Sign in to use this feature.

Years

Between: -

Subjects

remove_circle_outline
remove_circle_outline
remove_circle_outline
remove_circle_outline
remove_circle_outline
remove_circle_outline
remove_circle_outline
remove_circle_outline

Journals

Article Types

Countries / Regions

Search Results (111)

Search Parameters:
Keywords = Ctenopharyngodon idella

Order results
Result details
Results per page
Select all
Export citation of selected articles as:
23 pages, 1124 KB  
Article
Analysis of the Spawning Response Characteristics of Four Major Chinese Carps to Eco-Hydrological Processes in the Three Gorges Reservoir
by Zicheng Wang, Junqiang Lin, Di Zhang, Tiegang Zheng, Lixiong Yu, Yizhe Wang and Yufeng Ren
Water 2025, 17(22), 3212; https://doi.org/10.3390/w17223212 - 10 Nov 2025
Viewed by 196
Abstract
The middle reaches of the Yangtze River are a crucial breeding habitat for four major Chinese carps. The ecohydrological characteristics of their spawning grounds are crucial factors influencing spawning for these species: black carp (Mylopharyngodon piceus), grass carp (Ctenopharyngodon idella [...] Read more.
The middle reaches of the Yangtze River are a crucial breeding habitat for four major Chinese carps. The ecohydrological characteristics of their spawning grounds are crucial factors influencing spawning for these species: black carp (Mylopharyngodon piceus), grass carp (Ctenopharyngodon idella), silver carp (Hypophthalmichthys molitrix), and bighead carp (Aristichthys nobilis). To investigate the impact of ecohydrological processes within the Three Gorges Reservoir on spawning, this study focused on the spawning grounds of the four major Chinese carps in the Yichang–Yidu section of the Yangtze River. By identifying key ecohydrological indicators and leveraging hydrological and spawning monitoring data from 2013 to 2024, the response characteristics of the four major Chinese carps’ spawning to these hydrological processes were analyzed. The results showed that the key ecohydrological indicators currently stimulating spawning for the four major Chinese carps are the fish-perceived daily flow rate increase, the fish-perceived cumulative flow rate increase, and the daily flow rate increase. These three indicators are significantly positively correlated with the scale of spawning for the four major Chinese carps. The thresholds for spawning at least 20% of the annual spawning total are: a perceived daily flow increase (Pda) of 4.52–36.05%; a perceived cumulative flow increase (Pcu) of 36.15–180.23%; and a daily flow increase (Qav) of 588–2825 m3/s. The optimal water temperature for the reproduction of the four major Chinese carps is 21–23 °C. Overall, since the Three Gorges Reservoir’s normal operation, the frequency and scale of spawning for the four major Chinese carps have been highest during periods of rising water. It is recommended that, within the corresponding thresholds, ecological operation be conducted twice a year, once in mid-June and once in early July or late June. Daily flow increases can be controlled within the range of 588–2000 m3/s. This study analyzed the correlation between eco-hydrological indicators and the stimulation of spawning of the four major Chinese carps, providing optimized flow ranges and habitat conditions for ecological operation, which is conducive to promoting the reproduction and spawning of the four major Chinese carps in the Yichang–Yidu spawning grounds in the middle reaches of the Yangtze River. Full article
(This article belongs to the Special Issue Ecohydraulics and Fish Behavior Simulation)
Show Figures

Figure 1

12 pages, 3504 KB  
Article
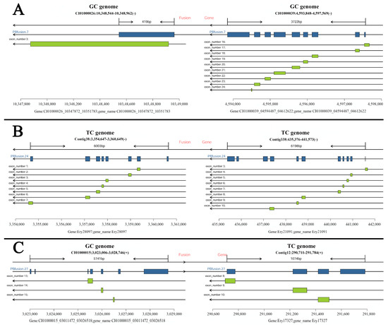
Full-Length Transcriptome Reveals Heterologous Sperm Fragments in Natural Gynogenetic Grass Carp
by Lang Qin, Yuxiang Wang, Ming Wen, Jinhui Huang, Xu Huang, Qian Chen, Dan Peng, Yang Wu, Qianye Wei, Fangzhou Hu, Kaijun Gong, Chun Zhang, Qinbo Qin, Chang Wu and Shaojun Liu
Fishes 2025, 10(11), 570; https://doi.org/10.3390/fishes10110570 - 7 Nov 2025
Viewed by 223
Abstract
Grass carp (Ctenopharyngodon idella) is one of the most economically important cyprinid species cultured in China. The diploid gynogenetic grass carp (2nGGC, 2n = 48) was generated from the hybrid of female grass carp (GC, 2n = 48) and male topmouth [...] Read more.
Grass carp (Ctenopharyngodon idella) is one of the most economically important cyprinid species cultured in China. The diploid gynogenetic grass carp (2nGGC, 2n = 48) was generated from the hybrid of female grass carp (GC, 2n = 48) and male topmouth culter (TC, 2n = 48, Culter alburnus). This study obtained the full-length transcriptome of 2nGGC from five tissues using Pacific Biosciences (Pacbio) single-molecule real-time long-read isoform sequencing. Following the mapping of long reads to GC and TC reference genomes, a total of 1848 fusion isoforms were identified. Among them, 775 were distributed across different genomes, indicating that chimeric DNA fragments of TC were embedded in the 2nGGC genome. After removing the fusion genes and redundant isoforms, 107,721 full-length transcripts were obtained from 2nGGC, providing important full-length reference sequences for further research. Finally, comparative analysis of homologous gene variation identified 34 fragments in 2nGGC containing recombinant SNPs derived from both GC and TC. These results provide evidence that natural gynogenesis represents a form of “micro-hybridization” characterized by heterogeneous DNA fragments, distinct from traditional hybridization involving chromosome-level recombination. These findings offer valuable reference for fish genetic breeding. Full article
(This article belongs to the Special Issue Genetics and Breeding of Fishes)
Show Figures

Figure 1

10 pages, 2134 KB  
Article
Effects of a Synthetic Isoquinoline Derivative Against Ichthyophthirius multifiliis In Vivo and In Vitro in Grass Carp (Ctenopharyngodon idella)
by Xianqi Peng, Xialian Bu, Weisong Ma, Jinbiao Jiao, Xiaohong Huang, Yu Zhao, Jian Zhu, Lei Huang, Jing Chen, A’qin Zheng, Huantao Qu and Jiayun Yao
Pathogens 2025, 14(10), 1069; https://doi.org/10.3390/pathogens14101069 - 21 Oct 2025
Viewed by 360
Abstract
White spot disease, caused by the parasitic Ichthyophthirius multifiliis, induces mortality exceeding 80% in intensive aquaculture systems, resulting in global annual losses of >$1 billion. Current chemical controls (e.g., formaldehyde) face environmental persistence and drug resistance challenges. This study developed a synthetic [...] Read more.
White spot disease, caused by the parasitic Ichthyophthirius multifiliis, induces mortality exceeding 80% in intensive aquaculture systems, resulting in global annual losses of >$1 billion. Current chemical controls (e.g., formaldehyde) face environmental persistence and drug resistance challenges. This study developed a synthetic isoquinoline derivative, BHTCA (s)-2-tert-butoxycarbonyl-7-hydroxy-1,2,3,4-tetrahydroisoquinoline-3-carboxylic acid), as a biodegradable alternative against I. multifiliis in grass carp (Ctenopharyngodon idella). In vitro assays revealed stage-selective efficacy: theronts exhibited higher susceptibility (EC50 = 0.10 mg/L at 4 h) than tomonts (EC50 = 0.40 mg/L at 24 h), with BHTCA disrupting ciliary structures and compromising cyst integrity. In vivo trials (0.6 mg/L) reduced parasite loads by 78.1% and host mortality by 66.7% versus untreated controls. Acute toxicity tests confirmed a high therapeutic index (LC50 = 16.75 mg/L; >167× effective concentration). With demonstrated efficacy, low production cost, and minimal eco-toxicity, BHTCA presents a sustainable strategy for Ichthyophthiriasis management in aquaculture. Full article
(This article belongs to the Special Issue Fish Pathogens: An Ongoing Challenge for Aquaculture)
Show Figures

Figure 1

14 pages, 3946 KB  
Article
Histopathological and Molecular Insights into Grass Carp Kidney Responses to Co-Infection with Aeromonas hydrophila and Aeromonas veronii
by Yifei Zhou, Ruijun Zhu, Lingli Xie, Wenyao Lv, Xinyue Wang, Mengzhou Wu, Xiaoyan Xu and Junqiang Qiu
Fishes 2025, 10(10), 484; https://doi.org/10.3390/fishes10100484 - 29 Sep 2025
Viewed by 717
Abstract
Grass carp (Ctenopharyngodon idella), a key species in freshwater aquaculture, is particularly vulnerable to opportunistic pathogens, including Aeromonas hydrophila and Aeromonas veronii. While the pathogenic mechanisms of individual infections have been extensively characterized, the host immune responses during co-infection remain [...] Read more.
Grass carp (Ctenopharyngodon idella), a key species in freshwater aquaculture, is particularly vulnerable to opportunistic pathogens, including Aeromonas hydrophila and Aeromonas veronii. While the pathogenic mechanisms of individual infections have been extensively characterized, the host immune responses during co-infection remain poorly understood. This research explored the renal pathological alterations and transcriptomic shifts in grass carp subjected to simultaneous infection by A. hydrophila and A. veronii. Mortality occurred as early as 24 h post-challenge, ultimately reaching a cumulative death rate of 65%. Quantitative analysis of renal bacterial burden revealed a marked increase in colonization at 3 days post-infection (dpi). The histopathological assessment showed progressive kidney damage, including tubular collapse, epithelial necrosis, interstitial edema, and widespread epithelial desquamation, with the most severe lesions observed at 5 dpi and partial signs of recovery by 7 dpi. A total of 1106 and 472 genes were found to be differentially expressed at 1 and 5 dpi, respectively, based on transcriptome profiling. The functional enrichment analysis indicated that the differentially expressed genes (DEGs) were mainly involved in the complement and coagulation cascade pathways. Notably, the immune-related genes exhibited a biphasic trend, with predominant downregulation at 1 dpi followed by marked upregulation by 5 dpi, indicating dynamic changes in immune modulation during co-infection. These results provide new insights into host responses during dual bacterial infections in fish and may inform disease prevention strategies in aquaculture. Full article
(This article belongs to the Section Welfare, Health and Disease)
Show Figures

Figure 1

21 pages, 4076 KB  
Article
Comparative Transcriptomics of Olfactory Rosettes Reveals Expression Divergence and Adaptive Evolution in Herbivorous and Carnivorous Xenocyprididae Fishes
by Hua Xue, Hailong Gu, Liu Yang, Jingchen Chen and Wenqiao Tang
Animals 2025, 15(18), 2741; https://doi.org/10.3390/ani15182741 - 19 Sep 2025
Cited by 1 | Viewed by 478
Abstract
Olfaction plays a crucial role in fish feeding behaviors and ecological adaptation. However, systematic studies on its transcriptional regulation and molecular evolutionary mechanisms in herbivorous and carnivorous fishes remain scarce. In this study, we analyzed four Xenocyprididae species: two herbivorous (Ctenopharyngodon idella [...] Read more.
Olfaction plays a crucial role in fish feeding behaviors and ecological adaptation. However, systematic studies on its transcriptional regulation and molecular evolutionary mechanisms in herbivorous and carnivorous fishes remain scarce. In this study, we analyzed four Xenocyprididae species: two herbivorous (Ctenopharyngodon idella and Megalobrama amblycephala) and two carnivorous (Elopichthys bambusa and Culter alburnus), using olfactory rosette transcriptome sequencing and cross-species comparisons. The number of unigenes per species ranged from 40,229 to 42,405, with BUSCO completeness exceeding 89.2%. Functional annotation was performed using six major databases. Olfactory-related candidate genes were identified based on Pfam domains (7tm_4) and KEGG pathways (ko04740), revealing 8–19 olfactory receptor genes per species. These candidate genes were predominantly enriched in the olfactory transduction and neuroactive ligand–receptor interaction pathways. A total of 3681 single-copy orthologous genes were identified, and their expression profiles exhibited clear interspecific divergence without forming strict clustering by dietary type. High-threshold differentially expressed trend genes (|log2FC| ≥ 4) were enriched in pathways related to RNA processing, metabolite transport, and xenobiotic metabolism, suggesting that the olfactory system may participate in diverse adaptive responses. Ka/Ks analysis indicated that most homologous genes were under purifying selection, with only 0.87–2.07% showing positive selection. These positively selected genes were enriched in pathways related to immune response and neural regulation, implying potential roles in adaptive evolution associated with ecological behavior. Furthermore, the olfactory-related gene oard1 exhibited Ka/Ks > 1 in the E. bambusa vs. C. idella comparison. qRT-PCR validation confirmed the reliability of the RNA-Seq data. This work is the first to integrate two complementary indicators—expression trends and evolutionary rates—to systematically investigate the transcriptional regulation and molecular evolution of the olfactory system in Xenocyprididae species under the context of dietary differentiation, providing valuable reference data for understanding the perceptual basis of dietary adaptation in freshwater fish. Full article
(This article belongs to the Section Aquatic Animals)
Show Figures

Figure 1

19 pages, 4449 KB  
Article
Characterization of the NFAT Gene Family in Grass Carp (Ctenopharyngodon idellus) and Functional Analysis of NFAT1 During GCRV Infection
by Yao Shen, Yitong Zhang, Chen Chen, Shitao Hu, Jia Liu, Yiling Zhang, Tiaoyi Xiao, Baohong Xu and Qiaolin Liu
Fishes 2025, 10(9), 422; https://doi.org/10.3390/fishes10090422 - 22 Aug 2025
Viewed by 614
Abstract
Nuclear factors of activated T cells (NFATs) are pivotal regulatory factors of immune responses, primarily by modulating T cell activity and regulating inflammatory cytokine gene transcription. The grass carp reovirus (GCRV) triggers a serious hemorrhagic condition, posing a significant threat to sustainable grass [...] Read more.
Nuclear factors of activated T cells (NFATs) are pivotal regulatory factors of immune responses, primarily by modulating T cell activity and regulating inflammatory cytokine gene transcription. The grass carp reovirus (GCRV) triggers a serious hemorrhagic condition, posing a significant threat to sustainable grass carp (Ctenopharyngodon idella) aquaculture. However, the precise function of NFAT in the host’s defense against GCRV infection is mostly undefined. This study comprehensively identified and characterized the NFAT genetic family in grass carp, cloned grass carp NFAT1 (CiNFAT1), and investigated its expression and function during GCRV infection. Eight NFAT genes encoding seventeen isoforms have been detected within the grass carp’s genomic sequence, distributed across six different chromosomes. Comparative analysis revealed homology with zebrafish NFATs. CiNFAT1 possesses a 2697 bp open reading frame, encoding 898 amino acids, and contains conserved Rel homology domain (RHD) and NFAT-homology (IPT) domains. Quantitative PCR (qPCR) revealed ubiquitous CiNFAT1 expression in healthy grass carp tissues, with the highest expression in gills and skin and the lowest in liver. Following GCRV challenge in vivo, CiNFAT1 expression in immune tissues (liver, spleen, kidney, gill, intestine) showed dynamic changes over time. In vitro experiments in CIK cells demonstrated that CiNFAT1 expression peaked at 12 h post-GCRV infection. Further functional studies revealed that overexpression of CiNFAT1 significantly reduced GCRV replication at 36 h post-infection. This reduction was accompanied by elevated expression of type I interferon (IFN-I) and interferon regulatory factor 7 (IRF7) at 24 and 36 h, respectively, as well as modulated IL-2, IL-8, and IL-10. Conversely, RNA interference-mediated knockdown of CiNFAT1 enhanced GCRV VP5 and VP7 mRNA levels and suppressed IL-2 and IL-8 expression. These results suggest that CiNFAT1 contributes to anti-GCRV immunity by promoting antiviral and inflammatory cytokine responses, thereby inhibiting viral replication. This study provides a foundational understanding of the NFAT genetic family in grass carp and highlights an important role of CiNFAT1 in mediating the body’s inherent defense mechanism against GCRV infection, offering insights for disease control strategies in aquaculture. Full article
(This article belongs to the Special Issue Molecular Design Breeding in Aquaculture)
Show Figures

Figure 1

17 pages, 1459 KB  
Article
Effectiveness of Feed-Based Monovalent Aeromonas Vaccine in Farmed Carp
by Nimra Mubeen, Farzana Abbas, Muhammad Hafeez-ur-Rehman, Margaret Crumlish, Haris Mahboob, Muhammad Akmal, Ayesha Sadiqa, Talha Mahboob Alam and Samama Jalil
Microorganisms 2025, 13(8), 1903; https://doi.org/10.3390/microorganisms13081903 - 15 Aug 2025
Cited by 1 | Viewed by 819
Abstract
Aeromonas hydrophila (A. hydrophila) is responsible for causing abdominal dropsy, swimming abnormalities, skin ulcerations, and pale gills in fish. Vaccination is an essential strategy for disease prevention in aquaculture. This study evaluated the efficacy of an oral vaccine against A. hydrophila [...] Read more.
Aeromonas hydrophila (A. hydrophila) is responsible for causing abdominal dropsy, swimming abnormalities, skin ulcerations, and pale gills in fish. Vaccination is an essential strategy for disease prevention in aquaculture. This study evaluated the efficacy of an oral vaccine against A. hydrophila in Ctenopharyngodon idella (C. idella). The vaccine was formulated as feed-based monovalent pellets, incorporating or spraying formalin-killed A. hydrophila on/into commercial feed with 30% crude protein. Mineral and fish oils were used as adjuvants at 10% of the feed. Prior to the trial, the experimental feed groups were subjected to quality and safety tests. Grass carp fingerlings (20 ± 5 g) were divided into seven groups (n = 20 per group): sprayed vaccinated feed with fish oil (SVFF), incorporated vaccinated feed with fish oil (IVFF), sprayed vaccinated feed with mineral oil (SVFM), incorporated vaccinated feed with mineral oil (IVFM), sprayed vaccinated feed (SVF), incorporated vaccinated feed (IVF), and a control group. Feed was provided at 3% of body weight for 60 days. Immunomodulation was investigated through lysozyme activity, antibody titers, and immunoglobulin M (IgM). The IVFF group showed significantly enhanced immunity and growth performance, with an 87% protection rate, 13% mortality, and the highest relative percentage survival (83%) following intraperitoneal A. hydrophila (6.8 × 109 CFU/mL) challenge. Histological analysis indicated minimal pathological changes in the IVFF group compared to controls. Fish oil as an adjuvant enhanced immunity without adverse health effects. Overall, this study demonstrated that feed-based monovalent vaccines effectively improve immune responses and provide protection against A. hydrophila in C. idella. Full article
(This article belongs to the Section Molecular Microbiology and Immunology)
Show Figures

Figure 1

13 pages, 17671 KB  
Article
Environmental DNA Metabarcoding as a Tool for Fast Fish Assessment in Post-Cleanup Activities: Example from Two Urban Lakes in Zagreb, Croatia
by Matej Vucić, Thomas Baudry, Dušan Jelić, Ana Galov, Željko Pavlinec, Lana Jelić, Biljana Janev Hutinec, Göran Klobučar, Goran Slivšek and Frédéric Grandjean
Fishes 2025, 10(8), 375; https://doi.org/10.3390/fishes10080375 - 4 Aug 2025
Viewed by 912
Abstract
This study evaluated the effectiveness of eDNA metabarcoding in assessing fish communities in two urban lakes (First Lake and Second Lake) in Zagreb, Croatia, following IAS removal. Water samples were collected in April and June 2024 and analyzed using MiFish primers targeting the [...] Read more.
This study evaluated the effectiveness of eDNA metabarcoding in assessing fish communities in two urban lakes (First Lake and Second Lake) in Zagreb, Croatia, following IAS removal. Water samples were collected in April and June 2024 and analyzed using MiFish primers targeting the 12S rRNA gene. The results indicated that the cleanup efforts were largely successful, as several IAS previously recorded in these lakes were not detected (Ameiurus melas, Lepomis gibbosus, and Hypophthalmichthys spp.). However, some others persisted in low relative abundances, such as grass carp (Ctenopharyngodon idella), topmouth gudgeon (Pseudorasbora parva), and prussian/crucian carp (Carassius sp.). Species composition differed between lakes, with common carp (Cyprinus carpio) dominating Maksimir First Lake, while chub (Squalius cephalus) was prevalent in Maksimir Second Lake. Unexpected eDNA signals from salmonid and exotic species suggest potential input from upstream sources, human activity, or the nearby Zoo Garden. These findings underscore the utility of eDNA metabarcoding in biodiversity monitoring and highlight the need for continuous surveillance and adaptive management strategies to ensure long-term IAS control. Full article
Show Figures

Figure 1

18 pages, 6860 KB  
Article
Molecular Characterization and Antiviral Function Against GCRV of Complement Factor D in Barbel Chub (Squaliobarbus curriculus)
by Yu Xiao, Zhao Lv, Yuling Wei, Mengyuan Zhang, Hong Yang, Chao Huang, Tiaoyi Xiao and Yilin Li
Fishes 2025, 10(8), 370; https://doi.org/10.3390/fishes10080370 - 2 Aug 2025
Viewed by 512
Abstract
The barbel chub (Squaliobarbus curriculus) exhibits remarkable resistance to grass carp reovirus (GCRV), a devastating pathogen in aquaculture. To reveal the molecular basis of this resistance, we investigated complement factor D (DF)—a rate-limiting serine protease governing alternative complement pathway activation. Molecular [...] Read more.
The barbel chub (Squaliobarbus curriculus) exhibits remarkable resistance to grass carp reovirus (GCRV), a devastating pathogen in aquaculture. To reveal the molecular basis of this resistance, we investigated complement factor D (DF)—a rate-limiting serine protease governing alternative complement pathway activation. Molecular cloning revealed that the barbel chub DF (ScDF) gene encodes a 1251-bp cDNA sequence translating into a 250-amino acid protein. Crucially, bioinformatic characterization identified a unique N-glycosylation site at Asn139 in ScDF, representing a structural divergence absent in grass carp (Ctenopharyngodon idella) DF (CiDF). While retaining a conserved Tryp_SPc domain harboring the catalytic triad (His61, Asp109, and Ser204) and substrate-binding residues (Asp198, Ser219, and Gly221), sequence and phylogenetic analyses confirmed ScDF’s evolutionary conservation, displaying 94.4% amino acid identity with CiDF and clustering within the Cyprinidae. Expression profiling revealed constitutive ScDF dominance in the liver, and secondary prominence was observed in the heart. Upon GCRV challenge in S. curriculus kidney (SCK) cells, ScDF transcription surged to a 438-fold increase versus uninfected controls at 6 h post-infection (hpi; p < 0.001)—significantly preceding the 168-hpi response peak documented for CiDF in grass carp. Functional validation showed that ScDF overexpression suppressed key viral capsid genes (VP2, VP5, and VP7) and upregulated the interferon regulator IRF9. Moreover, recombinant ScDF protein incubation induced interferon pathway genes and complement C3 expression. Collectively, ScDF’s rapid early induction (peaking at 6 hpi) and multi-pathway coordination may contribute to barbel chub’s GCRV resistance. These findings may provide molecular insights into the barbel chub’s high GCRV resistance compared to grass carp and novel perspectives for anti-GCRV breeding strategies in fish. Full article
(This article belongs to the Special Issue Molecular Design Breeding in Aquaculture)
Show Figures

Figure 1

15 pages, 3311 KB  
Article
Induction of Triploid Grass Carp (Ctenopharyngodon idella) and Changes in Embryonic Transcriptome
by Zixuan E, Han Wen, Yingshi Tang, Mingqing Zhang, Yaorong Wang, Shujia Liao, Kejun Chen, Danqi Lu, Haoran Lin, Wen Huang, Xiaoying Chen, Yong Zhang and Shuisheng Li
Animals 2025, 15(15), 2165; https://doi.org/10.3390/ani15152165 - 22 Jul 2025
Cited by 1 | Viewed by 881
Abstract
Grass carp is an economically important cultured species in China. Triploid embryo production is widely applied in aquaculture to achieve reproductive sterility, improve somatic growth, and reduce ecological risks associated with uncontrolled breeding. In this study, a simple cold shock method for inducing [...] Read more.
Grass carp is an economically important cultured species in China. Triploid embryo production is widely applied in aquaculture to achieve reproductive sterility, improve somatic growth, and reduce ecological risks associated with uncontrolled breeding. In this study, a simple cold shock method for inducing triploid grass carp was developed. The triploid induction rate of 71.73 ± 5.00% was achieved by applying a cold treatment at 4 °C for 12 min, starting 2 min after artificial fertilization. Flow cytometry and karyotype analysis revealed that triploid individuals exhibited a 1.5-fold increase in DNA content compared to diploid counterparts, with a chromosomal composition of 3n = 72 (33m + 36sm + 3st). Additionally, embryonic transcriptome analysis demonstrated that, in the cold shock-induced embryos, genes associated with abnormal mesoderm and dorsal–ventral axis formation, zygotic genome activation (ZGA), and anti-apoptosis were downregulated, whereas pro-apoptotic genes were upregulated, which may contribute to the higher abnormal mortality observed during embryonic development. Overall, this study demonstrates optimized conditions for inducing triploidy in grass carp via cold shock and provides insights into the transcriptomic changes that take place in cold shock-induced embryos, which could inform future grass carp genetic breeding programs. Full article
(This article belongs to the Section Aquatic Animals)
Show Figures

Figure 1

13 pages, 1667 KB  
Article
Isolation and Identification of Pathogenic Bacteria Aeromonas veronii in Ctenopharyngodon idella (Grass Carp) and Chinese Herbal Medicine Antibacterial Experiment
by Yanhua Zhao, Hui Xue, Guoxing Liu, Li Sun and Hucheng Jiang
Bacteria 2025, 4(3), 34; https://doi.org/10.3390/bacteria4030034 - 12 Jul 2025
Viewed by 878
Abstract
Grass carp in aquaculture exhibited symptoms of bacterial infection leading to mortality. To investigate the cause of the disease and control grass carp infections, samples from diseased grass carp were collected, and a bacterial strain named XH-1 was isolated from the internal organs [...] Read more.
Grass carp in aquaculture exhibited symptoms of bacterial infection leading to mortality. To investigate the cause of the disease and control grass carp infections, samples from diseased grass carp were collected, and a bacterial strain named XH-1 was isolated from the internal organs of the infected fish. Artificial infection experiments were conducted to determine whether the isolated strain XH-1 was the pathogenic bacterium. The biological characteristics of the isolated strain were studied through a 16S rRNA sequence analysis, physiological and biochemical identification, and phylogenetic tree construction. Extracts from 14 traditional Chinese herbs were tested to evaluate their bacteriostatic and bactericidal effects on the isolated strain. The regression infection experiment confirmed that the isolated strain XH-1 was the pathogenic bacterium causing the grass carp disease. Biological characterization studies identified the bacterium as Aeromonas veronii, which is clustered with A. veronii MW116767.1 on the phylogenetic tree. Among the 14 Chinese herbal extracts, Lignum sappa, Pericarpium granna, Artemisia argyi, Scutellaria baicalensis Georgi, Coptis chinensis, and Artemisiacapillaris thunb exhibited significant bacteriostatic effects on XH-1. Lignum sappa showed the highest sensitivity to A. veronii, with the largest inhibition zone diameter, and its minimum inhibitory concentration (MIC) and minimum bactericidal concentration (MBC) were 7.813 mg/mL and 15.625 mg/mL, respectively. As the concentration of Lignum sappa extract increased, its bacteriostatic and bactericidal effects strengthened. When the concentration exceeded 14 mg/mL, it maintained strong bactericidal activity over 32 h. This study on A. veronii XH-1 provides theoretical insights for the prevention of grass carp aquaculture diseases and the use of traditional Chinese herbs for treatment. Full article
Show Figures

Figure 1

24 pages, 52994 KB  
Article
The Naturally Bioactive Vicine Extracted from Faba Beans Is Responsible for the Transformation of Grass Carp (Ctenopharyngodon idella) into Crisp Grass Carp
by Xinyu Zheng, Minyi Luo, Bing Fu, Gen Kaneko, Jingjing Tian, Jun Xie, Jilun Hou and Ermeng Yu
Antioxidants 2025, 14(7), 813; https://doi.org/10.3390/antiox14070813 - 1 Jul 2025
Viewed by 1066
Abstract
While faba bean feeding improves grass carp muscle texture via reactive oxygen species (ROS), the main bioactive compound was unclear. In this study, vicine—a pro-oxidant glycoside—was isolated from faba beans using cation-exchange column chromatography and supplemented into the feed of grass carp at [...] Read more.
While faba bean feeding improves grass carp muscle texture via reactive oxygen species (ROS), the main bioactive compound was unclear. In this study, vicine—a pro-oxidant glycoside—was isolated from faba beans using cation-exchange column chromatography and supplemented into the feed of grass carp at 0.6%. To assess the impact of vicine on muscle texture, the grass carp were fed for 150 days with three treatments: control group, faba bean group, and vicine group. The results showed that vicine improved muscle texture similarly to faba beans but caused fewer adverse effects on muscle, liver, and intestinal health. Vicine improved grass carp muscle texture in the following ways: (1) induced ROS overproduction, activating the Caspase apoptosis pathway and downregulating Pax-7 to promote satellite cell-mediated myofiber regeneration; (2) vicine-mediated intestinal microbiota alterations increased lipopolysaccharide (LPS) levels, indirectly elevating muscle ROS via the gut–muscle axis to further affect muscle structure. This study demonstrated that vicine improved muscle texture by activating ROS-dependent myofiber regeneration but also induced oxidative stress and gut microbiota perturbation. While vicine mitigated the severe toxicity of faba beans, its application requires careful evaluation of its toxicological properties to balance benefits and risks. This study offers new insights for enhancing the quality of aquatic animals. Full article
(This article belongs to the Special Issue The Role of Oxidative Stress in Aquaculture)
Show Figures

Figure 1

11 pages, 1945 KB  
Article
Genome-Wide Association Analysis and Genomic Selection for Growth Traits in Grass Carp (Ctenopharyngodon idella)
by Yuxuan Chen, Qiaozhen Yu, Wenyao Lv, Tao Sheng, Lang Gui, Junqiang Qiu, Xiaoyan Xu and Jiale Li
Animals 2025, 15(13), 1888; https://doi.org/10.3390/ani15131888 - 26 Jun 2025
Cited by 1 | Viewed by 665
Abstract
Grass carp (Ctenopharyngodon idella), a globally important aquaculture species, exhibits protein-dependent growth plasticity, requiring genetic improvement for sustainable production. This study integrates genome-wide association analysis (GWAS) and genomic selection (GS) to unravel the genetic architecture of four growth traits, body weight, [...] Read more.
Grass carp (Ctenopharyngodon idella), a globally important aquaculture species, exhibits protein-dependent growth plasticity, requiring genetic improvement for sustainable production. This study integrates genome-wide association analysis (GWAS) and genomic selection (GS) to unravel the genetic architecture of four growth traits, body weight, body length, body height, and body depth, in grass carp fed with diets of varying protein levels (20%, 25%, 30%, and 35%). Using a 21K liquid SNP array, we identified 62,736 high-quality SNPs across 24 chromosomes, with 90 SNPs significantly associated with growth traits. Notably, three SNPs (SLG14_24417024, SLG14_24417039, SLG24_30276273) exhibited pleiotropic effects on multiple traits. Functional annotation of 276 candidate genes near significant SNPs revealed enrichment in keratinocyte development, septin cytoskeleton organization, and heat acclimation pathways. Genomic prediction achieved accuracies up to 0.79 for body weight traits using 1533 optimal markers. This study provides the first comprehensive SNP resource for grass carp growth traits with different dietary treatments, bridging GWAS and genomic prediction to accelerate marker-assisted selection. Our findings not only advance genetic breeding strategies but also inform protein diet optimization, minimizing economic and environmental costs in aquaculture. Full article
(This article belongs to the Section Animal Genetics and Genomics)
Show Figures

Figure 1

22 pages, 3157 KB  
Article
Effects of Dietary Supplementation with Three Different Probiotics on Growth Performance, Antioxidant Capacity, and Intestinal Microbiota in Grass Carp (Ctenopharyngodon idella)
by Wanjia Zhu, Yi Yi, Zhiwei Zou, Haipeng Li, Ting Liang, Qianhe Shi, Liwei Liu and Jianmei Su
Microorganisms 2025, 13(6), 1222; https://doi.org/10.3390/microorganisms13061222 - 27 May 2025
Cited by 4 | Viewed by 1233
Abstract
The growing demand for sustainable aquaculture has intensified research on probiotics as antibiotic alternatives. This study aims to evaluate the effects of three probiotic supplements—1 × 1010 CFU/g of Bacillus subtilis (BS), Clostridium butyricum (CB), or Enterococcus faecalis (EF)—on growth performance, antioxidant [...] Read more.
The growing demand for sustainable aquaculture has intensified research on probiotics as antibiotic alternatives. This study aims to evaluate the effects of three probiotic supplements—1 × 1010 CFU/g of Bacillus subtilis (BS), Clostridium butyricum (CB), or Enterococcus faecalis (EF)—on growth performance, antioxidant capacity, intestinal structure, and gut microbiota in grass carp (Ctenopharyngodon idella; initial body weight: 42.52 ± 4.17 g) for 28 d. Compared to the non-supplemented (NC) control group, all probiotic-supplemented groups significantly enhanced final body weight, weight gain rate, specific growth rate, and crude protein content, and reduced feed conversion ratio (p < 0.05). Probiotic supplementation upregulated the intestinal ctrb1 gene expression and increased villus length. Serum superoxide dismutase (SOD) and catalase activity were elevated in the BS group, whereas only SOD was increased in the CB group (p < 0.05). Gut microbiota analysis revealed reduced Proteobacteria abundance in all probiotic-supplemented groups. Compared with the NC group, the BS group enriched Bacteroidetes and Prevotella_7, while the CB group promoted the abundance of Actinobacteria, Lactobacillus, and Clostridium_sensu_stricto_1. The EF group increased the abundance of Fusobacteria, Cetobacterium, and Bacteroides (p < 0.05). These findings demonstrate that dietary supplementation with probiotics enhances growth performance by modulating antioxidant responses, intestinal morphology, and microbial community balance. Full article
(This article belongs to the Special Issue Microbes in Aquaculture)
Show Figures

Graphical abstract

11 pages, 2807 KB  
Article
Study on the Flow Velocity Preference of the Four Major Chinese Carps Using Convolutional Neural Networks
by Ning Qiu, Wenjing Li, Yi Yu, Jianna Jia, Guoqiang Ma and Shitao Peng
Fishes 2025, 10(4), 172; https://doi.org/10.3390/fishes10040172 - 11 Apr 2025
Cited by 1 | Viewed by 684
Abstract
Flow velocity is a critical factor in determining the suitability of fish habitats. Understanding the preference patterns of the four major Chinese carps (FMCCs) for different flow velocities is crucial for their habitat conservation and restoration. In this study, the preference of individual [...] Read more.
Flow velocity is a critical factor in determining the suitability of fish habitats. Understanding the preference patterns of the four major Chinese carps (FMCCs) for different flow velocities is crucial for their habitat conservation and restoration. In this study, the preference of individual fish species, approximately 15 cm in length, for flow velocity was investigated at flow velocity gradients of 0.0, 0.4, 0.8, 1.2, 1.6, and 2.0 times their body length. Additionally, a deep learning algorithm based on convolutional neural networks (CNNs) was employed for fish target detection. The results showed that, at this length, black carp (Mylopharyngodon piceus) preferred fast currents when the inlet flow velocity was between 0.4 and 1.6 times their body length, while grass carp (Ctenopharyngodon idella), silver carp (Hypophthalmichthys molitrix), and bighead carp (Hypophthalmichthys nobilis) preferred fast currents when the inlet flow velocity of the test flume was between 0.4 and 2.0 times their body length. However, this preference for fast currents decreased as the overall flow velocity increased to a specific threshold, eventually leading to their avoidance. The highest preference for fast currents among the four species was observed at inlet flow velocities of 1.2, 0.4, 0.8, and 0.8 times their body length, respectively. The findings of this study provide important insights into habitat conservation and restoration for the FMCCs in projects focused on the construction of navigation channels and water conservancy. Full article
Show Figures

Figure 1

Back to TopTop