Due to scheduled maintenance work on our servers, there may be short service disruptions on this website between 11:00 and 12:00 CEST on March 28th.
Sign in to use this feature.

Years

Between: -

Subjects

remove_circle_outline
remove_circle_outline
remove_circle_outline
remove_circle_outline
remove_circle_outline
remove_circle_outline
remove_circle_outline
remove_circle_outline
remove_circle_outline

Journals

remove_circle_outline
remove_circle_outline
remove_circle_outline
remove_circle_outline
remove_circle_outline
remove_circle_outline
remove_circle_outline
remove_circle_outline
remove_circle_outline
remove_circle_outline
remove_circle_outline
remove_circle_outline
remove_circle_outline
remove_circle_outline
remove_circle_outline
remove_circle_outline

Article Types

Countries / Regions

remove_circle_outline
remove_circle_outline
remove_circle_outline
remove_circle_outline
remove_circle_outline
remove_circle_outline

Search Results (2,230)

Search Parameters:
Keywords = CuB

Order results
Result details
Results per page
Select all
Export citation of selected articles as:
17 pages, 3489 KB  
Article
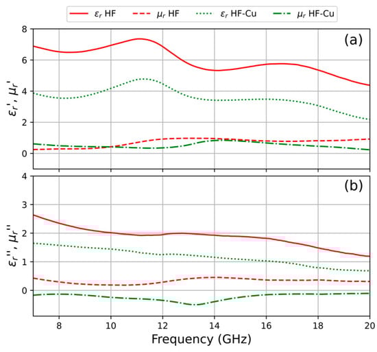
Microwave Absorption in Ceramic Nanocomposites with Magnetic Random Anisotropy
by Jaume Calvo-de la Rosa, Antoni García-Santiago, Joan Manel Hernàndez, Marc Vazquez-Aige, Jose Maria Lopez-Villegas and Javier Tejada
Appl. Sci. 2026, 16(7), 3188; https://doi.org/10.3390/app16073188 - 26 Mar 2026
Abstract
This study presents experimental evidence of random magnetic behavior in modified barium hexaferrites. We demonstrate a significant shift in the magnetic properties of these materials upon the incorporation of divalent cations (Ni2+, Cu2+, Mn2+), which produces the [...] Read more.
This study presents experimental evidence of random magnetic behavior in modified barium hexaferrites. We demonstrate a significant shift in the magnetic properties of these materials upon the incorporation of divalent cations (Ni2+, Cu2+, Mn2+), which produces the formation of ceramic nanocomposites. X-ray diffraction, scanning electron microscopy, and laser diffraction reveal that these systems comprise micron-sized clusters formed by sintering polycrystalline nanoparticles. The cation incorporation occurs randomly across each sample, creating conditions conducive to random anisotropy magnetism. We confirm this behavior in our samples by fitting the magnetization data near saturation to a corresponding theoretical model. Additionally, we investigate the microwave absorption capabilities of these systems in the GHz range by calculating the reflection loss coefficient of mm-thick samples using transmission-line theory. The results predict broad (up to 2 GHz) and high (around 60 dB on average) absorption signals. In the case of the thinnest samples (1–2 mm), the Cu-substituted system presents broader absorption bandwidths than the pure hexaferrite and, therefore, proves to be more efficient for stealth applications in lightweight sectors. These findings suggest ceramic nanocomposites are promising candidates for random anisotropy magnets, highlighting their potential as efficient microwave absorbers, consistent with recent theoretical predictions. Full article
(This article belongs to the Special Issue Magnetic Materials: Recent Advances, Prospects and Challenges)
Show Figures

Figure 1

17 pages, 4627 KB  
Article
A Novel Bi2O3-TeO2-B2O3-CuO Glass for Copper Metallization of Si3N4: Wettability, Thermal Stability, and Bonding Performance
by Chaochen Chen, Fang Lei, Shiqing Dang, Hongyang Zhang, Ying Shi and Haohong Chen
Ceramics 2026, 9(4), 37; https://doi.org/10.3390/ceramics9040037 - 26 Mar 2026
Abstract
To address the lack of suitable glass systems for silicon nitride (Si3N4) surface metallization, which requires high wettability and thermal stability, and robust bonding between the copper layer and the ceramic substrate, a novel Bi2O3-TeO [...] Read more.
To address the lack of suitable glass systems for silicon nitride (Si3N4) surface metallization, which requires high wettability and thermal stability, and robust bonding between the copper layer and the ceramic substrate, a novel Bi2O3-TeO2-B2O3-CuO glass system was developed. This study systematically investigated the influence of Bi2O3 concentration, glass properties, optimized paste composition, and brazing mechanism using phase analysis, microstructural characterization, particle size statistics, thermal analysis, and tensile testing. An optimal glass composition containing 20 mol% Bi2O3 was identified, exhibiting high thermal stability (ΔT = 224 °C) and a coefficient of thermal expansion of 9.63 × 10−6 °C−1. At a brazing temperature of 750 °C, the glass demonstrated excellent wettability with a contact angle of 27°. A conductive paste comprising 94 wt% Cu and 6 wt% glass yielded a thick film with a minimum resistivity of 6.25 μΩ·cm and a maximum tensile strength of 25.2 MPa. Mechanism analysis revealed that the superior wettability drives the liquid glass phase to form a thin intermediate layer that significantly reinforces adhesion. These findings contribute to the research and development of subsequent novel glass systems with superior performance. Full article
(This article belongs to the Special Issue Advances in Ceramics, 3rd Edition)
Show Figures

Figure 1

18 pages, 1175 KB  
Article
Cross-Modal Few-Shot Learning via Siamese Similarity Networks on CLIP Embeddings for Fine-Grained Image Classification
by Julius Olaniyan, Silas Formunyuy Verkijika and Ibidun C. Obagbuwa
Appl. Sci. 2026, 16(7), 3181; https://doi.org/10.3390/app16073181 - 26 Mar 2026
Abstract
Fine-grained image classification under few-shot learning conditions remains a significant challenge due to limited labeled data and high intra-class similarity. This paper proposes a novel cross-modal framework that integrates Contrastive Language-Image Pretraining (CLIP) embeddings within a Siamese similarity network to enable robust and [...] Read more.
Fine-grained image classification under few-shot learning conditions remains a significant challenge due to limited labeled data and high intra-class similarity. This paper proposes a novel cross-modal framework that integrates Contrastive Language-Image Pretraining (CLIP) embeddings within a Siamese similarity network to enable robust and label-efficient classification. By leveraging the semantic alignment between textual class descriptions and visual representations, the model forms hybrid similarity pairs of image-to-image and image-to-text within a shared latent space, facilitating discriminative learning under low-shot scenarios. The architecture employs a dual-branch CLIP encoder and a contrastive loss function to optimize intra-class compactness and inter-class separability. Experiments conducted on benchmark datasets including miniImageNet and CUB-200-2011 demonstrate substantial improvements over zero-shot and few-shot baselines, achieving 70.32% accuracy, 71.15% F1-score, and 68.47% mAP on 5-way 1-shot and 78.41% accuracy, 79.02% F1-score, and 76.83% mAP on 5-way 5-shot tasks (averaged over 600 episodes with 95% confidence intervals on the CUB-200-2011 dataset). Extended evaluations under 10-way settings show similarly strong performance. Ablation studies further validate the critical roles of contrastive learning, normalization, and cross-modal embeddings in enhancing generalization. This work presents a scalable and interpretable paradigm for fine-grained classification in data-scarce domains. Full article
Show Figures

Figure 1

20 pages, 2556 KB  
Article
Variability of Properties of Wood Biomass Combustion Waste During the Heating Season in the Context of Their Environmental Use
by Elżbieta Rolka, Anna Skorwider-Namiotko and Radosław Szostek
Materials 2026, 19(7), 1295; https://doi.org/10.3390/ma19071295 - 25 Mar 2026
Abstract
The use of wood chips in the heating sector leads to the generation of combustion waste with variable properties, which poses challenges for their rational management. To determine the variability of combustion waste, samples were collected over a 13-week period during the heating [...] Read more.
The use of wood chips in the heating sector leads to the generation of combustion waste with variable properties, which poses challenges for their rational management. To determine the variability of combustion waste, samples were collected over a 13-week period during the heating season, as weekly aggregate samples from a biomass bioheating plant burning wood chips. Three waste fractions were obtained for analysis: residue from the grate (B1), dust from the dust collector (B2), and boiler dust (B3). Dry matter (DM), reaction (pHKCl), electrolytic conductivity (EC), content of total carbon (TC), total nitrogen (TN), macronutrients (P, K, Mg, Ca, Na), and heavy metals (Fe, Mn, Zn, Cu, Pb, Cd, Cr, Co, Ni) were determined in the collected samples. All waste fractions were characterized by an alkaline reaction. Regardless of the waste fraction, the macronutrient content was dominated by Ca, K, and Mg, with significantly lower levels of P and Na. Among heavy metals, Fe, Mn, and Zn had the highest recorded contents, and the lowest by far was Cd. With respect to sampling dates, the least diversified chemical composition was observed for B1 samples, more diversified for B2, and the most diversified for B3. In turn, regardless of the waste fraction, the most diversified results were observed for Cd and Pb, and the least for pH, DM, and TC. Concerning environmental management of combustion waste, fraction B1 deserves attention, as it was characterized by the richest chemical composition (TN, P, K, Mg, Ca, Na, Mn, Zn, Cu, Co, Ni). However, due to the highest content of undesirable heavy metals (Pb, Cd) and the highest salinity, it requires constant monitoring of the composition. Full article
Show Figures

Graphical abstract

15 pages, 4471 KB  
Article
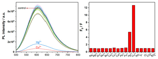
Facile One-Pot Synthesis of Au/Ag Bimetallic Nanoclusters as a Fluorescent Probe for the Detection of Hg2+ and Cu2+
by Hongbo Lin, Taiqun Yang, Lei Li and Lang Liu
Chemosensors 2026, 14(4), 78; https://doi.org/10.3390/chemosensors14040078 - 25 Mar 2026
Abstract
Fluorescent metal nanoclusters show great promise in heavy metal ion sensing. Herein, a bimetallic nanocluster (GSH-Au/Ag NCs) with orange fluorescence was synthesized through a facile one-pot method. The synthesized GSH-Au/Ag NCs displayed optimal excitation and emission peaks at 275 and 610 nm, respectively. [...] Read more.
Fluorescent metal nanoclusters show great promise in heavy metal ion sensing. Herein, a bimetallic nanocluster (GSH-Au/Ag NCs) with orange fluorescence was synthesized through a facile one-pot method. The synthesized GSH-Au/Ag NCs displayed optimal excitation and emission peaks at 275 and 610 nm, respectively. The incorporation of silver can enhance the fluorescence of metal nanoclusters. The fluorescence of as-synthesized GSH-Au/Ag NCs can be significantly quenched by Hg2+ and Cu2+, and a “on–off” fluorescent probe was designed. The detection conditions, including pH and the concentration of the probe, were optimized. The respective detection limits for Hg2+ and Cu2+ ions under optimal detection conditions are estimated to be 40 nM and 33 nM, over the linear range of 100–1200 nM. Furthermore, a ratiometric fluorescent probe was prepared by mixing quinine sulfate and as-synthesized GSH-Au/Ag NCs. Hg2+ and Cu2+ can effectively quench the red fluorescence of GSH-Au/Ag NCs, whereas the blue fluorescence of quinine sulfate remains invariant. This leads to measurable changes in the RGB values of the resulting fluorescence images. The ratio (R/B) exhibits a linear relationship with the concentration of Hg2+ and Cu2+, enabling the determination of its concentration by analyzing RGB values in fluorescence images. This visual detection method significantly reduces both assay time and cost, making it suitable for on-site detection of heavy metal ions in water samples. Full article
(This article belongs to the Section Nanostructures for Chemical Sensing)
Show Figures

Figure 1

16 pages, 5106 KB  
Article
Natural Selection Drives AT-Biased Codon Usage in Mitochondrial Genomes of Early-Diverging Conidiobolus Fungi (Zoopagomycota)
by Yanan Cao, Xianli Guo, Jialin Yang, Xiyue Yan, Yanping Xu, Qiang Li and Zehou Liu
J. Fungi 2026, 12(4), 231; https://doi.org/10.3390/jof12040231 - 24 Mar 2026
Viewed by 167
Abstract
Codon usage bias (CUB) in mitochondrial genomes reflects evolutionary forces such as mutation, selection, and genetic drift, yet its dynamics in early-diverging fungal lineages like Conidiobolus (Zoopagomycota) remain unclear. This study systematically analyzed mitochondrial core protein-coding genes (PCGs) from eight Conidiobolus species to [...] Read more.
Codon usage bias (CUB) in mitochondrial genomes reflects evolutionary forces such as mutation, selection, and genetic drift, yet its dynamics in early-diverging fungal lineages like Conidiobolus (Zoopagomycota) remain unclear. This study systematically analyzed mitochondrial core protein-coding genes (PCGs) from eight Conidiobolus species to elucidate the drivers of CUB and phylogenomic patterns. Nucleotide composition revealed pronounced AT richness (73.32% ± 3.38%) and low GC3 (13.40% ± 5.11%), indicating a preference for A/T-ending codons. Neutrality and ENC-GC3s plots demonstrated that natural selection, rather than mutation pressure, predominantly shaped codon bias, supported by weak GC12-GC3 correlations (slopes: 0.037–0.335) and significant ENC deviations from mutation-driven expectations. PR2-bias analysis further highlighted a strong bias toward A over T and C over G. Correspondence analysis linked major codon usage variations to GC3s, CAI, and FOP indices. Phylogenetic reconstructions based on relative synonymous codon usage (RSCU) and concatenated mitochondrial sequences revealed discordant topologies, particularly in the placement of C. polytocus and C. polyspermus, suggesting divergent evolutionary trajectories. Optimal codon analysis identified species-specific preferences dominated by A/T termini. These findings underscore natural selection as the primary force driving AT-biased mitochondrial CUB in Conidiobolus, while phylogenomic discordance highlights complex evolutionary pressures in this ecologically diverse fungal genus. This study provides foundational insights into mitochondrial genome evolution and codon adaptation mechanisms in early-diverging fungi. Full article
Show Figures

Figure 1

16 pages, 1782 KB  
Article
Charge Transport and Thermoelectric Properties of Bornite with Fe-Site Off-Stoichiometry
by Hyemin Oh, Seungmin Lee, Hyeon-Sik O and Il-Ho Kim
Materials 2026, 19(6), 1252; https://doi.org/10.3390/ma19061252 - 22 Mar 2026
Viewed by 171
Abstract
The effects of Fe non-stoichiometry on crystal structure, microstructural evolution, and thermoelectric transport properties were systematically investigated in bornite (Cu5Fe1+yS4; −0.06 ≤ y ≤ 0.06) synthesized by mechanical alloying followed by hot pressing. X-ray diffraction analysis confirmed [...] Read more.
The effects of Fe non-stoichiometry on crystal structure, microstructural evolution, and thermoelectric transport properties were systematically investigated in bornite (Cu5Fe1+yS4; −0.06 ≤ y ≤ 0.06) synthesized by mechanical alloying followed by hot pressing. X-ray diffraction analysis confirmed the formation of a single-phase orthorhombic bornite structure over the entire composition range. Anisotropic lattice distortion was observed with increasing Fe non-stoichiometry, manifested as contraction along the a-axis and expansion along the b- and c-axes, with a non-linear dependence on composition. Crystallite sizes estimated from Lorentzian peak fitting increased from 64.1 nm for the stoichiometric composition to 70.6–76.3 nm for Fe-deficient samples and 73.2–90.9 nm for Fe-excess samples. Hall-effect measurements revealed p-type semiconducting behavior for the stoichiometric composition, degenerate p-type transport with increased hole concentration under Fe-deficient conditions, and a transition to n-type behavior with reduced carrier mobility under Fe-excess conditions. While Fe-deficient samples retained high electrical conductivity and positive Seebeck coefficients, Fe-excess samples exhibited negative Seebeck coefficients at low temperatures with sign reversal at elevated temperatures. As a consequence, the power factor of Fe-deficient samples was enhanced by approximately 20–30% relative to the stoichiometric composition. In addition, the total thermal conductivity remained below 0.8 W·m−1·K−1 for all samples, and Fe non-stoichiometry effectively suppressed lattice thermal conductivity. Consequently, the Cu5Fe0.94S4 composition achieved a maximum dimensionless figure of merit of ZT = 0.61 at 673 K, representing a performance enhancement of approximately 30–70% compared with the stoichiometric composition (ZT = 0.36 at 673 K and 0.47 at 723 K). Full article
(This article belongs to the Special Issue Advanced Thermoelectric Materials and Micro/Nanoscale Heat Transfer)
Show Figures

Figure 1

17 pages, 8163 KB  
Article
Study on EV Traction Motors for Life Cycle Assessment Considering Changes in Winding Material and Magnet Configuration
by Daichi Washio and Kan Akatsu
World Electr. Veh. J. 2026, 17(3), 157; https://doi.org/10.3390/wevj17030157 - 19 Mar 2026
Viewed by 96
Abstract
Reducing the life-cycle CO2 emissions of electric vehicle (EV) traction motors requires a comprehensive evaluation of material selection, magnet configuration, and structural design. In this study, six motors—including a benchmark NdFeB-based PMSM—are designed under unified constraints of identical outer diameter, ampere-turns, and [...] Read more.
Reducing the life-cycle CO2 emissions of electric vehicle (EV) traction motors requires a comprehensive evaluation of material selection, magnet configuration, and structural design. In this study, six motors—including a benchmark NdFeB-based PMSM—are designed under unified constraints of identical outer diameter, ampere-turns, and target torque (163 Nm), enabling a fair comparison of environmental performance. Electromagnetic field simulations are conducted to optimize each design, and life-cycle CO2 emissions are quantified using emission factors from IEEJ-IAS and standard material databases. The results show that manufacturing-stage emissions vary significantly depending on magnet and winding materials: the benchmark PMSM exhibits the highest manufacturing CO2 (42.1 kg-CO2), while the rare-earth-free PMaSyn.RM achieves the lowest value (28.4 kg-CO2). In contrast, use-stage emissions over 150,000 km are dominated by motor efficiency, ranging from 1820 kg-CO2 (PMSM-Cu) to 2030 kg-CO2 (Al-wound PMSM). Consequently, the total life-cycle CO2 spans from 1848 kg-CO2 (PMaSyn.RM) to 2072 kg-CO2 (Al-wound PMSM), indicating that rare-earth-free motors minimize manufacturing impact, whereas high-efficiency PMSMs reduce use-stage emissions. Furthermore, the study evaluates the practical feasibility of aluminum windings and rare-earth-free designs, identifying structural requirements such as dual-rotor configurations for aluminum conductors and flux-barrier optimization for ferrite-based motors. These findings provide quantitative insights into the trade-offs between material sustainability and operational efficiency, offering guidance for future EV motor development toward carbon neutrality. Full article
(This article belongs to the Section Energy Supply and Sustainability)
Show Figures

Figure 1

18 pages, 3534 KB  
Article
A Segmented Modified Zhou-Guan Model for Predicting Deformation Resistance of Copper-Bearing Steel and Insight into B2-FeCu Nanocluster Precipitation
by Dongqing Wang, Haitao Jiang, Yanxin Wu, Yulai Chen, Feida Chen, Xuejie Bai and Chenyu Wang
Metals 2026, 16(3), 345; https://doi.org/10.3390/met16030345 - 19 Mar 2026
Viewed by 139
Abstract
To solve the copper brittleness problem of copper-bearing steel, support the ferritic rolling process, and ensure the continuity of rolling across different phase regions, this study focused on copper-bearing steel with w(Cu) = 1.56%. Gleeble thermal simulation tests were conducted to investigate the [...] Read more.
To solve the copper brittleness problem of copper-bearing steel, support the ferritic rolling process, and ensure the continuity of rolling across different phase regions, this study focused on copper-bearing steel with w(Cu) = 1.56%. Gleeble thermal simulation tests were conducted to investigate the deformation behavior of Cu-bearing steel, and a corresponding deformation resistance model was established; meanwhile, the precipitation characteristics of the second phase were characterized by high-resolution transmission electron microscopy (HRTEM). The results show that the deformation resistance of copper-bearing steel increases with decreasing temperature and increasing strain rate, and its deformation resistance–temperature curve shows a unique bimodal trend, where the inflection point at 840 °C is attributed to the austenite–ferrite phase transformation, and the inflection point at 920 °C is caused by the precipitation of B2-FeCu ordered nanoclusters. HRTEM observations confirm that these nanoclusters are metastable phases with a size of less than 5 nm, and their orientation relationship with the matrix is (011)B2//(011)α-Fe and [001]B2//[001]α-Fe. The area fraction of B2-FeCu ordered nano-precipitates is in the range of 4.27% to 5.32%, which can reduce the lattice distortion of the matrix and thus decrease dislocation slip resistance. The segmented modified Zhou-Guan model has a coefficient of determination (R2) greater than 0.96 between the predicted and experimental values, which can accurately guide the optimization of low-temperature rolling process parameters for copper-bearing steel. Full article
Show Figures

Figure 1

18 pages, 1406 KB  
Article
Iron Pools, Microbial Communities, and Greenhouse Gas Production in Subaqueous Ecosystems: Implications for Biogeochemical Cycling
by Roberta Pastorelli, Alessandra Lagomarsino, Chiara Ferronato, Arturo Fabiani, Sara Del Duca, Stefano Mocali, Livia Vittori Antisari and Gilmo Vianello
Soil Syst. 2026, 10(3), 43; https://doi.org/10.3390/soilsystems10030043 - 17 Mar 2026
Viewed by 244
Abstract
In permanently submerged coastal wetlands, interactions between biogeochemical processes and microbial communities strongly influence greenhouse gas (GHG) fluxes. To improve our understanding of how redox-driven processes shape GHG dynamics in these ecosystems, we investigated the relationships among iron (Fe) pools, microbial dynamics, and [...] Read more.
In permanently submerged coastal wetlands, interactions between biogeochemical processes and microbial communities strongly influence greenhouse gas (GHG) fluxes. To improve our understanding of how redox-driven processes shape GHG dynamics in these ecosystems, we investigated the relationships among iron (Fe) pools, microbial dynamics, and the potential GHG production in subaqueous soils from an interdunal wetland in San Vitale Park (Italy), permanently submerged and affected by seasonal oscillations of the saline water table. Two subaqueous soil columns (WAS-2 and WAS-4), collected from similar settings, were analyzed. Surface layers of WAS-4 showed higher salinity and carbonate content, whereas WAS-2 was characterized by overall higher Fe concentrations. Distinct vertical distributions of organic matter and sulfur (S) were shown along depth. Laboratory incubations revealed that nitrous oxide (N2O) production was up to ten times higher in WAS-2 than in WAS-4, with peaks in the top 13–14 cm, consistent with more active nitrification-denitrification in surface layers. Methane (CH4) and carbon dioxide (CO2) fluxes decreased with depth, reflecting reduced availability of labile carbon. Methanomicrobiales dominated CH4-producing layers, indicating hydrogenotrophic methanogenesis, while amoA-carrying Nitrosomonadales and Thaumarchaeota, occurred in shallow, organic-rich layers where ammonia supported nitrification and denitrification. Denitrifiers mainly belonged to α- and β-Proteobacteria, consistent with their direct contribution to N2O peaks. Spearman’s correlations showed N2O positively correlated to sulfur and labile carbon (C), supporting denitrification under moderately reducing conditions. CH4 and CO2 positively correlated with organic C (Corg), total nitrogen (TN), and reactive Fe forms, reflecting redox-mediated microbial respiration and methanogenesis. Trace elements (B, Cr, Cu, Ni) acted as micronutrients or inhibitors depending on concentration. Canonical correspondence analysis indicated depth-structured links among gas fluxes, soil chemistry (Corg, TN, S/C, CaCO3, P), and microbial distributions: surface layers, rich in labile C and nutrients, supported active bacteria and archaea involved in decomposition, nitrification, and denitrification, whereas deeper layers hosted oligotrophic archaea adapted to inorganic substrates. Overall, Fe pools appeared to be associated with soil processes relevant to GHG dynamics, although the extent of their regulatory role remains uncertain due to potential alterations of redox-sensitive Fe fractions during sample handling. These results contribute to broader efforts to predict GHG emissions in submerged wetland soils by linking redox stratification, inorganic chemistry, and microbial functional groups. Full article
(This article belongs to the Special Issue Microbial Community Structure and Function in Soils)
Show Figures

Figure 1

16 pages, 2665 KB  
Article
The Precipitation Law of Cu Particles in Cu-Containing Ferritic Steel
by Ruidong Huang, Huimin Zhang, Chengyuan Zhang, Zhongwang Wu, Hao Sun, Xiaolong Zhao, Yanjun Di and Hao Zhang
Materials 2026, 19(6), 1139; https://doi.org/10.3390/ma19061139 - 15 Mar 2026
Viewed by 274
Abstract
Regarding the precipitation behavior of Cu particles in steel, conventional studies have primarily focused on isothermal precipitation, which has limitations in characterizing precipitation kinetics under variable temperature conditions. For this purpose, in the present study, the Fe-3%Si-Cu alloy was selected as a model [...] Read more.
Regarding the precipitation behavior of Cu particles in steel, conventional studies have primarily focused on isothermal precipitation, which has limitations in characterizing precipitation kinetics under variable temperature conditions. For this purpose, in the present study, the Fe-3%Si-Cu alloy was selected as a model system to systematically investigate the regulation of Cu particle precipitation behavior and associated strengthening effects in a ferrite matrix during continuous heating—a process path that better aligns with practical conditions. The results indicate that, during the continuous heating process, an increase in the heating rate from 10 °C/h to 600 °C/h leads to a significant rise in the peak temperature, from 490.2 °C to 609.7 °C, while the time required to reach the peak temperature decreases substantially, from approximately 9.1 h to 19.6 min. Through TEM microstructure analysis and characterization, it is evident that rapid heating at 500 °C/h significantly promotes the high-density nucleation of B2 and 9R-Cu metastable phases while effectively suppressing particle coarsening. This results in a finely dispersed nano-Cu precipitate phase with an average particle size of 8.21 nm and a number density of 30.35 × 1010 cm−2. Under the rapid heating condition of 500 °C/h, the precipitation strengthening contribution of Cu particles reaches 501.86 MPa, significantly higher than the 451.02 MPa observed under the slow heating condition of 50 °C/h. This study, from the perspective of the coupling effect between thermodynamics (driven by undercooling) and kinetics (governed by diffusion), elucidates the kinetic behavior of Cu particle precipitation during continuous heating. It provides a novel fundamental and strengthening theory in the field of ferrite metallurgy for copper-enriched electrical steels and related engineering steels, offering significant insights for further understanding the role of copper in ferrite-based steels. Full article
Show Figures

Figure 1

23 pages, 17791 KB  
Article
Open vs. Commercial 5G SA Deployments: Performance Assessment
by Teodora-Cristina Stoian, Razvan-Marius Mihai, Ekaterina Svertoka, Alexandru Martian and Cristian Patachia-Sultanoiu
Technologies 2026, 14(3), 177; https://doi.org/10.3390/technologies14030177 - 13 Mar 2026
Viewed by 331
Abstract
Open-source and commercial fifth-generation (5G) deployments are difficult to compare because they are built for different goals and reported under different conditions, which slows down validation and technology transfer from research to practice. This study explores the deployment and evaluation of two 5G [...] Read more.
Open-source and commercial fifth-generation (5G) deployments are difficult to compare because they are built for different goals and reported under different conditions, which slows down validation and technology transfer from research to practice. This study explores the deployment and evaluation of two 5G Standalone (SA) disaggregated Radio Access Network (RAN) systems, using open-source research RAN, commercial RAN, and Software-Defined Radio (SDR) hardware. The first testbed is a SDR-based prototype, containing a Universal Software Radio Peripheral (USRP) B210 device, using Software Radio System RAN (srsRAN) as the RAN. The commercial-based testbed contains a Benetel RAN550 Radio Unit (RU), connected via an optical fiber to a Commercial Off-the-Shelf (COTS) server acting as the Distributed Unit (DU) and Centralized Unit (CU) using the Accelleran virtualized Baseband Unit (vBBU) platform. The Core Network (CN) is implemented using the open-source Open5GS in both testbeds. To evaluate the network’s functionality, throughput and latency are tracked using a Motorola Edge 50 Pro mobile terminal. The experimental results are analyzed and compared with representative performance metrics reported in the literature to place the measurements in a broader research context. This study further assesses trade-offs related to cost, portability, and scalability by comparing SDR-based research prototypes with commercial deployments. Full article
(This article belongs to the Section Information and Communication Technologies)
Show Figures

Figure 1

15 pages, 1661 KB  
Article
Modulation of Leaf Ionic Composition and Yield of ‘Formosa’ Papaya by Specific Biostimulants Under Deficit Irrigation
by Maíla Vieira Dantas, Reynaldo Teodoro de Fátima, Geovani Soares de Lima, Hans Raj Gheyi, Lauriane Almeida dos Anjos Soares, Reginaldo Gomes Nobre, Josélio dos Santos da Silva, Ana Paula Nunes Ferreira, Jackson Silva Nóbrega, Iara Almeida Roque, Cassiano Nogueira de Lacerda, Gleisson dos Santos da Silva, Larissa Fernanda Souza Santos, Luderlândio de Andrade Silva and Saulo Soares da Silva
Agriculture 2026, 16(6), 652; https://doi.org/10.3390/agriculture16060652 - 12 Mar 2026
Viewed by 278
Abstract
This study evaluated the effects of biostimulant treatments on the ionic composition and yield of ‘Formosa’ papaya (Carica papaya L.) subjected to varying water replacement levels. The research utilized a randomized complete block design in a split-plot scheme comprising three irrigation depths [...] Read more.
This study evaluated the effects of biostimulant treatments on the ionic composition and yield of ‘Formosa’ papaya (Carica papaya L.) subjected to varying water replacement levels. The research utilized a randomized complete block design in a split-plot scheme comprising three irrigation depths (100%, 75%, and 50% ETc) and four biological treatments: control, Trichoderma harzianum, Ascophyllum nodosum, and Bacillus aryabhattai. Contrary to initial expectations, water restriction was associated with increased yield and leaf concentrations of zinc (Zn) and nitrogen (N), challenging the hypothesis that water restriction limits production. Quantitative results showed that T. harzianum under 75% ETc attained 93.29 kg plant−1, whereas the control at 50% ETc recorded 19.14 g kg−1 of N. Under 50% ETc, B. aryabhattai increased the bacterial population to 10.46 log10 CFU g−1 soil compared to the control. The T. harzianum-based biostimulant reduced leaf sodium (Na) under 75% ETc and maintained the nutrient accumulation order K > N > Ca > Fe > Mn > Zn > Cu > Na. Conversely, B. aryabhattai and A. nodosum improved yield under 100% ETc through N accumulation. This study confirms that microbial and seaweed-based biostimulants mitigate water stress through rhizosphere modification and nutritional homeostasis, offering a practical strategy for sustainable fruit production in semi-arid regions. Full article
(This article belongs to the Section Agricultural Water Management)
Show Figures

Figure 1

22 pages, 1235 KB  
Article
Heavy Metal Contamination and Human Health Risks in the Nilüfer Stream (Bursa, Türkiye): An Integrated Surface Water Assessment
by Saadet Hacısalihoğlu
Appl. Sci. 2026, 16(6), 2693; https://doi.org/10.3390/app16062693 - 11 Mar 2026
Viewed by 330
Abstract
Heavy metal contamination of surface waters poses serious environmental and public health concerns, particularly in industrialized river basins. This study presents an integrated assessment of heavy metal pollution and associated human health risks in the Nilüfer Stream (Bursa, Türkiye) based on a five-year [...] Read more.
Heavy metal contamination of surface waters poses serious environmental and public health concerns, particularly in industrialized river basins. This study presents an integrated assessment of heavy metal pollution and associated human health risks in the Nilüfer Stream (Bursa, Türkiye) based on a five-year monitoring dataset (2020–2024). Seasonal water samples collected from 15 stations along the main stream and its tributaries were analyzed for total concentrations of As, Al, B, Cr, Cu, Fe, Mn, Ni, Pb, and Zn. Pollution levels were evaluated using the Heavy Metal Pollution Index (HPI), Heavy Metal Evaluation Index (HEI), and Degree of Contamination (Cd), while non-carcinogenic and carcinogenic health risks for adults and children were assessed via ingestion exposure following USEPA guidelines. Mean concentrations of Al, Fe, Mn, As, and Ni exceeded international drinking water guideline values, indicating significant contamination within the basin. All indices classified the Nilüfer Stream as severely polluted (HPI = 274.32; HEI = 49.59; Cd = 49.59), with higher values during summer and autumn due to reduced dilution. Principal component analysis revealed strong associations among Al, Fe, Mn, Ni, Cr, and Cu, suggesting a common origin likely related to cumulative anthropogenic inputs, while arsenic exhibited a distinct pattern linked to toxicological risk. Health risk assessment showed that the hazard index exceeded safe thresholds for both age groups, with children being more vulnerable. Arsenic and nickel were the main contributors to both non-carcinogenic and carcinogenic risks, with arsenic posing an unacceptable lifetime cancer risk. Overall, the results indicate severe cumulative heavy metal pollution and associated health risks, highlighting the need for continuous monitoring, effective pollution control, and integrated river basin management. Full article
Show Figures

Figure 1

21 pages, 7502 KB  
Article
Biocidal Activity of Multicomponent Magnetron-Sputtered Glass Coatings Against Pathogenic Fungi and the Chromista Phytophthora infestans
by Ewa Ozimek, Artur Nowak, Agnieszka Hanaka, Jolanta Jaroszuk-Ściseł, Małgorzata Majewska, Anna Słomka, Przemysław Ząbek, Radosław Swadźba and Krzysztof Radwański
Agronomy 2026, 16(6), 602; https://doi.org/10.3390/agronomy16060602 - 11 Mar 2026
Viewed by 171
Abstract
The antimicrobial activity of multicomponent, magnetron-sputtered glass coatings was evaluated against phytopathogenic fungi (Botrytis cinerea, Fusarium oxysporum, Cladosporium fulvum, Alternaria solani) and the chromista Phytophthora infestans, with Aspergillus fumigatus included as a model opportunistic pathogen. Fourteen Cu-based [...] Read more.
The antimicrobial activity of multicomponent, magnetron-sputtered glass coatings was evaluated against phytopathogenic fungi (Botrytis cinerea, Fusarium oxysporum, Cladosporium fulvum, Alternaria solani) and the chromista Phytophthora infestans, with Aspergillus fumigatus included as a model opportunistic pathogen. Fourteen Cu-based multicomponent coatings were deposited on glass using multi-alloy targets composed of Sn, Zn, Al, Ni, Fe, Ti, Mn, Nb, or Co in two high-transmittance variants (≥85% and ≥88%). Antimicrobial activity was assessed in two assays: (A) spore survival after 24–72 h contact, and (B) hyphal growth over 7 days following coating exposure under light and dark conditions. Spore viability decreased after incubation on high-Cu coatings, which showed inhibition for most strains, particularly B. cinerea, F. oxysporum, and P. infestans. The effects on spore germination were independent of the direct transmittance value of the coated glass. Hyphal growth was generally less affected by a high Cu content for most strains. Hyphal growth of F. oxysporum, C. fulvum, A. solani and B. cinerea was reduced by up to 30% on selected multicomponent coatings. For most strains, hyphal growth showed no inhibition after light incubation on coatings. However, light-dependent effects were observed for A. solani, A. fumigatus and P. infestans, while B. cinerea and C. fulvum showed reduced sensitivity during the first two days. High-Cu coatings were most effective at inhibiting spore germination, whereas hyphal growth on multicomponent coatings may respond to different ions. Therefore, high-Cu, two-component coatings may be recommended for practical greenhouse applications. Full article
(This article belongs to the Section Pest and Disease Management)
Show Figures

Graphical abstract

Back to TopTop