Due to scheduled maintenance work on our servers, there may be short service disruptions on this website between 11:00 and 12:00 CEST on March 28th.
Sign in to use this feature.

Years

Between: -

Subjects

remove_circle_outline
remove_circle_outline
remove_circle_outline
remove_circle_outline
remove_circle_outline
remove_circle_outline
remove_circle_outline
remove_circle_outline
remove_circle_outline

Journals

remove_circle_outline
remove_circle_outline
remove_circle_outline
remove_circle_outline

Article Types

Countries / Regions

Search Results (183)

Search Parameters:
Keywords = Digital Twin reference model

Order results
Result details
Results per page
Select all
Export citation of selected articles as:
35 pages, 4226 KB  
Article
Semantic Agent-Based Intelligent Digital Twins Integrating Demand, Production and Product Through Asset Administration Shells
by Joel Lehmann, Tim Markus Häußermann and Julian Reichwald
Big Data Cogn. Comput. 2026, 10(4), 103; https://doi.org/10.3390/bdcc10040103 (registering DOI) - 26 Mar 2026
Abstract
Complex products and production processes are intertwined and demand expressive, lifecycle-wide digital representations. The Asset Administration Shell emerged as a standard for Digital Twins (DTs), structuring heterogeneous data across cloud-based Industrial Internet of Things (IIoT) infrastructures. However, today’s deployments predominantly realize passive or [...] Read more.
Complex products and production processes are intertwined and demand expressive, lifecycle-wide digital representations. The Asset Administration Shell emerged as a standard for Digital Twins (DTs), structuring heterogeneous data across cloud-based Industrial Internet of Things (IIoT) infrastructures. However, today’s deployments predominantly realize passive or reactive DTs, while intelligent behavior remains underexploited. This paper addresses this gap, proposing an end-to-end architecture operationalizing the DT Reference Model through the integration of machine-interpretable granulated industrial skills, which are semantically accumulated into a knowledge graph enabling discovery and reasoning, while a multi-agent system provides autonomous, utility-based negotiation via machine-to-machine interactions within a federated marketplace. The approach is applied in a real smart manufacturing demonstrator, combining order processes, production orchestration, and lifecycle documentation into a unified execution pipeline spanning IIoT-connected shopfloor assets and cloud-based services. Quantitative experiments evaluating negotiation latency, renegotiation robustness, and utility variation demonstrate stable, predictable behavior even under concurrent demand and failure scenarios. The architecture lays a foundation for interoperable, sovereign collaboration across value chains to realize shared production. The results underline the effectiveness of the tightly coupled enabler technologies realizing proactive, reconfigurable, and semantically enriched intelligent DTs. Full article
18 pages, 4964 KB  
Article
A Non-Invasive Simplified Model for Estimating Lower Limb Muscle Forces During Slow Gait in Older Adults and Post-Stroke Individuals
by Kun Liu, Hongxiang Guo, Jiaying Liu and Jialun He
Biomimetics 2026, 11(4), 226; https://doi.org/10.3390/biomimetics11040226 - 26 Mar 2026
Abstract
This study proposes a non-invasive, simplified muscle force estimation model (NSMFEM) designed for elderly individuals and stroke patients under slow walking conditions. The model estimates lower limb muscle forces dynamically using only kinematic parameters—with real-time muscle fiber length as the key variable—thus avoiding [...] Read more.
This study proposes a non-invasive, simplified muscle force estimation model (NSMFEM) designed for elderly individuals and stroke patients under slow walking conditions. The model estimates lower limb muscle forces dynamically using only kinematic parameters—with real-time muscle fiber length as the key variable—thus avoiding the limitations of traditional surface electromyography (sEMG)-based approaches such as environmental interference, signal noise, and difficulty in obtaining deep muscle sEMG. A personalized Digital Twin Musculoskeletal Model (DTMSM) was constructed by scaling a reference kinematic model and calibrating muscle origin/insertion markers based on individual anthropometry. Muscle architecture indices were derived from a multiple regression model with publicly available anatomical data. Twelve elderly subjects (eight healthy ESND and four post-stroke ESP) were evaluated at varying walking speeds. Results at slow speeds (X-slow and slow) show strong Pearson correlations between NSMFEM predictions and reference data for the majority of nine representative lower limb muscles (e.g., TFL, Iliacus, Pectineus, Tib_Ant, Soleus); passive forces of TFL, Iliacus, and Vas_Int also correlate strongly. As speed rises, correlations for some muscles (e.g., Vas_Int, Tib_Post) decline, reflecting the growing influence of segmental acceleration and muscle activation—factors omitted in the model. For stroke patient gait (ESP), Spearman analysis indicates maintained strong correlations for affected side muscles Glut_Max1, TFL, Pectineus, and Soleus, supporting the model’s utility in stroke rehabilitation assessment. Overall, NSMFEM offers a practical, sEMG free method for non-invasive dynamic muscle force estimation in slow walking elderly and post-stroke populations, aiding functional assessment and personalized rehabilitation planning. Future efforts will aim to incorporate muscle activation corrections to extend the model to faster walking speeds. Full article
(This article belongs to the Section Development of Biomimetic Methodology)
Show Figures

Figure 1

25 pages, 6266 KB  
Article
A Solution for Heritage Monitoring Based on Wireless Low-Cost Sensors and BIM: Application to the Monserrate Palace
by Rita Machete, Fábio M. Dias, Diogo M. Caetano, Ana Paula Falcão, Maria da Glória Gomes and Rita Bento
Sensors 2026, 26(7), 2015; https://doi.org/10.3390/s26072015 - 24 Mar 2026
Viewed by 50
Abstract
Conservation and management of built cultural heritage require multidisciplinary approaches and reliable information to support decision-making. In this context, digital transformation strategies that combine Building Information Modeling (BIM) with monitoring technologies offer significant potential to improve heritage management. This paper presents a monitoring [...] Read more.
Conservation and management of built cultural heritage require multidisciplinary approaches and reliable information to support decision-making. In this context, digital transformation strategies that combine Building Information Modeling (BIM) with monitoring technologies offer significant potential to improve heritage management. This paper presents a monitoring solution based on a wireless network of low-cost Internet of Things (IoT) sensors integrated within a Heritage Building Information Model (HBIM), applied to Monserrate Palace in Sintra, Portugal. The proposed approach covers all implementation stages, including HBIM development from as-built data collection, deployment of a wireless monitoring network for acceleration and environmental parameters, and integration of monitoring data into a BIM-based platform. The system aims to create a Digital Shadow of the building as a step towards a Digital Twin framework, enabling centralized visualization and management of structural and environmental information through the HBIM model and dedicated dashboards. Given the lower accuracy of low-cost sensors, in situ calibration with reference equipment was conducted to validate the recorded data. Implementing monitoring systems in heritage contexts presents challenges, such as limited historical documentation and the need for minimally invasive interventions. Despite these constraints, the proposed solution demonstrates the advantages of integrating monitoring data within HBIM, enabling centralized data management and improved understanding of building performance and conservation needs. Full article
Show Figures

Figure 1

28 pages, 1905 KB  
Article
Twin Transition and Women’s Empowerment in the EU: Is There a Synergy Effect?
by Fatma Unlu and Emrah Kocak
Sustainability 2026, 18(6), 3152; https://doi.org/10.3390/su18063152 - 23 Mar 2026
Viewed by 121
Abstract
This study examines the effects of the digital economy, the circular economy and their integration, referred to as the twin transition, on women’s human capital, employment, and participation in decision-making in EU-27 countries over the period 2012–2020, using a fixed effects model, the [...] Read more.
This study examines the effects of the digital economy, the circular economy and their integration, referred to as the twin transition, on women’s human capital, employment, and participation in decision-making in EU-27 countries over the period 2012–2020, using a fixed effects model, the generalized method of moments, and panel quantile regressions. The findings indicate that the digital economy significantly enhances women’s human capital, particularly in the lower and middle quantiles, while the circular economy shows limited effects across quantiles and is mainly significant in the dynamic generalized method of moments specification. The twin transition produces the strongest and most consistent improvements in human capital, benefiting countries with initially lower levels the most. Regarding employment, both digital and circular economies have generally positive effects on women, whereas the twin transition demonstrates strong, stable, and significant impacts across almost all quantiles, highlighting the synergy of combining both transformations. In terms of decision-making participation, the individual effects of the digital and circular economies are weaker and less consistent, with notable positive impacts mostly in mid- to upper quantiles and in higher-performing countries. The twin transition, however, shows clear positive and statistically significant effects in the mid- to upper quantiles. Digitalization and circular economy efforts each help women’s employment and skills, but together as a twin transition they have a stronger, more inclusive impact on women’s human capital, labor outcomes, and leadership participation. These findings highlight that policy strategies supporting the twin transition should consider different levels of women’s empowerment across countries. In contexts with lower empowerment levels, policies that expand women’s access to education and digital skills can strengthen human capital accumulation. At middle and higher levels, promoting women’s participation in green and digital sectors and supporting inclusive leadership opportunities may further enhance employment and decision-making participation. Full article
Show Figures

Figure 1

28 pages, 6672 KB  
Article
Advanced Machine Learning Approach for Fast Temperature Estimation in SiC-Based Power Electronics Converters
by Kalle Bundgaard Troldborg, Sigurd Illum Skov, Arman Fathollahi and Jørgen Houe Pedersen
Electronics 2026, 15(6), 1325; https://doi.org/10.3390/electronics15061325 - 22 Mar 2026
Viewed by 176
Abstract
Accurate and fast junction-temperature estimation in Silicon Carbide (SiC) power modules is crucial for reliable operation, health monitoring and predictive control of power electronic converters in different applications. However, direct temperature measurement inside the module is difficult and high-fidelity thermal models are often [...] Read more.
Accurate and fast junction-temperature estimation in Silicon Carbide (SiC) power modules is crucial for reliable operation, health monitoring and predictive control of power electronic converters in different applications. However, direct temperature measurement inside the module is difficult and high-fidelity thermal models are often very computationally expensive for real-time implementation. This paper proposes a digital twin development approach for fast and accurate temperature estimation in all three dimensions of a SiC MOSFET power module by a combination of finite element method (FEM) modelling and neural networks. The work is especially relevant in thermal monitoring and managing power electronics converters such as renewable energy systems, energy storage systems, Electric Vehicles (EV), etc. The model incorporates a neural network trained on data generated from an FEM model built in COMSOL Multiphysics. The developed digital twin can estimate the temperature distribution, including the ten junction temperatures of the Wolfspeed EAB450M12XM3 module, with an average estimation time of 0.063 s, enabling predictive control. In order to improve practical applicability and model synchronization with the physical system, NTC-based feedback techniques are discussed (single-Temperature Coefficient (NTC) and double-NTC approaches). The proposed framework is investigated in terms of prediction accuracy and computational performance related to the FEM-generated reference data. The approach improves model reliability by adjusting the parameters of the critical digital and physical modules. The combination of FEM-based modelling and machine learning can provide a foundation for accurate, real-time thermal monitoring in power electronic modules. Full article
Show Figures

Figure 1

28 pages, 14645 KB  
Article
HeritageTwin Lite: A GIS-Driven 2D-to-3D Workflow for Digital Twins of Protected Cultural Heritage Building
by Asimina Dimara, Myrto Stogia, Christoforos Papaioannou, Alexios Papaioannou, Stelios Krinidis and Christos-Nikolaos Anagnostopoulos
Heritage 2026, 9(3), 121; https://doi.org/10.3390/heritage9030121 - 20 Mar 2026
Viewed by 155
Abstract
Digital Twins for cultural heritage buildings commonly depend on high-fidelity 3D scanning, detailed onsite surveys, and unrestricted data acquisition. In many countries, however, legal, regulatory, and conservation constraints render such methods inaccessible or explicitly prohibited, significantly limiting the deployment of digital-heritage technologies in [...] Read more.
Digital Twins for cultural heritage buildings commonly depend on high-fidelity 3D scanning, detailed onsite surveys, and unrestricted data acquisition. In many countries, however, legal, regulatory, and conservation constraints render such methods inaccessible or explicitly prohibited, significantly limiting the deployment of digital-heritage technologies in real settings. This paper introduces HeritageTwin Lite, a regulation-compliant workflow for constructing low-detail yet operational Digital Twins of protected cultural heritage buildings using only publicly permissible data sources. The proposed approach relies on a GIS-based 2D application through which users select a site and manually delineate building footprints and structural outlines. These 2D sketches are combined with satellite imagery, publicly available photographs, archival records, and open datasets to generate a massing-level 3D model. Building height and volumetric characteristics are estimated using contextual cues such as surrounding structures, known architectural typologies, and scale references derived from people or urban elements. The resulting Digital Twin prioritizes geometric plausibility over fine architectural detail, enabling simulation, analysis, and decision-support tasks, such as environmental modeling, airflow and CFD approximation, and high-level Heritage BIM integration, while fully respecting cultural heritage restrictions. Three case studies illustrate the proposed workflow and systematically identify which components of conventional smart-building and Digital Twin pipelines remain feasible and which become infeasible under heritage regulations. The results demonstrate a practical and scalable path toward compliant Digital Twins for protected buildings, positioning low-detail modeling not as a limitation but as a regulatory necessity. Full article
(This article belongs to the Section Cultural Heritage)
Show Figures

Figure 1

24 pages, 1929 KB  
Article
Enhancing Innovation and Resilience in Entrepreneurial Ecosystems Using Digital Twins and Fuzzy Optimization
by Zornitsa Yordanova and Hamed Nozari
Digital 2026, 6(1), 25; https://doi.org/10.3390/digital6010025 - 19 Mar 2026
Viewed by 168
Abstract
Entrepreneurial ecosystems are multi-actor, uncertain, and dynamic environments in which policymakers and investors must balance innovation, resilience, and cost. Despite the growing literature on entrepreneurial ecosystems, much of the existing research has focused on identifying the components and relationships among actors and has [...] Read more.
Entrepreneurial ecosystems are multi-actor, uncertain, and dynamic environments in which policymakers and investors must balance innovation, resilience, and cost. Despite the growing literature on entrepreneurial ecosystems, much of the existing research has focused on identifying the components and relationships among actors and has provided less prescriptive frameworks for evaluating resource allocation policies before implementation. To address this gap, this study presents a digital twin-based and fuzzy multiobjective optimization framework for resource orchestration in entrepreneurial ecosystems. The proposed framework combines dynamic ecosystem representation with multiobjective decision-making under uncertainty and allows for the testing of different resource allocation and policy scenarios before actual intervention. To solve the model, exact optimization in GAMS was used for small- and medium-sized samples, and NSGA-II and ACO algorithms were used for large-scale problems. The advantage of the proposed method is that, unlike purely descriptive approaches or deterministic models, it simultaneously considers uncertainty, time dynamics, and trade-offs between innovation, resilience, and cost in an integrated decision-making framework. Experimental evaluation was conducted based on simulated data calibrated with reliable public sources, and the performance of the algorithms was compared with reference methods in terms of computational time, solution quality, and stability. The results showed that metaheuristics, especially NSGA-II, significantly reduced the solution time in large-scale problems and at the same time produced solutions closer to the Pareto frontier and with greater stability. Sensitivity analysis also showed that in the designed scenarios, policy budgets have a more prominent effect on innovation, while resource capacity and structural diversification play a more important role in enhancing resilience. Also, improving resource efficiency has had the greatest effect on reducing the total system cost. From a theoretical perspective, the present study operationally models the logic of resource orchestration in entrepreneurial ecosystems through the integration of digital twins and fuzzy multi-objective optimization. From a managerial perspective, this framework acts as a decision-making engine that allows for ex ante testing of policies, clarification of trade-offs, and extraction of resource allocation rules under uncertainty. Full article
Show Figures

Figure 1

43 pages, 2831 KB  
Review
Infostructure: A Scoping Review and Reference Architectural Framework for Situation Awareness in Future Power System Control Rooms
by Bo Nørregaard Jørgensen and Zheng Grace Ma
Energies 2026, 19(6), 1472; https://doi.org/10.3390/en19061472 - 15 Mar 2026
Viewed by 270
Abstract
Power system control rooms are undergoing a profound transformation as renewable integration, distributed energy resources, sector coupling, and increasing operational uncertainty reshape the technical, organisational, and cognitive demands of grid operation. At the same time, Digital Twins and Agentic Artificial Intelligence offer new [...] Read more.
Power system control rooms are undergoing a profound transformation as renewable integration, distributed energy resources, sector coupling, and increasing operational uncertainty reshape the technical, organisational, and cognitive demands of grid operation. At the same time, Digital Twins and Agentic Artificial Intelligence offer new possibilities for monitoring, forecasting, reasoning, and decision support. However, existing control room architectures remain fragmented and insufficiently structured to support the coherent integration of digital models, intelligent reasoning systems, human operators, and regulatory accountability mechanisms in safety-critical power system environments. This article addresses that gap through a PRISMA ScR-informed scoping review combined with a structured architectural synthesis process. The study develops Infostructure as a reference architectural framework for situation awareness in future power system control rooms. The framework is derived from a synthesis of operational challenges, regulatory constraints, and human AI collaboration requirements identified across the scientific and regulatory literature. Infostructure formalises four interrelated architectural layers, Physical, Semantic, Orchestration, and Cognitive, constrained by cross cutting governance and compliance principles. The architectural coverage and internal coherence of the framework are illustrated through representative transmission and distribution system use cases, including wide area disturbance anticipation, distribution level congestion management, and cross organisational coordination during extreme events. A structured research and validation agenda is further outlined to support empirical evaluation and phased implementation. By transforming review-based synthesis into a coherent architectural formalisation, Infostructure contributes a rigorous foundation for the evolution of transparent, accountable, and resilient power system control rooms. Full article
Show Figures

Figure 1

21 pages, 7166 KB  
Article
Geometric Reliability of AI-Enhanced Super-Resolution in Video-Based 3D Spatial Modeling
by Marwa Mohammed Bori, Zahraa Ezzulddin Hussein, Zainab N. Jasim and Bashar Alsadik
ISPRS Int. J. Geo-Inf. 2026, 15(3), 125; https://doi.org/10.3390/ijgi15030125 - 13 Mar 2026
Viewed by 269
Abstract
Video-based photogrammetric reconstruction is increasingly used when high-resolution still images are unavailable. However, limited spatial resolution, compression artifacts, and motion blur often reduce geometric accuracy. Recent advances in learning-based image super-resolution (SR) offer a promising preprocessing method, but their geometric reliability within photogrammetric [...] Read more.
Video-based photogrammetric reconstruction is increasingly used when high-resolution still images are unavailable. However, limited spatial resolution, compression artifacts, and motion blur often reduce geometric accuracy. Recent advances in learning-based image super-resolution (SR) offer a promising preprocessing method, but their geometric reliability within photogrammetric workflows remains not well understood. This study provides a controlled quantitative evaluation of learning-based super-resolution for video-based 3D reconstruction. Low-resolution video frames are enhanced using two representative methods: an open-source real-world SR model (Real-ESRGAN ×4) and a commercial solution (Topaz Video AI ×4). All datasets are processed with the same Structure-from-Motion and Multi-View Stereo pipelines and tested against terrestrial laser scanning (TLS) reference data. Results show that super-resolution significantly increases reconstruction density and improves the recovery of fine-scale surface details, while also leading to greater local surface variability compared with reconstructions from the original video; photogrammetric stability remains consistent despite these changes. The findings highlight a fundamental trade-off between reconstruction completeness and local geometric accuracy and clarify when enhanced video imagery via super-resolution can be a reliable source for 3D reconstruction. These results are especially important for spatial data science workflows and AI-powered 3D modeling and digital twin applications. Full article
(This article belongs to the Special Issue Urban Digital Twins Empowered by AI and Dataspaces)
Show Figures

Figure 1

14 pages, 2814 KB  
Article
Numerical Study on the Staged SCR Catalyst for Marine Exhaust After-Treatment
by Kyungbin Park, Hyeonseok Im, Gyu Ryeol Baek and Mino Woo
ChemEngineering 2026, 10(3), 39; https://doi.org/10.3390/chemengineering10030039 - 9 Mar 2026
Viewed by 231
Abstract
This study numerically investigates the NO removal performance of a staged catalyst substrate employed in an industrial marine after-treatment system. The computational domain is based on the lab-scale experimental device used for measuring pressure drop, serving as a digital twin to accurately reproduce [...] Read more.
This study numerically investigates the NO removal performance of a staged catalyst substrate employed in an industrial marine after-treatment system. The computational domain is based on the lab-scale experimental device used for measuring pressure drop, serving as a digital twin to accurately reproduce the staged catalyst configuration prior to its application in full-scale industrial reactors. Experiments were conducted to estimate the parameters for a porous model, employed for efficient computation of flow and reactive mass transfer inside the catalyst substrate without needing a complex computational mesh of the monolith structure. A reaction mechanism from the literature was modified and verified for marine SCR reactors. The three-dimensional numerical simulations in this study indicate that the NO removal in the staged catalyst substrate varies depending on the catalyst configuration, primarily due to differences in the upstream flow uniformity. This study demonstrates that relocating a single catalyst substrate to the downstream position improved conversion by 6.5 percentage points, while a two-stage catalyst configuration yielded a 15.5 percentage-point increase under identical exhaust conditions. In addition, the residence time exhibited significant variations depending on the catalyst arrangement and inlet velocity, highlighting it as a critical parameter governing NO reduction performance. The findings in the present study can serve as a reference for future analyses conducted under practical conditions in industrial-scale marine SCR systems. Full article
Show Figures

Figure 1

20 pages, 3325 KB  
Review
Intelligent Monitoring and Early Warning Diagnosis Technology for Ethylene Cracking Furnace Tubes: A Review of Current Status and Future Prospects
by Jia-Kuan Ren, Xiu-Qing Xu, Zhi-Hong Li, Peng Wang, Guang-Li Zhang, Li-Juan Zhu, Zhen-Quan Bai and Fang-Wei Luo
Processes 2026, 14(5), 811; https://doi.org/10.3390/pr14050811 - 2 Mar 2026
Viewed by 281
Abstract
As the “flagship” unit of the petrochemical industry, the operational status of ethylene cracking furnaces directly impacts the stability and efficiency of the entire production chain. During long-term operation under extreme temperatures and complex reaction environments, cracking furnace tubes face core bottlenecks primarily [...] Read more.
As the “flagship” unit of the petrochemical industry, the operational status of ethylene cracking furnaces directly impacts the stability and efficiency of the entire production chain. During long-term operation under extreme temperatures and complex reaction environments, cracking furnace tubes face core bottlenecks primarily related to thermal and coking effects, such as coke deposition, tube metal overheating, and associated creep damage, which restrict the long-term, safe, and efficient operation of the unit. This paper systematically reviews the key technologies for condition monitoring of cracking furnace tubes, providing an in-depth analysis of various monitoring methods—from traditional infrared thermometry and acoustic emission to emerging optical fiber sensing—covering their working principles, application status, and inherent limitations. Furthermore, it elaborates on the evolution from mechanism-based “white-box” models to data-driven “black-box” models, and further to “gray-box” intelligent diagnostic models that integrate expert knowledge. Industrial application cases of integrated monitoring and diagnostic systems are also introduced. Finally, the paper critically addresses the current severe challenges in data fusion, model generalization, real-time performance, and cost-effectiveness, while outlining future development trends toward digital twins, cross-modal fusion, edge intelligence, and self-evolving systems. The aim is to provide valuable references for technological innovation and engineering applications in this field. Full article
Show Figures

Figure 1

18 pages, 8322 KB  
Article
Validation of a Single-Image Inverse Rendering Setup for Optical Property Estimation in Turbid Materials
by Philipp Nguyen, David Hevisov, Markus Wagner, Joachim Jelken, Florian Foschum and Alwin Kienle
Photonics 2026, 13(3), 242; https://doi.org/10.3390/photonics13030242 - 28 Feb 2026
Viewed by 243
Abstract
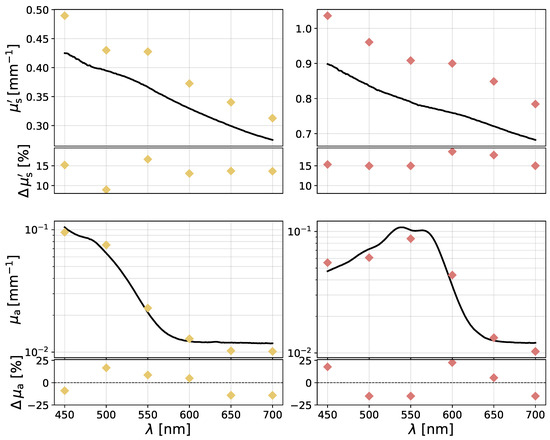
This work presents an experimental validation of a physics-based inverse rendering method for determining the reduced scattering and absorption coefficients of turbid materials in arbitrary shape from a single image per wavelength. Based on our previously published theoretical inverse rendering framework, we constructed [...] Read more.
This work presents an experimental validation of a physics-based inverse rendering method for determining the reduced scattering and absorption coefficients of turbid materials in arbitrary shape from a single image per wavelength. Based on our previously published theoretical inverse rendering framework, we constructed and experimentally characterised a wavelength-selective measurement setup to realise and validate the method under real acquisition conditions. By accurately modelling the spectral behaviour and angle-dependent transmission of the employed bandpass filters, we ensured a close correspondence between captured and simulated reflectance. The method was evaluated on three silicone materials, beginning with simple cube geometries and later extending to a complex Einstein bust. Relative to integrating-sphere reference data, the recovered optical properties exhibit maximum absolute errors of approximately 4–10% for reduced scattering and 5–10% for absorption for the cubes, and 16–19% and 16–22%, respectively, for the bust. Forward renderings based on the recovered coefficients achieve CIE ΔE2000 values below 1 for the cube and below 2 for the complex geometry when compared with photographs. Additionally, we demonstrated that the approach can be applied using a common commercially available RGB camera, recovering optical parameters from each RGB channel, albeit with increased errors due to the camera’s broad spectral channels. Overall, our method enables the recovery of optical properties and the creation of accurate digital twins for objects of arbitrary shape using comparatively simple hardware, including common commercially available RGB cameras. This broadens its applicability to practical scenarios such as process monitoring and digital twinning when appearance, rather than precise material parameters, is the primary focus. Full article
(This article belongs to the Special Issue Computational Optical Imaging: Progress and Future Prospects)
Show Figures

Figure 1

44 pages, 4964 KB  
Review
Digital Twin-Enabled Human–Robot Collaborative Assembly: A Review of Technical Systems, Application Evolution, and Future Outlook
by Qingwei Nie, Jingtao Chen, Changchun Liu, Zhen Zhao and Haoxuan Xu
Machines 2026, 14(3), 255; https://doi.org/10.3390/machines14030255 - 24 Feb 2026
Viewed by 520
Abstract
With the transition from Industry 4.0 to Industry 5.0, human–robot collaborative assembly (HRCA) has progressed from physical copresence to cognitive integration and knowledge sharing. Digital twins (DTs) serve as enabling technologies that connect physical and virtual spaces. Support is provided for dynamic, safe, [...] Read more.
With the transition from Industry 4.0 to Industry 5.0, human–robot collaborative assembly (HRCA) has progressed from physical copresence to cognitive integration and knowledge sharing. Digital twins (DTs) serve as enabling technologies that connect physical and virtual spaces. Support is provided for dynamic, safe, and human-centered collaboration. This study presents a systematic review of the research progress and practical applications of DT-enabled HRCA. First, conceptual boundaries between HRCA and general human–robot collaboration (HRC) in manufacturing are defined. Core elements of DT-driven state perception, task planning, and constraint modeling are described. Second, four task-allocation paradigms are classified and summarized, including optimization-based, constraint satisfaction-based, data-driven intelligent, and large language model (LLM)-assisted approaches. Applicable scenarios are identified. Third, the effects of collaboration modes and interaction modalities on planning logic are analyzed. Collaboration modes are categorized as parallel, sequential, and tightly coupled. Interaction modalities are grouped into AR-based explicit interaction, implicit intention perception, and multimodal fusion. Fourth, cross-domain application characteristics and engineering bottlenecks are summarized. Target domains include precision assembly, disassembly and remanufacturing, and construction on-site operations. Finally, four core challenges are distilled, including dynamic uncertainty, multi-objective conflicts, human factor adaptation, and system integration. Four future directions are outlined: LLM-enabled adaptive planning, safety–efficiency co-optimization, personalized collaboration, and standardized integration. The proposed technology–application–challenge–outlook framework is intended to provide a theoretical reference and practical guidance for transitioning HRCA from laboratory prototypes to large-scale industrial deployment. Full article
(This article belongs to the Section Industrial Systems)
Show Figures

32 pages, 63092 KB  
Article
A Digital Twin-Enabled Framework for Agrivoltaic System Design, Simulation, Monitoring and Control
by Eshan Edirisinghe, George Wu, Divye Maggo, Chi-Tsun Cheng, Toh Yen Pang, Azizur Rahman, Angela L. Avery, Kieran R. Murphy and Carlos A. Lora
Machines 2026, 14(3), 254; https://doi.org/10.3390/machines14030254 - 24 Feb 2026
Viewed by 796
Abstract
Agrivoltaics offer a sustainable solution to the growing competition between food and energy production. However, their adoption is often constrained by the design and operation challenges associated with optimising the complex trade-off between crop yield and photovoltaic (PV) output. Digital twins can mitigate [...] Read more.
Agrivoltaics offer a sustainable solution to the growing competition between food and energy production. However, their adoption is often constrained by the design and operation challenges associated with optimising the complex trade-off between crop yield and photovoltaic (PV) output. Digital twins can mitigate these risks, yet most agricultural digital twins operate as fragmented digital shadows, lacking high-fidelity modelling, advanced simulation, and bidirectional control capabilities. This study presents a comprehensive, end-to-end digital twin framework to address these limitations. The framework integrates a high-resolution 3D orchard model, reconstructed via UAV photogrammetry, with a CesiumJS-based web interface linked to a modular IoT architecture built on Node-RED, Message Queuing Telemetry Transport (MQTT) protocol and InfluxDB for real-time monitoring and control. A PV simulation engine supports the design, simulation and optimisation of agrivoltaic systems. Bidirectional communication was validated through remote actuation of a physical solar tracker, demonstrating integration among the 3D environment, sensor data and control systems to achieve a closed-loop digital twin. Simulation analyses suggested that panel orientation and row spacing exert a dominant influence on crop-level light distribution. Simulation results demonstrated that a 90° azimuth configuration achieved the highest daily energy yield of 53.97 kWh but reduced peak crop-level irradiance to 205 W/m2. In contrast, the baseline 0° configuration offered a balanced output of 40.86 kWh with a peak light availability of 338 W/m2. The validated, interoperable digital twin architecture provides a reference model for the design, simulation, monitoring and control of an agrivoltaic system, reducing investment uncertainty and supporting sustainable food–energy co-production. Full article
Show Figures

Figure 1

18 pages, 14442 KB  
Review
5G Network Edge Intelligence for Smart Operation and Maintenance of Offshore Wind Power
by Yuqing Gao, Lingang Yang, Xialiang Zhu, Congxiao Jiang, Haoyu Wang, Shaonan You and Fangmin Xu
Sensors 2026, 26(4), 1390; https://doi.org/10.3390/s26041390 - 23 Feb 2026
Viewed by 456
Abstract
As global offshore wind power advances toward deeper, farther waters, harsh Operation and Maintenance (O&M) environments, equipment heterogeneity, and flaws in existing communication (e.g., insufficient 4G bandwidth, high-latency/cost satellite communication) drive the urgent need for intelligent O&M. This paper expounds on the development [...] Read more.
As global offshore wind power advances toward deeper, farther waters, harsh Operation and Maintenance (O&M) environments, equipment heterogeneity, and flaws in existing communication (e.g., insufficient 4G bandwidth, high-latency/cost satellite communication) drive the urgent need for intelligent O&M. This paper expounds on the development of Far-Reaching Sea Smart Wind Farms and intelligent service communication demands, studies 5G deployment schemes (hybrid networking, frequency selection, in-turbine coverage, 5G custom networks) and practical cases, discusses core edge intelligence applications (equipment monitoring, inspection, fault diagnosis, digital twin integration), and constructs a “terminal-edge-cloud-network” 5G-edge intelligence integrated architecture. It also summarizes key technology effects, points out current challenges, and looks forward to lightweight large language model deployment at the edge, providing references for 5G edge intelligence implementation in offshore wind power intelligent O&M. Full article
(This article belongs to the Special Issue Artificial Intelligence and Edge Computing in IoT-Based Applications)
Show Figures

Figure 1

Back to TopTop