Simulating Water and Salt Migration through Soils with a Clay Layer and Subsurface Pipe Drainage System at Different Depths Using the DRAINMOD-S Model
Abstract
:1. Introduction
2. Materials and Methods
2.1. Study Area and Experimental Design
2.2. Sampling, Measurement, and Calculation
2.3. DRAINMOD-S Model
2.3.1. Model Description, Input Data, and Application
2.3.2. Calibration and Validation of the DRAINMOD-S Model
3. Results and Analysis
3.1. Model Evaluation
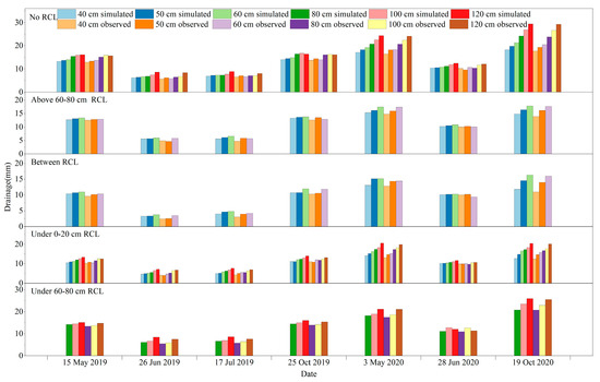
3.2. Effect of the Different RCL Distributions on Subsurface Pipe Drainage
3.3. Effects of the Different RCL Distributions on Soil Salinity and Desalting Rate under Subsurface Pipe Drainage
4. Discussion
4.1. Effect of the RCL Distribution on Soil Moisture
4.2. Effect of the RCL Distribution on Soil Salinity
5. Conclusions
- (1)
- The area and buried depth of the RCL in the profile affect the accuracy of the model simulation. The calibrated R2, MAE, and RMSE values were 0.60–0.90, 4.31–16.64 cm, and 5.39–17.88 cm, respectively. The NRMSE ranged from 7.36% to 27.08%, and DRAINMOD-S could be used to simulate and predict water and salt transport in the soil.
- (2)
- In the presence of the RCL, the drainage and salt discharge of the subsurface pipe can be increased by increasing the buried depth of the subsurface pipe to improve the soil desalination rate.
- (3)
- Under the same buried depth of the subsurface pipe, the amount of drainage and salt discharge when the subsurface pipe is located above the RCL is greater than that when the subsurface pipe is located below the RCL, and the desalination effect is the worst when the RCL is distributed above and below the subsurface pipe simultaneously. The shallower the RCL, the worse the salt drainage effect of the subsurface pipe.
Author Contributions
Funding
Data Availability Statement
Conflicts of Interest
References
- Sahab, S.; Suhani, I.; Srivastava, V.; Chauhan, P.S.; Singh, R.P.; Prasad, V. Potential risk assessment of soil salinity to agroecosystem sustainability: Current status and management strategies. Sci. Total Environ. 2021, 764, 144164. [Google Scholar] [CrossRef] [PubMed]
- Kerschbaumer, L.; Kobbing, J.F.; Ott, K.; Zerbe, S.; Thevs, N. Development scenarios on Hetao irrigation area (China): A qualitative analysis from social, economic and ecological perspectives. Environ. Earth Sci. 2015, 73, 815–834. [Google Scholar] [CrossRef]
- Chang, X.; Gao, Z.; Wang, S.; Chen, H. Modelling long-term soil salinity dynamics using SaltMod in Hetao irrigation district, China. Comp. Electron. Agric. 2019, 156, 447–458. [Google Scholar] [CrossRef]
- Feng, Z.Z.; Miao, Q.F.; Shi, H.B.; Feng, W.Y.; Li, X.Y.; Yan, J.W.; Liu, M.H.; Sun, W.; Dai, L.P.; Liu, J. Simulation of water balance and irrigation strategy of typical sand-layered farmland in the Hetao Irrigation District, China. Agric. Water Manag. 2023, 280, 108236. [Google Scholar] [CrossRef]
- Dou, X.; Shi, H.B.; Li, R.P.; Miao, Q.F.; Yan, J.W.; Tian, F.; Wang, B. Simulation and evaluation of soil water and salt transport under controlled subsurface drainage using HYDRUS-2D model. Agric. Water Manag. 2022, 273, 107899. [Google Scholar] [CrossRef]
- Feng, W.Y.; Wang, T.K.; Zhu, Y.R.; Sun, F.H.; Giesy, J.P.; Wu, F.C. Chemical composition, sources, and ecological effect of organic phosphorus in water ecosystems: A review. Carbon Res. 2023, 2, 12. [Google Scholar] [CrossRef]
- Feng, W.Y.; Yang, F.; Cen, R.; Liu, J.; Qu, Z.Y.; Miao, Q.F.; Chen, H.Y. Effects of straw biochar application on soil temperature, available nitrogen and growth of corn. J. Environ. Manag. 2021, 277, 111331. [Google Scholar] [CrossRef]
- Zhou, L.X.; Liu, W.; Duan, H.J.; Dong, H.W.; Li, J.C.; Zhang, S.X.; Zhang, J.; Ding, S.G.; Xu, T.Y.; Guo, B.B. Improved effects of combined application of nitrogen-fixing bacteria Azotobacter beijerinckii and microalgae Chlorella pyrenoidosa on wheat growth and saline-alkali soil quality. Chemosphere 2023, 313, 137409. [Google Scholar] [CrossRef]
- Sun, Z.W.; Ge, J.M.; Li, C.; Wang, Y.P.; Zhang, F.Z.; Lei, X.D. Enhanced improvement of soda saline-alkali soil by in-situ formation of super-stable mineralization structure based on CaFe layered double hydroxide and its large-scale application. Chemosphere 2022, 300, 134543. [Google Scholar] [CrossRef]
- Haj-Amor, Z.; Bouri, S. Subsurface drainage system performance, soil salinization risk, and shallow groundwater dynamic under irrigation practice in an arid land. Arabian J. Sci. Eng. 2018, 44, 467–477. [Google Scholar] [CrossRef]
- Askar, M.H.; Youssef, M.A.; Chescheir, G.M.; Negm, L.M.; King, K.W.; Hesterberg, D.L.; Amoozegar, A.; Skaggs, R.W. DRAINMOD Simulation of macropore flow at subsurface drained agricultural fields: Model modification and field testing. Agric. Water Manag. 2020, 242, 106401. [Google Scholar] [CrossRef]
- Revuelta-Acosta, J.D.; Flanagan, D.C.; Engel, B.A.; King, K.W. Improvement of the Water Erosion Prediction Project (WEPP) model for quantifying field scale subsurface drainage discharge. Agric. Water Manag. 2021, 244, 106597. [Google Scholar] [CrossRef]
- Takeshima, R.; Murakami, S.; Fujiwara, Y.; Nakano, K.; Fuchiyama, R.; Hara, T.; Shima, T.; Koyama, T. Subsurface drainage and raised-bed planting reduce excess water stress and increase yield in common buckwheat (Fagopyrum esculentum Moench). Field Crops Res. 2023, 297, 108935. [Google Scholar] [CrossRef]
- Pan, P.; Qi, Z.M.; Zhang, T.Q.; Ma, L.W. Modeling phosphorus losses to subsurface drainage under tillage and compost management. Soil Tillage Res. 2023, 227, 105587. [Google Scholar] [CrossRef]
- Tao, Y.; Li, N.; Wang, S.; Chen, H.; Guan, X.; Ji, M. Simulation study on performance of nitrogen loss of an improved subsurface drainage system for onetime drainage using HYDRUS-2D. Agric. Water Manag. 2021, 246, 106698. [Google Scholar] [CrossRef]
- Qian, Y.Z.; Zhu, Y.; Ye, M.; Huang, J.S.; Wu, J.W. Experiment and numerical simulation for designing layout parameters of subsurface drainage pipes in arid agricultural areas. Agric. Water Manag. 2021, 243, 106455. [Google Scholar] [CrossRef]
- Yoon, K.S.; Choi, J.K.; Son, J.G.; Cho, J.Y. Concentration profile of nitrogen and phosphorus in leachate of a paddy plot during the rice cultivation period in southern Korea. Commun. Soil Sci. Plant Anal. 2006, 37, 1957–1972. [Google Scholar] [CrossRef]
- Kale, S. Field-evaluation of DRAINMOD-S for predicting soil and drainage water salinity under semi-arid conditions in Turkey. Span. J. Agric. Res. 2011, 9, 1142–1155. [Google Scholar] [CrossRef]
- Hashemi, S.; Darzi-Naftchali, A.; Qi, Z.M. Assessing water and nitrate-N losses from subsurface-drained paddy lands by DRAINMOD-N II. Irrig. Drain. 2020, 69, 776–787. [Google Scholar] [CrossRef]
- Bou Lahdou, G.; Bowling, L.; Frankenberger, J.; Kladivko, E. Hydrologic controls of controlled and free draining subsurface drainage systems. Agric. Water Manag. 2019, 213, 605–615. [Google Scholar] [CrossRef]
- Kaur, H.; Nelson, K.A.; Singh, G.; Veum, K.S.; Davis, M.P.; Udawatta, R.P.; Kaur, G. Drainage water management impacts soil properties in floodplain soils in the midwestern, USA. Agric. Water Manag. 2023, 279, 108193. [Google Scholar] [CrossRef]
- Hay, C.H.; Reinhart, B.D.; Frankenberger, J.R.; Helmers, M.J.; Jia, X.; Nelson, K.A.; Youssef, M.A. Frontier: Drainage water recycling in the humid regions of the US: Challenges and opportunities. Trans. ASABE 2021, 64, 1095–1102. [Google Scholar] [CrossRef]
- Singh, G.; Nelson, K.A. Long-term drainage, subirrigation, and tile spacing effects on maize production. Field Crops Res. 2021, 262, 108032. [Google Scholar] [CrossRef]
- Pourgholam-Amiji, M.; Liaghat, A.; Ghameshlou, A.N.; Khoshravesh, M. The evaluation of DRAINMOD-S and AquaCrop models for simulating the salt concentration in soil profiles in areas with a saline and shallow water table. J. Hydrol. 2021, 598, 126259. [Google Scholar] [CrossRef]
- Ghane, E.; Askar, M.H. Predicting the effect of drain depth on profitability and hydrology of subsurface drainage systems across the eastern USA. Agric. Water Manag. 2021, 258, 107072. [Google Scholar] [CrossRef]
- Moursi, H.; Youssef, M.A.; Chescheir, G.M. Development and application of DRAINMOD model for simulating crop yield and water conservation benefits of drainage water recycling. Agric. Water Manag. 2022, 266, 107592. [Google Scholar] [CrossRef]
- Awad, A.; Luo, W.; El-Rawy, M. Improvement of the DRAINMOD model’s performance under time-variable surface storage capacities using neural network models. Ain Shams Eng. J. 2022, 13, 101699. [Google Scholar] [CrossRef]
- Lisenbee, W.A.; Hathaway, J.M.; Winston, R.J. Modeling bioretention hydrology: Quantifying the performance of DRAINMOD-Urban and the SWMM LID module. J. Hydrol. 2022, 612, 128179. [Google Scholar] [CrossRef]
- D’Angelo, B.; Bruand, A.; Qin, J.; Peng, X.; Hartmann, C.; Sun, B.; Hao, H.; Rozenbaum, O.; Muller, F. Origin of the high sensitivity of Chinese red clay soils to drought: Significance of the clay characteristics. Geodermas 2014, 223–225, 46–53. [Google Scholar] [CrossRef]
- Tong, W.; Chen, X.; Wen, X.; Chen, F.; Zhang, H.; Chu, Q.; Dikgwatlhe, S. Applying a salinity response function and zoning saline land for three field crops: A case study in the Hetao Irrigation District, Inner Mongolia, China. J. Integr. Agric. 2015, 14, 178–189. [Google Scholar] [CrossRef]
- Skaggs, R.W. Combination surface-subsurface drainage systems for humid regions. J. Irrig. Drain. Div. Am. Soc. Civil Eng. 1980, 106, 265–283. [Google Scholar] [CrossRef]
- Green, W.H.; Ampt, G.A. Studies on Soil Phyics. J. Agric. Sci. 1911, 4, 1–24. [Google Scholar] [CrossRef]
- Kirkham, D. Theory of land drainag. In Drainage of Agricultural Lands, Agronomy Monograph 7; Luthin, J.N., Ed.; American Society of Agronomy: Madison, WI, USA, 1957; pp. 139–181. [Google Scholar]
- Skaggs, R.W.; Youssef, M.A.; Chescheir, G.M. DRAINMOD: Model use, calibration, and validation. Trans. ASABE 2012, 55, 1509–1522. [Google Scholar] [CrossRef]
- FAO. Crop Evapotranspiration, Guidelines for Computing Crop Water Requirements; Irrig Drain Paper No. 56; FAO: Rome, Italy, 1998. [Google Scholar]
- Thornthwaite, C.W. An Approach toward a Rational Classification of Climate. Geogr. Rev. 1948, 38, 55–94. [Google Scholar] [CrossRef]
- Bannayan, M.; Hoogenboom, G. Using pattern recognition for estimating cultivar coefficients of a crop simulation model. Field Crops Res. 2009, 111, 290–302. [Google Scholar] [CrossRef]
- Masasi, B.; Taghvaeian, S.; Gowda, P.H.; Marek, G.; Boman, R. Validation and application of AquaCrop for irrigated cotton in the Southern Great Plains of US. Irrig. Sci. 2020, 38, 593–607. [Google Scholar] [CrossRef]
- Li, Y.; Zhang, H.B.; Fu, C.C.; Tu, C.; Luo, Y.M.; Christie, P. A red clay layer in soils of the Yellow River Delta: Occurrence, properties and implications for elemental budgets and biogeochemical cycles. Catena 2019, 172, 469–479. [Google Scholar] [CrossRef]
- Xin, P.; Dan, H.-C.; Zhou, T.; Lu, C.; Kong, J.; Li, L. An analytical solution for predicting the transient seepage from a subsurface drainage system. Adv. Water Resour. 2016, 91, 1–10. [Google Scholar] [CrossRef]
- Muhammad, E.; Ibrahim, M.; El-Sayed, A. Effects of drain depth on crop yields and salinity in subsurface drainage in Nile Delta of Egypt. Ain Shams Eng. J. 2021, 12, 1595–1606. [Google Scholar] [CrossRef]
- Liu, Y.; Ao, C.; Zeng, W.; Kumar Srivastava, A.; Gaiser, T.; Wu, J.; Huang, J. Simulating water and salt transport in subsurface pipe drainage systems with HYDRUS-2D. J. Hydrol. 2021, 592, 125823. [Google Scholar] [CrossRef]
- Yang, T.; Šimůnek, J.; Mo, M.; Mccullough-Sanden, B.; Shahrokhnia, H.; Cherchian, S.; Wu, L. Assessing salinity leaching efficiency in three soils by the HYDRUS-1D and -2D simulations. Soil Tillage Res. 2019, 194, 104342. [Google Scholar] [CrossRef]
- Yang, H.; Chen, Y.; Zhang, F.; Xu, T.; Cai, X. Prediction of salt transport in different soil textures under drip irrigation in an arid zone using the SWAGMAN Destiny model. Soil Res. 2016, 54, 869–879. [Google Scholar] [CrossRef]
- Chen, L.; Feng, Q.; Wang, Y.; Yu, T. Water and salt movement under saline water irrigation in soil with clay interlayer. Trans. Chin. Soc. Agric. Eng. 2012, 28, 44–51, (In Chinese with English Abstract). [Google Scholar]
- Yao, R.; Gao, Q.C.; Liu, Y.X.; Li, H.Q.; Yang, J.S.; Bai, Y.C.; Zhu, H.; Wang, X.P.; Xie, W.P.; Zhang, X. Deep vertical rotary tillage mitigates salinization hazards and shifts microbial community structure in salt-affected anthropogenic-alluvial soil. Soil Tillage Res. 2023, 227, 105627. [Google Scholar] [CrossRef]
- Wu, F.; Zhai, L.C.; Xu, P.; Zhang, Z.B.; Elamin, H.B.; Lemessa, N.T.; Roy, N.K.; Jia, X.L.; Guo, H.Q. Effects of deep vertical rotary tillage on the grain yield and resource use efficiency of winter wheat in the Huang-Huai-Hai Plain of China. J. Integr. Agric. 2021, 20, 593–605. [Google Scholar] [CrossRef]




| Depth (cm) | Particle Composition/% | Soil Texture | Bulk Density (g·cm−3) | Soil Salt Content (g·kg−1) | Field Capacity (cm3 cm−3) | Saturated Hydraulic Conductivity (cm·day−1) | ||
|---|---|---|---|---|---|---|---|---|
| Sand | Clay | Silt | ||||||
| 0–20 | 9.46 | 9.04 | 81.50 | Silt | 1.46 | 23.51 | 33.08 | 1.92 |
| 20–40 | 21.98 | 12.51 | 65.51 | Silt loam | 1.46 | 18.22 | 35.22 | 3.12 |
| 40–60 | 25.27 | 14.14 | 60.59 | Silt loam | 1.49 | 15.53 | 35.53 | 3.36 |
| 60–80 | 3.36 | 10.70 | 85.94 | Silt | 1.50 | 11.79 | 36.19 | 2.16 |
| 80–100 | 25.91 | 13.37 | 60.72 | Silt loam | 1.51 | 10.60 | 36.71 | 3.59 |
| Parameter Type | Concrete Parameters (Degree of Sensitivity) | Calibration Parameter Values | Unit |
|---|---|---|---|
| Climate | Maximum and minimum daily temperatures | The micro weather station (HOBO-U30) | °C |
| Amount of rain daily | The micro weather station (HOBO-U30) | mm | |
| PET | Penman–Monteith | mm | |
| Soil | Saturated hydraulic conductivity (0–20 cm, RCL, highly sensitive) | 0.5 | mm/h |
| Saturated hydraulic conductivity (20–40 cm, highly sensitive) | 1.1 | mm/h | |
| Saturated hydraulic conductivity (40–60 cm, highly sensitive) | 1.3 | mm/h | |
| Saturated hydraulic conductivity (60–80 cm, RCL, highly sensitive) | 0.7 | mm/h | |
| Saturated hydraulic conductivity (80–100 cm, highly sensitive) | 1.2 | mm/h | |
| Depth of impenetrable layer (light-sensitive) | 200 | cm | |
| Initial soil salinity | Field measured values (Table 1) | g/kg | |
| Drainage system | Drainage depth (sensitive) | Layout of each test plot | cm |
| Drainage spacing (sensitive) | 1000 | cm | |
| Effective drainage radius (non-sensitive) | 1.5 | cm | |
| Maximum surface water storage depth | 18 | cm | |
| Initial groundwater level depth (sensitive) | 160 | cm | |
| Drainage coefficient (non-sensitive) | 14 | mm/day | |
| Kirkham’s depth for flow to drains | 0.3 | cm | |
| Water | Amount of irrigation water | Actual irrigation quota | m3/ha |
| Average of irrigation water salinity | 0.67 | g/L |
| Depth (cm) | RCL (cm) | 2019 (Calibration) | 2020 (Validation) | ||||||
|---|---|---|---|---|---|---|---|---|---|
| R2 (-) | MAE (cm) | RMSE (cm) | NRMSE | R2 (-) | MAE (cm) | RMSE (cm) | NRMSE | ||
| 80 | - | 0.92 | 7.02 | 7.39 | 9.35% | 0.91 | 6.83 | 7.38 | 14.07% |
| 0–20 | 0.90 | 12.88 | 13.60 | 15.76% | 0.83 | 10.73 | 11.97 | 22.01% | |
| 60–80 | 0.90 | 8.22 | 9.55 | 11.97% | 0.89 | 6.15 | 7.02 | 15.47% | |
| 0–20 and 60–80 | 0.85 | 8.91 | 10.34 | 12.62% | 0.80 | 14.60 | 16.35 | 27.15% | |
| 100 | - | 0.91 | 5.06 | 5.83 | 7.47% | 0.88 | 5.95 | 6.67 | 12.68% |
| 0–20 | 0.88 | 10.60 | 12.67 | 14.90% | 0.82 | 6.94 | 9.42 | 16.35% | |
| 60–80 | 0.89 | 7.93 | 9.19 | 11.49% | 0.84 | 9.42 | 10.62 | 20.46% | |
| 0–20 and 60–80 | 0.83 | 14.06 | 15.57 | 17.72% | 0.77 | 13.22 | 14.23 | 24.25% | |
| 120 | - | 0.89 | 5.56 | 6.79 | 8.39% | 0.86 | 6.20 | 6.45 | 13.33% |
| 0–20 | 0.85 | 9.37 | 10.48 | 12.32% | 0.80 | 15.59 | 16.55 | 24.05% | |
| 60–80 | 0.88 | 8.33 | 9.06 | 10.98% | 0.82 | 7.29 | 8.43 | 17.99% | |
| 0–20 and 60–80 | 0.84 | 14.84 | 16.10 | 17.93% | 0.73 | 19.12 | 20.15 | 29.37% | |
| Depth (cm) | RCL (cm) | 2019 (Calibration) | 2020 (Validation) | ||||||
|---|---|---|---|---|---|---|---|---|---|
| R2 (-) | MAE (g/kg) | RMSE (g/kg) | NRMSE | R2 (-) | MAE (g/kg) | RMSE (g/kg) | NRMSE | ||
| 80 | - | 0.90 | 5.47 | 6.12 | 7.90% | 0.90 | 7.03 | 7.13 | 13.54% |
| 0–20 | 0.85 | 10.54 | 12.32 | 14.68% | 0.70 | 10.26 | 12.03 | 22.30% | |
| 60–80 | 0.88 | 8.81 | 9.51 | 11.82% | 0.88 | 7.14 | 8.37 | 18.05% | |
| 0–20 and 60–80 | 0.82 | 13.96 | 15.79 | 18.16% | 0.63 | 13.80 | 14.51 | 24.42% | |
| 100 | - | 0.90 | 4.68 | 5.71 | 7.36% | 0.84 | 4.31 | 5.39 | 10.57% |
| 0–20 | 0.85 | 13.81 | 14.99 | 16.97% | 0.73 | 12.77 | 14.24 | 22.46% | |
| 60–80 | 0.87 | 6.97 | 8.58 | 10.85% | 0.82 | 11.07 | 11.45 | 21.39% | |
| 0–20 and 60–80 | 0.82 | 16.64 | 17.88 | 19.76% | 0.67 | 12.58 | 15.31 | 26.38% | |
| 120 | - | 0.90 | 8.42 | 8.97 | 10.70% | 0.81 | 8.38 | 8.93 | 17.67% |
| 0–20 | 0.84 | 12.72 | 14.26 | 16.14% | 0.75 | 10.42 | 11.91 | 18.71% | |
| 60–80 | 0.87 | 13.56 | 14.45 | 16.48% | 0.83 | 10.54 | 10.97 | 21.89% | |
| 0–20 and 60–80 | 0.82 | 14.52 | 16.78 | 18.75% | 0.60 | 13.20 | 16.97 | 27.08% | |
Disclaimer/Publisher’s Note: The statements, opinions and data contained in all publications are solely those of the individual author(s) and contributor(s) and not of MDPI and/or the editor(s). MDPI and/or the editor(s) disclaim responsibility for any injury to people or property resulting from any ideas, methods, instructions or products referred to in the content. |
© 2023 by the authors. Licensee MDPI, Basel, Switzerland. This article is an open access article distributed under the terms and conditions of the Creative Commons Attribution (CC BY) license (https://creativecommons.org/licenses/by/4.0/).
Share and Cite
Tian, F.; Miao, Q.; Shi, H.; Li, R.; Dou, X.; Duan, J.; Feng, W. Simulating Water and Salt Migration through Soils with a Clay Layer and Subsurface Pipe Drainage System at Different Depths Using the DRAINMOD-S Model. Agronomy 2024, 14, 17. https://doi.org/10.3390/agronomy14010017
Tian F, Miao Q, Shi H, Li R, Dou X, Duan J, Feng W. Simulating Water and Salt Migration through Soils with a Clay Layer and Subsurface Pipe Drainage System at Different Depths Using the DRAINMOD-S Model. Agronomy. 2024; 14(1):17. https://doi.org/10.3390/agronomy14010017
Chicago/Turabian StyleTian, Feng, Qingfeng Miao, Haibin Shi, Ruiping Li, Xu Dou, Jie Duan, and Weiying Feng. 2024. "Simulating Water and Salt Migration through Soils with a Clay Layer and Subsurface Pipe Drainage System at Different Depths Using the DRAINMOD-S Model" Agronomy 14, no. 1: 17. https://doi.org/10.3390/agronomy14010017
APA StyleTian, F., Miao, Q., Shi, H., Li, R., Dou, X., Duan, J., & Feng, W. (2024). Simulating Water and Salt Migration through Soils with a Clay Layer and Subsurface Pipe Drainage System at Different Depths Using the DRAINMOD-S Model. Agronomy, 14(1), 17. https://doi.org/10.3390/agronomy14010017

