Sign in to use this feature.

Years

Between: -

Subjects

remove_circle_outline
remove_circle_outline
remove_circle_outline
remove_circle_outline
remove_circle_outline
remove_circle_outline
remove_circle_outline
remove_circle_outline
remove_circle_outline

Journals

Article Types

Countries / Regions

Search Results (217)

Search Parameters:
Keywords = Dempster–Shafer’s theory of evidence

Order results
Result details
Results per page
Select all
Export citation of selected articles as:
28 pages, 2638 KB  
Article
Estimation of Vessel Collision Risk Under Uncertainty Using Interval Type-2 Fuzzy Inference Systems and Dempster–Shafer Evidence Theory
by Jinwan Park
J. Mar. Sci. Eng. 2026, 14(1), 34; https://doi.org/10.3390/jmse14010034 - 24 Dec 2025
Abstract
This study proposes a collision-risk assessment framework that combines an interval type-2 fuzzy inference system with Dempster–Shafer evidence theory to more reliably evaluate vessel collision risk under the uncertainty inherent in AIS-based marine navigation data. The fuzzy system models membership-function uncertainty through a [...] Read more.
This study proposes a collision-risk assessment framework that combines an interval type-2 fuzzy inference system with Dempster–Shafer evidence theory to more reliably evaluate vessel collision risk under the uncertainty inherent in AIS-based marine navigation data. The fuzzy system models membership-function uncertainty through a footprint of uncertainty and produces time-indexed basic probability assignments that are subsequently combined through a Dempster–Shafer–based temporal integration process. Robust combination rules are incorporated to mitigate the counterintuitive results often produced by classical evidence combination. Furthermore, Lenart’s time-based criterion and Fujii’s spatial safety domain are unified to construct a three-level risk labeling scheme, overcoming the limitations of conventional binary risk classification. Case studies using real AIS data demonstrate improved predictive accuracy and significantly reduced uncertainty, particularly when using the robust symmetric combination rule. Overall, the proposed framework provides a systematic approach for handling structural uncertainty in maritime environments and supports more reliable collision-risk prediction and safer navigational decision-making. Full article
(This article belongs to the Special Issue Advanced Control Strategies for Autonomous Maritime Systems)
30 pages, 2945 KB  
Article
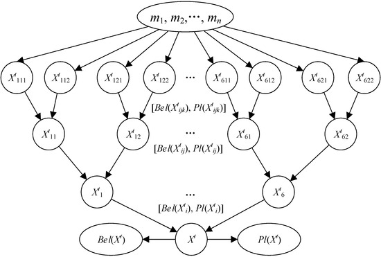
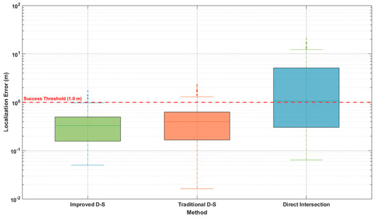
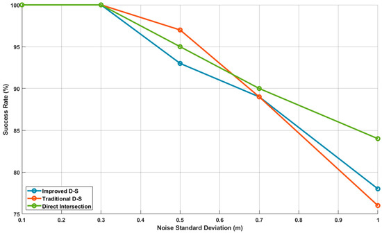
Robust Explosion Point Location Detection via Multi–UAV Data Fusion: An Improved D–S Evidence Theory Framework
by Xuebin Liu and Hanshan Li
Mathematics 2025, 13(24), 3997; https://doi.org/10.3390/math13243997 - 15 Dec 2025
Viewed by 109
Abstract
The Dempster–Shafer (D–S) evidence theory, while powerful for uncertainty reasoning, suffers from mathematical limitations in high–conflict scenarios where its combination rule produces counterintuitive results. This paper introduces a reformulated D–S framework grounded in optimization theory and information geometry. We rigorously construct a dynamic [...] Read more.
The Dempster–Shafer (D–S) evidence theory, while powerful for uncertainty reasoning, suffers from mathematical limitations in high–conflict scenarios where its combination rule produces counterintuitive results. This paper introduces a reformulated D–S framework grounded in optimization theory and information geometry. We rigorously construct a dynamic weight allocation mechanism derived from minimizing systemic Jensen–Shannon divergence and propose a conflict–adaptive fusion rule with theoretical guarantees. We formally prove that our framework possesses the Conflict Attenuation Property and Robustness to Outlier Evidence. Extensive Monte Carlo simulations in multi–UAV explosion point localization demonstrate the framework’s superiority, reducing localization error by 75.6% in high–conflict scenarios compared to classical D–S. This work provides not only a robust application solution but also a theoretically sound and generalizable mathematical framework for multi–source data fusion under uncertainty. Full article
Show Figures

Figure 1

18 pages, 1457 KB  
Article
Research on Multi-Modal Fusion Detection Method for Low-Slow-Small UAVs Based on Deep Learning
by Zhengtang Liu, Yongjie Zou, Zhenzhen Hu, Han Xue, Meng Li and Bin Rao
Drones 2025, 9(12), 852; https://doi.org/10.3390/drones9120852 - 11 Dec 2025
Viewed by 294
Abstract
Addressing the technical challenges in detecting Low-Slow-Small Unmanned Aerial Vehicle (LSS-UAV) cluster targets, such as weak signals and complex environmental interference coupling with strong features, this paper proposes a visible-infrared multi-modal fusion detection method based on deep learning. The method utilizes deep learning [...] Read more.
Addressing the technical challenges in detecting Low-Slow-Small Unmanned Aerial Vehicle (LSS-UAV) cluster targets, such as weak signals and complex environmental interference coupling with strong features, this paper proposes a visible-infrared multi-modal fusion detection method based on deep learning. The method utilizes deep learning techniques to separately identify morphological features in visible light images and thermal radiation features in infrared images. A hierarchical multi-modal fusion framework integrating feature-level and decision-level fusion is designed, incorporating an Environment-Aware Dynamic Weighting (EADW) mechanism and Dempster-Shafer evidence theory (D-S evidence theory). This framework effectively leverages the complementary advantages of feature-level and decision-level fusion. This effectively enhances the detection and recognition capability, as well as the system robustness, for LSS-UAV cluster targets in complex environments. Experimental results demonstrate that the proposed method achieves a detection accuracy of 93.5% for LSS-UAV clusters in complex urban environments, representing an average improvement of 18.7% compared to single-modal methods, while the false alarm rate is reduced to 4.2%. Furthermore, the method demonstrates strong environmental adaptability, maintaining high performance under challenging conditions such as nighttime and haze. This method provides an efficient and reliable technical solution for LSS-UAV cluster target detection. Full article
Show Figures

Figure 1

33 pages, 2537 KB  
Article
Efficient Deep Wavelet Gaussian Markov Dempster–Shafer Network-Based Spectrum Sensing at Very Low SNR in Cognitive Radio Networks
by Sunil Jatti and Anshul Tyagi
Sensors 2025, 25(23), 7361; https://doi.org/10.3390/s25237361 - 3 Dec 2025
Viewed by 396
Abstract
Cognitive radio networks (CRNs) rely heavily on spectral sensing to detect primary user (PU) activity, yet detection at low signal-to-noise ratios (SNRs) remains a major challenge. Hence, a novel “Deep Wavelet Cyclostationary Independent Gaussian Markov Fourier Transform Dempster–Shafer Network” is proposed. When the [...] Read more.
Cognitive radio networks (CRNs) rely heavily on spectral sensing to detect primary user (PU) activity, yet detection at low signal-to-noise ratios (SNRs) remains a major challenge. Hence, a novel “Deep Wavelet Cyclostationary Independent Gaussian Markov Fourier Transform Dempster–Shafer Network” is proposed. When the signal waveform is submerged within the noise envelope and residual correlation emerges in the noise, it violates white Gaussian assumptions, leading to misidentification of signal presence. To resolve this, the Adaptive Continuous Wavelet Cyclostationary Denoising Autoencoder (ACWC-DAE) is introduced, in which the Adaptive Continuous Wavelet Transform (ACWT), Cyclostationary Independent Component Analysis Detection (CICAD), and Denoising Autoencoder (DAE) are introduced into the first hidden layer of a Deep Q-Network (DQN). It restores the bursty signal structure, separates the structured noise, and reconstructs clean signals, leading to accurate signal detection. Additionally, bursty and fading-affected primary user signals become fragmented and dip below the noise floor, causing conventional fixed-window sensing to fail in accumulating reliable evidence for detection under intermittent and low-duty-cycle conditions. Therefore, the Adaptive Gaussian Short-Time Fourier Transform Dempster–Shafer Model (AGSTFT-DSM) is incorporated into the second DQN layer, Adaptive Gaussian Mixture Hidden Markov Modeling (AGMHMM) tracks the hidden activity states, Adaptive Short-Time Fourier Transform (ASFT) resolves brief signal bursts, and Dempster–Shafer Theory (DST) fuses uncertain evidence to infer occupancy, thereby detecting an accurate user signal. The results obtained by the proposed model have a low error and detection time of 0.12 and 30.10 ms and a high accuracy of 97.8%, revealing the novel insight that adaptive wavelet denoising, along with uncertainty-aware evidence fusion, supports reliable spectrum detection under low-SNR conditions where existing models fail. Full article
(This article belongs to the Section Sensor Networks)
Show Figures

Figure 1

30 pages, 3246 KB  
Article
Evolutionary Modeling of Risk Transfer for Safe Operation of Inter-Basin Water Transfer Projects Using Dempster–Shafer and Bayesian Network
by Tianyu Fan, Qikai Li, Bo Wang, Zhiyong Li and Xiangtian Nie
Systems 2025, 13(12), 1064; https://doi.org/10.3390/systems13121064 - 24 Nov 2025
Viewed by 328
Abstract
Inter-basin water transfer projects (IBWTPs) play a crucial role in addressing the uneven spatial and temporal distribution of water resources and ensuring water security in the receiving areas. However, these projects are subject to various risk factors during their operation. While risk management [...] Read more.
Inter-basin water transfer projects (IBWTPs) play a crucial role in addressing the uneven spatial and temporal distribution of water resources and ensuring water security in the receiving areas. However, these projects are subject to various risk factors during their operation. While risk management is critical, current research in this field lacks a systematic and dynamic approach. A three-dimensional measurement model for probability, loss, and risk value, based on Dempster–Shafer (DS) evidence theory, Bayesian networks, and the equivalence method, was established in this study and, in consideration of the engineering characteristics of the IBWTP, a dynamic transmission evolution model for risk is constructed. The applicability and effectiveness of the model are demonstrated through a case study of the Central Line Project of South-to-North Water Diversion (CLPSNWD). The results indicate that the system risk of the CLPSNWD is in an unstable state, with the key influencing factors being channel engineering risk, flood disaster risk, pipeline engineering risk, and water transfer (discharge) cross-structure risk. The research findings offer a novel approach to the quantitative analysis and evolution of risk and contribute to the further development of engineering risk management theory. Full article
Show Figures

Figure 1

34 pages, 2006 KB  
Article
Selective Learnable Discounting in Deep Evidential Semantic Mapping
by Dongfeng Hu, Zhiyuan Li, Junhao Chen and Jian Xu
Electronics 2025, 14(23), 4602; https://doi.org/10.3390/electronics14234602 - 24 Nov 2025
Viewed by 319
Abstract
In autonomous driving and mobile robotics applications, constructing accurate and reliable three-dimensional semantic maps poses significant challenges in resolving conflicts and uncertainties among multi-frame observations in complex environments. Traditional deterministic fusion methods struggle to effectively quantify and process uncertainties in observations, while existing [...] Read more.
In autonomous driving and mobile robotics applications, constructing accurate and reliable three-dimensional semantic maps poses significant challenges in resolving conflicts and uncertainties among multi-frame observations in complex environments. Traditional deterministic fusion methods struggle to effectively quantify and process uncertainties in observations, while existing evidential deep learning approaches, despite providing uncertainty modeling frameworks, still exhibit notable limitations when dealing with spatially varying observation quality. This paper proposes a selective learnable discounting method for deep evidential semantic mapping that introduces a lightweight selective α-Net network based on the EvSemMap framework proposed by Kim and Seo. The network can adaptively detect noisy regions and predict pixel-level discounting coefficients based on input image features. Unlike traditional global discounting strategies, this work employs a theoretically principled scaling discounting formula, e^k(x)=α(x)·ek(x), that conforms to Dempster–Shafer theory, implementing a selective adjustment mechanism that reduces evidence reliability only in noisy regions while preserving original evidence strength in clean regions. Theoretical proofs verify three core properties of the proposed method: evidence discounting under preservation (ensuring no loss of classification accuracy), valid uncertainty redistribution validity (effectively suppressing overconfidence in noisy regions), and optimality of discount coefficients (achieving the matching of the theoretical optimal solution of α*(x)=1N(X)). Experimental results demonstrate that the method achieves a 43.1% improvement in Expected Calibration Error (ECE) for noisy regions and a 75.4% improvement overall, with α-Net attaining an IoU of 1.0 with noise masks on the constructed synthetic dataset—which includes common real-scenario noise types (e.g., motion blur, abnormal illumination, and sensor noise) and where RGB features correlate with observation quality—thereby fully realizing the selective discounting design objective. Combined with additional optimization via temperature calibration techniques, this method provides an effective uncertainty management solution for deep evidential semantic mapping in complex scenarios. Full article
Show Figures

Figure 1

20 pages, 1597 KB  
Article
Three-Level MIFT: A Novel Multi-Source Information Fusion Waterway Tracking Framework
by Wanqing Liang, Chen Qiu, Mei Wang and Ruixiang Kan
Electronics 2025, 14(21), 4344; https://doi.org/10.3390/electronics14214344 - 5 Nov 2025
Viewed by 405
Abstract
To address the limitations of single-sensor perception in inland vessel monitoring and the lack of robustness of traditional tracking methods in occlusion and maneuvering scenarios, this paper proposes a hierarchical multi-target tracking framework that fuses Light Detection and Ranging (LiDAR) data with Automatic [...] Read more.
To address the limitations of single-sensor perception in inland vessel monitoring and the lack of robustness of traditional tracking methods in occlusion and maneuvering scenarios, this paper proposes a hierarchical multi-target tracking framework that fuses Light Detection and Ranging (LiDAR) data with Automatic Identification System (AIS) information. First, an improved adaptive LiDAR tracking algorithm is introduced: stable trajectory tracking and state estimation are achieved through hybrid cost association and an Adaptive Kalman Filter (AKF). Experimental results demonstrate that the LiDAR module achieves a Multi-Object Tracking Accuracy (MOTA) of 89.03%, an Identity F1 Score (IDF1) of 89.80%, and an Identity Switch count (IDSW) as low as 5.1, demonstrating competitive performance compared with representative non-deep-learning-based approaches. Furthermore, by incorporating a fusion mechanism based on improved Dempster–Shafer (D-S) evidence theory and Covariance Intersection (CI), the system achieves further improvements in MOTA (90.33%) and IDF1 (90.82%), while the root mean square error (RMSE) of vessel size estimation decreases from 3.41 m to 1.97 m. Finally, the system outputs structured three-level tracks: AIS early-warning tracks, LiDAR-confirmed tracks, and LiDAR-AIS fused tracks. This hierarchical design not only enables beyond-visual-range (BVR) early warning but also enhances perception coverage and estimation accuracy. Full article
Show Figures

Figure 1

25 pages, 2140 KB  
Article
A Bearing Fault Diagnosis Method for Multi-Sensors Using Cloud Model and Dempster–Shafer Evidence Fusion
by Lin Li, Xiafei Zhang, Peng Wang, Chaobo Chen, Tianli Ma and Song Gao
Appl. Sci. 2025, 15(21), 11302; https://doi.org/10.3390/app152111302 - 22 Oct 2025
Viewed by 628
Abstract
This paper proposes a bearing fault diagnosis method based on the Dempster–Shafer evidence fusion of cloud model memberships from multi-channel data, which provides an explicable calculation process and a final result. Firstly, vibration signals from the drive end and fan end of the [...] Read more.
This paper proposes a bearing fault diagnosis method based on the Dempster–Shafer evidence fusion of cloud model memberships from multi-channel data, which provides an explicable calculation process and a final result. Firstly, vibration signals from the drive end and fan end of the rolling bearing are used as dual-channel data sources to extract multi-dimensional features from time and frequency domains. Then, cloud models are employed to build models for each feature under different conditions, utilizing three digital characteristic parameters to characterize the distribution and uncertainty of features under different operating conditions. Thus, the membership degree vectors of test samples from two channels can be calculated using reference models. Subsequently, D-S evidence theory is applied to fuse membership degree vectors of the two channels, effectively enhancing the robustness and accuracy of the diagnosis. Experiments are conducted on the rolling bearing fault dataset from Case Western Reserve University. Results demonstrate that the proposed method achieves an accuracy of 96.32% using evidence fusion of the drive-end and fan-end data, which is obviously higher than that seen in preliminary single-channel diagnosis. Meanwhile, the final results can give suggestions of the possibilities of anther, which is benefit for technicists seeking to investigate the actual situation. Full article
(This article belongs to the Special Issue Control and Security of Industrial Cyber–Physical Systems)
Show Figures

Figure 1

22 pages, 2953 KB  
Article
Probabilistic Sampling Networks for Hybrid Structure Planning in Semi-Structured Environments
by Xiancheng Ji, Jianjun Yi and Lin Su
Sensors 2025, 25(20), 6476; https://doi.org/10.3390/s25206476 - 20 Oct 2025
Viewed by 431
Abstract
The advancement of adaptable industrial robots in intelligent manufacturing is hindered by the inefficiency of traditional motion planning methods in high-dimensional spaces. Therefore, a Dempster–Shafer evidence theory-based hybrid motion planner is proposed, in which a probabilistic sampling network (PSNet) and an enhanced artificial [...] Read more.
The advancement of adaptable industrial robots in intelligent manufacturing is hindered by the inefficiency of traditional motion planning methods in high-dimensional spaces. Therefore, a Dempster–Shafer evidence theory-based hybrid motion planner is proposed, in which a probabilistic sampling network (PSNet) and an enhanced artificial potential field (EAPF) cooperate with each other to improve the planning performance. The PSNet architecture comprises two modules: a motion planning module (MPM) and a fusion sampling module (FSM). The MPM utilizes sensor data alongside the robot’s current and target configurations to recursively generate diverse multimodal distributions of the next configuration. Based on the distribution information, the FSM was used as a decision-maker to ultimately generate globally connectable paths. Moreover, the FSM is equipped to correct collision path points caused by network inaccuracies through Gaussian resampling. Simultaneously, an augmented artificial potential field with a dynamic rotational field is deployed to repair local paths when worst-case collision scenarios occur. This collaborative strategy harmoniously unites the complementary strengths of both components, thereby enhancing the overall resilience and adaptability of the motion planning system. Experiments were conducted in various environments. The results demonstrate that the proposed method can quickly find directly connectable paths in diverse environments while reliably avoiding sudden obstacles. Full article
(This article belongs to the Special Issue Advanced Robotic Manipulators and Control Applications)
Show Figures

Figure 1

46 pages, 4799 KB  
Article
A Cluster-Level Information Fusion Framework for D-S Evidence Theory with Its Applications in Pattern Classification
by Minghao Ma and Liguo Fei
Mathematics 2025, 13(19), 3144; https://doi.org/10.3390/math13193144 - 1 Oct 2025
Viewed by 1057
Abstract
Multi-source information fusion is a key challenge in uncertainty reasoning. Dempster–Shafer evidence theory (D-S evidence theory) offers a flexible framework for representing and fusing uncertain information. However, the classical Dempster’s combination rules may yield counter-intuitive results when faced with highly conflicting evidence. To [...] Read more.
Multi-source information fusion is a key challenge in uncertainty reasoning. Dempster–Shafer evidence theory (D-S evidence theory) offers a flexible framework for representing and fusing uncertain information. However, the classical Dempster’s combination rules may yield counter-intuitive results when faced with highly conflicting evidence. To overcome this limitation, we introduce a cluster-level information fusion framework, which shifts the focus from pairwise evidence comparisons to a more holistic cluster-based perspective. A key contribution is a novel cluster–cluster divergence measure that jointly captures the strength of belief assignments and structural differences between clusters. Guided by this measure, a reward-driven evidence assignment rule dynamically allocates new evidence to enhance inter-cluster separability while preserving intra-cluster coherence. Building upon the resulting structure, we propose a two-stage information fusion algorithm that assigns credibility weights at the cluster level. The effectiveness of the framework is validated through a range of benchmark pattern classification tasks, in which the proposed method not only improves classification accuracy compared with D-S evidence theory methods but also provides a more interpretable, cluster-oriented perspective for handling evidential conflict. Full article
Show Figures

Figure 1

26 pages, 4710 KB  
Article
Research on Safe Multimodal Detection Method of Pilot Visual Observation Behavior Based on Cognitive State Decoding
by Heming Zhang, Changyuan Wang and Pengbo Wang
Multimodal Technol. Interact. 2025, 9(10), 103; https://doi.org/10.3390/mti9100103 - 1 Oct 2025
Viewed by 1004
Abstract
Pilot visual behavior safety assessment is a cross-disciplinary technology that analyzes pilots’ gaze behavior and neurocognitive responses. This paper proposes a multimodal analysis method for pilot visual behavior safety, specifically for cognitive state decoding. This method aims to achieve a quantitative and efficient [...] Read more.
Pilot visual behavior safety assessment is a cross-disciplinary technology that analyzes pilots’ gaze behavior and neurocognitive responses. This paper proposes a multimodal analysis method for pilot visual behavior safety, specifically for cognitive state decoding. This method aims to achieve a quantitative and efficient assessment of pilots’ observational behavior. Addressing the subjective limitations of traditional methods, this paper proposes an observational behavior detection model that integrates facial images to achieve dynamic and quantitative analysis of observational behavior. It addresses the “Midas contact” problem of observational behavior by constructing a cognitive analysis method using multimodal signals. We propose a bidirectional long short-term memory (LSTM) network that matches physiological signal rhythmic features to address the problem of isolated features in multidimensional signals. This method captures the dynamic correlations between multiple physiological behaviors, such as prefrontal theta and chest-abdominal coordination, to decode the cognitive state of pilots’ observational behavior. Finally, the paper uses a decision-level fusion method based on an improved Dempster–Shafer (DS) evidence theory to provide a quantifiable detection strategy for aviation safety standards. This dual-dimensional quantitative assessment system of “visual behavior–neurophysiological cognition” reveals the dynamic correlations between visual behavior and cognitive state among pilots of varying experience. This method can provide a new paradigm for pilot neuroergonomics training and early warning of vestibular-visual integration disorders. Full article
Show Figures

Figure 1

19 pages, 2115 KB  
Article
Situational Awareness for Oil Storage Tank Accidents Based on Complex Networks and Evidence Theory
by Yunlong Xia, Junmei Shi, Cheng Xun, Bo Kong, Changlin Chen, Yi Zhu and Dengyou Xia
Fire 2025, 8(9), 353; https://doi.org/10.3390/fire8090353 - 5 Sep 2025
Viewed by 984
Abstract
To address the difficulty frontline commanders face in accurately perceiving fireground risks during the early stages of oil storage tank fires, in this study, we propose a method that integrates complex network theory with a multi-source information fusion approach based on cloud models [...] Read more.
To address the difficulty frontline commanders face in accurately perceiving fireground risks during the early stages of oil storage tank fires, in this study, we propose a method that integrates complex network theory with a multi-source information fusion approach based on cloud models and Dempster-Shafer (D-S) evidence theory for situational analysis and dynamic perception. Initially, the internal evolution of accident scenarios within individual tanks is modeled as a single-layer network, while scenario propagation between tanks is represented through inter-layer connections, forming a multi-layer complex network for the storage area. The importance of each node is evaluated to assess the risk level of scenario nodes, enabling preliminary situational awareness, with limited reconnaissance information. Subsequently, the cloud model’s capability to handle fuzziness is combined with D-S theory’s strength in fusing multi-source data. Multi-source heterogeneous information is integrated to obtain the confidence levels of key nodes across low, medium, and high-risk categories. Based on these results, high-risk scenarios in oil storage tank emergency response are dynamically adjusted, enabling the updating and prediction of accident evolution. Finally, the proposed method is validated using the 2015 Gulei PX plant explosion case study. The results demonstrate that the approach effectively identifies high-risk scenarios, enhances dynamic situational perception, and is generally consistent with actual accident progression, thereby improving emergency response capability. Full article
Show Figures

Figure 1

33 pages, 2931 KB  
Article
Data-Fusion-Based Algorithm for Assessing Threat Levels of Low-Altitude and Slow-Speed Small Targets
by Wei Wu, Wenjie Jie, Angang Luo, Xing Liu and Weili Luo
Sensors 2025, 25(17), 5510; https://doi.org/10.3390/s25175510 - 4 Sep 2025
Viewed by 1393
Abstract
Low-Altitude and Slow-Speed Small (LSS) targets pose significant challenges to air defense systems due to their low detectability and complex maneuverability. To enhance defense capabilities against low-altitude targets and assist in formulating interception decisions, this study proposes a new threat assessment algorithm based [...] Read more.
Low-Altitude and Slow-Speed Small (LSS) targets pose significant challenges to air defense systems due to their low detectability and complex maneuverability. To enhance defense capabilities against low-altitude targets and assist in formulating interception decisions, this study proposes a new threat assessment algorithm based on multisource data fusion under visible-light detection conditions. Firstly, threat assessment indicators and their membership functions are defined to characterize LSS targets, and a comprehensive evaluation system is established. To reduce the impact of uncertainties in weight allocation on the threat assessment results, a combined weighting method based on bias coefficients is proposed. The proposed weighting method integrates the analytic hierarchy process (AHP), entropy weighting, and CRITIC methods to optimize the fusion of subjective and objective weights. Subsequently, Technique for Order Preference by Similarity to an Ideal Solution (TOPSIS) and Dempster–Shafer (D-S) evidence theory are used to calculate and rank the target threat levels so as to reduce conflicts and uncertainties from heterogeneous data sources. Finally, the effectiveness and reliability of the two methods are verified through simulation experiments and measured data. The experimental results show that the TOPSIS method can significantly discriminate threat values, making it suitable for environments requiring rapid distinction between high- and low-threat targets. The D-S evidence theory, on the other hand, has strong anti-interference capability, making it suitable for environments requiring a balance between subjective and objective uncertainties. Both methods can improve the reliability of threat assessment in complex environments, providing valuable support for air defense command and control systems. Full article
(This article belongs to the Section Intelligent Sensors)
Show Figures

Figure 1

21 pages, 375 KB  
Review
Sherlock Holmes Doesn’t Play Dice: The Mathematics of Uncertain Reasoning When Something May Happen, That You Are Not Even Able to Figure Out
by Guido Fioretti
Entropy 2025, 27(9), 931; https://doi.org/10.3390/e27090931 - 4 Sep 2025
Viewed by 788
Abstract
While Evidence Theory (also known as Dempster–Shafer Theory, or Belief Functions Theory) is being increasingly used in data fusion, its potentialities in the Social and Life Sciences are often obscured by lack of awareness of its distinctive features. In particular, with this paper [...] Read more.
While Evidence Theory (also known as Dempster–Shafer Theory, or Belief Functions Theory) is being increasingly used in data fusion, its potentialities in the Social and Life Sciences are often obscured by lack of awareness of its distinctive features. In particular, with this paper I stress that an extended version of Evidence Theory can express the uncertainty deriving from the fear that events may materialize, that one is not even able to figure out. By contrast, Probability Theory must limit itself to the possibilities that a decision-maker is currently envisaging. I compare this extended version of Evidence Theory to cutting-edge extensions of Probability Theory, such as imprecise and sub-additive probabilities, as well as unconventional versions of Information Theory that are employed in data fusion and transmission of cultural information. A possible application to creative usage of Large Language Models is outlined, and further extensions to multi-agent interactions are outlined. Full article
(This article belongs to the Section Information Theory, Probability and Statistics)
Show Figures

Figure 1

22 pages, 311 KB  
Article
A Dempster–Shafer, Fusion-Based Approach for Malware Detection
by Patricio Galdames, Simon Yusuf Enoch, Claudio Gutiérrez-Soto and Marco A. Palomino
Mathematics 2025, 13(16), 2677; https://doi.org/10.3390/math13162677 - 20 Aug 2025
Cited by 1 | Viewed by 1357
Abstract
Dempster–Shafer theory (DST), a generalization of probability theory, is well suited for managing uncertainty and integrating information from diverse sources. In recent years, DST has gained attention in cybersecurity research. However, despite the growing interest, there is still a lack of systematic comparisons [...] Read more.
Dempster–Shafer theory (DST), a generalization of probability theory, is well suited for managing uncertainty and integrating information from diverse sources. In recent years, DST has gained attention in cybersecurity research. However, despite the growing interest, there is still a lack of systematic comparisons of DST implementation strategies for malware detection. In this paper, we present a comprehensive evaluation of DST-based ensemble mechanisms for malware detection, addressing critical methodological questions regarding optimal mass function construction and combination rules. Our systematic analysis was tested with 630,504 benign and malicious samples collected from four public datasets (BODMAS, DREBIN, AndroZoo, and BMPD) to train malware detection models. We explored three approaches for converting classifier outputs into probability mass functions: global confidence using fixed values derived from performance metrics, class-specific confidence with separate values for each class, and computationally optimized confidence values. The results establish that all approaches yield comparable performance, although fixed values offer significant computational and interpretability advantages. Additionally, we introduced a novel linear combination rule for evidence fusion, which delivers results on par with conventional DST rules while enhancing interpretability. Our experiments show consistently low false positive rates—ranging from 0.16% to 3.19%. This comprehensive study provides the first systematic methodology comparison for DST-based malware detection, establishing evidence-based guidelines for practitioners on optimal implementation strategies. Full article
(This article belongs to the Special Issue Analytical Frameworks and Methods for Cybersecurity, 2nd Edition)
Show Figures

Figure 1

Back to TopTop