Effectiveness of Controlled Tile Drainage in Reducing Outflow and Nitrogen at the Scale of the Drainage System
Abstract
1. Introduction
2. Materials and Methods
2.1. Study Area Description
2.2. Modeling Procedure
2.3. Calibration and Validation of the Model
2.4. Calculations of Drainage Water Quality
2.5. Measures of Accuracy and Variable Correlation
3. Results
3.1. Quality of the Model
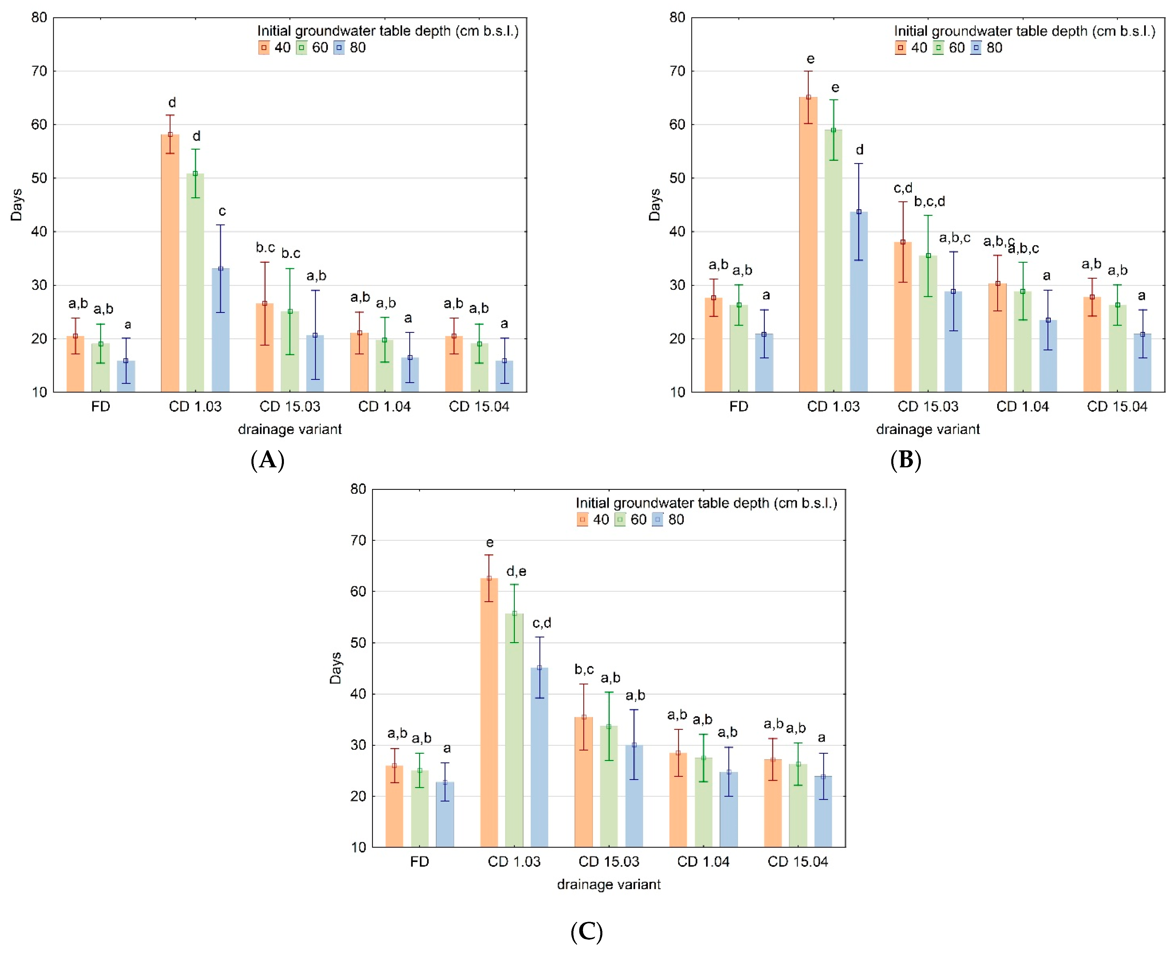
3.2. Groundwater Table Depth
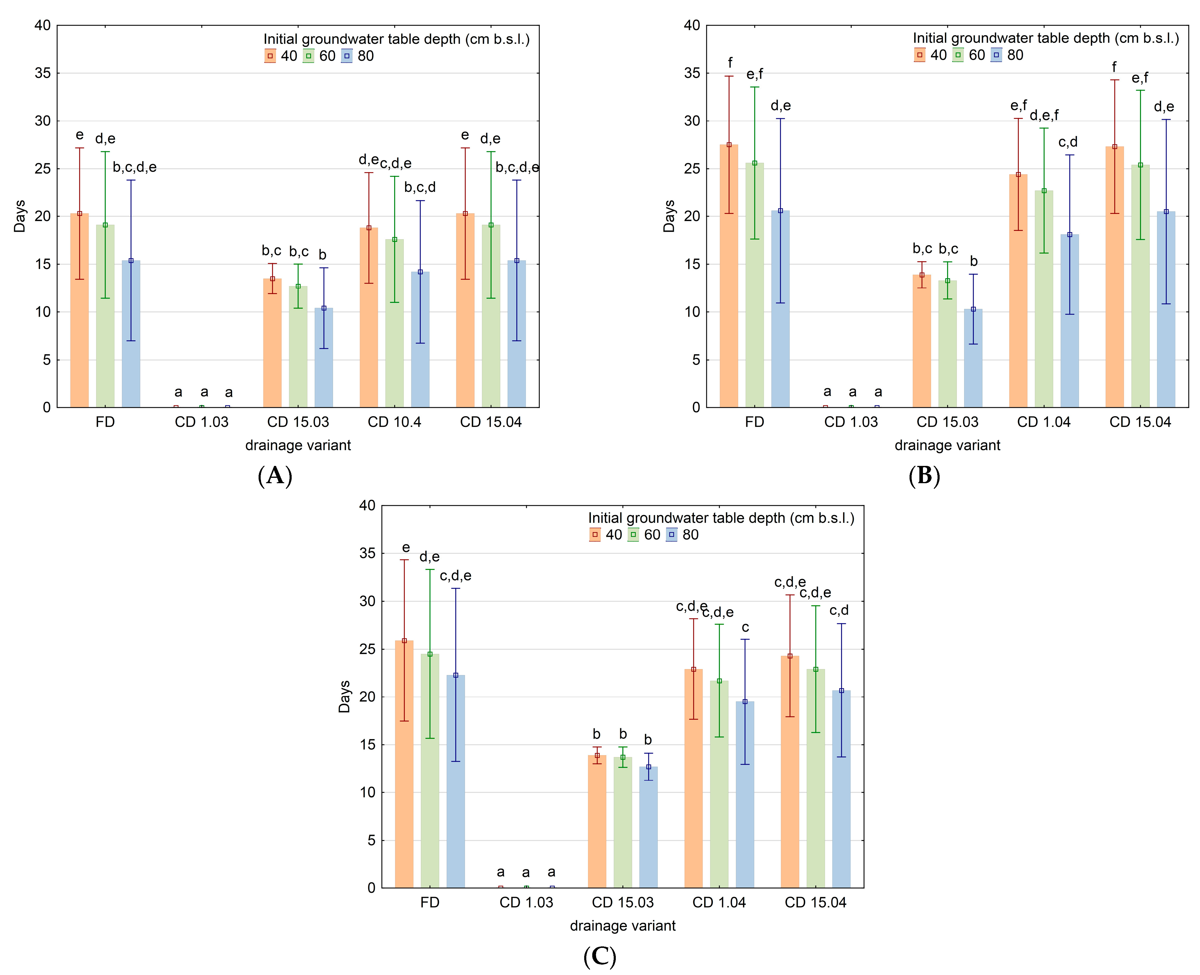
3.3. Subsurface Drainage Outflows
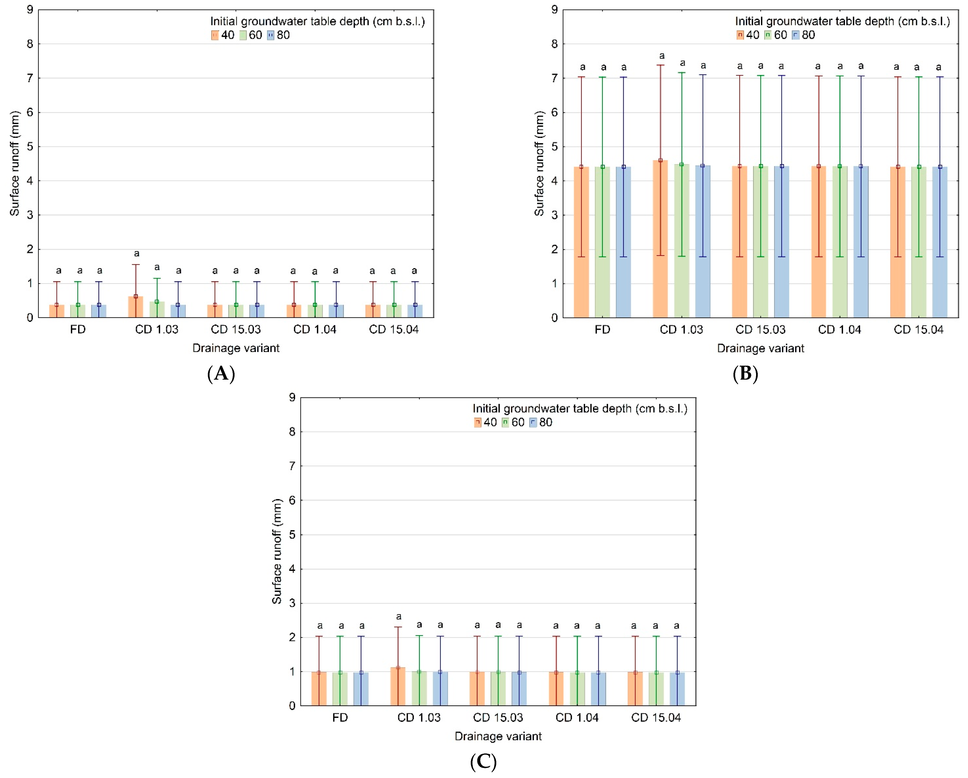
3.4. Surface Runoff
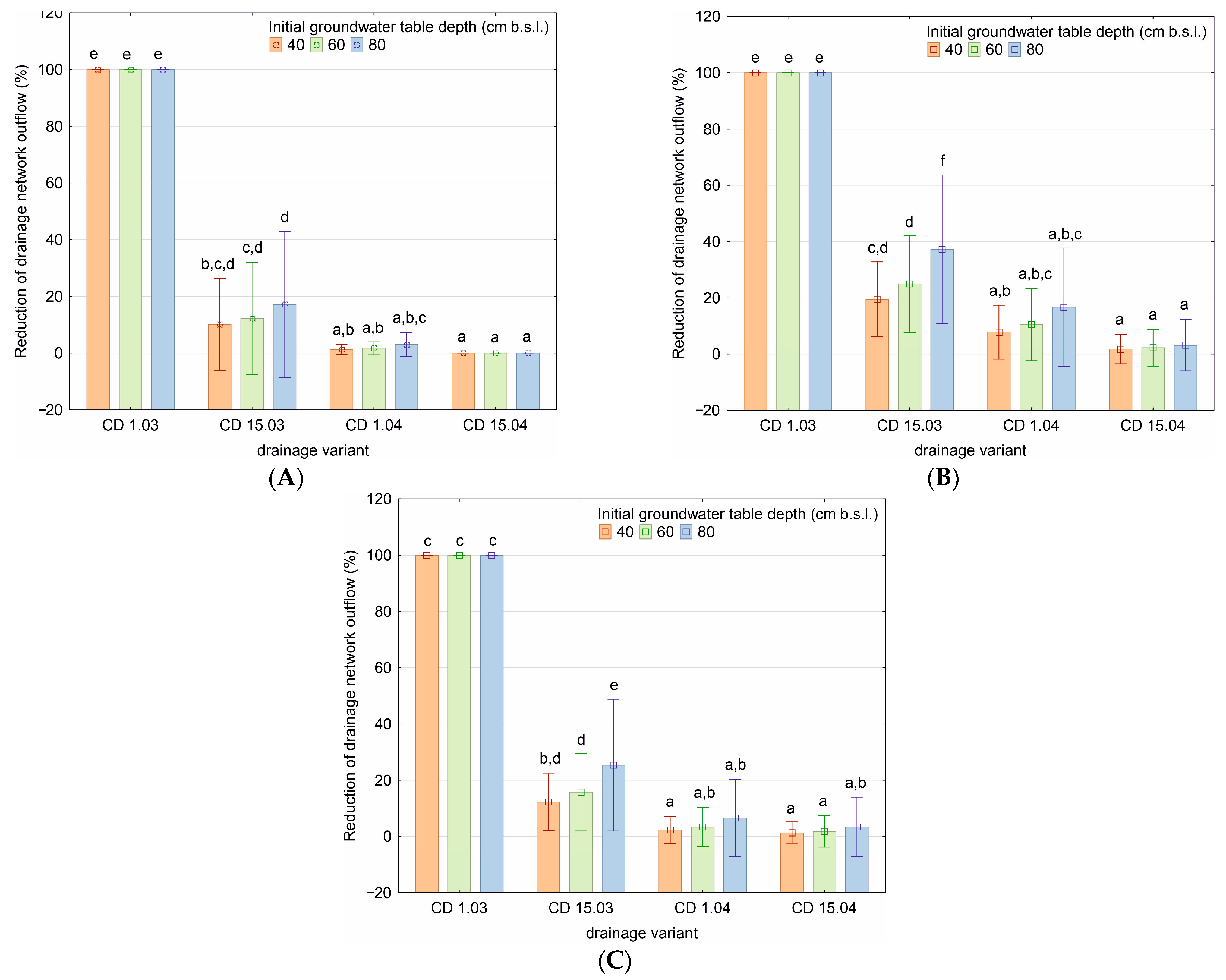
3.5. Nitrate Outflow Reduction
4. Discussion
5. Conclusions
- The control of water outflow from the drained field in the Wielkopolska region using CD practice proved to be the best strategy when starting from 1 to 15 March. The simulation showed the best performance by reducing the drainage outflow and thus reducing nutrient losses. An increase in the groundwater table during CD practice does not affect the surface runoff in relation to FD.
- Starting the CD practice on 1 to 15 March can reduce drainage outflow by 37–100%, 25–100%, and 17–100% in wet, normal, and dry years, respectively. The amount of drainage outflow that will result from the later decision (1 to 15 April) to run the CD is statistically similar to those drainage outflows for the FD.
- In dry years, starting CD practices in the period of 1 to 15 March makes it possible to significantly raise the groundwater table and to extend its duration above the level of drains, by an average of 33–58 days when compared to FD. In wet and normal years, the extension is similar, at about 55 days. An increase of groundwater in the analyzed flat arable area does not affect the surface runoff.
- The most effective reduction of NO3-N losses was observed for CD practice from 1 to 15 March. This reduction is approximately twice as high in wet years in comparison to dry years. The later start of CD practices has no significant effect on NO3-N reduction compared to FD.
- The application of CD under the conditions of the analyzed drainage facility makes it possible to significantly reduce the discharge of NO3-N. With this technique, it is possible to retain up to 22 kg of NO3-N per hectare.
Author Contributions
Funding
Data Availability Statement
Conflicts of Interest
References
- Granstedt, A.; Schneider, T.; Seuri, P.; Thomsson, O. Ecological Recycling Agriculture to Reduce Nutrient Pollution to the Baltic Sea. Biol. Agric. Hortic. 2008, 26, 279–307. [Google Scholar] [CrossRef]
- McIsaac, G. Surface water pollution by nitrogen fertilizers. Encycl. Water Sci. 2003, 2003, 950–955. [Google Scholar] [CrossRef]
- Norse, D. Non-point pollution from crop production: Global, regional and national issues. Pedosphere 2005, 15, 499–508. [Google Scholar]
- Smith, L.E.; Siciliano, G. A comprehensive review of constraints to improved management of fertilizers in China and mitigation of diffuse water pollution from agriculture. Agric. Ecosyst. Environ. 2015, 209, 15–25. [Google Scholar] [CrossRef]
- Verhoeven, J.T.; Arheimer, B.; Yin, C.; Hefting, M.M. Regional and global concerns over wetlands and water quality. Trends Ecol. Evol. 2006, 21, 96–103. [Google Scholar] [CrossRef]
- Savci, S. Investigation of effect of chemical fertilizers on environment. Apcbee Procedia 2012, 1, 287–292. [Google Scholar] [CrossRef]
- Rose, L.A.; Sebestyen, S.D.; Elliott, E.M.; Koba, K. Drivers of atmospheric nitrate processing and export in forested catchments. Water Resour. Res. 2015, 51, 1333–1352. [Google Scholar] [CrossRef]
- Nikolenko, O.; Jurado, A.; Borges, A.V.; Knӧller, K.; Brouyѐre, S. Isotopic composition of nitrogen species in groundwater under agricultural areas: A review. Sci. Total Environ. 2018, 621, 1415–1432. [Google Scholar] [CrossRef] [PubMed]
- Lintern, A.; McPhillips, L.; Winfrey, B.; Duncan, J.; Grady, C. Best Management Practices for Diffuse Nutrient Pollution: Wicked Problems across Urban and Agricultural Watersheds. Environ. Sci. Technol. 2020, 54, 9159–9174. [Google Scholar] [CrossRef]
- Lee, C.M.; Hamm, S.Y.; Cheong, J.Y.; Kim, K.; Yoon, H.; Kim, M.; Kim, J. Contribution of nitrate-nitrogen concentration in groundwater to stream water in an agricultural head watershed. Environ. Res. 2020, 184, 109313. [Google Scholar] [CrossRef]
- L 327/1; Directive 2000/60/EC of the European Parliament and of the Council of 23rd October 2000 Establishing a Framework for Community Action in the Field of Water Policy. European Commission: Brussels, Belgium, 2000.
- OJ L 375; Council Directive 91/676/EEC of 12 December 1991 Concerning the Protection of Waters against Pollution Caused by Nitrates from Agricultural Sources. European Commission: Brussels, Belgium, 1991; pp. 1–8.
- OJ L 309; Directive 2009/128/EC of the European Parliament and of the Council of 21 October 2009 Establishing a Framework for Community Action to Achieve the Sustainable Use of Pesticides. European Commission: Brussels, Belgium, 2009; pp. 71–86.
- Kundzewicz, Z.W. Adaptation to floods and droughts in the Baltic Sea basin under climate change. Boreal Environ. Res. 2009, 14, 193–203. Available online: http://www.borenv.net/BER/archive/ber141.htm (accessed on 8 April 2022).
- Poikane, S.; Kelly, M.G.; Herrero, F.S.; Pitt, J.A.; Jarvie, H.P.; Claussen, U.; Leujak, W.; Solheim, A.L.; Teixeira, H.; Phillips, G. Nutrient criteria for surface waters under the European Water Framework Directive: Current state-of-the-art, challenges and future outlook. Sci. Total Environ. 2019, 695, 133888. [Google Scholar] [CrossRef] [PubMed]
- Poikane, S.; Phillips, G.; Birk, S.; Free, G.; Kelly, M.G.; Willby, N.J. Deriving nutrient criteria to support ‘good’ ecological status in European lakes: An empirically based approach to linking ecology and management. Sci. Total Environ. 2019, 650, 2074–2084. [Google Scholar] [CrossRef] [PubMed]
- EEA [European Environment Agency]. European Waters—Assessment of Status and Pressures 2018; EEA Report 7/2018; Publications Office of the European Union: Luxembourg, 2018. [Google Scholar]
- Spinoni, J.; Naumann, G.; Vogt, J.; Barbosa, P. Meteorological Droughts in Europe: Events and Impacts—Past Trends and Future Projections. 2016. Available online: http://www.droughtmanagement.info/literature/EC-JRC_Report%20on%20Droughts%20in%20Europe_2016.pdf (accessed on 8 April 2022).
- Spinoni, J.; Vogt, J.V.; Naumann, G.; Barbosa, P.; Dosio, A. Will drought events become more frequent and severe in Europe? Int. J. Climatol. 2018, 38, 1718–1736. [Google Scholar] [CrossRef]
- Rakovec, O.; Samaniego, L.; Hari, V.; Markonis, Y.; Moravec, V.; Thober, S.; Hanel, M.; Kumar, R. The 2018–2020 Multi-Year Drought Sets a New Benchmark in Europe. Earth’s Future 2022, 10, e2021EF002394. [Google Scholar] [CrossRef]
- Łabędzki, L. Problematyka susz w Polsce. Woda-Sr.-Obsz. Wiej. 2004, 4, 47–66. (In Polish) [Google Scholar]
- Zamorowska, K. Plan Przeciwdziałania Skutkom Suszy—Po raz Pierwszy, za 6 lat Aktualizacja. Available online: https://www.teraz-srodowisko.pl/aktualnosci/rozporzadzenie-przyjecie-plan-przeciwdzialania-skutkom-suszy-MI-9827.html (accessed on 20 April 2022).
- Wanders, N.; Wada, Y. Human and climate impacts on the 21st century hydrological drought. J. Hydrol. 2015, 526, 208–220. [Google Scholar] [CrossRef]
- Kopittke, P.M.; Menzies, N.W.; Wang, P.; McKenna, B.A.; Lombi, E. Soil and the intensification of agriculture for global food security. Environ. Int. 2019, 132, 105078. [Google Scholar] [CrossRef]
- Wreford, A.; Topp, C.F. Impacts of climate change on livestock and possible adaptations: A case study of the United Kingdom. Agric. Syst. 2020, 178, 102737. [Google Scholar] [CrossRef]
- Al-Mukhtar, M. Modeling of pan evaporation based on the development of machine learning methods. Theor. Appl. Climatol. 2021, 146, 961–979. [Google Scholar] [CrossRef]
- Al-Mukhtar, M.; Dunger, V.; Merkel, B. Runoff and sediment yield modeling by means of WEPP in the Bautzen dam catchment, Germany. Environ. Earth Sci. 2014, 72, 2051–2063. [Google Scholar] [CrossRef]
- Chartzoulakis, K.; Bertaki, M. Sustainable water management in agriculture under climate change. Agric. Sci. Procedia 2015, 4, 88–98. [Google Scholar] [CrossRef]
- Hunink, J.; Simons, G.; Suárez-Almiñana, S.; Solera, A.; Andreu, J.; Giuliani, M.; Zamberletti, P.; Grillakis, M.; Koutroulis, A.; Tsanis, I.; et al. A Simplified Water Accounting Procedure to Assess Climate Change Impact on Water Resources for Agriculture across Different European River Basins. Water 2019, 11, 1976. [Google Scholar] [CrossRef]
- Sojka, M.; Kozłowski, M.; Kęsicka, B.; Wróżyński, R.; Stasik, R.; Napierała, M.; Jaskuła, J.; Liberacki, D. The Effect of Climate Change on Controlled Drainage Effectiveness in the Context of Groundwater Dynamics, Surface, and Drainage Outflows. Central-Western Poland Case Study. Agronomy 2020, 10, 625. [Google Scholar] [CrossRef]
- D’Odorico, P.; Chiarelli, D.D.; Rosa, L.; Bini, A.; Zilberman, D.; Rulli, M.C. The global value of water in agriculture. Proc. Natl. Acad. Sci. USA 2020, 117, 21985–21993. [Google Scholar] [CrossRef]
- WHO. Guidelines for drinking-water quality. Fourth edition. WHO Chron. 2011, 38, 398–403. [Google Scholar]
- Minister of Health. Regulation on the quality of water intended for human consumption. J. Laws 2017, poz. 2294. (In Polish) [Google Scholar]
- Minister of Maritime Economy and Inland Navigation. Regulation on the classification of ecological status, ecological potential, chemical status and the method of classifying the status of surface water bodies as well as environmental quality standards for priority substances. J. Laws 2019, poz. 2149. (In Polish) [Google Scholar]
- Sojka, M.; Jaskuła, J.; Wicher-Dysarz, J. Ocena ładunków związków biogennych wymywanych ze zlewni rzeki Głównej w latach 1996–2009 (Assessment of Biogenic Compounds Elution from the Główna River Catchment in the Years 1996–2009). Rocz. Ochr. Srodowiska 2016, 18, 815–830. (In Polish) [Google Scholar]
- Jaskuła, J.; Wicher-Dysarz, J.; Sojka, M.; Dysarz, T. Ocena zmian zawartości związków biogennych w wodach rzeki Ner (The evaluation of nutrients concentrations variability in the Ner river). Inż. Ekol. 2016, 46, 31–37. [Google Scholar] [CrossRef]
- Burzyńska, I. Monitoring of selected fertilizer nutrients in surface waters and soils of agricultural land in the river valley in Central Poland. J. Water Land Dev. 2019, 43, 41–48. [Google Scholar] [CrossRef]
- Zabłocki, S.; Murat-Błażejewska, S.; Trzeciak, J.A.; Błażejewski, R. High-resolution mapping to assess risk of groundwater pollution by nitrates from agricultural activities in Wielkopolska Province, Poland. Arch. Environ. Prot. 2022, 48, 41–57. [Google Scholar] [CrossRef]
- Janicka, E.; Kanclerz, J.; Wiatrowska, K.; Budka, A. Variability of Nitrogen and Phosphorus Content and Their Forms in Waters of a River-Lake System. Front. Environ. Sci. 2022, 10, 874754. [Google Scholar] [CrossRef]
- Fedorczyk, M.; Gołaszewska, S.; Kieliszek, Z.; Maciejewska, P.; Miksa, J.; Zacharkiewicz, W.; Łaszewski, M. Przestrzenne zróżnicowanie stężenia związków biogennych w zlewni nizinnej podczas suszy w 2019 r. (Spatial differentiation of the concentration of compounds biogenic in the lowland catchment during drought in 2019). In Naturalne i Antropogeniczne Zmiany Obiegu Wody. Współczesne Problemy i Kierunki Badań; Wrzesiński, D., Graf, R., Perz, A., Plewa, K., Eds.; Bogucki Wyd. Nauk.: Poznań, Poland, 2020; pp. 33–48. [Google Scholar]
- Carstensen, M.V.; Hashemi, F.; Hoffmann, C.C.; Zak, D.; Audet, J.; Kronvang, B. Efficiency of mitigation measures targeting nutrient losses from agricultural drainage systems: A review. Ambio 2020, 49, 1820–1837. [Google Scholar] [CrossRef] [PubMed]
- Hoffmann, C.C.; Zak, D.; Kronvang, B.; Kjaergaard, C.; Carstensen, M.V.; Audet, J. An overview of nutrient transport mitigation measures for improvement of water quality in Denmark. Ecol. Eng. 2020, 155, 105863. [Google Scholar] [CrossRef]
- de Wit, J.A.; Ritsema, C.J.; van Dam, J.C.; van Den Eertwegh, G.A.P.H.; Bartholomeus, R.P. Development of subsurface drainage systems: Discharge–retention–recharge. Agric. Water Manag. 2022, 269, 107677. [Google Scholar] [CrossRef]
- Skaggs, R.W.; Fausey, N.R.; Evans, R.O. Drainage water management. J. Soil Water Conserv. 2012, 67, 167A–172A. [Google Scholar] [CrossRef]
- Carstensen, M.V.; Børgesen, C.D.; Ovesen, N.B.; Poulsen, J.R.; Hvid, S.K.; Kronvang, B. Controlled drainage as a targeted mitigation measure for nitrogen and phosphorus. J. Environ. Qual. 2019, 48, 677–685. [Google Scholar] [CrossRef] [PubMed]
- Lalonde, V.; Madramootoo, C.A.; Trenholm, L.; Broughton, R.S. Effects of controlled drainage on nitrate concentrations in subsurface drain discharge. Agric. Water Manag. 1996, 29, 187–199. [Google Scholar] [CrossRef]
- Drury, C.F.; Tan, C.S.; Reynolds, W.D.; Welacky, T.W.; Oloya, T.O.; Gaynor, J.D. Managing tile drainage, subirrigation, and nitrogen fertilization to enhance crop yields and reduce nitrate loss. J. Environ. Qual. 2009, 38, 1193–1204. [Google Scholar] [CrossRef]
- Wesström, I.; Joel, A.; Messing, I. Controlled drainage and subirrigation—A water management option to reduce non-point source pollution from agricultural land. Agric. Ecosyst. Environ. 2014, 198, 74–82. [Google Scholar] [CrossRef]
- Schott, L.; Lagzdins, A.; Daigh, A.L.M.; Craft, K.; Pederson, C.; Brenneman, G.; Helmers, M.J. Drainage water management effects over five years on water tables, drainage, and yields in southeast Iowa. J. Soil Water Conserv. 2017, 72, 251–259. [Google Scholar] [CrossRef]
- Wesström, I.; Messing, I. Effects of controlled drainage on N and P losses and N dynamics in a loamy sand with spring crops. Agric. Water Manag. 2007, 87, 229–240. [Google Scholar] [CrossRef]
- Thorp, K.R.; Jaynes, D.; Malone, R.W. Simulating the long-term performance of drainage water management across the midwestern United States. Trans. ASABE 2008, 51, 961–976. [Google Scholar] [CrossRef]
- Crabbé, P.; Lapen, D.R.; Clark, H.; Sunohara, M.; Liu, Y. Economic benefits of controlled tile drainage: Watershed evaluation of beneficial management practices, South Nation river basin, Ontario. Water Qual. Res. J. Can. 2012, 47, 30–41. [Google Scholar] [CrossRef]
- Poole, C.A.; Skaggs, R.W.; Cheschier, G.M.; Youssef, M.A.; Crozier, C.R. Effects of drainage water management on crop yields in North Carolina. J. Soil Water Conserv. 2013, 68, 429–437. [Google Scholar] [CrossRef]
- Cooke, R.; Verma, S. Performance of drainage water management systems in Illinois, United States. J. Soil Water Conserv. 2012, 67, 453–464. [Google Scholar] [CrossRef]
- Ghane, E.; Fausey, N.R.; Shedekar, V.S.; Piepho, H.P.; Shang, Y.; Brown, L.C. Crop yield evaluation under controlled drainage in Ohio, United States. J. Soil Water Conserv. 2012, 67, 465–473. [Google Scholar] [CrossRef]
- Helmers, M.; Christianson, R.; Brenneman, G.; Lockett, D.; Pederson, C. Water table, drainage, and yield response to drainage water management in southeast Iowa. J. Soil Water Conserv. 2012, 67, 495–501. [Google Scholar] [CrossRef]
- Abdelbaki, A. DRAINMOD simulated impact of future climate change on agriculture drainage systems. Asian Trans. Eng. 2015, 5, 13–18. [Google Scholar]
- Pease, L.A.; Fausey, N.R.; Martin, J.F.; Brown, L.C. Projected climate change effects on subsurface drainage and the performance of controlled drainage in the Western Lake Erie Basin. J. Soil Water Conserv. 2017, 72, 240–250. [Google Scholar] [CrossRef]
- Iuss Working Group Wrb. World Reference Base for Soil Resources 2014, Update 2015: International Soil Classification System for Naming Soils and Creating Legends for Soil Maps; World Soil Resources Reports; FAO: Rome, Italy, 2015. [Google Scholar]
- ISO 11277:2009; Soil Quality—Determination of Particle Size Distribution in Mineral Soil Material—Method by Sieving and Sedimentation. International Organization for Standardization: Geneva, Switzerland, 2009.
- Schoeneberger, P.J.; Wysocki, D.A.; Benham, E.C.; Soil Survey Staff. Field Book for Describing and Sampling Soils, Version 3.0; Natural Resources Conservation Service, National Soil Survey Center: Lincoln, NE, USA, 2012.
- ISO 11272:2017; Soil Quality—Determination of Dry Bulk Density. International Organization for Standardization: Geneva, Switzerland, 2007.
- Campbell, G.S.; Gee, G.W. Water potential: Miscellaneous methods. In Methods of Soil Analysis. Part I. Physical and Mineralogical Methods, 2nd ed.; Klute, A., Ed.; American Society of Agronomy: Madison, WI, USA, 1986; pp. 619–633. [Google Scholar]
- Klute, A. Water retention: Laboratory methods. In Methods of Soil Analysis. Part I. Physical and Mineralogical Methods, 2nd ed.; Klute, A., Ed.; American Society of Agronomy: Madison, WI, USA, 1986; pp. 635–660. [Google Scholar]
- Van Genuchten, M.V.; Leij, F.J.; Yates, S.R. The RETC Code for Quantifying the Hydraulic Functions of Unsaturated Soils; Rep.EPA-600/2-91/065; U.S. Environmental Protection Agency: Ada, OK, USA, 1991. Available online: https://www.pc-progress.com/Documents/programs/retc.pdf (accessed on 8 April 2022).
- Mualem, Y. A new model for predicting the hydraulic conductivity of unsaturated porous media. Water Resour. Res. 1976, 12, 513–522. [Google Scholar] [CrossRef]
- Klute, A.; Dirksen, C. Hydraulic conductivity of saturated soils: Laboratory methods. In Methods of Soil Analysis. Part I. Physical and Mineralogical Methods, 2nd ed.; Klute, A., Ed.; American Society of Agronomy: Madison, WI, USA, 1986; pp. 687–732. [Google Scholar]
- PN-EN 26777:1999; Jakość Wody—Oznaczanie Azotynów—Metoda Absorpcyjnej Spektrometrii Cząsteczkowej. Polish Committee for Standardization: Warsaw, Poland, 1999.
- Skaggs, R.W.; Youssef, M.A.; Chescheir, G.M. DRAINMOD: Model use, calibration, and validation. Trans. ASABE 2012, 55, 1509–1522. [Google Scholar] [CrossRef]
- Willmott, C.J. On the validation of models. Phys. Geogr. 1981, 2, 184–194. [Google Scholar] [CrossRef]
- Loague, K.; Green, R.E. Statistical and graphical methods for evaluating solute transport models: Overview and application. J. Contam. Hydrol. 1991, 7, 51–73. [Google Scholar] [CrossRef]
- Sojka, M.; Kozłowski, M.; Stasik, R.; Napierała, M.; Kęsicka, B.; Wróżyński, R.; Jaskuła, J.; Liberacki, D.; Bykowski, J. Sustainable Water Management in Agriculture—The Impact of Drainage Water Management on Groundwater Table Dynamics and Subsurface Outflow. Sustainability 2019, 11, 4201. [Google Scholar] [CrossRef]
- Skaggs, R.W.; Breve, M.A.; Gilliam, J.W. Predicting effects of water table management on loss of nitrogen from poorly drained soils. Eur. J. Agron. 1995, 4, 441–451. [Google Scholar] [CrossRef]
- Ale, S.; Bowling, L.C.; Brouder, S.M.; Frankenberger, J.R.; Youssef, M.A. Simulated effect of drainage water management operational strategy on hydrology and crop yield for Drummer soil in the Midwestern United States. Agric. Water Manag. 2009, 96, 653–665. [Google Scholar] [CrossRef]
- Skaggs, R.W.; Youssef, M.A.; Gilliam, J.W.; Evans, R.O. Effect of controlled drainage on water and nitrogen balances in drained lands. Trans. ASABE 2010, 53, 1843–1850. [Google Scholar] [CrossRef]
- Ale, S.; Bowling, L.C.; Owens, P.R.; Brouder, S.M.; Frankenberger, J.R. Development and application of a distributed modelling approach to assess the watershed-scale impact of drainage water management. Agric. Water Manag. 2012, 107, 23–33. [Google Scholar] [CrossRef]
- Gunn, K.M.; Fausey, N.R.; Shang, Y.; Shedekar, V.S.; Ghane, E.; Wahl, M.D.; Brown, L.C. Subsurface drainage volume reduction with drainage water management: Case studies in Ohio, USA. Agric. Water Manag. 2015, 149, 131–142. [Google Scholar] [CrossRef]
- Williams, M.R.; King, K.W.; Fausey, N.R. Drainage water management effects on tile discharge and water quality. Agric. Water Manag. 2015, 148, 43–51. [Google Scholar] [CrossRef]
- Negm, L.M.; Youssef, M.A.; Jaynes, D.B. Evaluation of DRAINMOD-DSSAT simulated effects of controlled drainage on crop yield, water balance, and water quality for a corn-soybean cropping system in central Iowa. Agric. Water Manag. 2017, 187, 57–68. [Google Scholar] [CrossRef]
- Youssef, M.A.; Abdelbaki, A.M.; Negm, L.M.; Skaggs, R.W.; Thorp, K.R.; Jaynes, D.B. DRAINMOD-simulated performance of controlled drainage across the U.S. Midwest. Agric. Water Manag. 2018, 197, 54–66. [Google Scholar] [CrossRef]
- El-Sadek, A.; Feyen, J.; Ragab, R. Simulation of nitrogen balance of maize field under different drainage strategies using the DRAINMOD-N model. Irrig. Drain. 2002, 51, 61–75. [Google Scholar] [CrossRef]
- Singh, R.; Helmers, M.J.; Crumpton, W.G.; Lemke, D.W. Predicting effects of drainage water management in Iowa’s subsurface drained landscapes. Agric. Water Manag. 2007, 92, 162–170. [Google Scholar] [CrossRef]
- Mehan, S.; Aggarwal, R.; Gitau, M.W.; Flanagan, D.C.; Wallace, C.W.; Frankenberger, J.R. Assessment of hydrology and nutrient losses in a changing climate in a subsurface-drained watershed. Sci. Total Environ. 2019, 688, 1236–1251. [Google Scholar] [CrossRef]
- Liu, Y.; Youssef, M.A.; Chescheir, G.M.; Appelboom, T.W.; Poole, C.A.; Arellano, C.; Skaggs, R.W. Effect of controlled drainage on nitrogen fate and transport for a subsurface drained grass field receiving liquid swine lagoon effluent. Agric. Water Manag. 2019, 217, 440–451. [Google Scholar] [CrossRef]
- Tolomio, M.; Borin, M. Water table management to save water and reduce nutrient losses from agricultural fields: 6 years of experience in North-Eastern Italy. Agric. Water Manag. 2018, 201, 1–10. [Google Scholar] [CrossRef]
- Tolomio, M.; Borin, M. Controlled drainage and crop production in a long-term experiment in North-Eastern Italy. Agric. Water Manag. 2019, 222, 21–29. [Google Scholar] [CrossRef]
- Wang, Z.; Shao, G.; Lu, J.; Zhang, K.; Gao, Y.; Ding, J. Effects of controlled drainage on crop yield, drainage water quantity and quality: A meta-analysis. Agric. Water Manag. 2020, 239, 106253. [Google Scholar] [CrossRef]
- Almen, K.; Jia, X.; DeSutter, T.; Scherer, T.; Lin, M. Impact of Controlled Drainage and Subirrigation on Water Quality in the Red River Valley. Water 2021, 13, 308. [Google Scholar] [CrossRef]
- Ma, L.; Malone, R.W.; Heilman, P.; Jaynes, D.B.; Ahuja, L.R.; Saseendran, S.A.; Kanwar, R.S.; Ascough II, J.C. RZWQM simulated effects of crop rotation, tillage, and controlled drainage on crop yield and nitrate-N loss in drain flow. Geoderma 2007, 140, 260–271. [Google Scholar] [CrossRef]
- Salazar, O.; Wesström, I.; Youssef, M.A.; Skaggs, R.W.; Joel, A. Evaluation of the DRAINMOD–N II model for predicting nitrogen losses in a loamy sand under cultivation in south-east Sweden. Agric. Water Manag. 2009, 96, 267–281. [Google Scholar] [CrossRef]
- Poole, C.A.; Skaggs, R.W.; Youssef, M.A.; Chescheir, G.M.; Crozier, C.R. Effect of drainage water management on nitrate nitrogen loss to tile drains in North Carolina. Trans. ASABE 2018, 61, 233–244. [Google Scholar] [CrossRef]






| Parameter | Unit | Soil Horizon | |||
|---|---|---|---|---|---|
| Ap | Bt | Cg or Ck | Ckg | ||
| Horizon thickness | cm | 36.0 | 20.75 | 29.5 | 60.0 |
| sand content (0.05–2.0 mm) | % | 70 | 64 | 67 | 64 |
| silt content (0.002–0.05 mm) | % | 21 | 16 | 16 | 19 |
| clay content (<0.002 mm) | % | 8 | 20 | 18 | 17 |
| soil bulk density | g cm−3 | 1.62 | 1.77 | 1.74 | 1.84 |
| organic carbon content Corg | % | 1.48 | 0.61 | 0.38 | 0.19 |
| Soil hydraulic parameters | |||||
| saturated water content | cm3 cm−3 | 0.358 | 0.315 | 0.326 | 0.298 |
| α | cm−1 | 0.0412 | 0.0511 | 0.0620 | 0.0443 |
| n | - | 1.2967 | 1.1620 | 1.1910 | 1.1522 |
| saturated hydraulic conductivity | cm day−1 | 43.5 | 11.8 | 14.8 | 7.5 |
| water drainage capacity | cm3 cm−3 | 0.127 | 0.076 | 0.098 | 0.062 |
| plant available water | cm3 cm−3 | 0.172 | 0.127 | 0.134 | 0.115 |
| Dry | Wet | Normal | |||||||
|---|---|---|---|---|---|---|---|---|---|
| P [mm] | Tmax [°C] | Tmin [°C] | P [mm] | Tmax [°C] | Tmin [°C] | P [mm] | Tmax [°C] | Tmin [°C] | |
| Range | 275–403 | 11.96–15.41 | 2.88–6.45 | 632–772 | 11.83–13.84 | 3.79–6.14 | 494–551 | 10.95–14.35 | 3.36–6.09 |
| Average | 355 | 13.62 | 4.71 | 689 | 12.99 | 4.80 | 519 | 12.73 | 4.34 |
| SD | 37.31 | 1.09 | 0.95 | 50.15 | 0.61 | 0.71 | 18.26 | 1.11 | 0.90 |
| Nutrient | Concentration [mg/L] | |||
|---|---|---|---|---|
| Range | Average | SD | V | |
| NO3-N | 14.01–87.98 | 42.33 | 17.33 | 300.35 |
| NO3 | 62.03–389.50 | 187.37 | 76.72 | 5886.36 |
| Year | RMSE [m] | CRM [%] | d [−] | EF [−] |
|---|---|---|---|---|
| calibration | ||||
| 2019 | 0.054 | 2.1 | 0.960 | 0.961 |
| validation | ||||
| 2020 | 0.069 | 2.9 | 0.947 | 0.947 |
| Drainage Variants | Initial GWT Variants (cm b.s.l.) | Average GWT for Years (cm b.s.l.) | ||||||
|---|---|---|---|---|---|---|---|---|
| Dry | Wet | Normal | ||||||
| FD | 40 | 155.7 ± 0.91 | e,f | 150.8 ± 0.89 | g,h | 152.3 ± 0.90 | f,g | |
| 60 | 156.4 ± 0.89 | e,f | 151.3 ± 0.88 | g,h | 152.8 ± 0.88 | f,g | ||
| 80 | 157.6 ± 0.87 | f | 152.1 ± 0.86 | h | 153.6 ± 0.87 | g | ||
| CD | 1.03 | 40 | 126.2 ± 1.09 | a | 117.0 ± 1.07 | a | 119.3 ± 1.09 | a |
| 60 | 136.5 ± 1.01 | b | 127.1 ± 0.98 | b | 129.7 ± 1.00 | b | ||
| 80 | 148.0 ± 0.94 | c | 138.8 ± 0.90 | c | 141.6 ± 0.92 | c | ||
| 15.03 | 40 | 151.0 ± 0.94 | c,d | 142.7 ± 0.88 | c,d | 146.5 ± 0.91 | c,d | |
| 60 | 152.1 ± 0.92 | c,d,e | 143.6 ± 0.87 | d,e | 147.4 ± 0.89 | d,e | ||
| 80 | 153.7 ± 0.90 | d,e,f | 145.2 ± 0.85 | d,e,f | 148.7 ± 0.88 | d,e,f | ||
| 1.04 | 40 | 155.0 ± 0.90 | d,e,f | 147.1 ± 0.87 | e,f,g | 150.1 ± 0.89 | d,e,f,g | |
| 60 | 155.7 ± 0.89 | e,f | 147.6 ± 0.86 | e,f,g | 150.6 ± 0.88 | d,e,f,g | ||
| 80 | 157.0 ± 0.87 | f | 148.6 ± 0.84 | f,g,h | 151.4 ± 0.86 | e,f,g | ||
| 15.04 | 40 | 155.4 ± 0.90 | d,e,f | 149.0 ± 0.87 | f,g,h | 150.8 ± 0.89 | d,e,f,g | |
| 60 | 156.1 ± 0.89 | e,f | 149.5 ± 0.85 | g,h | 151.3 ± 0.88 | e,f,g | ||
| 80 | 157.4 ± 0.87 | f | 150.4 ± 0.83 | g,h | 152.0 ± 0.86 | f,g | ||
| Drainage Variants | Initial GWT (cm b.s.l.) | Average Subsurface Drainage Outflows (mm) | ||||||
|---|---|---|---|---|---|---|---|---|
| Dry | Wet | Normal | ||||||
| FD | 40 | 48.0 ± 17.0 | f | 52.4 ± 13.7 | i | 52.2 ± 11.8 | g | |
| 60 | 31.8 ± 16.6 | d,e | 35.8 ± 13.5 | f,g | 35.7 ± 11.6 | e | ||
| 80 | 15.0 ± 15.8 | b,c | 18.4 ± 12.9 | c,d | 18.1 ± 11.3 | c | ||
| CD | 1.03 | 40 | 0.9 ± 0.2 | a | 1.1 ± 0.3 | a | 1.0 ± 0.2 | a |
| 60 | 0.7 ± 0.3 | a | 0.7 ± 0.2 | a | 0.7 ± 0.3 | a | ||
| 80 | 0.4 ± 0.3 | a | 0.4 ± 0.2 | a | 0.4 ± 0.2 | a | ||
| 15.03 | 40 | 40.7 ± 5.7 | e,f | 41.9 ± 6.9 | g,h | 43.6 ± 3.0 | f | |
| 60 | 25.0 ± 5.5 | c,d | 26.2 ± 6.8 | d,e | 27.7 ± 3.0 | d | ||
| 80 | 8.9 ± 4.9 | a,b | 10.0 ± 6.1 | b,c | 11.1 ± 2.8 | b | ||
| 1.04 | 40 | 47.2 ± 16.1 | f | 49.1 ± 12.3 | h,i | 49.3 ± 8.3 | f,g | |
| 60 | 31.1 ± 15.7 | d,e | 32.6 ± 12 | e,f | 32.9 ± 8.1 | d,e | ||
| 80 | 14.5 ± 14.9 | b,c | 15.4 ± 11.3 | c | 15.4 ± 7.8 | b,c | ||
| 15.04 | 40 | 48.0 ± 17.0 | f | 52.3 ± 13.7 | i | 50.3 ± 8.8 | g | |
| 60 | 31.8 ± 16.6 | d,e | 35.8 ± 13.4 | f,g | 33.8 ± 8.7 | d,e | ||
| 80 | 15.0 ± 15.8 | b,c | 18.3 ± 12.8 | c,d | 16.2 ± 8.3 | b,c | ||
| Drainage Variants | Initial GWT (cm b.s.l.) | Load NO3-N (kg ha−1) | ||||||
|---|---|---|---|---|---|---|---|---|
| Dry | Wet | Normal | ||||||
| FD | 40 | 20.32 | f | 22.16 | i | 22.11 | g | |
| 60 | 13.46 | d,e | 15.16 | f,g | 15.11 | e | ||
| 80 | 6.37 | b,c | 7.79 | c,d | 7.67 | c | ||
| CD | 1.03 | 40 | 0.00 | a | 0.00 | a | 0.00 | a |
| 60 | 0.00 | a | 0.00 | a | 0.00 | a | ||
| 80 | 0.00 | a | 0.00 | a | 0.00 | a | ||
| 15.03 | 40 | 17.25 | e,f | 17.75 | g,h | 18.46 | f | |
| 60 | 10.60 | c,d | 11.08 | d,e | 11.75 | d | ||
| 80 | 3.79 | a,b | 4.23 | b,c | 4.68 | b | ||
| 1.04 | 40 | 20.00 | f | 20.77 | h,i | 20.88 | f,g | |
| 60 | 13.16 | d,e | 13.80 | e,f | 13.90 | d,e | ||
| 80 | 6.12 | b,c | 6.52 | c | 6.51 | b,c | ||
| 15.04 | 40 | 20.32 | f | 22.14 | i | 21.28 | g | |
| 60 | 13.46 | d,e | 15.13 | f,g | 14.29 | d,e | ||
| 80 | 6.37 | b,c | 7.76 | c,d | 6.86 | b,c | ||
| Drainage Variants | Initial GWT (cm b.s.l.) | Reduction of NO3-N (%) | ||||||
|---|---|---|---|---|---|---|---|---|
| Dry | Wet | Normal | ||||||
| CD | 1.03 | 40 | 100 | e | 100 | e | 100 | c |
| 60 | 100 | e | 100 | e | 100 | c | ||
| 80 | 100 | e | 100 | e | 100 | c | ||
| 15.03 | 40 | 10.11 | b,c,d, | 19.48 | c,d | 12.20 | b,d | |
| 60 | 12.20 | c,d | 24.90 | d | 15.77 | d | ||
| 80 | 17.13 | d | 37.21 | f | 25.37 | e | ||
| 1.04 | 40 | 1.30 | a,b | 7.77 | a,b | 2.29 | a | |
| 60 | 1.70 | a,b | 10.44 | a,b,c | 3.31 | a,b | ||
| 80 | 3.04 | a,b,c | 16.63 | a,b,c | 6.54 | a,b | ||
| 15.04 | 40 | 0.00 | a | 1.74 | a | 1.24 | a | |
| 60 | 0.00 | a | 2.22 | a | 1.78 | a | ||
| 80 | 0.00 | a | 3.13 | a | 3.35 | a,b | ||
| Drainage Variants | Initial GWT (cm b.s.l.) | NO3-N (kg) | |||
|---|---|---|---|---|---|
| Dry | Wet | Normal | |||
| FD | 40 | 2166.87 | 2363.40 | 2357.79 | |
| 60 | 1435.21 | 1616.44 | 1611.56 | ||
| 80 | 679.19 | 830.53 | 818.15 | ||
| CD | 1.03 | 40 | 42.60 | 48.20 | 45.01 |
| 60 | 30.07 | 31.57 | 32.02 | ||
| 80 | 16.24 | 17.99 | 18.32 | ||
| 15.03 | 40 | 1839.40 | 1893.56 | 1969.08 | |
| 60 | 1130.39 | 1181.28 | 1252.61 | ||
| 80 | 403.77 | 450.69 | 499.15 | ||
| 1.04 | 40 | 2132.58 | 2214.98 | 2226.90 | |
| 60 | 1403.88 | 1471.62 | 1482.89 | ||
| 80 | 652.60 | 695.27 | 694.30 | ||
| 15.04 | 40 | 2166.87 | 2360.73 | 2269.10 | |
| 60 | 1435.21 | 1613.80 | 1523.53 | ||
| 80 | 679.19 | 828.02 | 731.78 | ||
Disclaimer/Publisher’s Note: The statements, opinions and data contained in all publications are solely those of the individual author(s) and contributor(s) and not of MDPI and/or the editor(s). MDPI and/or the editor(s) disclaim responsibility for any injury to people or property resulting from any ideas, methods, instructions or products referred to in the content. |
© 2023 by the authors. Licensee MDPI, Basel, Switzerland. This article is an open access article distributed under the terms and conditions of the Creative Commons Attribution (CC BY) license (https://creativecommons.org/licenses/by/4.0/).
Share and Cite
Kęsicka, B.; Kozłowski, M.; Stasik, R. Effectiveness of Controlled Tile Drainage in Reducing Outflow and Nitrogen at the Scale of the Drainage System. Water 2023, 15, 1814. https://doi.org/10.3390/w15101814
Kęsicka B, Kozłowski M, Stasik R. Effectiveness of Controlled Tile Drainage in Reducing Outflow and Nitrogen at the Scale of the Drainage System. Water. 2023; 15(10):1814. https://doi.org/10.3390/w15101814
Chicago/Turabian StyleKęsicka, Barbara, Michał Kozłowski, and Rafał Stasik. 2023. "Effectiveness of Controlled Tile Drainage in Reducing Outflow and Nitrogen at the Scale of the Drainage System" Water 15, no. 10: 1814. https://doi.org/10.3390/w15101814
APA StyleKęsicka, B., Kozłowski, M., & Stasik, R. (2023). Effectiveness of Controlled Tile Drainage in Reducing Outflow and Nitrogen at the Scale of the Drainage System. Water, 15(10), 1814. https://doi.org/10.3390/w15101814

