Sign in to use this feature.

Years

Between: -

Subjects

remove_circle_outline
remove_circle_outline
remove_circle_outline
remove_circle_outline
remove_circle_outline
remove_circle_outline
remove_circle_outline
remove_circle_outline

Journals

Article Types

Countries / Regions

Search Results (17)

Search Parameters:
Keywords = DRAINMOD model

Order results
Result details
Results per page
Select all
Export citation of selected articles as:
22 pages, 5183 KB  
Article
Optimizing Drainage Design to Reduce Nitrogen Losses in Rice Field Under Extreme Rainfall: Coupling Log-Pearson Type III and DRAINMOD-N II
by Anis Ur Rehman Khalil, Fazli Hameed, Junzeng Xu, Muhammad Mannan Afzal, Khalil Ahmad, Shah Fahad Rahim, Raheel Osman, Peng Chen and Zhenyang Liu
Water 2026, 18(2), 175; https://doi.org/10.3390/w18020175 - 8 Jan 2026
Viewed by 454
Abstract
The intensification of extreme rainfall events under changing climate regimes has heightened concerns over nutrient losses from paddy agriculture, particularly nitrogen (N), a primary contributor to non-point source pollution. Despite advances in drainage management, limited studies have integrated probabilistic rainfall modeling with N [...] Read more.
The intensification of extreme rainfall events under changing climate regimes has heightened concerns over nutrient losses from paddy agriculture, particularly nitrogen (N), a primary contributor to non-point source pollution. Despite advances in drainage management, limited studies have integrated probabilistic rainfall modeling with N transport simulation to evaluate mitigation strategies in rice-based systems. This study addresses this critical gap by coupling the Log-Pearson Type III (LP-III) distribution with the DRAINMOD-N II model to simulate N dynamics under varying rainfall exceedance probabilities and drainage design configurations in the Kunshan region of eastern China. The DRAINMOD-N II showed good performance, with R2 values of 0.70 and 0.69, AAD of 0.05 and 0.39 mg L−1, and RMSE of 0.14 and 0.91 mg L−1 for NO3-N and NH4+-N during calibration, and R2 values of 0.88 and 0.72, AAD of 0.06 and 0.21 mg L−1, and RMSE of 0.10 and 0.34 mg L−1 during validation. Using around 50 years of historical precipitation data, we developed intensity–duration–frequency (IDF) curves via LP-III to derive return-period rainfall scenarios (2%, 5%, 10%, and 20%). These scenarios were then input into a validated DRAINMOD-N II model to assess nitrate-nitrogen (NO3-N) and ammonium-nitrogen (NH4+-N) losses across multiple drain spacing (1000–2000 cm) and depth (80–120 cm) treatments. Results demonstrated that NO3-N and NH4+-N losses increase with rainfall intensity, with up to 57.9% and 45.1% greater leaching, respectively, under 2% exceedance events compared to 20%. However, wider drain spacing substantially mitigated N losses, reducing NO3-N and NH4+-N loads by up to 18% and 12%, respectively, across extreme rainfall scenarios. The integrated framework developed in this study highlights the efficacy of drainage design optimization in reducing nutrient losses while maintaining hydrological resilience under extreme weather conditions. Full article
(This article belongs to the Section Water, Agriculture and Aquaculture)
Show Figures

Figure 1

17 pages, 2951 KB  
Article
Long-Term Rainfall–Runoff Relationships During Fallow Seasons in a Humid Region
by Rui Peng, Gary Feng, Ying Ouyang, Guihong Bi and John Brooks
Climate 2025, 13(7), 149; https://doi.org/10.3390/cli13070149 - 16 Jul 2025
Viewed by 2698
Abstract
The hydrological processes of agricultural fields during the fallow season in east-central Mississippi remain poorly understood, due to the region’s unique rainfall patterns. This study utilized long-term rainfall records from 1924 to 2023 to evaluate runoff characteristics and the runoff response to various [...] Read more.
The hydrological processes of agricultural fields during the fallow season in east-central Mississippi remain poorly understood, due to the region’s unique rainfall patterns. This study utilized long-term rainfall records from 1924 to 2023 to evaluate runoff characteristics and the runoff response to various rainfall events during fallow seasons in Mississippi by applying the DRAINMOD model. The analysis revealed that the average rainfall during the fallow season was 760 mm over the past 100 years, accounting for 65% of the annual total. In dry, normal, and wet fallow seasons, the average rainfall was 528, 751, and 1010 mm, respectively, corresponding to runoff of 227, 388, and 602 mm. Runoff frequency increased with wetter weather conditions, rising from 16 events in dry seasons to 23 in normal seasons and 30 in wet seasons. Over the past century, runoff dynamics were predominantly regulated by high-intensity rainfall events during the fallow season. Very heavy rainfall events (mean frequency = 11 events) generated 215 mm of runoff and accounted for 53% of the total runoff, while extreme rainfall events (mean frequency = 2 events) contributed 135 mm of runoff, making up 34% of the total runoff. Water table depth played a critical role in shaping spring runoff dynamics. As the water table decreased from 46 mm in March to 80 mm in May, the soil pore space increased from 5 mm in March to 14 mm in May. This increased soil infiltration and water storage capacity, leading to a steady decline in runoff. The study found that the mean daily runoff frequency dropped from 13.5% in March to 7.6% in May, while monthly runoff decreased from 74 to 38 mm. Increased extreme rainfall (R95p) in April contributed over 45% of the total runoff and resulted in the highest daily mean runoff of 20 mm, compared to 18 mm in March and 16 mm in May. The results from this century-long historical weather data could be used to enhance field-scale water resource management, predict potential runoff risks, and optimize planting windows in the humid east-central Mississippi. Full article
(This article belongs to the Section Weather, Events and Impacts)
Show Figures

Figure 1

20 pages, 2829 KB  
Article
Simulation of Drainage Volume and Nitrogen Loss Load in Paddy Fields under Different Irrigation and Drainage Modes and Hydrological Years
by Yan Meng, Yanmei Yu, Shuangen Yu, Peng Chen and Kaihua Cao
Agronomy 2024, 14(6), 1095; https://doi.org/10.3390/agronomy14061095 - 22 May 2024
Cited by 4 | Viewed by 1723
Abstract
Controlled irrigation and drainage technology for rice is crucial water management that has been widely promoted in northeastern China. It is of great significance to clarify the response mechanism of the drainage volume and nitrogen loss load in the paddy field for realizing [...] Read more.
Controlled irrigation and drainage technology for rice is crucial water management that has been widely promoted in northeastern China. It is of great significance to clarify the response mechanism of the drainage volume and nitrogen loss load in the paddy field for realizing water saving, emission reduction, pollution control and high yield in rice-planting areas. In this study, we conducted field experiments and simulations on drainage volume and nitrogen loss load regulations of paddy fields in a cold black soil region under different hydrological years and irrigation and drainage modes. The key parameters for simulating drainage volume and nitrogen loss load in paddy fields using DRAINMOD-NII were determined by combining field experiments, data analysis, and numerical simulation. The results showed that the simulated drainage volume and nitrogen loss load showed a high coefficient of determination with the observed results, which were all above 0.83. The Nash–Sutcliffe efficiency coefficient ranged from 0.72 to 0.97 in model calibration and verification, indicating that the model effectively simulated drainage volume and nitrogen loss load in paddy fields under controlled irrigation and drainage in the cold black soil region. The paddy field drainage volume was not only influenced by rainfall frequency but also by the distribution of rainfall. Compared with traditional irrigation and drainage, the controlled irrigation and drainage significantly reduced the irrigation amount by 39.07% and increased rainwater utilization efficiency by 13.07%. It also reduced the drainage volume by 44.71% and NO3-N and NH4+-N loss load by 59.38% and 44.96%. The controlled irrigation and drainage mode optimized natural rainfall resources and increased irrigation water productivity and rice yield by 97.85% and 16.88%, respectively. Controlled irrigation and drainage outperformed the traditional mode in different hydrological years, with more pronounced effects in dry years, which highlights its significant value in practical agricultural production. Full article
Show Figures

Figure 1

16 pages, 4810 KB  
Article
Simulating Water and Salt Migration through Soils with a Clay Layer and Subsurface Pipe Drainage System at Different Depths Using the DRAINMOD-S Model
by Feng Tian, Qingfeng Miao, Haibin Shi, Ruiping Li, Xu Dou, Jie Duan and Weiying Feng
Agronomy 2024, 14(1), 17; https://doi.org/10.3390/agronomy14010017 - 20 Dec 2023
Cited by 7 | Viewed by 2030
Abstract
Soil salinization affects more than 25% of land globally. Subsurface pipe drainage is known for its effectiveness in improving saline–alkali land. The red clay layer (RCL) hinders soil improvement in the Hetao Irrigation District of Inner Mongolia, China. The soil water and salt [...] Read more.
Soil salinization affects more than 25% of land globally. Subsurface pipe drainage is known for its effectiveness in improving saline–alkali land. The red clay layer (RCL) hinders soil improvement in the Hetao Irrigation District of Inner Mongolia, China. The soil water and salt migration rules at different buried depths and RCL were studied based on the field subsurface pipe drainage test and simulation using the DRAINMOD-S model (Version 6.1). The following implications can be drawn from the results: (1) Although the RCL affected the accuracy of the model, the calibrated statistical results met the application requirements, and the DRAINMOD-S model can be used to analyze subsurface pipe drainage under different distribution conditions of the RCL. (2) The RCL can reduce the drainage efficiency of the subsurface pipe, specifically when the distribution is shallow. (3) The soil desalting rate increased with an increase in the buried depth of the subsurface pipe. The desalination effect of shallow soil was better than that of deep soil. The RCL reduced the drainage and salt removal efficiency of the subsurface pipe. Burying the subsurface pipe as far above the RCL as possible should be considered. Thus, it is feasible to apply the DRAINMOD-S model to relevant studies. Full article
Show Figures

Figure 1

20 pages, 4761 KB  
Article
Soil Water and Salt Transport in Severe Saline–Alkali Soil after Ditching under Subsurface Pipe Drainage Conditions
by Feng Tian, Haibin Shi, Qingfeng Miao, Ruiping Li, Jie Duan, Xu Dou and Weiying Feng
Agriculture 2023, 13(12), 2196; https://doi.org/10.3390/agriculture13122196 - 24 Nov 2023
Cited by 14 | Viewed by 2693
Abstract
The subsurface pipe drainage project is essential in farmland drainage operations and is globally recognized as an effective saline–alkali land improvement measure owing to its efficient drainage capacity and low land occupation rate. This study aimed to establish enhanced methods for improving saline–alkali [...] Read more.
The subsurface pipe drainage project is essential in farmland drainage operations and is globally recognized as an effective saline–alkali land improvement measure owing to its efficient drainage capacity and low land occupation rate. This study aimed to establish enhanced methods for improving saline–alkali land by combining ditching with subsurface pipe drainage. The ditching was conducted at a depth of 60 cm based on the existing subsurface pipe arrangement. The calibrated DRAINMOD-S model was employed to simulate the test area with different ditching depths and subsurface pipe arrangement parameters. Furthermore, the law of soil water and salt transport in the subsurface pipe drainage system at different ditching depths was investigated. After ditching, the total unit drainage volume of leaching increased by an average of 14.65% over two years and the water storage of different soil layers in the different plots decreased by 1.37–1.48 mm on average. Ditching demonstrated a superior salt-leaching effect in areas with subsurface pipe layouts. The soil desalination rate of different soil layers increased by 6.40–13.40% on average, with a more significant impact on the surface soil desalination rate. The effect of the increased desalination rate was more apparent as the ditching depth increased. However, as the buried depth of the subsurface pipe increased, the relationship between the ditching depth and soil desalination rate became insignificant. Ditching improved the salt-leaching effect of subsurface pipe drainage projects, which can effectively reduce the cost of subsurface pipe burial, consequently promoting subsurface pipe use. Full article
(This article belongs to the Section Agricultural Water Management)
Show Figures

Figure 1

19 pages, 2464 KB  
Article
Study on Water and Salt Transport under Different Subsurface Pipe Arrangement Conditions in Severe Saline–Alkali Land in Hetao Irrigation District with DRAINMOD Model
by Feng Tian, Qingfeng Miao, Haibin Shi, Ruiping Li, Xu Dou, Jie Duan, Jing Liu and Weiying Feng
Water 2023, 15(16), 3001; https://doi.org/10.3390/w15163001 - 20 Aug 2023
Cited by 9 | Viewed by 3141
Abstract
As an effective method to improve saline–alkali land, the drainage from subsurface pipes has been extensively studied in typical arid and semi-arid agricultural areas (Hetao Irrigation District). However, there are few studies on the improvement of subsurface pipe layout and the long-term soil [...] Read more.
As an effective method to improve saline–alkali land, the drainage from subsurface pipes has been extensively studied in typical arid and semi-arid agricultural areas (Hetao Irrigation District). However, there are few studies on the improvement of subsurface pipe layout and the long-term soil salinization control in the process of leaching and soil amendment with subsurface pipes in this area. This study investigated the water and salt migration in the process of amending the heavy saline soil. Field experiments growing sunflowers and numerical model calculation were combined in this research. It was found in the field experiment that the salt concentration in the surface pipe drainage was positively correlated with the salt content in the soil and the depth of the pipe, while it was negatively correlated with the amount of irrigation water and the spacing of crops. Thus, the soil desalting rate (N) and salt control rate (SCR) were positively correlated with the depth of the pipe, and they were negatively correlated with the spacing. The leaching effect of irrigation would decrease when the soil salt content decreased. On the basis of field experiments, the DRAINMOD model and drainmod equation were used to calculate the water and salt migration in 38 different field plots during 2019 and 2020. When N was the same, the soil salinity in several plots with large burial depth could be controlled below the salt tolerance threshold of sunflowers during the growth period in the second year. The quantitative relationship between N and SCR, soil salt content before leaching, water amount of leaching, pipe spacing and buried depth was already established. These results can help develop strategies for desalination and salt control in the soil in the arid and semi-arid areas with the optimal layout of subsurface pipes. Full article
(This article belongs to the Special Issue Water Environment Pollution and Control, Volume II)
Show Figures

Figure 1

16 pages, 6690 KB  
Article
Comparative Sensitivity Analysis of Hydrology and Relative Corn Yield under Different Subsurface Drainage Design Using DRAINMOD
by Haribansha Timalsina, Soonho Hwang, Richard A. Cooke and Rabin Bhattarai
Appl. Sci. 2023, 13(16), 9252; https://doi.org/10.3390/app13169252 - 15 Aug 2023
Cited by 4 | Viewed by 2415
Abstract
DRAINMOD is a process-based hydrologic model used to analyze the effectiveness of various drainage systems and management strategies. In this study, a sensitivity analysis of DRAINMOD hydrologic parameters for two different field settings located at Champaign, Illinois, was performed to determine the most [...] Read more.
DRAINMOD is a process-based hydrologic model used to analyze the effectiveness of various drainage systems and management strategies. In this study, a sensitivity analysis of DRAINMOD hydrologic parameters for two different field settings located at Champaign, Illinois, was performed to determine the most sensitive parameters that affect the subsurface flow and relative productivity of corn. Latin-Hypercube One-Factor-at-a-Time (LH-OAT) was used to determine the sensitivity index of 17 parameters for six objective functions for daily flow, water balance, and relative yield for the productivity of corn. The results indicated that flow and yield were highly sensitive to drainage design parameters such as drainage depth and spacing. Winter flow and the water balance were sensitive to soil thermal conductivity parameters; however, they had no impact on the relative corn yield. The significant difference in sensitivity of the two fields was observed in the hydraulic conductivity of soil layers due to varying thicknesses for different soil types. This study highlights the need for more careful calibration of these sensitive parameters to reduce equifinality and model output uncertainty and appropriate drainage design for optimizing crop productivity and drainage outflow. Full article
(This article belongs to the Special Issue Climate Change on Water Resource)
Show Figures

Figure 1

22 pages, 3887 KB  
Article
Controlled Drainage Effectiveness in Reducing Nutrient Outflow in Light of Climate Changes
by Barbara Kęsicka, Michał Kozłowski, Rafał Stasik and Iwona Pińskwar
Appl. Sci. 2023, 13(16), 9077; https://doi.org/10.3390/app13169077 - 9 Aug 2023
Cited by 6 | Viewed by 1878
Abstract
This modeling study focused on the hydrological and water quality effects of controlled drainage (CD) when operated using a subsurface drainage system in an agricultural field in the Wielkopolska region. The DRAINMOD hydrologic model was well calibrated and validated in an experimental field. [...] Read more.
This modeling study focused on the hydrological and water quality effects of controlled drainage (CD) when operated using a subsurface drainage system in an agricultural field in the Wielkopolska region. The DRAINMOD hydrologic model was well calibrated and validated in an experimental field. This model was used in the performance of CD and free drainage (FD) combinations (108 and 27, respectively) in a near-future climate change scenario. The objective was to understand the potential of CD on the groundwater table (GWT), drainage outflow, surface runoff, and nitrogen and phosphorus reduction under projected climate conditions in Poland during the 21st century with shared socioeconomic pathway SSP370. The results indicated that the earliest start of CD practice is the most effective in increasing GWT. Compared to current climatic conditions, when applying CD on 1 March in the near future, with an initial GWT of 60 and 80 cm b.s.l. in wet years, drainage outflows will increase by 33% and 80% for the GFDL model, by 30% and 40% for the MPI model, and by 17% and 23% for the UKESM model. Comparing the surface runoff values obtained to current climate conditions, the MPI, GFDL, and UKESM models predict a significant increase in surface runoff in the near future, which is due to the predicted increase in precipitation. The annual NO3–N reduction was by 22, 19, and 15 kg per hectare for wet, normal, and dry years, respectively, in the near future. Among the climate scenarios, the UKESM model predicted higher NO3–N and PO4 leaching values compared to the MPI and GFDL models. Full article
(This article belongs to the Special Issue Sustainable Design under Climate Responsive Environments)
Show Figures

Figure 1

20 pages, 6601 KB  
Article
Effectiveness of Controlled Tile Drainage in Reducing Outflow and Nitrogen at the Scale of the Drainage System
by Barbara Kęsicka, Michał Kozłowski and Rafał Stasik
Water 2023, 15(10), 1814; https://doi.org/10.3390/w15101814 - 10 May 2023
Cited by 8 | Viewed by 3836
Abstract
The impact of controlled drainage (CD) on the groundwater table (GWT), drainage outflow, surface runoff, and nitrogen reduction at the drainage system scale in the Wielkopolska region was analyzed in this study. Based on field research, mainly by monitoring of GWT changes in [...] Read more.
The impact of controlled drainage (CD) on the groundwater table (GWT), drainage outflow, surface runoff, and nitrogen reduction at the drainage system scale in the Wielkopolska region was analyzed in this study. Based on field research, mainly by monitoring of GWT changes in 2019–2020, the DRAINMOD model was calibrated and validated. Hydrological soil water balance simulations were carried out with 36 and 9 combinations for CD and free drainage (FD), respectively. The modelling period was March-September for 10 different dry, wet, and normal years from the period of 1961 to 2020. The next step was to use the results of drainage outflow modelling and chemical constituent analyses of drainage water samples to determine NO3-N concentrations and calculate NO3-N pollution loads. As a result of the simulations, the importance of the timing of the start of the outflow retention in the adopted model variants was determined, indicating the earliest assumed date of 1 March. The appropriate CD start date as well as the initial GWT has a significant impact on the effectiveness of CD application in reducing the volume of drainage outflow and reducing the amount of NO3-N entering open water with it. The application of CD under the conditions of the analyzed drainage facility makes it possible to retain up to 22 kg of NO3-N per hectare. Full article
Show Figures

Figure 1

19 pages, 11780 KB  
Review
Assessment of Subsurface Drainage Strategies Using DRAINMOD Model for Sustainable Agriculture: A Review
by Yasir Abduljaleel, Ahmed Awad, Nadhir Al-Ansari, Ali Salem, Abdelazim Negm and Mohamed Elsayed Gabr
Sustainability 2023, 15(2), 1355; https://doi.org/10.3390/su15021355 - 11 Jan 2023
Cited by 10 | Viewed by 6144
Abstract
Practicing agricultural drainage strategies is necessary to manage excess water in poorly drained irrigated agricultural lands to protect them from induced waterlogging and salinity problems. This paper provides an overview of subsurface drainage strategies and the modeling of their performance using the DRAINMOD [...] Read more.
Practicing agricultural drainage strategies is necessary to manage excess water in poorly drained irrigated agricultural lands to protect them from induced waterlogging and salinity problems. This paper provides an overview of subsurface drainage strategies and the modeling of their performance using the DRAINMOD model. Given that the DRAINMOD model considers a fixed value of the surface depression capacity (SDC) for the whole simulation period, which does not suit many agricultural practices, the paper then assesses the model’s performance under time-variable SDC. It was revealed that adopting a fixed value of SDC for the whole simulation period in the DRAINMOD model causes it to produce improper predictions of the water balance in farmlands characterized by time-variable SDC. Such a model drawback will also adversely impact its predictions of the nitrogen and phosphorus fate in farmlands, which represent major inputs when managing both the agricultural process and agricultural water quality. Researchers should pay attention when applying the DRAINMOD model to farmlands characterized by time-variable SDC. Moreover, it is recommended that the DRAINMOD input module be improved by considering changes in SDC during the simulation period to ensure better management of the agricultural process and agricultural water. Full article
(This article belongs to the Section Resources and Sustainable Utilization)
Show Figures

Figure 1

17 pages, 2942 KB  
Article
Model-Based Optimization of Design Parameters of Subsurface Drain in Cotton Field under Mulch Drip Irrigation
by Yibin Xu, Hongguang Liu, Ping Gong, Pengfei Li, Ling Li, Qiang Xu, Bao Xue, Yaru Guo, Yao Zhang and Rumeng Tian
Water 2022, 14(21), 3369; https://doi.org/10.3390/w14213369 - 24 Oct 2022
Cited by 8 | Viewed by 2755
Abstract
In this study, the influence of the relevant parameters of a subsurface pipe layout on soil water and salt transport in a cotton field under mulched drip irrigation is explored. Based on the measured data of the changes in the groundwater level and [...] Read more.
In this study, the influence of the relevant parameters of a subsurface pipe layout on soil water and salt transport in a cotton field under mulched drip irrigation is explored. Based on the measured data of the changes in the groundwater level and salt in the field, the DRAINMOD numerical model has been used for simulating the water and salt dynamics of a salinized cotton field under subsurface pipe drainage. The results of the investigation show that the DRAINMOD model can accurately simulate the changes in the hydrological conditions and the salt-leaching process in the study area. The average deviation between the simulated and measured values of the groundwater depth in 2013 and 2014 was −1.72 cm and 2.43 cm, the average absolute deviation was 3.84 cm and 2.43 cm, the root mean square error was 5.14 cm and 3.63 cm, and the correlation coefficient was 0.87 and 0.94, respectively. The average deviation between the simulated and measured values of soil salinity in 2013 and 2014 was −0.68 g/kg and −1.86 g/kg, the average absolute deviation was 1.60 g/kg and 1.99 g/kg, the root mean square error was 1.95 g/kg and 2.99 g/kg, and the correlation coefficient was 0.82 and 0.86, respectively, which are all within the acceptable error range. After validation, the model was used to simulate and analyze the desalination process of a cotton field in the study area for 27 different subsurface pipe layout modes. The projection pursuit classification model has been combined with the accelerated genetic algorithm based on real-number coding. The comprehensive benefits of the subsurface pipe layout were evaluated using the construction cost, average desalination rate, and relative yield of cotton as the evaluation indices. The results show that C11 (buried depth 2.1 m, spacing 30 m) is the optimal layout of the subsurface pipe. The results of this study can provide theoretical support and scientific guidance for the popularization and application of subsurface pipe salt discharge technology and drip irrigation under film in the arid inland areas of northwest China. Full article
(This article belongs to the Section Water, Agriculture and Aquaculture)
Show Figures

Figure 1

11 pages, 3397 KB  
Article
Evaluation of the DRAINMOD Model’s Performance Using Different Time Steps in Evapotranspiration Computations
by Ahmed Awad, Mustafa El-Rawy, Mohmed Abdalhi and Nadhir Al-Ansari
Hydrology 2022, 9(2), 40; https://doi.org/10.3390/hydrology9020040 - 18 Feb 2022
Cited by 4 | Viewed by 3743
Abstract
The DRAINMOD model is a superior tool used to predict the changes in farmland water balance under different agricultural drainage layouts, fields, weather conditions, and management practices. In the present study, we assessed the sensitivity of the DRAINMOD predictions in farmland water balance [...] Read more.
The DRAINMOD model is a superior tool used to predict the changes in farmland water balance under different agricultural drainage layouts, fields, weather conditions, and management practices. In the present study, we assessed the sensitivity of the DRAINMOD predictions in farmland water balance to the time step (hourly or daily) in daily evapotranspiration (ET₀) computations for 12-hectares of farmland located at the lower reaches of the Yangtze River basin. The model was calibrated and validated and then was applied twice under two sets of daily ET₀ values, computed using the standardized ASCE Penman–Monteith model (one using the hourly time step (HTS) and the other using the daily time step (DTS)). Regarding daily computed ET₀ values, results show that abrupt diurnal changes in the weather always result in significant differences between daily ET₀ values when computed based on DTS and HTS. DRAINMOD simulations show that such differences between daily computed ET₀ values affected the model’s predictions of the “water fate” in the study area; e.g., adopting HTS rather than DTS resulted in a 4.8% increase, and a 3.1% and 1% decrease in the models’ cumulative predictions of runoff, drainage, and infiltration, respectively. Therefore, for a particular study area, it is critical to pay attention when deciding the best time step in ET₀ computations to ensure accurate DRAINMOD simulations, thereby ensuring better utilization of agricultural water alongside high agricultural productivity. Full article
(This article belongs to the Special Issue Recent Advances in Hydrological Modeling)
Show Figures

Figure 1

16 pages, 4957 KB  
Article
Assessment of Impacts of Climate Change on Tile Discharge and Nitrogen Yield Using the DRAINMOD Model
by Golmar Golmohammadi, Ramesh P. Rudra, Gary W. Parkin, Priyantha B. Kulasekera, Merrin Macrae and Pradeep K. Goel
Hydrology 2021, 8(1), 1; https://doi.org/10.3390/hydrology8010001 - 26 Dec 2020
Cited by 19 | Viewed by 5794
Abstract
The detrimental impacts of agricultural subsurface tile flows and their associated pollutants on water quality is a major environmental issue in the Great Lakes region and many other places globally. A strong understanding of water quality indicators along with the contribution of tile-drained [...] Read more.
The detrimental impacts of agricultural subsurface tile flows and their associated pollutants on water quality is a major environmental issue in the Great Lakes region and many other places globally. A strong understanding of water quality indicators along with the contribution of tile-drained agriculture to water contamination is necessary to assess and reduce a significant source of non-point source pollution. In this study, DRAINMOD, a field-scale hydrology and water quality model, was applied to assess the impact of future climatic change on depth to water table, tile flow and associated nitrate loss from an 8.66 ha agricultural field near Londesborough, in Southwestern Ontario, Canada. The closest available climate data from a weather station approximately 10 km from the field site was used by the Ontario Ministry of Natural Resources and Forestry (MNRF) to generate future predictions of daily precipitation and maximum and minimum air temperatures required to create the weather files for DRAINMOD. Of the 28 models applied by MNRF, three models (CGCM3T47-Run5, GFDLCM2.0, and MIROC3.2hires) were selected based on the frequency of the models recommended for use in Ontario with SRA1B emission scenario. Results suggested that simulated tile flows and evapotranspiration (ET) in the 2071–2100 period are expected to increase by 7% and 14% compared to 1960–1990 period. Results also suggest that under future climates, significant increases in nitrate losses (about 50%) will occur along with the elevated tile flows. This work suggests that climate change will have a significant effect on field hydrology and water quality in tile-drained agricultural regions. Full article
Show Figures

Figure 1

21 pages, 3827 KB  
Article
The Effect of Climate Change on Controlled Drainage Effectiveness in the Context of Groundwater Dynamics, Surface, and Drainage Outflows. Central-Western Poland Case Study
by Mariusz Sojka, Michał Kozłowski, Barbara Kęsicka, Rafał Wróżyński, Rafał Stasik, Michał Napierała, Joanna Jaskuła and Daniel Liberacki
Agronomy 2020, 10(5), 625; https://doi.org/10.3390/agronomy10050625 - 28 Apr 2020
Cited by 30 | Viewed by 5570
Abstract
Control drainage (CD) is a common practice implemented to control the water balance of drainage fields by increasing the amount of water retained in soil. Worldwide studies suggest that climate change can reduce the effectiveness of CD solutions, but no study of CD [...] Read more.
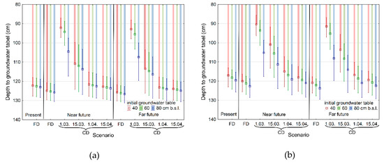
Control drainage (CD) is a common practice implemented to control the water balance of drainage fields by increasing the amount of water retained in soil. Worldwide studies suggest that climate change can reduce the effectiveness of CD solutions, but no study of CD effects has been carried out in Polish conditions yet. In this study, the DRAINMOD (Wayne Skaggs, North Carolina State University, Raleigh, USA) computer simulation model was used to predict the effects of CD on the time horizons of 2021–2050 (near future) and 2071–2100 (far future) assuming the Representative Concentration Pathway (RCP) 4.5 emission scenario. The effectiveness of CD solutions is presented for a drainage network with spacing of 7 or 14 m. Additionally, different dates of blocking the outflow from the drainage network (1st and 15th of March and 1st and 15th of April) and different initial groundwater table conditions (0.4, 0.6, and 0.8 m) were assumed. All simulations for different variants were carried out for the same period, i.e., from 1st of March to 30th of September. The results of climate models indicated that in the area of central-western Poland in the near and far future there will be an increase in air temperatures by 1.02 and 1.97 °C, respectively, and in precipitation by 5.98% and 10.15%, respectively. In addition, there will be a change in the structure of precipitation, especially with respect to the extension of rain-free periods and an increase in the amount of extreme daily precipitation. The effect of climate change will be a decrease in the mean groundwater table in the fields equipped with drainage systems from 2 to 5 cm. In addition, the number of days on which groundwater table will be above the level of the drainage network will decrease. For the drainage network with spacing of 7 m, the time of the groundwater table above the level of the drainage network will decrease by 5 and 7 days in the near and far future, respectively, while for the drainage network with spacing of 14 m, it will decrease by 4 and 7 days. Climate change will also reduce sub-surface outflow. Subsurface outflows will be smaller than those currently recorded on average by 11% and 17% and 12% and 18% for 7 m and 14 m spacing drainage networks, in the near and far future, respectively. The increase in rainfall intensity in the near and far future will result in a fivefold increase in surface outflow in comparison to the present situation. The simulations show that the greatest effectiveness of CD solutions will be achieved by starting the blocking of outflow from the drainage network on the 1st of March. The implementation of CD solutions since April in the near and far future will allow maintaining the groundwater table at the level presently observed for the conventional network (free drainage-FD). Full article
Show Figures

Graphical abstract

18 pages, 7364 KB  
Article
Sustainable Water Management in Agriculture—The Impact of Drainage Water Management on Groundwater Table Dynamics and Subsurface Outflow
by Mariusz Sojka, Michał Kozłowski, Rafał Stasik, Michał Napierała, Barbara Kęsicka, Rafał Wróżyński, Joanna Jaskuła, Daniel Liberacki and Jerzy Bykowski
Sustainability 2019, 11(15), 4201; https://doi.org/10.3390/su11154201 - 3 Aug 2019
Cited by 36 | Viewed by 7254
Abstract
The paper presents the results of the effects of control drainage (CD) on the groundwater table and subsurface outflow in Central Poland. The hydrologic model DRAINMOD was used to simulate soil water balance with drain spacing of 7 and 14 m, different initial [...] Read more.
The paper presents the results of the effects of control drainage (CD) on the groundwater table and subsurface outflow in Central Poland. The hydrologic model DRAINMOD was used to simulate soil water balance with drain spacing of 7 and 14 m, different initial groundwater Table 40, 60 and 80 cm b.s.l., and dates at the beginning of control drainage of 1 March, 15 March, 1 April, and 15 April. The CD restricts flow at the drain outlet to maintain a water table during the growing season. Simulations were made for the periods from March to September for the years 2014, 2017, and 2018, which were average, wet, and dry, respectively. The simulations showed a significant influence of the initial groundwater tables and date blocking the outflow from the drainage network on the obtained results. In the conditions of central Poland, the use of CD is rational only when it is started between 1 and 15 March. In this case, the groundwater table can be increased from 10 to 33 cm (7 m spacing) and from 10 to 41 cm (14 m spacing) in relation to the conventional system (free drainage—FD). In the case of blocking the outflow on 1 March, the reduction is about 80% on average in the period from March to September. With a delay in blocking the outflow, the impact of CDs decreases and ranges from 8% to 50%. Studies have shown that the proper use of the drainage network infrastructure complies with the idea of sustainable development, as it allows efficient water management, by reduction of the outflow and, thus, nitrates from agricultural areas. Furthermore, CD solutions can contribute to mitigating the effects of climate change on agriculture by reducing drought and flood risk. Full article
Show Figures

Graphical abstract

Back to TopTop