Sign in to use this feature.

Years

Between: -

Subjects

remove_circle_outline
remove_circle_outline
remove_circle_outline
remove_circle_outline
remove_circle_outline
remove_circle_outline
remove_circle_outline
remove_circle_outline
remove_circle_outline

Journals

remove_circle_outline
remove_circle_outline
remove_circle_outline
remove_circle_outline
remove_circle_outline
remove_circle_outline
remove_circle_outline

Article Types

Countries / Regions

remove_circle_outline
remove_circle_outline
remove_circle_outline
remove_circle_outline

Search Results (522)

Search Parameters:
Keywords = Cr-Al-N

Order results
Result details
Results per page
Select all
Export citation of selected articles as:
16 pages, 15928 KB  
Article
High-Temperature Tribological and Oxidation Performance of a Cr-Al-C Composite Coating on H13 Steel by Laser Cladding
by Shengshu Zuo, Shibo Li, Yixiong Zhang, Xuejin Zhang, Guoping Bei, Faqiang Chen and Dong Liu
Coatings 2026, 16(1), 88; https://doi.org/10.3390/coatings16010088 (registering DOI) - 10 Jan 2026
Abstract
Laser cladding is an effective surface engineering technique to enhance the high-temperature performance of metallic materials. In this work, a Cr-Al-C composite coating was in situ fabricated on H13 steel by laser cladding to alleviate the performance degradation of H13 steel under severe [...] Read more.
Laser cladding is an effective surface engineering technique to enhance the high-temperature performance of metallic materials. In this work, a Cr-Al-C composite coating was in situ fabricated on H13 steel by laser cladding to alleviate the performance degradation of H13 steel under severe thermomechanical conditions, particularly in high-temperature piercing applications. The phase composition, microstructure, microhardness, high-temperature oxidation behavior, and tribological performance of the coating were systematically investigated. The coating is mainly composed of a B2-ordered Fe-Cr-Al phase reinforced by uniformly dispersed M3C2/M7C3-type carbides, which provides a synergistic combination of oxidation protection and mechanical strengthening, offering a microstructural design that differs from conventional Cr-Al or Cr3C2-based laser-clad coatings. Cyclic oxidation tests conducted at 800–1000 °C revealed that the oxidation behavior of the coating followed parabolic kinetics, with oxidation rate constants significantly lower than those of the H13 substrate, attributed to the formation of a dense and adherent Al2O3/Cr2O3 composite protective scale acting as an effective diffusion barrier. Benefiting from the stable oxide layer and the thermally stable carbide-reinforced microstructure, the wear rate of Cr-Al-C coating is significantly reduced compared to H13 steel. At room temperature, the wear rate of the coating is 6.563 × 10−6 mm3/(N·m), about two orders of magnitude lower than 8.175 × 10−4 mm3/(N·m) for the substrate. When the temperature was increased to 1000 °C, the wear rate of the coating remained as low as 5.202 × 10−6 mm3/(N·m), corresponding to only 1.9% of that of the substrate. This work demonstrates that the Cr-Al-C laser-cladded coating can effectively improve the high-temperature oxidation resistance and wear resistance of steel materials under extreme service conditions. Full article
Show Figures

Figure 1

18 pages, 345 KB  
Article
Biological Properties, Mineral Composition, and Health-Promoting Potential of Tiger Nut Tubers (Cyperus esculentus L.) as a Novel and Underutilized Food Source
by Zuzana Knazicka, Tunde Jurikova, Eva Kovacikova, Katarina Fatrcova-Sramkova, Vladimira Bella, Branislav Galik, Klaudia Tomasova, Liliana Hnatova, Ivona Janco, Dominika Lenicka, Martyna Błaszczyk-Altman, Eva Ivanisova, Sona Skrovankova, Martin Prcik and Jiri Mlcek
Foods 2026, 15(2), 191; https://doi.org/10.3390/foods15020191 - 6 Jan 2026
Viewed by 118
Abstract
Tiger nut (Cyperus esculentus L.) is a relatively neglected tuber crop with notable nutritional, functional, and ecological value. The primary objective of this study was to evaluate the biological properties and selected nutritional parameters of tiger nut tubers and oil, including antioxidant [...] Read more.
Tiger nut (Cyperus esculentus L.) is a relatively neglected tuber crop with notable nutritional, functional, and ecological value. The primary objective of this study was to evaluate the biological properties and selected nutritional parameters of tiger nut tubers and oil, including antioxidant activity, total phenolic content (TPC), fatty acid (FA) profile, health-related lipid indices, and mineral composition. Methods: Natural and peeled tiger nut tubers, as well as commercially available tiger nut oil (yellow variety, Valencia, Spain), were analyzed. Antioxidant activity was measured spectrophotometrically using the DPPH method. The content of TPC was determined using the Folin–Ciocalteu assay. Fatty acid composition was analyzed by gas chromatography coupled with flame ionization detection, and these data were used to calculate the PUFA/SFA (P/S) ratio, atherogenicity (AI), thrombogenicity (TI) index, and hypocholesterolemic/hypercholesterolemic (h/H) ratio. Macro- and microelement contents were quantified using inductively coupled plasma optical emission spectrometry. Estimated daily intake (EDI), target hazard quotient (THQ), and total THQ (TTHQ) were calculated to assess potential health risks. Results: Natural tiger nut tubers exhibited substantially higher antioxidant activity and TPC compared to peeled tubers, suggesting that the peel is the primary reservoir of phenolic compounds. Strong antioxidant activity was observed in tiger nut oil (64.82 ± 2.59 mg TEAC/L). Oleic acid (C18:1cis n-9) was identified as the predominant FA across all samples, thus contributing positively to favorable health lipid indices (P/S > 0.50, low AI and TI, high h/H ratio). Potassium was the most abundant macroelement in natural and peeled tiger nut tubers. The overall trend of microelement levels in these samples was as follows: Al > Fe > Zn > Cu > Sr > Mn > Li > Ba > Se > As > Cr. All THQ and TTHQ values were below 1, indicating no appreciable health risk associated with consumption. Conclusions: These findings support the use of tiger nuts as a functionally valuable ingredient in health-oriented food products. Full article
17 pages, 30309 KB  
Article
Enhanced Resistance to Sliding and Erosion Wear in HVAF-Sprayed WC-Based Cermets Featuring a CoCrNiAlTi Binder
by Lei Zhang, Yue Yu, Xiaoming Chen, Jiaxiang Huo, Kai Zhang, Xin Wei, Zhe Zhang and Xidong Hui
Materials 2026, 19(1), 178; https://doi.org/10.3390/ma19010178 - 3 Jan 2026
Viewed by 205
Abstract
WC-based cermet coatings with a CoCrNiAlTi binder were fabricated on 04Cr13Ni5Mo stainless steel substrates using the atmospheric high-velocity air–fuel (HVAF) spraying process. The influence of the air-to-fuel ratio (AFR) on the microstructure, mechanical properties, and wear resistance of the WC-CoCrNiAlTi coatings was systematically [...] Read more.
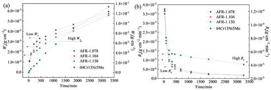
WC-based cermet coatings with a CoCrNiAlTi binder were fabricated on 04Cr13Ni5Mo stainless steel substrates using the atmospheric high-velocity air–fuel (HVAF) spraying process. The influence of the air-to-fuel ratio (AFR) on the microstructure, mechanical properties, and wear resistance of the WC-CoCrNiAlTi coatings was systematically investigated. The results indicate that the WC-CoCrNiAlTi coatings primarily consisted of WC, (Co, Ni)3W3C and a face-centered cubic (FCC) binder phase. As the AFR increased, the formation of the (Co, Ni)3W3C phase gradually decreased. Concurrently, the coating density improved, which was attributed to the enhanced particle melting state and increased flight velocity, leading to better flattening upon impact. The average microhardness of the WC-CoCrNiAlTi coatings gradually increased with an increasing AFR. The coating produced at an AFR of 1.130 exhibited the highest microhardness of 1355.68 HV0.2. Both the friction coefficient and the wear rate of the coatings decreased progressively as the AFR increased. At the optimal AFR of 1.130, the coating demonstrated the lowest friction coefficient (0.6435) and wear rate (1.15 × 10−6 mm3·N−1·m−1), indicating a wear resistance 34.85 times that of the stainless steel substrate. Furthermore, the slurry erosion weight loss rate of the WC-CoCrNiAlTi coatings decreased gradually with increasing AFR. The coating sprayed at an AFR of 1.130 showed the minimum erosion rate (1.70 × 10−6 g·cm−2·min−1), which was 24.04 times lower than that of the substrate. The erosion mechanism of the WC-CoCrNiAlTi coatings was identified as the fatigue-induced removal of WC particles under alternating stress. The ductile high-entropy alloy (HEA) binder effectively protects the brittle WC phase through adaptive deformation, thereby significantly mitigating coating damage. Full article
(This article belongs to the Section Advanced Composites)
Show Figures

Figure 1

24 pages, 6273 KB  
Article
Influence of Post-Processing on S-Phase Formation During Plasma Nitriding of Additively Manufactured Inconel 939
by Piotr Maj, Joanna Radziejewska, Ryszard Diduszko, Michał Marczak, Rafał Nowicki, Podolak-Lejtas Anna, Tomasz Borowski and Ryszard Sitek
Materials 2026, 19(1), 130; https://doi.org/10.3390/ma19010130 - 30 Dec 2025
Viewed by 157
Abstract
Active screen plasma nitriding (ASPN) of additively manufactured nickel-based superalloys represents an understudied surface enhancement pathway. This study presents the first systematic investigation of ASPN applied to additively manufactured Inconel 939 (IN 939), evaluating four distinct post-processing routes combining heat treatment atmospheres (argon [...] Read more.
Active screen plasma nitriding (ASPN) of additively manufactured nickel-based superalloys represents an understudied surface enhancement pathway. This study presents the first systematic investigation of ASPN applied to additively manufactured Inconel 939 (IN 939), evaluating four distinct post-processing routes combining heat treatment atmospheres (argon versus air cooling), vibratory finishing, and lapping under identical nitriding parameters (450 °C, 8 h, 25% N2 + 75% H2, 3 hPa). Contrasting nitriding behaviours emerged as a function of the post-processing route: the air-cooled thermal treatment (HT-air-vibr-lap) promotes formation of a thick Al/Cr-rich oxide layer (10–15 µm) that substantially inhibits nitrogen diffusion, resulting in thin and discontinuous nitrided layers. Conversely, the inert atmosphere route (HT-Ar-vibr-lap) circumvents oxide formation, enabling continuous S-phase (expanded austenite, γN) layer development of a 6.4 ± 0.3 µm thickness with exceptional surface hardness (~1200 HV, representing 3–4× enhancement relative to base material). X-ray diffraction confirmed S-phase formation with refined lattice parameter (3.609 Å) and secondary nitride phases (CrN-type and NbN/TaN-type precipitates). The post-processing sequence—particularly heat treatment atmosphere and mechanical finishing methodology—emerged as a critical controlling parameter for S-phase formation efficiency and mechanical properties of nitrided layers in additively manufactured nickel-based superalloys. This work addresses a knowledge gap distinct from the existing literature on conventional Inconel systems, establishing that controlled surface modification through post-processing can achieve the required properties. Full article
Show Figures

Figure 1

23 pages, 3746 KB  
Article
Preparation of Boron Nitride Nanotube/Aluminum Matrix Composites and Their Application in Automotive Connecting Rods
by Yong Huang, Bingzhan Zhang, Han Zhao, Qingtao Li and Jianbo Bi
Materials 2026, 19(1), 48; https://doi.org/10.3390/ma19010048 - 22 Dec 2025
Viewed by 298
Abstract
In order to address the urgent demand for high-performance materials in the field of automotive lightweighting, there is a need for solutions to the interface instability and performance degradation of traditional reinforcing phases (e.g., SiC, CNT) at elevated temperatures. The present study prepared [...] Read more.
In order to address the urgent demand for high-performance materials in the field of automotive lightweighting, there is a need for solutions to the interface instability and performance degradation of traditional reinforcing phases (e.g., SiC, CNT) at elevated temperatures. The present study prepared BNNTs/Al composites via the stirred casting method for automotive connecting rods. The microstructure, interface characteristics, phase evolution, and high-temperature wettability were systematically characterised using a range of analytical techniques, including SEM, TEM, XRD, and DSC. A study was conducted to assess the mechanical properties of the composites in comparison to those of conventional 40Cr steel. This investigation enabled an evaluation of the material’s comprehensive performance for use in automotive connecting rods. The study successfully achieved uniform dispersion of BNNTs within the aluminium matrix, forming tightly bonded, semi-coherent interfaces such as Al/AlN and Al/AlB2. It was found that complete wetting was achieved at 675 °C, with interface reactions generating AlN and AlB2 phases that significantly enhanced performance. The prepared connecting rod demonstrates a specific strength that significantly exceeds that of 40Cr steel. The experimental investigation conducted in a controlled setting yielded notable outcomes. The empirical evidence demonstrated a 6.5% enhancement in braking performance and a 5.8% reduction in fuel consumption. Through the optimisation of interface design and process control, the BNNTs/Al composite achieves a balanced compromise between high strength, low density, and excellent thermal stability. The material’s potential for use in lightweight automotive connecting rods is significant, offering a novel approach to the eco-friendly manufacturing of related components. Full article
(This article belongs to the Section Metals and Alloys)
Show Figures

Graphical abstract

17 pages, 2827 KB  
Article
Electromagnetic Disintegration of Water Treatment Sludge: Physicochemical Changes and Leachability Assessment
by Izabela Płonka, Barbara Pieczykolan and Maciej Thomas
Appl. Sci. 2026, 16(1), 110; https://doi.org/10.3390/app16010110 - 22 Dec 2025
Viewed by 226
Abstract
This paper presents the results of the study of electromagnetic disintegration of sludge in a microwave oven at power levels 180 W, 360 W, 540 W, 720 W and 900 W applied at 30 s intervals from 30 to 300 s, originating from [...] Read more.
This paper presents the results of the study of electromagnetic disintegration of sludge in a microwave oven at power levels 180 W, 360 W, 540 W, 720 W and 900 W applied at 30 s intervals from 30 to 300 s, originating from a water treatment process where polyaluminum chloride ([Al2(OH)nCl6-n]m) as a coagulant was applied. The selected physicochemical parameters of water treatment sludge, including the total solids content (TS), volatile solids content (VS), capillary suction time (CST), settleability, chemical oxygen demand (COD), heavy metals (Cu, Zn, Ni, Pb, Cd, Cr) and macro elements (K, Na, Ca) in the water extract and in the sludge liquid were measured. The results indicated that after 24 h of sedimentation, the sediment volume was within the range of 50–60 mL for almost all the samples, CST decreased to 23.06 and 25.72 s (for 720 and 900 W, respectively) and the COD increased to approximately 140 mg O2/L when the microwave exposure time was extended at least to 120 s. The degree of disintegration of the water treatment sludge increased to 13.4–14.3% for 540–720 W and 270–300 s irradiation time. Heavy metals are not leached from the sludge after microwave disintegration in concentrations that could pose a threat to the environment. The use of electromagnetic disintegration is the viable option for the treatment of sludge from water treatment process. Full article
(This article belongs to the Special Issue Water Pollution and Wastewater Treatment Chemistry)
Show Figures

Figure 1

21 pages, 11015 KB  
Article
Enhancement of the Wear Properties of Tool Steels Through Gas Nitriding and S-Phase Coatings
by Sebastian Fryska, Mateusz Wypych, Paweł Kochmański and Jolanta Baranowska
Metals 2026, 16(1), 9; https://doi.org/10.3390/met16010009 - 21 Dec 2025
Viewed by 343
Abstract
Tool steels are critical for high-load applications, e.g., forging and metal-forming, where they face thermal cracking, fatigue, erosion, and wear. This study evaluates the impact of gas nitriding and S-phase PVD coatings on the mechanical and tribological properties of four tool steels: 40CrMnNiMo8-6-4, [...] Read more.
Tool steels are critical for high-load applications, e.g., forging and metal-forming, where they face thermal cracking, fatigue, erosion, and wear. This study evaluates the impact of gas nitriding and S-phase PVD coatings on the mechanical and tribological properties of four tool steels: 40CrMnNiMo8-6-4, 60CrMoV18-5, X50CrMoV5-2, and X38CrMoV5-3. Samples were heat-treated (quenched and tempered at 600 °C), then gas-nitrided at 575 °C for 6 h with nitriding potentials (Kn) of 0.18, 0.79, or 2.18, or coated via reactive magnetron sputtering in Ar/N2 or Ar/N2/CH4 atmospheres at 200 °C or 400 °C. Characterization involved XRD, LOM, FE-SEM, GDOES, Vickers hardness (HV0.1), and ball-on-disk wear testing with Al2O3_ counter-samples. Gas nitriding produced nitrogen diffusion layers (80–200 μm thick) and compound layers (ε-Fe(2-3)N, γ’-Fe4N) at higher Kn, increasing hardness by 80–100% (up to 1100 HV0.1 for steel X38CrMoV5-3). S-phase coatings (1.6–3.6 μm thick) formed expanded austenite with varying N content, achieving comparable hardness (up to 1100 HV0.1) in high-N2 atmospheres, alongside substrate diffusion layers. Both types of treatment enhance load-bearing capacity, adhesion, and durability, offering superior wear resistance compared to conventional PVD coatings and addressing demands for extended tool life in industrial applications. Full article
(This article belongs to the Special Issue Surface Treatments and Coating of Metallic Materials (2nd Edition))
Show Figures

Figure 1

21 pages, 13790 KB  
Article
Tailoring Microstructure and Properties of CoCrNiAlTiNb High-Entropy Alloy Coatings via Laser Power Control During Laser Cladding
by Zhe Zhang, Yue Yu, Xiaoming Chen, Li Fu, Xin Wei, Wenyuan Zhang, Zhao Dong, Mingming Wang, Tuo Wang and Xidong Hui
Materials 2026, 19(1), 5; https://doi.org/10.3390/ma19010005 - 19 Dec 2025
Viewed by 273
Abstract
To enhance the operational damage resistance of hydraulic machinery, this study employed laser cladding technology to fabricate a Co37.4Cr30Ni20Al5Ti5Nb2.6 high-entropy alloy coating on 04Cr13Ni5Mo substrate. The influence of laser power on the [...] Read more.
To enhance the operational damage resistance of hydraulic machinery, this study employed laser cladding technology to fabricate a Co37.4Cr30Ni20Al5Ti5Nb2.6 high-entropy alloy coating on 04Cr13Ni5Mo substrate. The influence of laser power on the microstructure and properties of the coating was systematically investigated. Based on preliminary research, the friction-wear performance and cavitation erosion behavior of the coatings prepared at 3000 W, 3200 W, and 3400 W were specifically examined. Results indicate that as the laser power increased from 3000 W to 3400 W, the microhardness of the coating gradually decreased from 345.3 HV0.2. At 3000 W, the precipitation of trace strengthening phases significantly enhanced the mechanical properties. In wear tests under a 20 N load for 30 min, the wear rate of the coating prepared at 3000 W was 1.41 × 10−4 mm3/(N·m), which is 13.5% lower than that of the 3200 W coating (1.63 × 10−4 mm3/(N·m)) and 16.07% higher in wear resistance compared to the substrate. Cavitation erosion tests revealed that after 20 h of ultrasonic vibration, the mass loss of the 3000 W coating was only 2.35 mg, representing an 88.89% reduction compared to the substrate (21.15 mg), and significantly lower than that of the 3200 W (4.57 mg) and 3400 W (3.85 mg) coatings. This study demonstrates that precise control of laser power can effectively optimize the cavitation erosion resistance of high-entropy alloy coatings, providing technical support for their application in harsh environments. Full article
Show Figures

Figure 1

14 pages, 3758 KB  
Article
A Comparative Study of the Microstructure and Properties of Al2CrFe2Ni4Ti1.5 Coatings Fabricated by Oscillating Laser Cladding Under Pulsed and Continuous Modes
by Wei Liu, Dongqing Li, Jian Gu, Guojun Xiao, Yundong Zhao, Zeyang Wang, Hanguang Fu and Kaiming Wang
Coatings 2026, 16(1), 1; https://doi.org/10.3390/coatings16010001 - 19 Dec 2025
Viewed by 280
Abstract
As high-end equipment manufacturing advances, demand for improved surface performance in critical components has increased. Laser cladding is an advanced surface strengthening technique that affords effective surface modification. During the laser cladding process, obtaining a fine grain microstructure usually helps to enhance the [...] Read more.
As high-end equipment manufacturing advances, demand for improved surface performance in critical components has increased. Laser cladding is an advanced surface strengthening technique that affords effective surface modification. During the laser cladding process, obtaining a fine grain microstructure usually helps to enhance the microhardness, wear resistance, and corrosion resistance of the cladding layer. However, conventional laser cladding often yields coarse columnar grains that limit further performance improvements, so process optimization to achieve grain refinement is necessary. In this study, oscillating laser cladding was combined with a pulsed-wave (PW) laser mode to deposit a fine-grained Al2CrFe2Ni4Ti1.5 high-entropy alloy cladding on Q550 steel substrates. Compared with continuous-wave (CW) laser cladding, the PW mode produced markedly refined grains and concomitant improvements in microhardness, wear resistance, and corrosion resistance. Specifically, the microhardness of the PW cladding layer reached approximately 673.34 HV0.5, the wear volume was approximately 0.06 mm3, the wear rate was approximately 0.21 × 10−4 mm3/N·m, and the corrosion current density decreased to approximately 1.212 × 10−5 A·cm−2. This work presents a novel approach for producing high-performance, wear-resistant, and corrosion-resistant high-entropy alloy cladding layers, and offers both theoretical insight and potential engineering applications. Full article
(This article belongs to the Section Laser Coatings)
Show Figures

Figure 1

21 pages, 10830 KB  
Article
A Study of Speckle Materials for Digital Image Correlation (DIC): Thermal Stability and Color Change Mechanisms at High Temperatures
by Yunzhu Ni, Yan Wang, Zhongya Zhang and Huilong Zheng
Coatings 2025, 15(12), 1444; https://doi.org/10.3390/coatings15121444 - 8 Dec 2025
Viewed by 461
Abstract
This study focused on the measurement requirements of Digital Image Correlation (DIC) in high-temperature environments of aero-engines and systematically investigated the applicability and stability of high-temperature speckle materials. Five common coating materials (Ti, TiN, Ta, NiCr alloy, and SiC) were selected. Corresponding thin [...] Read more.
This study focused on the measurement requirements of Digital Image Correlation (DIC) in high-temperature environments of aero-engines and systematically investigated the applicability and stability of high-temperature speckle materials. Five common coating materials (Ti, TiN, Ta, NiCr alloy, and SiC) were selected. Corresponding thin films were deposited on Al2O3 ceramic substrates using magnetron sputtering technology, and their surface color evolution from room temperature up to 1200 °C was examined. The film compositions were analyzed by Raman spectroscopy and X-ray photoelectron spectroscopy (XPS), revealing the mechanisms behind the color changes. The results indicate that Ti, TiN, Ta, and NiCr alloy exhibit significant color variations, which leads to insufficient color contrast for high-temperature speckle patterns. Further investigation shows that depositing an outer SiO2 coating can improve surface scattering and reflection, while also inhibiting oxygen penetration, thereby enhancing oxidation resistance and improving speckle contrast. The SiC/SiO2 composite structure demonstrates excellent thermal stability, making it an ideal speckle material for high-temperature DIC measurements. Full article
(This article belongs to the Section Thin Films)
Show Figures

Figure 1

21 pages, 3015 KB  
Article
A Comparative Electrochemical Study of Pt and Ni–Oxide Cathodes: Performance and Economic Viability for Scale-Up Microbial Fuel Cells
by Azim Khan, Kimia Rostami, Mehdi Sedighi, Sulaiman Khan and Mostafa Ghasemi
Catalysts 2025, 15(12), 1153; https://doi.org/10.3390/catal15121153 - 5 Dec 2025
Viewed by 657
Abstract
The expensive nature and limited availability of platinum (Pt) cathodes pose a significant challenge for the widespread adoption of microbial fuel cell (MFC) technology. Although many alternatives have been studied, very few reports provide a systematic head-to-head comparison of different Ni–oxide cathodes under [...] Read more.
The expensive nature and limited availability of platinum (Pt) cathodes pose a significant challenge for the widespread adoption of microbial fuel cell (MFC) technology. Although many alternatives have been studied, very few reports provide a systematic head-to-head comparison of different Ni–oxide cathodes under the same operational conditions. This research investigates cost-effective nickel-based metal oxide composites (Ni–TiO2, Ni–Cr2O3, Ni–Al2O3) as catalysts for the oxygen reduction reaction (ORR), using Pt as a reference point. The performance of the MFC was thoroughly evaluated in terms of power output, chemical oxygen demand (COD) removal, and Coulombic efficiency (CE). The Pt cathode exhibited the highest performance (275 mW m−2, 87% COD removal, 35% CE), confirming its catalytic advantages. Among the alternative materials, the Ni–TiO2 composite yielded the best outcomes (224 mW m−2, 79% COD removal, 17.7% CE), markedly surpassing the performances of Ni–Cr2O3 (162 mW m−2, 72%, 24% CE) and Ni–Al2O3 (134 mW m−2, 64%, 11.6% CE). Koutecký–Levich analysis clarified the mechanisms at play: Pt facilitated a direct 4-electron ORR process, while the composites operated through a 2-electron mechanism. Notably, the semiconductor properties of Ni–TiO2 resulted in a higher electron transfer number (n = 2.8) compared to the other composites (n ≈ 2.3), which accounts for its increased efficiency. With its low production cost, Ni–TiO2 presents an exceptional cost-to-performance ratio. By linking catalytic performance directly to the electronic nature of the oxide supports, this study offers clear design guidelines for selecting non-precious cathodes. The dual evaluation of electrochemical efficiency and cost-to-performance distinguishes this study from prior reports and underscores its practical significance and originality. This study highlights Ni–TiO2 as a highly sustainable and economically viable catalyst, making it a strong candidate to replace Pt for practical MFC applications that focus on simultaneous power generation and wastewater treatment. Full article
Show Figures

Graphical abstract

18 pages, 7491 KB  
Article
Topography and Corrosion Resistance Characteristics of Fe40Al5Cr0.2ZrB Alloy and X18CrN28 Steel
by Janusz Cebulski, Dorota Pasek, Stanisław Roskosz, Magdalena Popczyk, Jadwiga Gabor, Sebastian Stach, Roman Wrzalik, Marcin Wojtyniak, Michał Simlot and Andrzej S. Swinarew
Materials 2025, 18(23), 5465; https://doi.org/10.3390/ma18235465 - 4 Dec 2025
Viewed by 348
Abstract
This paper presents the results of corrosion resistance tests of materials (Fe40Al5Cr0.2ZrB alloy and X18CrN28 steel) in a 5% NaCl solution at room temperature using electrochemical impedance spectroscopy (EIS) and potentiodynamic polarization, complemented by confocal/AFM topography and SEM/EDS analysis. Confocal/AFM mapping showed pronounced [...] Read more.
This paper presents the results of corrosion resistance tests of materials (Fe40Al5Cr0.2ZrB alloy and X18CrN28 steel) in a 5% NaCl solution at room temperature using electrochemical impedance spectroscopy (EIS) and potentiodynamic polarization, complemented by confocal/AFM topography and SEM/EDS analysis. Confocal/AFM mapping showed pronounced roughening and localized features on Fe40Al5Cr0.2ZrB alloy (e.g., Sa rising locally to ~1.63 μm), consistent with heterogeneous chloride-induced attack, whereas X18CrN28 steel exhibited only minor roughness changes (Sa ~ 13–19 nm). SEM/EDS of Fe40Al5Cr0.2ZrB alloy revealed mixed oxides with detectable chlorine at corroded sites, while the steel retained a thin, Cr-rich passive layer with negligible Cl signal. Overall, X18CrN28 steel demonstrates significantly higher resistance to localized corrosion in neutral chloride media than Fe40Al5Cr0.2ZrB alloy, aligning electrochemical metrics with surface and chemical analyses. Full article
(This article belongs to the Special Issue Achievements in Foundry Materials and Technologies)
Show Figures

Figure 1

13 pages, 1597 KB  
Article
Spark Discharge–Facilitated LIBS Coupled with Electrodeposition for Highly Sensitive Detection of Chromium Within Aqueous Matrices
by Ying Wang, Heyan Gao, Jifei Ye, Junling Song, Diankai Wang, Jianhui Han, Guangyuan Wang, Bangdeng Du and Linyan Wang
Photonics 2025, 12(12), 1186; https://doi.org/10.3390/photonics12121186 - 2 Dec 2025
Viewed by 402
Abstract
In this study, electrodeposition (ED) combined with a spark discharge-facilitated laser-induced breakdown spectroscopy—referred to as SD-LIBS—was employed for highly sensitive detection of trace chromium (Cr) in aqueous solutions. First, trace Cr ions in water were preconcentrated on the outer surface of an ultra-pure [...] Read more.
In this study, electrodeposition (ED) combined with a spark discharge-facilitated laser-induced breakdown spectroscopy—referred to as SD-LIBS—was employed for highly sensitive detection of trace chromium (Cr) in aqueous solutions. First, trace Cr ions in water were preconcentrated on the outer surface of an ultra-pure aluminum base by ED, effectively addressing the issue of poor detection sensitivity when LIBS is applied directly to liquid samples. Subsequently, SD-LIBS was employed for the analysis of the chromium (Cr) deposited on the aluminum (Al) exterior, where the spark discharge significantly enhanced the emission intensities of the Cr (I) spectral lines centered at 425.43 nm, 427.48 nm, and 428.90 nm. Based on the calibration curves obtained from standard solutions, the limits for the detection (LoD) with respect to chromium (Cr) under different discharge voltages were determined. With the elevation of discharge voltage over the 0–2 kV range, the LoDs of the neutral chromium (Cr) line I corresponding to 425.43 nm and 428.90 nm, the concentration levels of 3.86 n and 5.13 ng decreased to 1.19 ng and 1.57 ng, respectively, with all values referenced per milliliter. These results demonstrate that spark discharge further improves the detection sensitivity of LIBS in aqueous environments. Overall, the combined ED+SD-LIBS approach exhibits excellent analytical performance for trace metal detection in water, offering promising potential for water quality monitoring applications. Full article
Show Figures

Figure 1

15 pages, 1309 KB  
Article
Isavuconazole for the Treatment of Invasive Fungal Disease in Hematology Patients: A Real-World Retrospective Study on Efficacy and Safety
by Pazilaiti Tuohuti, Yuhui Chen, Ailin Zhao, Jinrong Yang, He Li and Ting Niu
Microorganisms 2025, 13(12), 2677; https://doi.org/10.3390/microorganisms13122677 - 25 Nov 2025
Viewed by 520
Abstract
Invasive fungal disease (IFD) remains a life-threatening complication in patients with hematological diseases. Isavuconazole was approved by the FDA for primary treatment of invasive aspergillosis and mucormycosis. While clinical trials have demonstrated its efficacy, data on its use in hematology patients remain limited. [...] Read more.
Invasive fungal disease (IFD) remains a life-threatening complication in patients with hematological diseases. Isavuconazole was approved by the FDA for primary treatment of invasive aspergillosis and mucormycosis. While clinical trials have demonstrated its efficacy, data on its use in hematology patients remain limited. This study aims to evaluate the real-world effectiveness and safety of isavuconazole in this population. We conducted a single-center, retrospective study of hematology patients who received isavuconazole for IFD between 1 June 2022, and 31 July 2024, at West China Hospital, Sichuan University. A total of 66 patients with proven (n = 9), probable (n = 17), or possible (n = 40) IFD were included in the study. Acute leukemia (AL) was the most common underlying disease, affecting 27 patients (40.9%), followed by non-Hodgkin’s lymphoma (NHL) and myelodysplastic syndrome (MDS). Over 80.0% of patients received oral isavuconazole. At 6 weeks of follow-up, a favorable response was observed in 57.6% of patients, increasing to 71.2% at 12 weeks. Factors associated with achieving complete response in isavuconazole treatment included receiving isavuconazole as primary treatment (OR = 0.10, p = 0.01) and reaching complete/partial remission (CR/PR) of the primary hematological disease (OR = 0.07, p = 0.003). The all-cause mortality rates were under 30.0%. The use of isavuconazole as primary antifungal therapy (p < 0.05) and achieving CR/PR in the underlying hematological disease (p < 0.05) were two independent predictors of improved clinical outcomes. Adverse events were reported in 33.3% of patients, and no adverse events led to discontinuation of treatment. Our study demonstrated that isavuconazole is an effective and well-tolerated treatment for IFD in hematology patients. The oral formulation provided comparable efficacy and enhanced compliance, potentially leading to improved outcomes and optimizing the management strategy. The generalizability of our findings may be limited by the single-center, retrospective nature; further validation through prospective, multi-center studies is needed. Full article
(This article belongs to the Section Antimicrobial Agents and Resistance)
Show Figures

Figure 1

18 pages, 8528 KB  
Article
Effect of PVD Nitride Coating Deposition on the High-Temperature Pin–Disc Friction Properties Between WC/Co Carbide and Ti2AlNb Alloy
by Liangliang Li, Xin Pan, Jianwei Mu, Jinfu Zhao, Wenqian Li, Zhifeng Liu and Jiru Wang
Metals 2025, 15(12), 1279; https://doi.org/10.3390/met15121279 - 22 Nov 2025
Viewed by 466
Abstract
Suitable nitride coating deposition could improve the wear resistance of WC/Co carbide tools when cutting Ti2AlNb typical difficult-to-machine alloy. However, there is no clear conclusion on which nitride series coating is suitable for improving the friction characteristics between WC/Co carbide and [...] Read more.
Suitable nitride coating deposition could improve the wear resistance of WC/Co carbide tools when cutting Ti2AlNb typical difficult-to-machine alloy. However, there is no clear conclusion on which nitride series coating is suitable for improving the friction characteristics between WC/Co carbide and Ti2AlNb alloy. In this research, the CrAlN, CrAlN/(CrAlB)N/CrAlN, and TiAlN/ZrN coatings were deposited on WC/Co carbide with the only variable of coating type, which were utilized to conduct the high-temperature pin disc experiments with Ti2AlNb alloy at 600 °C, respectively. The high-temperature friction characteristics were analyzed by the friction coefficient with time, the alloy wear rate, the surface morphology, and element distribution after wear. The results showed that the three types of coating all improved the high temperature friction and wear characteristics of WC/Co carbide. The Ti2AlNb alloy also exhibited good surface morphology after wear with TiAlN/ZrN-coated carbide. It is speculated that TiAlN/ZrN coating was the suitable coating deposition on WC/Co carbide tools to improve cutting performance of Ti2AlNb alloy. Full article
(This article belongs to the Special Issue Advances in Metal Cutting and Machining Processes)
Show Figures

Figure 1

Back to TopTop