubMed]
- Cesari, M.; Fielding, R.; Bénichou, O.; Bernabei, R.; Bhasin, S.; Guralnik, J.M.; Jette, A.; Landi, F.; Pahor, M.; Rodriguez-Manas, L.; et al. Pharmacological interventions in frailty and sarcopenia: Report by the international conference on frailty and sarcopenia research task force. J. Frailty Aging 2015, 4, 114–120. [Google Scholar] [CrossRef]
- Cruz-Jentoft, A.J.; Landi, F.; Schneider, S.M.; Zúñiga, C.; Arai, H.; Boirie, Y.; Chen, L.K.; Fielding, R.A.; Martin, F.C.; Michel, J.; et al. Prevalence of and Interventions for Sarcopenia in Ageing Adults: A Systematic Review. Report of the International Sarcopenia Initiative (EWGSOP and IWGS). Age Ageing 2014, 43, 48–759. [Google Scholar] [CrossRef] [PubMed]
- De Filippis, F.; Pellegrini, N.; Vannini, L.; Jeffery, I.B.; La Storia, A.; Laghi, L.; Serrazanetti, D.I.; Di Cagno, R.; Ferrocino, I.; Lazzi, C.; et al. High-Level Adherence to a Mediterranean Diet Beneficially Impacts the Gut Microbiota and Associated Metabolome. Gut 2016, 65, 1812–1821. [Google Scholar] [CrossRef]
- Takagi, T.; Inoue, R.; Oshima, A.; Sakazume, H.; Ogawa, K.; Tominaga, T.; Mihara, Y.; Sugaya, T.; Mizushima, K.; Uchiyama, K.; et al. Typing of the Gut Microbiota Community in Japanese Subjects. Microorganisms 2022, 10, 664. [Google Scholar] [CrossRef]
- Vandeputte, D.; Kathagen, G.; D’Hoe, K.; Vieira-Silva, S.; Valles-Colomer, M.; Sabino, J.; Wang, J.; Tito, R.Y.; De Commer, L.; Darzi, Y.; et al. Quantitative Microbiome Profiling Links Gut Community Variation to Microbial Load. Nature 2017, 551, 507–511. [Google Scholar] [CrossRef]
- Bresser, L.R.F.; de Goffau, M.C.; Levin, E.; Nieuwdorp, M. Gut Microbiota in Nutrition and Health with a Special Focus on Specific Bacterial Clusters. Cells 2022, 11, 3091. [Google Scholar] [CrossRef]
- Alili, R.; Belda, E.; Fabre, O.; Pelloux, V.; Giordano, N.; Legrand, R.; Lassen, P.B.; Swartz, T.D.; Zucker, J.D.; Clément, K. Characterization of the Gut Microbiota in Individuals with Overweight or Obesity during a Real-World Weight Loss Dietary Program: A Focus on the Bacteroides 2 Enterotype. Biomedicines 2022, 10, 16. [Google Scholar] [CrossRef] [PubMed]
- Wang, J.; Li, W.; Wang, C.; Wang, L.; He, T.; Hu, H.; Song, J.; Cui, C.; Qiao, J.; Qing, L.; et al. Enterotype Bacteroides Is Associated with a High Risk in Patients with Diabetes: A Pilot Study. J. Diabetes Res. 2020, 2020, 6047145. [Google Scholar] [CrossRef] [PubMed]
- Jang, H.H.; Noh, H.; Kim, G.; Cho, S.Y.; Kim, H.J.; Choe, J.S.; Kim, J.; Scalbert, A.; Gunter, M.J.; Kwon, O.; et al. Differences in Dietary Patterns Related to Metabolic Health by Gut Microbial Enterotypes of Korean Adults. Front. Nutr. 2023, 9, 1045397. [Google Scholar] [CrossRef]
- Kim, Y.S.; Unno, T.; Kim, B.Y.; Park, M.S. Sex Differences in Gut Microbiota. World J. Men’s Health 2020, 38, 48–60. [Google Scholar] [CrossRef]
- Rosas-Plaza, S.; Hernández-Terán, A.; Navarro-Díaz, M.; Escalante, A.E.; Morales-Espinosa, R.; Cerritos, R. Human Gut Microbiome Across Different Lifestyles: From Hunter-Gatherers to Urban Populations. Front. Microbiol. 2022, 13, 843170. [Google Scholar] [CrossRef]
- Boulund, U.; Bastos, D.M.; Ferwerda, B.; van den Born, B.J.; Pinto-Sietsma, S.J.; Galenkamp, H.; Levin, E.; Groen, A.K.; Zwinderman, A.H.; Nieuwdorp, M. Gut Microbiome Associations with Host Genotype Vary across Ethnicities and Potentially Influence Cardiometabolic Traits. Cell Host Microbe 2022, 30, 1464–1480.e6. [Google Scholar] [CrossRef]
- Stronks, K.; Snijder, M.B.; Peters, R.J.; Prins, M.; Schene, A.H.; Zwinderman, A.H. Unravelling the Impact of Ethnicity on Health in Europe: The HELIUS Study. BMC Public Health 2013, 13, 402. [Google Scholar] [CrossRef]
- Nguyen, L.H.; Örtqvist, A.K.; Cao, Y.; Simon, T.G.; Roelstraete, B.; Song, M.; Joshi, A.D.; Staller, K.; Chan, A.T.; Khalili, H.; et al. Antibiotic Use and the Development of Inflammatory Bowel Disease: A National Case-Control Study in Sweden. Lancet Gastroenterol. Hepatol. 2020, 5, 986–995. [Google Scholar] [CrossRef]
- Tsuji, H.; Matsuda, K.; Nomoto, K. Counting the Countless: Bacterial Quantification by Targeting RRNA Molecules to Explore the Human Gut Microbiota in Health and Disease. Front. Microbiol. 2018, 9, 1417. [Google Scholar] [CrossRef]
- Lim, M.Y.; Rho, M.; Song, Y.M.; Lee, K.; Sung, J.; Ko, G. Stability of Gut Enterotypes in Korean Monozygotic Twins and Their Association with Biomarkers and Diet. Sci. Rep. 2014, 4, 7348. [Google Scholar] [CrossRef]
- Watanabe, S.; Yoshida, N.; Baba, K.; Yamasaki, H.; Shinozaki, N.O.; Ogawa, M.; Yamashita, T.; Takeda, A.K. Gut microbial stability in older Japanese populations: Insights from the Mykinso cohort. Bioscience of Microbiota. Food Health 2024, 43, 64–72. [Google Scholar] [CrossRef]





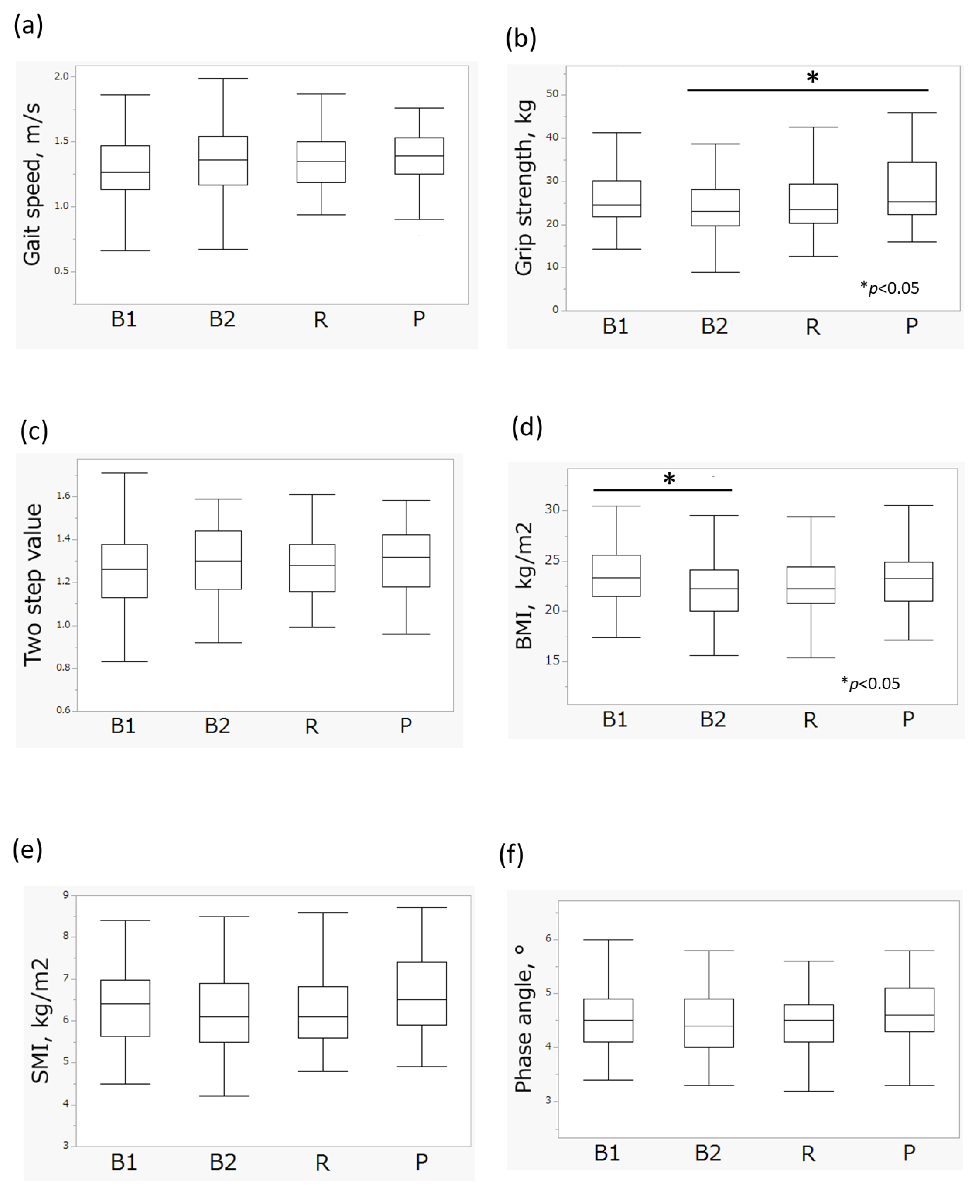
| Characteristics | Total | Enterotype | ||||
|---|---|---|---|---|---|---|
| B1 | B2 | R | P | p-Value | ||
| Total, n (%) | 322(100) | 79 (24.5) | 82 (25.5) | 110 (34.2) | 51 (15.8) | |
| Male, n (%) | 96 (29.8) | 23 (24.0) | 21 (21.9) | 31 (32.3) | 21 (21.9) | 0.26 a |
| Female, n (%) | 226(70.2) | 56 (24.8) | 61 (27.0) | 79 (35.0) | 30 (13.3) | |
| Age | 76.1 ± 5.5 | 76.1 ± 5.5 | 74.9 ± 4.8 | 76.1 ± 5.5 | 75.7 ± 5.6 | 0.54 b |
| J-CHS, n (%) | ||||||
| Robust | 199 (61.8) | 50 (63.3) | 46 (56.1) | 71 (64.6) | 32 (62.8) | 0.67 c |
| Pre-frailty | 117 (36.3) | 26 (32.9) | 35 (42.7) | 38 (34.6) | 18 (35.3) | |
| Frailty | 6 (1.9) | 3 (3.8) | 1 (1.2) | 1 (0.9) | 1 (2.0) | |
| Sarcopenia, n (%) | ||||||
| Robust | 285 (88.5) | 74 (93.7) | 65 (79.3) | 98 (89.1) | 48 (94.1) | 0.014 a |
| Sarcopenia | 32 (9.9) | 3 (3.8) | 15 (18.3) | 12 (10.9) | 2 (4.0) | |
| Severe sarcopenia | 5 (1.6) | 2 (2.5) | 2 (2.4) | 0 (0) | 1 (2.0) | |
| KCL, n (%) | ||||||
| Robust | 164 (50.9) | 38 (48.1) | 41 (50.0) | 58 (52.7) | 27 (52.9) | 0.61 a |
| Pre-frailty | 124 (38.5) | 28 (35.4) | 35 (42.7) | 42 (38.2) | 19 (37.3) | |
| Frailty | 34 (10.6) | 13 (16.6) | 6 (7.3) | 10 (9.1) | 5 (9.8) | |
| Physical activity | ||||||
| Gait speed(m/s) | 1.34 ± 0.24 | 1.28 ± 0.28 | 1.34 ± 0.27 | 1.36 ± 0.20 | 1.37 ± 0.22 | 0.25 d |
| Two-step value | 1.28 ± 0.15 | 1.26 ± 0.17 | 1.29 ± 0.17 | 1.28 ± 0.13 | 1.31 ± 0.14 | 0.27 b |
| Grip strength (kg) | 25.9 ± 7.19 | 26.5 ± 7.14 | 24.6 ± 6.87 | 25.4 ± 7.07 | 28.1 ± 7.63 | 0.034 b |
| Body composition | ||||||
| BMI (kg/m2) | 22.9 ± 3.03 | 23.5 ± 2.88 | 22.4 ± 3.22 | 22.7 ± 3.01 | 23.2 ± 2.87 | 0.024 b |
| SMI (kg/m2) | 6.33 ± 0.92 | 6.40 ± 0.88 | 6.20 ± 0.94 | 6.24 ± 0.88 | 6.62 ± 0.95 | 0.040 b |
| Phase angle (°) | 4.51 ± 0.59 | 4.55 ± 0.60 | 4.46 ± 0.57 | 4.45 ± 0.60 | 4.66 ± 0.55 | 0.13 b |
Disclaimer/Publisher’s Note: The statements, opinions and data contained in all publications are solely those of the individual author(s) and contributor(s) and not of MDPI and/or the editor(s). MDPI and/or the editor(s) disclaim responsibility for any injury to people or property resulting from any ideas, methods, instructions or products referred to in the content. |
© 2025 by the authors. Licensee MDPI, Basel, Switzerland. This article is an open access article distributed under the terms and conditions of the Creative Commons Attribution (CC BY) license (https://creativecommons.org/licenses/by/4.0/).
Share and Cite
Hotta, S.; Matsunaga, M.; Miyake, A.; Takeda, A.K.; Watanabe, S.; Hosen, N.; Hagihara, K. Gut Microbiota Enterotype as a Predictor of Sarcopenia in the Japanese Elderly Population. Nutrients 2025, 17, 3250. https://doi.org/10.3390/nu17203250
Hotta S, Matsunaga M, Miyake A, Takeda AK, Watanabe S, Hosen N, Hagihara K. Gut Microbiota Enterotype as a Predictor of Sarcopenia in the Japanese Elderly Population. Nutrients. 2025; 17(20):3250. https://doi.org/10.3390/nu17203250
Chicago/Turabian StyleHotta, Sayaka, Michiko Matsunaga, Akimitsu Miyake, Aya K. Takeda, Satoshi Watanabe, Naoki Hosen, and Keisuke Hagihara. 2025. "Gut Microbiota Enterotype as a Predictor of Sarcopenia in the Japanese Elderly Population" Nutrients 17, no. 20: 3250. https://doi.org/10.3390/nu17203250
APA StyleHotta, S., Matsunaga, M., Miyake, A., Takeda, A. K., Watanabe, S., Hosen, N., & Hagihara, K. (2025). Gut Microbiota Enterotype as a Predictor of Sarcopenia in the Japanese Elderly Population. Nutrients, 17(20), 3250. https://doi.org/10.3390/nu17203250

