Sustainable Water Management in Agriculture—The Impact of Drainage Water Management on Groundwater Table Dynamics and Subsurface Outflow
Abstract
1. Introduction
2. Materials and Methods
2.1. Study Site Description
2.2. Model Description
2.3. Methods
2.4. Data Collection and Geodatabase Creation
2.5. Drainage Water Management Simulation
2.6. Model Calibration and Validation
2.7. Drainage Water Management Simulations
2.8. Statistical Analysis
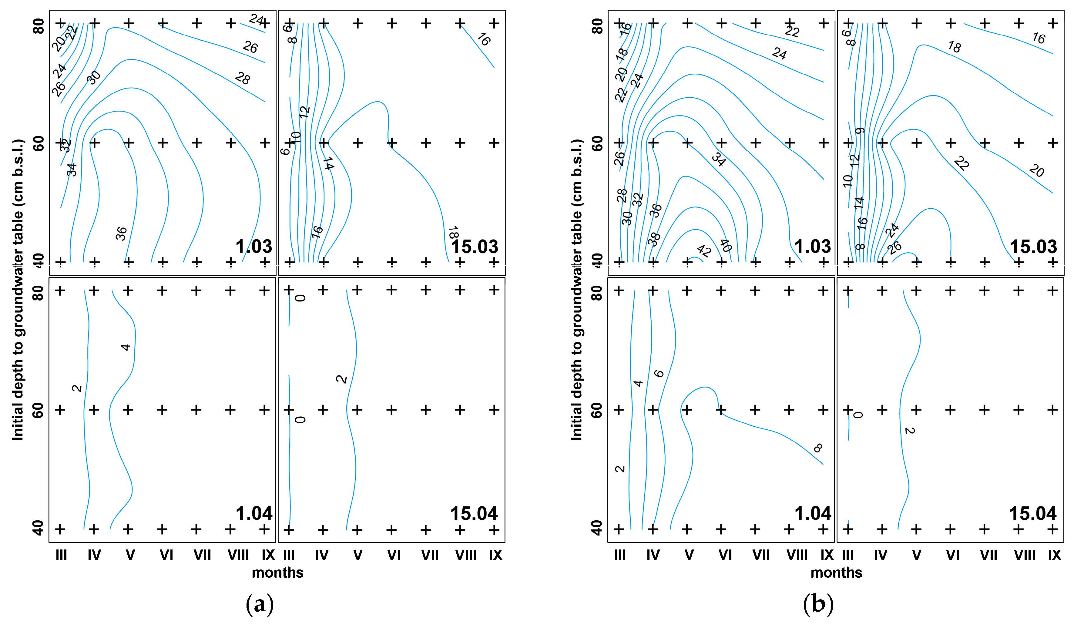
3. Results
4. Discussion
5. Conclusions
- In the climatic conditions of central Poland, the best results related to the application of CD solutions are obtained at the beginning of operation in the period from 1 to 15 March.
- The solutions applied in the indicated time allow the groundwater table to be raised in relation to the free drainage network from 10 to 33 cm and from 10 to 41 in the case of spacing of 7 and 14 m.
- The application of CD solutions in small fields allows only for periodic maintenance of the assumed groundwater tables.
- The starting of blocking the outflow from the drainage network in the period from 1 to 15 March reduces the average outflow from the network by 50%–80%.
- Better effects related to the control of the outflow were obtained for a drainage network with a distance of 14 m.
- The influence of the initial groundwater table on the effectiveness of CD solutions in the case of drainage networks with 7 and 14 m spacing decreases with the delay of blocking the outflow on 15 March and 1 April, respectively.
Author Contributions
Funding
Acknowledgments
Conflicts of Interest
References
- EEA. Climate Change, Impacts and Vulnerability in Europe 2016-an IndicatorBased Report; EEA: Copenhagen, Denmark, 2017. [Google Scholar]
- Szwed, M.; Karg, G.; Pińskwar, I.; Radziejewski, M.; Graczyk, D.; Kędziora, A.; Kundzewicz, Z.W. Climate change and its effect on agriculture, water resources and human health sectors in Poland. Nat. Hazards Earth Syst. Sci. 2010, 10, 1725–1737. [Google Scholar] [CrossRef]
- Todeschini, S. Trends in long daily rainfall series of Lombardia (northern Italy) affecting urban stormwater control. Int. J Climatol. 2012, 32, 900–919. [Google Scholar] [CrossRef]
- Greve, P.; Orlowsky, B.; Mueller, B.; Sheffield, J.; Reichstein, M.; Seneviratne, S.I. Global assessment of trends in wetting and drying over land. Nat. Geosci. 2014, 7, 716. [Google Scholar] [CrossRef]
- Döll, P.; Jiménez-Cisneros, B.; Oki, T.; Arnell, N.W.; Benito, G.; Cogley, J.G.; Jiang, T.; Kundzewicz, Z.W.; Mwakalila, S.; Nishijima, A. Integrating risks of climate change into water management. Hydrol. Sci. J. 2015, 60, 4–13. [Google Scholar]
- Kundzewicz, Z.; Matczak, P. Extreme hydrological events and security. PIAHS 2015, 369, 181–187. [Google Scholar] [CrossRef]
- Kazak, J. The use of a decision support system for sustainable urbanization and thermal comfort in adaptation to climate change actions—The case of the Wrocław larger urban zone (Poland). Sustainability 2018, 10, 1083. [Google Scholar] [CrossRef]
- Szewrański, S.; Kazak, J.; Szkaradkiewicz, M.; Sasik, J. Flood risk factors in suburban area in the context of climate change adaptation policies–Case study of Wroclaw, Poland. J. Ecol. Eng. 2015, 16, 13–18. [Google Scholar] [CrossRef]
- Szewrański, S.; Chruściński, J.; van Hoof, J.; Kazak, J.; Świąder, M.; Tokarczyk-Dorociak, K.; Żmuda, R. A location intelligence system for the assessment of pluvial flooding risk and the identification of storm water pollutant sources from roads in suburbanised areas. Water 2018, 10, 746. [Google Scholar] [CrossRef]
- Iglesias, A.; Garrote, L. Adaptation strategies for agricultural water management under climate change in Europe. Agric. Water Manag. 2015, 155, 113–124. [Google Scholar] [CrossRef]
- Ale, S.; Bowling, L.C.; Brouder, S.M.; Frankenberger, J.R.; Youssef, M.A. Simulated effect of drainage water management operational strategy on hydrology and crop yield for Drummer soil in the Midwestern United States. Agric. Water Manag. 2009, 96, 653–665. [Google Scholar] [CrossRef]
- ICID. Agricultural Water Management for Sustainable Rural Development-Annual Report 2017–2018; ICID: New Delhi, India, 2018.
- Frankenberger, J.; Kladivko, E.; Sands, G.; Jaynes, D.; Fausey, N.; Helmers, M.; Brown, L. Drainage Water Management for the Midwest: Questions and Answers about Drainage Water Management for the Midwest; Purdue Extension: West Lafayette, IN, USA, 2006; 8p. [Google Scholar]
- Drury, C.F.; Tan, C.S.; Gaynor, J.D.; Oloya, T.O.; Welacky, T.W. Influence of controlled drainage-subirrigation on surface and tile drainage nitrate loss. J. Environ. Qual. 1996, 25, 317–324. [Google Scholar] [CrossRef]
- Jaynes, D.B. Changes in yield and nitrate losses from using drainage water management in central Iowa, United States. J. Soil Water Conserv. 2012, 67, 485–494. [Google Scholar] [CrossRef]
- Ritzema, H.P.; Stuyt, L.C.P.M. Land drainage strategies to cope with climate change in the Netherlands. Acta Agric. Scand. B Soil Plant Sci. 2015, 65, 80–92. [Google Scholar] [CrossRef]
- Sunohara, M.D.; Gottschall, N.; Craiovan, E.; Wilkes, G.; Topp, E.; Frey, S.K.; Lapen, D.R. Controlling tile drainage during the growing season in Eastern Canada to reduce nitrogen, phosphorus, and bacteria loading to surface water. Agric. Water Manag. 2016, 178, 159–170. [Google Scholar] [CrossRef]
- Gunn, K.M.; Fausey, N.R.; Shang, Y.; Shedekar, V.S.; Ghane, E.; Wahl, M.D.; Brown, L.C. Subsurface drainage volume reduction with drainage water management: Case studies in Ohio, USA. Agric. Water Manag. 2015, 149, 131–142. [Google Scholar] [CrossRef]
- Negm, L.M.; Youssef, M.A.; Jaynes, D.B. Evaluation of DRAINMOD-DSSAT simulated effects of controlled drainage on crop yield, water balance, and water quality for a corn-soybean cropping system in central Iowa. Agric. Water Manag. 2017, 187, 57–68. [Google Scholar] [CrossRef]
- Youssef, M.A.; Abdelbaki, A.M.; Negm, L.M.; Skaggs, R.W.; Thorp, K.R.; Jaynes, D.B. DRAINMOD-simulated performance of controlled drainage across the. Agric. Water Manag. 2018, 197, 54–66. [Google Scholar] [CrossRef]
- Skaggs, R.W. A Water Management Model for Shallow Water Table Soils; Water Resources Research Institute of the University of North Carolina: Raleigh, NC, USA, 1978. [Google Scholar]
- Breve, M.A.; Skaggs, R.W.; Parsons, J.E.; Gilliam, J.W. Using the DRAINMOD-N model to study effects of drainage system design and management on crop productivity, profitability and NO3–N losses in drainage water. Agric. Water Manag. 1998, 35, 227–243. [Google Scholar] [CrossRef]
- Youssef, M.A.; Skaggs, R.W.; Chescheir, G.M.; Gilliam, J.W. The nitrogen simulation model, DRAINMOD-N II. Trans. ASAE 2005, 48, 611–626. [Google Scholar] [CrossRef]
- Negm, L.M.; Youssef, M.A.; Skaggs, R.W.; Chescheir, G.M.; Jones, J. DRAINMOD–DSSAT model for simulating hydrology, soil carbon and nitrogen dynamics, and crop growth for drained crop land. Agric. Water Manag. 2014, 137, 30–45. [Google Scholar] [CrossRef]
- Skaggs, R.W. Field evaluation of a water management simulation model. Trans. ASAE 1982, 25, 666–674. [Google Scholar] [CrossRef]
- Gayle, G.A.; Skaggs, R.W.; Carter, C.E. Evaluation of a water management model for a Louisiana sugar cane field. J. Am. Soc. Sugar Cane Technol. 1985, 4, 18–28. [Google Scholar]
- Fouss, J.L.; Bengtson, R.L.; Carter, C.E. Simulating subsurface drainage in the lower Mississippi Valley with DRAINMOD. Trans. ASAE 1987, 30, 1679–1688. [Google Scholar] [CrossRef]
- Rogers, J.S. Water management model evaluation for shallow sandy soils. Trans. ASAE 1985, 28, 785–0790. [Google Scholar] [CrossRef]
- McMahon, P.C.; Mostaghimi, S.; Wright, F.S. Simulation of corn yield by a water management model for a coastal plain soil in Virginia. Trans. ASAE 1988, 31, 734–0742. [Google Scholar] [CrossRef]
- Golmohammadi, G.; Rudra, R.P.; Prasher, S.O.; Madani, A.; Goel, P.K.; Mohammadi, K. Modeling the impacts of tillage practices on water table depth, drain outflow and nitrogen losses using DRAINMOD. Comput. Electron. Agric. 2016, 124, 73–83. [Google Scholar] [CrossRef]
- Skaggs, R.W.; Youssef, M.A.; Gilliam, J.W.; Evans, R.O. Effect of controlled drainage on water and nitrogen balances in drained lands. Trans. ASABE 2010, 53, 1843–1850. [Google Scholar] [CrossRef]
- Skaggs, R.W.; Fausey, N.R.; Evans, R.O. Drainage water management. J. Soil Water Conserv. 2012, 67, 167A–172A. [Google Scholar] [CrossRef]
- Singh, R.; Helmers, M.J.; Crumpton, W.G.; Lemke, D.W. Predicting effects of drainage water management in Iowa’s subsurface drained landscapes. Agric. Water. Manag. 2007, 92, 162–170. [Google Scholar] [CrossRef]
- Sojka, M.; Jaskuła, J.; Wielgosz, I. Drought Risk Assessment in the Kopel River Basin. J. Ecol. Eng. 2017, 18, 134–141. [Google Scholar] [CrossRef]
- Iuss Working Group Wrb. World Reference Base for Soil Resources 2014, Update 2015: International Soil Classification System for Naming Soils and Creating Legends for Soil Maps. World Soil Resources Reports; FAO: Rome, Italy, 2015; No. 106. [Google Scholar]
- Thornthwaite, C.W. An approach toward a rational classification of climate. Geogr. Rev. 1948, 38, 55–94. [Google Scholar] [CrossRef]
- Van Schilfgaarde, J.; Bernstein, L.; Rhoades, J.D.; Rawlins, S.L. Irrigation management for salt control. J. Irrig. Drain. Eng. 1974, 100, 321–338. [Google Scholar]
- Kirkham, D. Theory of Land Drainage. In Drainage of Agricultural Lands; American Society of Agronomy: Madison, WI, USA, 1957. [Google Scholar]
- Skaggs, R.W. DRAINMOD Reference Report. Methods for Design and Evaluation of Drainage-Water Management Systems for Soils with High Water Tables; USDA-SCS, South National Technical Center: Fort Worth, TX, USA, 1980. [Google Scholar]
- Feddes, R.A.; Kabat, P.; Van Bakel, P.; Bronswijk, J.J.B.; Halbertsma, J. Modelling soil water dynamics in the unsaturated zone—State of the art. J. Hydrol. 1988, 100, 69–111. [Google Scholar] [CrossRef]
- Van Dam, J.C.; Huygen, J.; Wesseling, J.G.; Feddes, R.A.; Kabat, P.; Van Walsum, P.E.V.; Dan Diepen, C.A. Theory of SWAP Version 2.0; Simulation of Water Flow, Solute Transport and Plant Growth in the Soil-Water-Atmosphere-Plant Environment; DLO Winand Staring Centre: Wageningen, The Netherlands, 1997. [Google Scholar]
- Campbell, G.S.; Gee, G.W. Water potential: Miscellaneous methods. In Methods of Soil Analysis: Part 1—Physical and Mineralogical Methods; American Society of Agronomy: Madison, WI, USA, 1986. [Google Scholar]
- Klute, A. Water Retention: Laboratory Methods, Methods of Soil Analysis, Part I; Klute, A., Ed.; American Society of Agronomy: Madison, WI, USA, 1986; pp. 635–660. [Google Scholar]
- Van Genuchten, M.V.; Leij, F.J.; Yates, S.R. The RETC Code for Quantifying the Hydraulic Functions of Unsaturated Soils; Rep.EPA-600/2-91/065; U.S. Environ. Prot. Agency: Ada, OK, USA, 1991.
- Mualem, Y. A new model for predicting the hydraulic conductivity of unsaturated porous media. Water Resour. Res. 1976, 12, 513–522. [Google Scholar] [CrossRef]
- Klute, A.; Dirksen, C. Hydraulic Conductivity of Saturated Soils. In Methods of Soil Analysis; ASA and SSSA: Madison, WA, USA, 1986. [Google Scholar]
- Skaggs, R.W.; Youssef, M.A.; Chescheir, G.M. DRAINMOD: Model use, calibration, and validation. Trans. ASABE 2012, 55, 1509–1522. [Google Scholar] [CrossRef]
- Willmott, C.J. On the validation of models. Phys. Geogr. 1981, 2, 184–194. [Google Scholar] [CrossRef]
- Loague, K.; Green, R.E. Statistical and graphical methods for evaluating solute transport models: Overview and application. J. Contam. Hydrol. 1991, 7, 51–73. [Google Scholar] [CrossRef]
- Thorp, K.R.; Jaynes, D.B.; Malone, R.W. Simulating the long-term performance of drainage water management across the Midwestern United States. Trans. ASABE 2008, 51, 961–976. [Google Scholar] [CrossRef]
- Ale, S.; Bowling, L.C.; Owens, P.R.; Brouder, S.M.; Frankenberger, J.R. Development and application of a distributed modeling approach to assess the watershed-scale impact of drainage water management. Agric. Water Manag. 2012, 107, 23–33. [Google Scholar] [CrossRef]
- Wesström, I.; Messing, I.; Linner, H.; Lindström, J. Controlled drainage—Effects on drain outflow and water quality. Agric. Water Manag. 2001, 47, 85–100. [Google Scholar] [CrossRef]
- Williams, M.R.; King, K.W.; Fausey, N.R. Drainage water management effects on tile discharge and water quality. Agric. Water Manag. 2015, 148, 43–51. [Google Scholar] [CrossRef]
- Poole, C.A.; Skaggs, R.W.; Youssef, M.A.; Chescheir, G.M.; Crozier, C.R. Effect of drainage water management on nitrate nitrogen loss to tile drains in North Carolina. Trans. ASABE 2018, 61, 233–244. [Google Scholar] [CrossRef]
- Wesström, I.; Joel, A.; Messing, I. Controlled drainage and subirrigation—A water management option to reduce non-point source pollution from agricultural land. Agric. Ecosyst. Environ. 2014, 198, 74–82. [Google Scholar] [CrossRef]
- Ross, J.A.; Herbert, M.E.; Sowa, S.P.; Frankenberger, J.R.; King, K.W.; Christopher, S.F.; Yen, H. A synthesis and comparative evaluation of factors influencing the effectiveness of drainage water management. Agric. Water Manag. 2016, 178, 366–376. [Google Scholar] [CrossRef]
- Darzi-Naftchali, A.; Mirlatifi, S.M.; Shahnazari, A.; Ejlali, F.; Mahdian, M.H. Effect of subsurface drainage on water balance and water table in poorly drained paddy fields. Agric. Water Manag. 2013, 130, 61–68. [Google Scholar] [CrossRef]
- Halecki, W.; Kruk, E.; Ryczek, M. Evaluation of Soil Erosion in the Mątny Stream Catchment in the West Carpathians Using the G2 model. Catena 2018, 164, 116–124. [Google Scholar] [CrossRef]
- Halecki, W.; Kruk, E.; Ryczek, M. Predicting of nitrate nitrogen, total phosphorus fluxes and suspended sediment concentration (SSC) as an indicators of surface-erosion process using ANN (Artificial Neural Network) based on geomorphological parameters in mountainous catchments. Ecol. Indic. 2018, 91, 461–469. [Google Scholar] [CrossRef]
- Kulhavý, Z.; Fučík, P. Adaptation Options for Land Drainage Systems Towards Sustainable Agriculture and the Environment: A Czech Perspective. Pol. J. Environ. Stud. 2015, 24, 1085–1102. [Google Scholar] [CrossRef]











| Parameter | Unit | Value in Drainage Section | |
|---|---|---|---|
| 42_1, 42_4 | 42_2, 42_3 | ||
| drain depth | m | 0.90 | 0.90 |
| drain spacing | m | 14 | 7 |
| drain diameter | m | 0.05 | 0.05 |
| effective radius of drains | cm | 0.011 | 0.011 |
| depth to impermeable layer | m | 4.00 | 4.00 |
| drainage coefficient | cm∙day−1 | 1.4 | 1.4 |
| maximum surface storage | m | 0.005 | 0.005 |
| Kirkham’s depth for flow to drains | cm | 0.5 | 0.5 |
| Crop type | - | spring wheat | spring wheat |
| Planting date | - | 20 March | 20 March |
| Growing season length | Days | 120 | 120 |
| Max. effective root depth | m | 0.40 | 0.40 |
| Parameter | Unit | Value in Drainage Section | |||||||||
|---|---|---|---|---|---|---|---|---|---|---|---|
| 42_1 | 42_2 | 42_3 | 42_4 | ||||||||
| Layer depth | cm | 0–30 | 30–100 | 0–30 | 30–80 | 80–100 | 0–30 | 30–80 | 80-100 | 0–30 | 30–100 |
| Soli texture | |||||||||||
| sand content (0.05–2.0 mm) | % | 66 | 62 | 66 | 61 | 63 | 66 | 63 | 62 | 66 | 61 |
| silt content (0.002–0.05 mm) | % | 23 | 18 | 22 | 19 | 19 | 23 | 18 | 22 | 24 | 18 |
| clay content (<0.002 mm) | % | 11 | 20 | 12 | 20 | 18 | 11 | 19 | 16 | 10 | 21 |
| bulk density ρc | g·cm−3 | 1.52 | 1.73 | 1. | 1.72 | 1.73 | 1.50 | 1.73 | 1.73 | 1.55 | 1.72 |
| organic carbon content Corg | % | 1.53 | - | 1.46 | - | - | 1.39 | - | - | 1.50 | - |
| Soil hydraulic parameters | |||||||||||
| residual water content Өr | cm3·cm−3 | 0.01 | 0.01 | 0.01 | 0.01 | 0.01 | 0.01 | 0.01 | 0.01 | 0.01 | 0.01 |
| residual soil moisture Өs | cm3·cm−3 | 0.390 | 0.335 | 0.391 | 0.336 | 0.335 | 0.397 | 0.335 | 0.336 | 0.381 | 0.339 |
| α | cm−1 | 0.0490 | 0.0670 | 0.0518 | 0.0661 | 0.0658 | 0.0497 | 0.0687 | 0.0587 | 0.0453 | 0.0699 |
| n | - | 1.2839 | 1.1567 | 1.2772 | 1.1555 | 1.1709 | 1.2896 | 1.1642 | 1.1849 | 1.2915 | 1.1519 |
| saturated hydraulic conductivity ksat | cm·day−1 | 1.267 | 0.333 | 2.228 | 0.329 | 0.358 | 2.290 | 0.347 | 0.378 | 1.824 | 0.330 |
| soil water content at field capacity ӨFC | cm3·cm−3 | 0.246 | 0.247 | 0.245 | 0.250 | 0.242 | 0.247 | 0.243 | 0.241 | 0.242 | 0.252 |
| soil water content at wilting point ӨWP | cm3·cm−3 | 0.068 | 0.120 | 0.070 | 0.122 | 0.110 | 0.067 | 0.114 | 0.103 | 0.065 | 0.124 |
| drainage soil capacity ӨD | cm3·cm−3 | 0.145 | 0.088 | 0.145 | 0.086 | 0.093 | 0.150 | 0.091 | 0.095 | 0.139 | 0.087 |
| plant available water ӨP | cm3·cm−3 | 0.177 | 0.128 | 0.175 | 0.128 | 0.132 | 0.180 | 0.129 | 0.138 | 0.176 | 0.127 |
| Parameter | Unit | Value |
|---|---|---|
| years | - | 2014; 2017; 2018 |
| simulation period | - | 1 March—30 September |
| groundwater level on 1 March | m b.s.l. | 0.40; 0.60; 0.80 |
| Control drainage (CD) start date | - | 1 March; 15 March; 1 April; 15 April |
| damming height | m b.s.l. | 0.50 |
| drainage spacing | m | 7; 14 |
| Year | Total Precipitation (mm) | Simulating Period Precipitation (mm) | Average Temperature | Simulating Period Average Temperature |
|---|---|---|---|---|
| 2014 | 581 | 451 | 10.7 | 14.6 |
| 2017 | 668 | 523 | 9.6 | 13.5 |
| 2018 | 372 | 252 | 10.7 | 15.0 |
| 1981–2018 | 542 | 400 | 9.1 | 12.8 |
| Year | RMSE | CRM | d | EF |
|---|---|---|---|---|
| m | % | - | - | |
| calibration | ||||
| 2000 | 0.06 | 7 | 0.98 | 0.92 |
| validation | ||||
| 1994 | 0.04 | 4 | 0.95 | 0.78 |
| Overall | 0.05 | 3 | 0.98 | 0.85 |
| Author | Range | Mean |
|---|---|---|
| Ale et al. [11] | 38%–96% | 60% |
| Negm et al. [19] | 20%–32% | 25% |
| Skaggs et al. [32] | 16%–89% | |
| Thorp et al. [50] | 35%–68% | |
| Gunn et al. [18] | 40%–100% | |
| Ale et al. [51] | 46% | |
| Youssef et al. [20] | 30% | |
| Wesström et al. [52] | 79%–94% | |
| Williams et al. [53] | 8%–34% |
© 2019 by the authors. Licensee MDPI, Basel, Switzerland. This article is an open access article distributed under the terms and conditions of the Creative Commons Attribution (CC BY) license (http://creativecommons.org/licenses/by/4.0/).
Share and Cite
Sojka, M.; Kozłowski, M.; Stasik, R.; Napierała, M.; Kęsicka, B.; Wróżyński, R.; Jaskuła, J.; Liberacki, D.; Bykowski, J. Sustainable Water Management in Agriculture—The Impact of Drainage Water Management on Groundwater Table Dynamics and Subsurface Outflow. Sustainability 2019, 11, 4201. https://doi.org/10.3390/su11154201
Sojka M, Kozłowski M, Stasik R, Napierała M, Kęsicka B, Wróżyński R, Jaskuła J, Liberacki D, Bykowski J. Sustainable Water Management in Agriculture—The Impact of Drainage Water Management on Groundwater Table Dynamics and Subsurface Outflow. Sustainability. 2019; 11(15):4201. https://doi.org/10.3390/su11154201
Chicago/Turabian StyleSojka, Mariusz, Michał Kozłowski, Rafał Stasik, Michał Napierała, Barbara Kęsicka, Rafał Wróżyński, Joanna Jaskuła, Daniel Liberacki, and Jerzy Bykowski. 2019. "Sustainable Water Management in Agriculture—The Impact of Drainage Water Management on Groundwater Table Dynamics and Subsurface Outflow" Sustainability 11, no. 15: 4201. https://doi.org/10.3390/su11154201
APA StyleSojka, M., Kozłowski, M., Stasik, R., Napierała, M., Kęsicka, B., Wróżyński, R., Jaskuła, J., Liberacki, D., & Bykowski, J. (2019). Sustainable Water Management in Agriculture—The Impact of Drainage Water Management on Groundwater Table Dynamics and Subsurface Outflow. Sustainability, 11(15), 4201. https://doi.org/10.3390/su11154201

