Sign in to use this feature.

Years

Between: -

Subjects

remove_circle_outline
remove_circle_outline
remove_circle_outline
remove_circle_outline

Journals

Article Types

Countries / Regions

Search Results (22)

Search Parameters:
Keywords = Corydalis yanhusuo

Order results
Result details
Results per page
Select all
Export citation of selected articles as:
16 pages, 4272 KB  
Article
Prediction Analysis of Integrative Quality Zones for Corydalis yanhusuo W. T. Wang Under Climate Change: A Rare Medicinal Plant Endemic to China
by Huiming Wang, Bin Huang, Lei Xu and Ting Chen
Biology 2025, 14(8), 972; https://doi.org/10.3390/biology14080972 - 1 Aug 2025
Viewed by 566
Abstract
Corydalis yanhusuo W. T. Wang, commonly known as Yanhusuo, is an important and rare medicinal plant resource in China. Its habitat integrity is facing severe challenges due to climate change and human activities. Establishing an integrative quality zoning system for this species is [...] Read more.
Corydalis yanhusuo W. T. Wang, commonly known as Yanhusuo, is an important and rare medicinal plant resource in China. Its habitat integrity is facing severe challenges due to climate change and human activities. Establishing an integrative quality zoning system for this species is of significant practical importance for resource conservation and adaptive management. This study integrates multiple data sources, including 121 valid distribution points, 37 environmental factors, future climate scenarios (SSP126 and SSP585 pathways for the 2050s and 2090s), and measured content of tetrahydropalmatine (THP) from 22 sampling sites. A predictive framework for habitat suitability and spatial distribution of effective components was constructed using a multi-model coupling approach (MaxEnt, ArcGIS spatial analysis, and co-kriging method). The results indicate that the MaxEnt model exhibits high prediction accuracy (AUC > 0.9), with the dominant environmental factors being the precipitation of the wettest quarter (404.8~654.5 mm) and the annual average temperature (11.8~17.4 °C). Under current climatic conditions, areas of high suitability are concentrated in parts of Central and Eastern China, including the Sichuan Basin, the middle–lower Yangtze plains, and coastal areas of Shandong and Liaoning. In future climate scenarios, the center of suitable areas is predicted to shift northwestward. The content of THP is significantly correlated with the mean diurnal temperature range, temperature seasonality, and the mean temperature of the wettest quarter (p < 0.01). A comprehensive assessment identifies the Yangtze River Delta region, Central China, and parts of the Loess Plateau as the optimal integrative quality zones. This research provides a scientific basis and decision-making support for the sustainable utilization of C. yanhusuo and other rare medicinal plants in China. Full article
Show Figures

Figure 1

16 pages, 513 KB  
Article
Usage Patterns of Traditional Chinese Medicine for Patients with Bipolar Disorder: A Population-Based Study in Taiwan
by Shu-Ping Chen, Su-Tso Yang, Kai-Chieh Hu, Senthil Kumaran Satyanarayanan and Kuan-Pin Su
Healthcare 2024, 12(4), 490; https://doi.org/10.3390/healthcare12040490 - 18 Feb 2024
Cited by 3 | Viewed by 4856
Abstract
Background: Patients with bipolar disorder (BD) receive traditional Chinese medicine (TCM) for clinical needs unmet with psychotropic medications. However, the clinical characteristics of practices and outcomes of TCM in BD are not fully understood. This cohort study investigated the clinical characteristics, principal diagnoses, [...] Read more.
Background: Patients with bipolar disorder (BD) receive traditional Chinese medicine (TCM) for clinical needs unmet with psychotropic medications. However, the clinical characteristics of practices and outcomes of TCM in BD are not fully understood. This cohort study investigated the clinical characteristics, principal diagnoses, TCM interventions, and TCM prescriptions in patients with BD. Methods: Data for a total of 12,113 patients with BD between 1996 and 2013 were withdrawn from Taiwan’s longitudinal health insurance database 2000 (LHID 2000). The chi-square test was used for categorical variables, and the independent t-test was used for continuous variables. A p-value less than 0.05 indicated significance. Results: One thousand three hundred nineteen patients who visited TCM clinics after the diagnosis of BD were in the TCM group, while those who never visited TCM were in the non-TCM group (n = 1053). Compared to the non-TCM group, patients in the TCM group had younger average age, a higher percentage of female individuals, more comorbidities of anxiety and alcohol use disorders, and higher mood stabilizer usage rates. The TCM group exhibited pain-related indications, including joint pain, myalgia, myositis, headache, and sleep disturbances. Corydalis yanhusuo and Shu-Jing-Huo-Xue-Tang were the most useful single herbs and herbal formulae. Conclusions: Physicians need to be aware of the use of TCM in patients with BD. Full article
(This article belongs to the Special Issue Clinical Informatics and Data Analysis in Healthcare)
Show Figures

Figure 1

13 pages, 1754 KB  
Article
Integrating Full-Length and Second-Generation Transcriptomics to Reveal Differentially Expressed Genes Associated with the Development of Corydalis yanhusuo Tuber
by Xueyan Zhao, Li Wang, Yafu Zhou, Qing Wang, Fangyuan Wang and Yan Li
Life 2023, 13(11), 2207; https://doi.org/10.3390/life13112207 - 14 Nov 2023
Cited by 2 | Viewed by 1593
Abstract
Corydalis yanhusuo is a medicinal herb in China that has been widely used to treat various kinds of pain. The tuber is the main organ of C. yanhusuo used for medicinal purposes, but changes in related genes during the development of the tuber [...] Read more.
Corydalis yanhusuo is a medicinal herb in China that has been widely used to treat various kinds of pain. The tuber is the main organ of C. yanhusuo used for medicinal purposes, but changes in related genes during the development of the tuber have rarely been reported. To identify the differentially expressed genes during tuber development, C. yanhusuo full-length transcriptomic sequencing was performed using single-molecule real-time technology, and tubers at three development stages were selected for comparative transcriptome analysis. A total of 90,496 full-length non-chimeric transcripts were obtained, and 19,341 transcripts were annotated in at least one public database. A total of 9221 differentially expressed genes were identified during the swelling process of C. yanhusuo tuber. A Kyoto encyclopedia of genes and genomes (KEGG) pathway enrichment analysis revealed that differentially expressed genes associated with a “starch and sucrose metabolism pathway”, “phenylpropanoid biosynthesis pathway”, “isoquinoline alkaloid biosynthesis pathway”, “zeatin biosynthesis pathway”, and “brassinosteroid biosynthesis pathway” were predominantly enriched. In addition, the genes involved in cell wall metabolism were potentially associated with tuber swelling. These processes regulated and were involved in C. yanhusuo tuber development. The results provide a foundation for further research on tuber formation in medicinal plants. Full article
(This article belongs to the Special Issue The Genomics of Medicinal Plants)
Show Figures

Figure 1

14 pages, 7097 KB  
Article
Inhibition of Glutamate Release from Rat Cortical Nerve Terminals by Dehydrocorydaline, an Alkaloid from Corydalis yanhusuo
by Tzu-Yu Lin, I-Yen Chen, Ming-Yi Lee, Cheng-Wei Lu, Kuan-Ming Chiu and Su-Jane Wang
Molecules 2022, 27(3), 960; https://doi.org/10.3390/molecules27030960 - 31 Jan 2022
Cited by 9 | Viewed by 3826
Abstract
Excessive release of glutamate induces excitotoxicity and causes neuronal damage in several neurodegenerative diseases. Natural products have emerged as potential neuroprotective agents for preventing and treating neurological disorders. Dehydrocorydaline (DHC), an active alkaloid compound isolated from Corydalis yanhusuo, possesses neuroprotective capacity. The [...] Read more.
Excessive release of glutamate induces excitotoxicity and causes neuronal damage in several neurodegenerative diseases. Natural products have emerged as potential neuroprotective agents for preventing and treating neurological disorders. Dehydrocorydaline (DHC), an active alkaloid compound isolated from Corydalis yanhusuo, possesses neuroprotective capacity. The present study investigated the effect of DHC on glutamate release using a rat brain cortical synaptosome model. Our results indicate that DHC inhibited 4-aminopyridine (4-AP)-evoked glutamate release and elevated intrasynaptosomal calcium levels. The inhibitory effect of DHC on 4-AP-evoked glutamate release was prevented in the presence of the vesicular transporter inhibitor bafilomycin A1 and the N- and P/Q-type Ca2+ channel blocker ω-conotoxin MVIIC but not the intracellular inhibitor of Ca2+ release dantrolene or the mitochondrial Na+/Ca2+ exchanger inhibitor CGP37157. Moreover, the inhibitory effect of DHC on evoked glutamate release was prevented by the mitogen-activated protein kinase (MAPK)/extracellular signal-regulated kinase (ERK) inhibitor PD98059. Western blotting data in synaptosomes also showed that DHC significantly decreased the level of ERK1/2 phosphorylation and synaptic vesicle-associated protein synapsin I, the main presynaptic target of ERK. Together, these results suggest that DHC inhibits presynaptic glutamate release from cerebrocortical synaptosomes by suppressing presynaptic voltage-dependent Ca2+ entry and the MAPK/ERK/synapsin I signaling pathway. Full article
(This article belongs to the Special Issue Natural Product Chemistry in Drug Discovery)
Show Figures

Figure 1

17 pages, 1289 KB  
Review
Identification and Quantification, Metabolism and Pharmacokinetics, Pharmacological Activities, and Botanical Preparations of Protopine: A Review
by Wangli Huang, Lingbo Kong, Yang Cao and Liang Yan
Molecules 2022, 27(1), 215; https://doi.org/10.3390/molecules27010215 - 30 Dec 2021
Cited by 32 | Viewed by 4435
Abstract
Through pharmacological activity research, an increasing number of natural products and their derivatives are being recognized for their therapeutic value. In recent years, studies have been conducted on Corydalis yanhusuo W.T. Wang, a valuable medicinal herb listed in the Chinese Pharmacopoeia. Protopine, one [...] Read more.
Through pharmacological activity research, an increasing number of natural products and their derivatives are being recognized for their therapeutic value. In recent years, studies have been conducted on Corydalis yanhusuo W.T. Wang, a valuable medicinal herb listed in the Chinese Pharmacopoeia. Protopine, one of its components, has also become a research hotspot. To illustrate the identification, metabolism, and broad pharmacological activity of protopine and the botanical preparations containing it for further scientific studies and clinical applications, an in-depth and detailed review of protopine is required. We collected data on the identification and quantification, metabolism and pharmacokinetics, pharmacological activities, and botanical preparations of protopine from 1986 to 2021 from the PubMed database using “protopine” as a keyword. It has been shown that protopine as an active ingredient of many botanical preparations can be rapidly screened and quantified by a large number of methods (such as the LC-ESI-MS/MS and the TLC/GC-MS), and the possible metabolic pathways of protopine in vivo have been proposed. In addition, protopine possesses a wide range of pharmacological activities such as anti-inflammatory, anti-platelet aggregation, anti-cancer, analgesic, vasodilatory, anticholinesterase, anti-addictive, anticonvulsant, antipathogenic, antioxidant, hepatoprotective, neuroprotective, and cytotoxic and anti-proliferative activities. In this paper, the identification and quantification, metabolism and pharmacokinetics, pharmacological activities, and botanical preparations of protopine are reviewed in detail to lay a foundation for further scientific research and clinical applications of protopine. Full article
Show Figures

Figure 1

12 pages, 1400 KB  
Review
The Analgesic Properties of Corydalis yanhusuo
by Lamees Alhassen, Travis Dabbous, Allyssa Ha, Leon Hoang Lam Dang and Olivier Civelli
Molecules 2021, 26(24), 7498; https://doi.org/10.3390/molecules26247498 - 10 Dec 2021
Cited by 32 | Viewed by 8118
Abstract
Corydalis yanhusuo extract (YHS) has been used for centuries across Asia for pain relief. The extract is made up of more than 160 compounds and has been identified as alkaloids, organic acids, volatile oils, amino acids, alcohols, and sugars. However, the most crucial [...] Read more.
Corydalis yanhusuo extract (YHS) has been used for centuries across Asia for pain relief. The extract is made up of more than 160 compounds and has been identified as alkaloids, organic acids, volatile oils, amino acids, alcohols, and sugars. However, the most crucial biological active constituents of YHS are alkaloids; more than 80 have been isolated and identified. This review paper aims to provide a comprehensive review of the phytochemical and pharmacological effects of these alkaloids that have significant ties to analgesia. Full article
(This article belongs to the Special Issue Discovery of Bioactive Ingredients from Natural Products, 2nd Edition)
Show Figures

Figure 1

16 pages, 3792 KB  
Article
AMPK-Mediated Metabolic Switching Is High Effective for Phytochemical Levo-Tetrahydropalmatine (l-THP) to Reduce Hepatocellular Carcinoma Tumor Growth
by Xunzhe Yin, Wenbo Li, Jiaxin Zhang, Wenjing Zhao, Huaxing Cai, Chi Zhang, Zuojia Liu, Yan Guo and Jin Wang
Metabolites 2021, 11(12), 811; https://doi.org/10.3390/metabo11120811 - 29 Nov 2021
Cited by 16 | Viewed by 3342
Abstract
Targeting cancer cell metabolism has been an attractive approach for cancer treatment. However, the role of metabolic alternation in cancer is still unknown whether it functions as a tumor promoter or suppressor. Applying the cancer gene-metabolism integrative network model, we predict adenosine monophosphate-activated [...] Read more.
Targeting cancer cell metabolism has been an attractive approach for cancer treatment. However, the role of metabolic alternation in cancer is still unknown whether it functions as a tumor promoter or suppressor. Applying the cancer gene-metabolism integrative network model, we predict adenosine monophosphate-activated protein kinase (AMPK) to function as a central hub of metabolic landscape switching in specific liver cancer subtypes. For the first time, we demonstrate that the phytochemical levo-tetrahydropalmatine (l-THP), a Corydalis yanhusuo-derived clinical drug, as an AMPK activator via autophagy-mediated metabolic switching could kill the hepatocellular carcinoma HepG2 cells. Mechanistically, l-THP promotes the autophagic response by activating the AMPK-mTOR-ULK1 and the ROS-JNK-ATG cascades and impairing the ERK/AKT signaling. All these processes ultimately synergize to induce the decreased mitochondrial oxidative phosphorylation (OXPHOS) and mitochondrial damage. Notably, silencing AMPK significantly inhibits the autophagic flux and recovers the decreased OXPHOS metabolism, which results in HepG2 resistance to l-THP treatment. More importantly, l-THP potently reduces the growth of xenograft HepG2 tumor in nude mice without affecting other organs. From this perspective, our findings support the conclusion that metabolic change is an alternative approach to influence the development of HCC. Full article
(This article belongs to the Special Issue Is Cancer a Metabolic Disease? The Answer of Metabolomics)
Show Figures

Graphical abstract

11 pages, 1994 KB  
Article
The Extract of Corydalis yanhusuo Prevents Morphine Tolerance and Dependence
by Lamees Alhassen, Khawla Nuseir, Allyssa Ha, Warren Phan, Ilias Marmouzi, Shalini Shah and Olivier Civelli
Pharmaceuticals 2021, 14(10), 1034; https://doi.org/10.3390/ph14101034 - 12 Oct 2021
Cited by 10 | Viewed by 11599
Abstract
The opioid epidemic was triggered by an overprescription of opioid analgesics. In the treatment of chronic pain, repeated opioid administrations are required which ultimately lead to tolerance, physical dependence, and addiction. A possible way to overcome this conundrum consists of a co-medication that [...] Read more.
The opioid epidemic was triggered by an overprescription of opioid analgesics. In the treatment of chronic pain, repeated opioid administrations are required which ultimately lead to tolerance, physical dependence, and addiction. A possible way to overcome this conundrum consists of a co-medication that maintains the analgesic benefits of opioids while preventing their adverse liabilities. YHS, the extract of the plant Corydalis yanhusuo, has been used as analgesic in traditional Chinese medicine for centuries. More recently, it has been shown to promote analgesia in animal models of acute, inflammatory, and neuropathic pain. It acts, at least in part, by inhibiting the dopamine D2 receptor, suggesting that it may be advantageous to manage addiction. We first show that, in animals, YHS can increase the efficacy of morphine antinociceptive and, as such, decrease the need of the opioid. We then show that YHS, when coadministered with morphine, inhibits morphine tolerance, dependence, and addiction. Finally, we show that, in animals treated for several days with morphine, YHS can reverse morphine dependence and addiction. Together, these data indicate that YHS may be useful as a co-medication in morphine therapies to limit adverse morphine effects. Because YHS is readily available and safe, it may have an immediate positive impact to curb the opioid epidemic. Full article
(This article belongs to the Section Natural Products)
Show Figures

Figure 1

25 pages, 2704 KB  
Article
Increased Stress Resistance and Lifespan in Chaenorhabditis elegans Wildtype and Knockout Mutants—Implications for Depression Treatment by Medicinal Herbs
by Janine Naß, Christopher J. Kampf and Thomas Efferth
Molecules 2021, 26(7), 1827; https://doi.org/10.3390/molecules26071827 - 24 Mar 2021
Cited by 10 | Viewed by 4990
Abstract
Depression and anxiety disorders are widespread diseases, and they belong to the leading causes of disability and greatest burdens on healthcare systems worldwide. It is expected that the numbers will dramatically rise during the COVID-19 pandemic. Established medications are not sufficient to adequately [...] Read more.
Depression and anxiety disorders are widespread diseases, and they belong to the leading causes of disability and greatest burdens on healthcare systems worldwide. It is expected that the numbers will dramatically rise during the COVID-19 pandemic. Established medications are not sufficient to adequately treat depression and are not available for everyone. Plants from traditional medicine may be promising alternatives to treat depressive symptoms. The model organism Chaenorhabditis elegans was used to assess the stress reducing effects of methanol/dichlormethane extracts from plants used in traditional medicine. After initial screening for antioxidant activity, nine extracts were selected for in vivo testing in oxidative stress, heat stress, and osmotic stress assays. Additionally, anti-aging properties were evaluated in lifespan assay. The extracts from Acanthopanax senticosus, Campsis grandiflora, Centella asiatica, Corydalis yanhusuo, Dan Zhi, Houttuynia cordata, Psoralea corylifolia, Valeriana officinalis, and Withaniasomnifera showed antioxidant activity of more than 15 Trolox equivalents per mg extract. The extracts significantly lowered ROS in mutants, increased resistance to heat stress and osmotic stress, and the extended lifespan of the nematodes. The plant extracts tested showed promising results in increasing stress resistance in the nematode model. Further analyses are needed, in order to unravel underlying mechanisms and transfer results to humans. Full article
(This article belongs to the Collection Herbal Medicine Research)
Show Figures

Figure 1

16 pages, 5876 KB  
Article
Rapid Quantitative Detection of Deltamethrin in Corydalis yanhusuo by SERS Coupled with Multi-Walled Carbon Nanotubes
by Hui Zhang, Pengcheng Nie, Zhengyan Xia, Xuping Feng, Xiaoxi Liu and Yong He
Molecules 2020, 25(18), 4081; https://doi.org/10.3390/molecules25184081 - 7 Sep 2020
Cited by 18 | Viewed by 3639
Abstract
With the increase in demand, artificially planting Chinese medicinal materials (CHMs) has also increased, and the ensuing pesticide residue problems have attracted more and more attention. An optimized quick, easy, cheap, effective, rugged and safe (QuEChERS) method with multi-walled carbon nanotubes as dispersive [...] Read more.
With the increase in demand, artificially planting Chinese medicinal materials (CHMs) has also increased, and the ensuing pesticide residue problems have attracted more and more attention. An optimized quick, easy, cheap, effective, rugged and safe (QuEChERS) method with multi-walled carbon nanotubes as dispersive solid-phase extraction sorbents coupled with surface-enhanced Raman spectroscopy (SERS) was first proposed for the detection of deltamethrin in complex matrix Corydalis yanhusuo. Our results demonstrate that using the optimized QuEChERS method could effectively extract the analyte and reduce background interference from Corydalis. Facile synthesized gold nanoparticles with a large diameter of 75 nm had a strong SERS enhancement for deltamethrin determination. The best prediction model was established with partial least squares regression of the SERS spectra ranges of 545~573 cm−1 and 987~1011 cm−1 with a coefficient of determination (R2) of 0.9306, a detection limit of 0.484 mg/L and a residual predictive deviation of 3.046. In summary, this article provides a new rapid and effective method for the detection of pesticide residues in CHMs. Full article
Show Figures

Graphical abstract

16 pages, 1978 KB  
Article
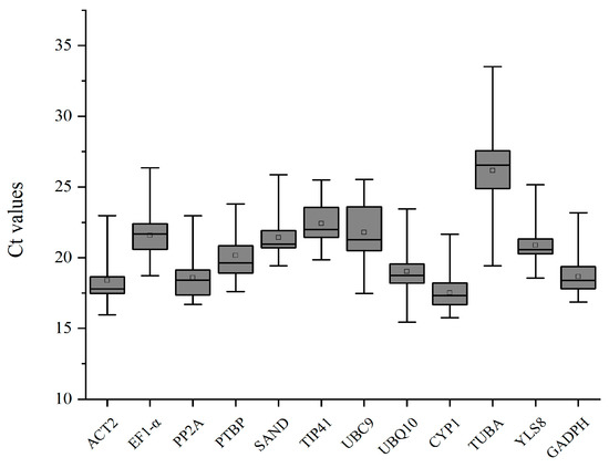
Identification and Selection of Reference Genes for Quantitative Transcript Analysis in Corydalis yanhusuo
by Zhenzhen Bao, Kaidi Zhang, Hanfeng Lin, Changjian Li, Xiurong Zhao, Jie Wu and Sihui Nian
Genes 2020, 11(2), 130; https://doi.org/10.3390/genes11020130 - 27 Jan 2020
Cited by 11 | Viewed by 3319
Abstract
Corydalis yanhusuo is a medicinal plant frequently used in traditional Chinese medicine, which has effective medical effects in many aspects. Real-time polymerase chain reaction (RT-PCR) has been one of the most widely used methods in biosynthesis research due to its high sensitivity and [...] Read more.
Corydalis yanhusuo is a medicinal plant frequently used in traditional Chinese medicine, which has effective medical effects in many aspects. Real-time polymerase chain reaction (RT-PCR) has been one of the most widely used methods in biosynthesis research due to its high sensitivity and quantitative properties in gene expression analysis. To obtain accurate normalization, reference genes are often selected in advance; however, no reference genes are available in C. yanhusuo. Herein, 12 reference gene candidates, named cyclophilin 2 (CYP2), elongation factor 1-α (EF1-α), protein phosphatase 2 (PP2A), SAND protein family (SAND), polypyrimidine tract-binding protein (PTBP), TIP41-like protein (TIP41), lyceraldehyde-3-phosphate hydrogenase (GAPDH), ubiquitin-conjugating enzyme 9 (UBC9), cyclophilin 1 (CYP1), tubulin beta (TUBA), thioredoxin (YLS8), and polyubiquitin 10 (UBQ10), were selected for stability analysis. After being treated with hormone, UV, salt, metal, oxidative, drought, cold (4 °C), and hot stresses (40 °C), the qRT-PCR data of the selected genes was analyzed with NormFinder, geNorm, and BestKeeper. The result indicated that GAPDH, SNAD, and PP2A were the top three most stable reference genes under most treatments. This study selected and validated reliable reference genes in C. yanhusuo under various environmental conditions, which can provide great help for future research on gene expression normalization in C. yanhusuo. Full article
(This article belongs to the Section Plant Genetics and Genomics)
Show Figures

Figure 1

10 pages, 1094 KB  
Article
Identification of Alkaloids from Corydalis yanhusuo W. T. Wang as Dopamine D1 Receptor Antagonists by Using CRE-Luciferase Reporter Gene Assay
by Lehao Wu, Weiyue Zhang, Xin Qiu, Chaoran Wang, Yanfang Liu, Zhiwei Wang, Yang Yu, Richard D. Ye and Yan Zhang
Molecules 2018, 23(10), 2585; https://doi.org/10.3390/molecules23102585 - 10 Oct 2018
Cited by 21 | Viewed by 5333
Abstract
Corydalis yanhusuo W. T. Wang (C. yanhusuo) has been traditionally used for drug addiction and pain relief in China. In our previous study, we showed that the extract of C. yanhusuo blocks dopamine receptors, demonstrating that its pharmacological activities are mostly [...] Read more.
Corydalis yanhusuo W. T. Wang (C. yanhusuo) has been traditionally used for drug addiction and pain relief in China. In our previous study, we showed that the extract of C. yanhusuo blocks dopamine receptors, demonstrating that its pharmacological activities are mostly due to the antagonistic effects of some of its components at dopamine receptors. As part of our ongoing project on C. yanhusuo, the aim of the present study is to establish a high-throughput and low-cost screening assay system and test the abilities of the isolated alkaloids from C. yanhusuo to inhibit dopamine-induced dopamine D1 receptor activity. By using our established cyclic adenosine monophosphate (cAMP)-response element (CRE)-luciferase reporter gene assay system, we identified eight alkaloids from C. yanhusuo with D1 receptor antagonistic activities. We next validated the activities of these compounds using fluorometric imaging plate reader (FLIPR) assay by measuring the intracellular Ca2+ change. Six out of eight compounds, including tetrahydropalmatine, corydaline, 13-methyldehydrocorydalmine, dehydrocorybubine, dehydrocorydaline, and columbamine, can be confirmed for their inhibitory activities. The dopamine-receptor-antagonistic effects of four compounds, including 13-methyldehydrocorydalmine, dehydrocorydaline, columbamine, and corydaline, are reported for the first time. The present study provides an important pharmacological basis to support the traditional use of C. yanhusuo in China. Full article
Show Figures

Graphical abstract

18 pages, 3433 KB  
Article
An Ultra-High Performance Liquid Chromatography with Tandem Mass Spectrometry Method for Determination of 10 Alkaloids in Beagle Dog Plasma after the Oral Administration of the Corydalis yanhusuo W.T. Wang Extract and Yuanhuzhitong Tablets
by Binbin Cui, Jing Yang, Zhibin Wang, Chengcui Wu, Hongrui Dong, Yixuan Ren and Chunjuan Yang
Molecules 2018, 23(8), 1925; https://doi.org/10.3390/molecules23081925 - 2 Aug 2018
Cited by 21 | Viewed by 4059
Abstract
This study has developed a sensitive and simple ultra-high performance liquid chromatography-electrospray ionization-tandem mass spectrometry method for the simultaneous determination of corydaline, dehydrocorydaline, tetrahydropalmatine, protopine, palmatine, tetrahydroberberine, columbamine, berberine, coptisine and berberrubine in beagle dog plasma after the oral administration of the Corydalis [...] Read more.
This study has developed a sensitive and simple ultra-high performance liquid chromatography-electrospray ionization-tandem mass spectrometry method for the simultaneous determination of corydaline, dehydrocorydaline, tetrahydropalmatine, protopine, palmatine, tetrahydroberberine, columbamine, berberine, coptisine and berberrubine in beagle dog plasma after the oral administration of the Corydalis yanhusuo W.T. Wang and Yuanhuzhitong tablets. Chromatographic separation was achieved on an Agilent Eclipse Plus C18 RRHD column (1.8 µm, 50 × 2.1 mm) using a gradient elution program with a mobile phase consisting of acetonitrile and water containing 0.1% formic acid at a flow rate of 0.3 mL/min. A tandem mass spectrometric detection was conducted by multiple reaction monitoring (MRM) mode via an electrospray ionization source in the positive mode. The calibration curves of all analytes showed good linear (r2 > 0.9800). The intra-day and inter-day precisions were less than 15% and the accuracies were within ±15%. The extraction recoveries conformed to the acceptable range. And there was no interference of endogenous substances in the sensitive assay method. All analytes were proven to be stable during sample storage and analysis procedures. The pharmacokinetic study indicated that the Yuanhuzhitong tablets could get a better absorption than Corydalis yanhusuo W.T. Wang. Full article
(This article belongs to the Section Analytical Chemistry)
Show Figures

Figure 1

10 pages, 1759 KB  
Article
Molecular Identification and Taxonomic Implication of Herbal Species in Genus Corydalis (Papaveraceae)
by Lu Jiang, Meihui Li, Fengxi Zhao, Shanshan Chu, Liangping Zha, Tao Xu, Huasheng Peng and Wei Zhang
Molecules 2018, 23(6), 1393; https://doi.org/10.3390/molecules23061393 - 8 Jun 2018
Cited by 31 | Viewed by 5274
Abstract
Many species of Corydalis (Papaveraceae) have been used as medicinal plants in East Asia, and the most well-known species are Corydalis yanhusuo and C. decumbens in the Pharmacopoeia of China. However, authentication of these species remains problematic because of their high morphological variation. [...] Read more.
Many species of Corydalis (Papaveraceae) have been used as medicinal plants in East Asia, and the most well-known species are Corydalis yanhusuo and C. decumbens in the Pharmacopoeia of China. However, authentication of these species remains problematic because of their high morphological variation. Here, we selected 14 closely related species and five genomic regions (chloroplast: matK, trnG, rbcL, psbA-trnH; nuclear: ITS) to explore the utility of DNA barcoding for authenticating these herbs. In addition, the Poisson tree process (PTP) and automatic barcode gap discovery (ABGD) were also used and compared with DNA barcoding. Our results showed that the ITS region was not suitable for molecular analysis because of its heterogeneous nature in Corydalis. In contrast, matK was an ideal region for species identification because all species could be resolved when matK was used along with the other three chloroplast regions. We found that at least five traditional identified species were lumped into one genetic species by ABGD and PTP methods; thus, highlighting the overestimation of species diversity using the morphological approach. In conclusion, our first attempt of molecular analysis of Corydalis herbs presented here successfully resolved the identification of medicinal species and encouraged their taxonomic re-assessment. Full article
(This article belongs to the Section Molecular Diversity)
Show Figures

Figure 1

17 pages, 876 KB  
Article
Development and Validation of a HPLC-ESI-MS/MS Method for Simultaneous Quantification of Fourteen Alkaloids in Mouse Plasma after Oral Administration of the Extract of Corydalis yanhusuo Tuber: Application to Pharmacokinetic Study
by Weijuan Du, Lisha Jin, Liping Li, Wei Wang, Su Zeng, Huidi Jiang and Hui Zhou
Molecules 2018, 23(4), 714; https://doi.org/10.3390/molecules23040714 - 21 Mar 2018
Cited by 30 | Viewed by 5967
Abstract
The tuber of Corydalis yanhusuo is a famous traditional Chinese medicine and found to have potent pharmacological effects, such as antinociceptive, antitumor, antibacterial, anti-inflammatory, and anti-depressive activities. Although there are several methods to be developed for the analysis and detection of the bioactive [...] Read more.
The tuber of Corydalis yanhusuo is a famous traditional Chinese medicine and found to have potent pharmacological effects, such as antinociceptive, antitumor, antibacterial, anti-inflammatory, and anti-depressive activities. Although there are several methods to be developed for the analysis and detection of the bioactive ingredients’ alkaloids, so far, only few prominent alkaloids could be quantified, and in vitro and in vivo changes of comprehensive alkaloids after oral administration are still little known. In this study, we first developed a simple and sensitive high-performance liquid chromatography-electrospray ionization-tandem mass spectrometry (HPLC-ESI-MS/MS) method to quantify the comprehensive alkaloids of extracts of C. yanhusuo in mouse plasma, using nitidine chloride as an internal standard. As results, at least fourteen alkaloids, including an aporphine (oxoglaucine), a protopine (protopine), five tertiary alkaloids (corydaline, tetrahydroberberine, tetrahydropalmatine, tetrahydrocolumbamine, and tetrahydrocoptisine) and seven quaternary alkaloids (columbamine, palmatine, berberine, epiberberine, coptisine, jatrorrhizine, and dehydrocorydaline) could be well quantified simultaneously in mouse plasma. The lower limits of quantification were greater than, or equal to, 0.67 ng/mL, and the average matrix effects ranged from 96.4% to 114.3%. The mean extraction recoveries of quality control samples were over 71.40%, and the precision and accuracy were within the acceptable limits. All the analytes were shown to be stable under different storage conditions. Then the established method was successfully applied to investigate the pharmacokinetics of these alkaloids after oral administration of the extract of Corydalis yanhusuo in mice. To the best of our knowledge, this is the first document to report the comprehensive and simultaneous analyses of alkaloids of C. yanhusuo in mouse plasma. It was efficient and useful for comprehensive pharmacokinetic and metabolomic analyses of these complex alkaloids after drug administration. Full article
Show Figures

Graphical abstract

Back to TopTop