Sign in to use this feature.

Years

Between: -

Subjects

remove_circle_outline
remove_circle_outline
remove_circle_outline
remove_circle_outline
remove_circle_outline

Journals

Article Types

Countries / Regions

Search Results (22)

Search Parameters:
Keywords = Coptis plants

Order results
Result details
Results per page
Select all
Export citation of selected articles as:
21 pages, 18123 KB  
Article
Genotyping-by-Sequencing Reveals Low Genetic Diversity and Pronounced Geographic Structuring in the Endangered Medicinal Plant Coptis chinensis var. brevisepala
by Wenhao Zeng, Zihao Ye, Xi Liu, Haiping Lin and Jiasen Wu
Plants 2026, 15(3), 371; https://doi.org/10.3390/plants15030371 - 25 Jan 2026
Viewed by 223
Abstract
Coptis chinensis var. brevisepala W. T. Wang & P. G. Xiao is an endemic and endangered medicinal plant in China whose wild populations are rapidly declining under the combined pressures of overharvesting, climate change, and habitat fragmentation. Using genotyping-by-sequencing, we analyzed 87 individuals [...] Read more.
Coptis chinensis var. brevisepala W. T. Wang & P. G. Xiao is an endemic and endangered medicinal plant in China whose wild populations are rapidly declining under the combined pressures of overharvesting, climate change, and habitat fragmentation. Using genotyping-by-sequencing, we analyzed 87 individuals from 15 populations in Zhejiang Province, China, and identified 155,611 high-quality SNPs. The species exhibited low genetic diversity and strong genetic differentiation among populations with restricted gene flow (population-averaged Ho = 0.066, He = 0.067, π = 0.078, FIS = 0.029, FST = 0.503, Nm = 0.329, gRelMig = 0.136). Analysis of molecular variance showed that variation among populations accounted for 73.58% of the total genetic variation (p < 0.001). A phylogenetic tree, principal component analysis (PCA), and admixture analysis consistently resolved the 15 populations into two major groups, which could be further subdivided into four subgroups. Mantel and partial Mantel tests indicated that geographic isolation is the primary driver of genetic differentiation, while environmental factors such as ultraviolet radiation and low temperature may contribute to fine-scale divergence at local spatial scales. Furthermore, MMRR analysis provided further confirmation of the independent and dominant role of geographic isolation. This study provides key data on the genetic diversity and population structure of C. chinensis var. brevisepala and offers a genetic basis for developing regionally differentiated conservation strategies and promoting its sustainable utilization. Full article
(This article belongs to the Special Issue Genetic Diversity and Population Structure of Plants)
Show Figures

Figure 1

17 pages, 2196 KB  
Article
Genome-Wide Identification and Analysis of bZIP Transcription Factors in Coptis chinensis Reveals Their Regulatory Roles in Stress Responses
by Wuke Wei, Zijian Le, Lianan Guo, Rangyu Mo, Yu Wang and Yuan Pan
Int. J. Mol. Sci. 2026, 27(1), 431; https://doi.org/10.3390/ijms27010431 - 31 Dec 2025
Viewed by 295
Abstract
The basic leucine zipper (bZIP) transcription factors play crucial roles in plant growth and stress adaptation. However, a comprehensive genome-wide analysis of this family has been lacking in the medicinal plant Coptis chinensis. In this study, we identified 55 bZIP genes ( [...] Read more.
The basic leucine zipper (bZIP) transcription factors play crucial roles in plant growth and stress adaptation. However, a comprehensive genome-wide analysis of this family has been lacking in the medicinal plant Coptis chinensis. In this study, we identified 55 bZIP genes (CcbZIPs) from the C. chinensis genome and systematically classified them into 12 subfamilies through phylogenetic analysis with Arabidopsis thaliana. Notably, subfamilies L and O were absent, while two orphan genes were discovered, indicating lineage-specific evolution. Expression profiling revealed that numerous CcbZIPs respond dynamically to temperature and light stresses in a tissue-specific manner. These findings provide a foundation for understanding the regulatory roles of CcbZIPs in environmental adaptation and secondary metabolism, offering potential genetic targets for future breeding aimed at improving stress tolerance and medicinal compound production in C. chinensis. Full article
Show Figures

Figure 1

22 pages, 5463 KB  
Article
Berberine Hydrochloride Reduces the Intracellular Survival of Salmonella Typhimurium by Enhancing Host Autophagic Flux Through the Inhibition of the Type III Secretion System
by Jianan Huang, Jiaxing Lu, Conghui Wu, Sidi Chen, Tianyuan Chang, Lei Xu, Xihui Shen, Qadir Bakhsh, Baofu Qin, Weidong Qian and Yao Wang
Biomolecules 2025, 15(11), 1589; https://doi.org/10.3390/biom15111589 - 13 Nov 2025
Viewed by 984
Abstract
Salmonella Typhimurium, a significant intracellular foodborne pathogen, regulates host cell autophagy to achieve its own survival by injecting effector proteins into host cells via its type III secretion system (T3SS). Berberine hydrochloride (BH), an isoquinoline alkaloid derived from medicinal plants such as Coptis [...] Read more.
Salmonella Typhimurium, a significant intracellular foodborne pathogen, regulates host cell autophagy to achieve its own survival by injecting effector proteins into host cells via its type III secretion system (T3SS). Berberine hydrochloride (BH), an isoquinoline alkaloid derived from medicinal plants such as Coptis chinensis, has demonstrated potential antibacterial and immunomodulatory properties. However, the mechanisms by which BH combats S. Typhimurium by enhancing host autophagic flux through the inhibition of the type III secretion system remain to be fully elucidated. Here, we found that BH disrupts biofilm formation of S. Typhimurium, significantly inhibits the expression of genes associated with T3SS, and robustly enhances autophagy activity in macrophages infected with the pathogen. In a mouse model (C57BL/6 female 20 ± 1 g/mouse), BH significantly improved survival rates, reduced bacterial loads in tissues, and alleviated pathological damage. Molecular docking studies revealed that BH binds to key T3SS proteins, including SipB, SseA, and SsrB. These findings indicate that BH holds promise as a potentially effective therapeutic strategy for combating S. Typhimurium infections. Full article
(This article belongs to the Special Issue Antibiotic Resistance Mechanisms and Their Potential Solutions)
Show Figures

Figure 1

30 pages, 2043 KB  
Review
Berberine as a Bioactive Alkaloid: Multi-Omics Perspectives on Its Role in Obesity Management
by Bartłomiej Zieniuk and Magdalena Pawełkowicz
Metabolites 2025, 15(7), 467; https://doi.org/10.3390/metabo15070467 - 9 Jul 2025
Cited by 6 | Viewed by 8491
Abstract
Berberine, a bioactive isoquinoline alkaloid derived from medicinal plants such as Berberis and Coptis species, shows significant promise for managing obesity and associated metabolic disorders. This review synthesizes evidence on its modulation of AMP-activated protein kinase (AMPK) signaling, gut microbiota composition, lipid metabolism, [...] Read more.
Berberine, a bioactive isoquinoline alkaloid derived from medicinal plants such as Berberis and Coptis species, shows significant promise for managing obesity and associated metabolic disorders. This review synthesizes evidence on its modulation of AMP-activated protein kinase (AMPK) signaling, gut microbiota composition, lipid metabolism, and adipokine networks, elucidating how these actions converge to suppress adipogenesis and improve insulin sensitivity. Metabolomic profiling reveals critical shifts in bile acid metabolism, short-chain fatty acid production, and mitochondrial function. Recent studies also highlight berberine’s anti-inflammatory effects and regulatory influence on glucose homeostasis. Despite its promise, challenges in oral bioavailability and drug interactions necessitate the development of advanced delivery strategies. We further discuss nanoformulations and multi-omics approaches, which integrate data from genomics, transcriptomics, proteomics, and metabolomics, provide new insights into berberine’s mechanisms, and may guide personalized therapeutic applications. While promising, further studies are needed to validate these findings in humans and translate them into effective clinical strategies. Full article
Show Figures

Figure 1

18 pages, 8196 KB  
Article
Genome-Wide Screening of the MYB Genes in Coptis chinensis and Their Roles in Growth, Development, and Heavy Metal Resistance
by Yang Yang, Jingmao You and Xuebo Hu
Genes 2025, 16(5), 476; https://doi.org/10.3390/genes16050476 - 23 Apr 2025
Cited by 1 | Viewed by 1082
Abstract
Background: Coptis chinensis is a traditional medicinal plant rich in bioactive compounds like berberine, known for its antibacterial, anti-inflammatory, and antioxidant properties. This study aims to analyze the MYB transcription factor family in C. chinensis to better understand their roles in plant [...] Read more.
Background: Coptis chinensis is a traditional medicinal plant rich in bioactive compounds like berberine, known for its antibacterial, anti-inflammatory, and antioxidant properties. This study aims to analyze the MYB transcription factor family in C. chinensis to better understand their roles in plant growth, development, metabolism, and stress responses. Methods: We employed bioinformatics to conduct a genome-wide identification of MYB genes in C. chinensis, followed by analyses of physicochemical properties, phylogenetic relationships, gene structures, chromosomal localization, conserved motifs, cis-acting elements, and expression patterns. Results were validated using qRT-PCR. Results: A total of 129 CcMYB genes were identified across nine chromosomes. Phylogenetic analysis categorized these genes into 19 subgroups, notably highlighting the S6 subgroup, which lacks counterparts in Arabidopsis. Comparative genomics revealed segmental duplication among gene pairs. Transcriptomic analysis indicated that CcMYB21, CcMYB40, CcMYB105, and CcMYB116 had high expression levels in stems. Importantly, CcMYB94 expression significantly increased under cadmium stress, suggesting its role in stress regulation. Conclusions: This study offers a comprehensive analysis of the MYB gene family in C. chinensis, underscoring the significance of MYB transcription factors in enhancing the plant’s medicinal value and stress tolerance, particularly against cadmium exposure. These insights pave the way for further exploration of specific MYB genes to improve stress resilience in C. chinensis. Full article
(This article belongs to the Section Plant Genetics and Genomics)
Show Figures

Figure 1

25 pages, 3715 KB  
Article
Alkaloid Extraction from Coptis chinensis Franch. Using Ultrasound-Assisted Aqueous Solutions of Surfactants, Organic Acids, Deep Eutectic Solvents, and Supramolecular Deep Eutectic Solvents
by Khan Viet Nguyen, Nhan Trong Le, Vy Thao Thi Dang, Oleh Koshovyi, Ain Raal and Hoai Thi Nguyen
Molecules 2025, 30(7), 1418; https://doi.org/10.3390/molecules30071418 - 22 Mar 2025
Cited by 6 | Viewed by 3522
Abstract
Berberine, palmatine, and coptisine are bioactive alkaloids commonly found in medicinal plants, including Coptis chinensis Franch. (Ranunculaceae). To address the limitations of conventional volatile organic solvents, this study employed eco-friendly solvents—aqueous solutions of surfactants, carboxylic acids, and deep eutectic solvents—to extract these alkaloids. [...] Read more.
Berberine, palmatine, and coptisine are bioactive alkaloids commonly found in medicinal plants, including Coptis chinensis Franch. (Ranunculaceae). To address the limitations of conventional volatile organic solvents, this study employed eco-friendly solvents—aqueous solutions of surfactants, carboxylic acids, and deep eutectic solvents—to extract these alkaloids. Among the solvents tested, lactic acid, malic acid, and pyruvic acid exhibited the highest extraction efficiencies. Optimal extraction conditions for ultrasound-assisted extraction were determined via response surface methodology. For lactic acid, optimal conditions included a concentration of 96% (w/w), a liquid-to-solid ratio of 30.0 mL/g, and a temperature of 60.0 °C, yielding 139.6 ± 0.2 mg/g of total alkaloids. Malic acid at 40.0% (w/w), 30.0 mL/g, and 80.0 °C produced 133.0 ± 0.5 mg/g, while pyruvic acid at 88.0% (w/w), 30.0 mL/g, and 75.0 °C resulted in 146.3 ± 0.4 mg/g. The recovery efficiencies of these alkaloids were further enhanced using macroporous resins. The XAD-8 and AB-8 resins achieved recovery rates of 80.11 ± 0.78% and 79.00 ± 1.06%, respectively, for lactic acid extracts. The LSA-40 resin yielded efficiencies of 95.58 ± 1.40% and 89.86 ± 0.90% for malic and pyruvic acid extracts, respectively. Notably, the combination of malic acid as an extraction solvent and the HPD-400 resin achieved an impressive alkaloid recovery yield of 79.52% from C. chinensis. This work represents the first reported application of this approach and highlights the potential of green solvents and macroporous resins for sustainable and efficient alkaloid extraction from C. chinensis. Full article
Show Figures

Figure 1

16 pages, 4952 KB  
Article
Coptis Root-Derived Hierarchical Carbon-Supported Ag Nanoparticles for Efficient and Recyclable Alkyne Halogenation
by Cheng Liu, Fangyuan Gong, Xiaochuan Zou, Cun Wang and Zhengwei Xiong
Molecules 2025, 30(3), 567; https://doi.org/10.3390/molecules30030567 - 26 Jan 2025
Cited by 1 | Viewed by 1168
Abstract
The advancement of green chemistry and sustainable chemical processes has been significantly facilitated by catalytic systems derived from plant roots, which also present substantial application prospects in the realm of chemical synthesis. This study utilized the roots of Rhizoma Coptidis as a support [...] Read more.
The advancement of green chemistry and sustainable chemical processes has been significantly facilitated by catalytic systems derived from plant roots, which also present substantial application prospects in the realm of chemical synthesis. This study utilized the roots of Rhizoma Coptidis as a support to successfully fabricate a silver-based nanocatalyst. By depositing silver nanoparticles onto the root material of Coptis chinensis and subjecting it to carbonization, a silver/carbon composite was synthesized, featuring monodisperse silver nanoparticles and a hierarchical mesoporous carbon framework. This composite exhibits robust surface activity, a well-defined pore structure, and superior mechanical properties. The catalyst achieves a catalytic yield nearing 90%, showcasing remarkable activity in terminal alkyne halogenation reactions. Its stability and recyclability are markedly enhanced; it retains 95% of its mass and remains unaltered in the reaction solvent for over 160 h after five cycles. This method simplifies the synthesis of terminal alkynes and their derivatives, rendering the process more environmentally benign and efficacious. Furthermore, it broadens the potential applications of Rhizoma Coptidis in synthetic chemistry and pioneers a novel approach for the synthesis of precious metal catalysts from renewable resources. Full article
(This article belongs to the Special Issue Catalysis for Green Chemistry II)
Show Figures

Figure 1

17 pages, 7048 KB  
Article
An Extraction Process Based on the Collaborative Extraction of Coptis chinensis Franch. Phytoconstituents Using a Deep Eutectic Solvent and an Organic Solvent
by Cheng Liu, Fangyuan Gong, Zhengwei Xiong, Cun Wang, Xinhe Ran, Jiahua Ran, Runzi Li, Yangjin Ou, Qingqing Xia, Pei Wei and Jin Guo
Separations 2024, 11(8), 249; https://doi.org/10.3390/separations11080249 - 16 Aug 2024
Cited by 5 | Viewed by 3008
Abstract
A low-cost method for the simultaneous extraction of alkaloids and water-insoluble flavonoids and esters from Coptis chinensis Franch. (Abbrev. C. chinensis) was explored to provide a reference for the production of green plant-based preparations and traditional Chinese medicine formula granules. A combined [...] Read more.
A low-cost method for the simultaneous extraction of alkaloids and water-insoluble flavonoids and esters from Coptis chinensis Franch. (Abbrev. C. chinensis) was explored to provide a reference for the production of green plant-based preparations and traditional Chinese medicine formula granules. A combined extraction method with the deep eutectic solvents (DESs) of choline chloride and urea (molar mass ratio of 1:2) and organic solvent ethanol was used, supplemented by ultrasonic-assisted extraction (ultrasonic power: 150 W; ultrasonic temperature: 60 °C; treatment time: 15 min). The extraction efficiency of the 50% DES (choline chloride and urea) aqueous solution for berberine, palmatine, jatrorrhizine, and magnoflorine was found to be the highest and was superior to traditional ultrasonic extraction and water bath reflux extraction methods. Furthermore, the flavonoids and esters from C. chinensis residue were extracted using ethanol. The results from high-performance liquid chromatography and gas chromatography–mass spectrometry indicated a high extraction efficiency overall. Full article
Show Figures

Figure 1

17 pages, 7328 KB  
Article
R2R3-MYB Gene Family in Coptis teeta Wall.: Genome-Wide Identification, Phylogeny, Evolutionary Expansion, and Expression Analyses during Floral Development
by Jichen Yu, Shaofeng Duan, Zhenyang Shua, Kecheng Li, Guisheng Xiang, Timothy Charles Baldwin, Yingchun Lu and Yanli Liang
Int. J. Mol. Sci. 2024, 25(16), 8902; https://doi.org/10.3390/ijms25168902 - 15 Aug 2024
Cited by 2 | Viewed by 2030
Abstract
The R2R3-MYB gene family represents a widely distributed class of plant transcription factors. This gene family plays an important role in many aspects of plant growth and development. However, the characterization of R2R3-MYB genes present in the genome of Coptis teeta has not [...] Read more.
The R2R3-MYB gene family represents a widely distributed class of plant transcription factors. This gene family plays an important role in many aspects of plant growth and development. However, the characterization of R2R3-MYB genes present in the genome of Coptis teeta has not been reported. Here, we describe the bioinformatic identification and characterization of 88 R2R3-MYB genes in this species, and the identification of members of the R2R3-MYB gene family in species within the order Ranales most closely related to Coptis teeta. The CteR2R3-MYB genes were shown to exhibit a higher degree of conservation compared to those of A. thaliana, as evidenced by phylogeny, conserved motifs, gene structure, and replication event analyses. Cis-acting element analysis confirmed the involvement of CteR2R3-MYB genes in a variety of developmental processes, including growth, cell differentiation, and reproduction mediated by hormone synthesis. In addition, through homology comparisons with the equivalent gene family in A. thaliana, protein regulatory network prediction and transcriptome data analysis of floral organs across three time periods of flower development, 17 candidate genes were shown to exhibit biased expression in two floral phenotypes of C. teeta. This suggests their potential involvement in floral development (anther development) in this species. Full article
(This article belongs to the Section Molecular Genetics and Genomics)
Show Figures

Figure 1

15 pages, 4108 KB  
Article
Transcriptome and Metabolome Analysis of Isoquinoline Alkaloid Biosynthesis of Coptis chinensis in Different Years
by Xinyi Min, Ting Zhu, Xinyi Hu, Cong Hou, Jianing He and Xia Liu
Genes 2023, 14(12), 2232; https://doi.org/10.3390/genes14122232 - 18 Dec 2023
Cited by 13 | Viewed by 3272
Abstract
Coptis chinensis is a perennial herb of the Ranunculaceae family. The isoquinoline alkaloid is the main active component of C. chinensis, mainly exists in its rhizomes and has high clinical application potential. The in vitro synthesis of isoquinoline alkaloids is difficult because [...] Read more.
Coptis chinensis is a perennial herb of the Ranunculaceae family. The isoquinoline alkaloid is the main active component of C. chinensis, mainly exists in its rhizomes and has high clinical application potential. The in vitro synthesis of isoquinoline alkaloids is difficult because their structures are complex; hence, plants are still the main source of them. In this study, two-year and four-year rhizomes of C. chinensis were selected to investigate the effect of growth years on the accumulation of isoquinoline alkaloids. Two-year and four-year C. chinensis were selected for metabolomics detection and transcriptomic analysis. A total of 413 alkaloids were detected by metabolomics analysis, of which 92 were isoquinoline alkaloids. (S)-reticuline was a significantly different accumulated metabolite of the isoquinoline alkaloids biosynthetic pathway in C. chinensis between the two groups. The results of transcriptome analysis showed that a total of 464 differential genes were identified, 36 of which were associated with the isoquinoline alkaloid biosynthesis pathway of C. chinensis. Among them, 18 genes were correlated with the content of important isoquinoline alkaloids. Overall, this study provided a comprehensive metabolomic and transcriptomic analysis of the rapid growth stage of C. chinensis rhizome from the perspective of growth years. It brought new insights into the biosynthetic pathway of isoquinoline alkaloids and provided information for utilizing biotechnology to improve their contents in C. chinensis. Full article
(This article belongs to the Special Issue Medicinal Plant Research from an Omics Perspective)
Show Figures

Figure 1

17 pages, 2114 KB  
Review
Neuroprotective Properties of Berberine: Molecular Mechanisms and Clinical Implications
by Erjie Tian, Gaurav Sharma and Chongshan Dai
Antioxidants 2023, 12(10), 1883; https://doi.org/10.3390/antiox12101883 - 19 Oct 2023
Cited by 76 | Viewed by 11702
Abstract
Berberine (BBR), an isoquinoline alkaloid natural product, is isolated primarily from Coptis chinensis and other Berberis plants. BBR possesses various bioactivities, including antioxidant, anti-inflammation, anticancer, immune-regulation, and antimicrobial activities. Growing scientific evidence underscores BBR’s substantial neuroprotective potential, prompting increased interest and scrutiny. In [...] Read more.
Berberine (BBR), an isoquinoline alkaloid natural product, is isolated primarily from Coptis chinensis and other Berberis plants. BBR possesses various bioactivities, including antioxidant, anti-inflammation, anticancer, immune-regulation, and antimicrobial activities. Growing scientific evidence underscores BBR’s substantial neuroprotective potential, prompting increased interest and scrutiny. In this comprehensive review, we elucidate the neuroprotective attributes of BBR, delineate the underlying molecular mechanisms, and assess its clinical safety and efficacy. The multifaceted molecular mechanisms responsible for BBR’s neuroprotection encompass the attenuation of oxidative stress, mitigation of inflammatory responses, inhibition of apoptotic pathways, facilitation of autophagic processes, and modulation of CYP450 enzyme activities, neurotransmitter levels, and gut microbiota composition. Furthermore, BBR engages numerous signaling pathways, including the PI3K/Akt, NF-κB, AMPK, CREB, Nrf2, and MAPK pathways, to confer its neuroprotective effects. This comprehensive review aims to provide a substantial knowledge base, stimulate broader scientific discourse, and facilitate advancements in the application of BBR for neuroprotection. Full article
Show Figures

Figure 1

12 pages, 2578 KB  
Article
Antifungal Potential of Some Herb Decoctions and Essential Oils on Candida Species
by Alexandra Noites, Bruno Araújo, Jorge Machado and Eugénia Pinto
Healthcare 2022, 10(10), 1820; https://doi.org/10.3390/healthcare10101820 - 21 Sep 2022
Cited by 4 | Viewed by 3600
Abstract
(1) Background: Candidiasis is a fungal infectious disease caused by opportunistic Candida species. The incidence of candidiasis has improved, due to prolonged antibiotic therapy and an increased number of immunocompromised patients. The purpose of this study was to evaluate if decoctions and essential [...] Read more.
(1) Background: Candidiasis is a fungal infectious disease caused by opportunistic Candida species. The incidence of candidiasis has improved, due to prolonged antibiotic therapy and an increased number of immunocompromised patients. The purpose of this study was to evaluate if decoctions and essential oil (EO) of neem (Azadirachta indica, Meliaceae family), coptidis (Coptis chinensis, Ranunculaceae family), magnolia (Magnolia officinalis, Magnoliaceae family), scutellaria (Scutellaria barbata, Lamiaceae family), and the EO of manuka (Leptospermum scoparium, Myrtaceae family), have antifungal activity in vitro against some clinically prevalent species of Candida. (2) Methods: The antifungal activity was studied by the determination of the minimum inhibitory concentration (MIC) and minimum lethal concentration (MLC) against five Candida strains. The effect in dimorphic transition of Candida albicans was also evaluated for the two plants with higher antimicrobial behavior. (3) Results: C. chinensis decoction and EO and L. scoparium EO exhibited antifungal activity in Candida spp. In addition to the fact that both C. chinensis decoction and EO proved strong antifungal activity, L. scoparium EO also displayed a relevant inhibitory effect on the dimorphic transition. (4) Conclusions: The results provided support for the potential use of C. chinensis and L. scoparium in the treatment of infections by Candida spp. Full article
Show Figures

Figure 1

17 pages, 2877 KB  
Article
Continuous Cropping Changes the Composition and Diversity of Bacterial Communities: A Meta-Analysis in Nine Different Fields with Different Plant Cultivation
by Mohammad Murtaza Alami, Qiuling Pang, Zedan Gong, Tewu Yang, Daiqun Tu, Ouyang Zhen, Weilong Yu, Mohammad Jawad Alami and Xuekui Wang
Agriculture 2021, 11(12), 1224; https://doi.org/10.3390/agriculture11121224 - 3 Dec 2021
Cited by 32 | Viewed by 4635
Abstract
Chinese goldthread (Coptis chinensis Franch.) represents one of the most important medicinal plants with diverse medicinal applications, but it easily suffers from continuous cropping obstacles in the plantation. In this study, we have selected eight different continuously cropped fields with C. chinensis [...] Read more.
Chinese goldthread (Coptis chinensis Franch.) represents one of the most important medicinal plants with diverse medicinal applications, but it easily suffers from continuous cropping obstacles in the plantation. In this study, we have selected eight different continuously cropped fields with C. chinensis and fallow field, providing detailed information regarding the diversity and composition of the rhizospheric bacterial communities. We have found a significant difference between fallow field (LH) and other continuously cropped fields in soil pH; the total content of nitrogen, phosphorus, and potassium; and soil enzyme activities. The results indicate that continuous cropping had a significant effect on soil physicochemical properties and enzyme activities under different plant cultivations. The relative abundance of bacterial phyla was significantly altered among the fields; for example, proteobacteria and Actinobacteria were observed to be higher in continuous cropping of maize (HY6) and lower in sweet potato continuous cropping (HH). Alpha diversity analysis showed that different plants with different years of continuous cropping could change the diversity of bacterial communities, among which the effect of maize and Polygonum multiflorum continuous cropping were most significant. Principle coordinate analysis (PCoA) showed that continuously cropped C. chinensis (LZ) and cabbage continuously cropped for 2 years (HS) were slightly clustered together and separated from LH and others. The results showed that the similarity of the bacterial community in the same crop rotation was higher, which further indicated that the bacterial community structure was significantly altered by the continuous cropping system and plant species. Our study provides a foundation for future agricultural research to improve microbial activity and increase crops/cash-crops productivity under a continuous cropping system and mitigate continuous cropping obstacles. Full article
Show Figures

Figure 1

17 pages, 25972 KB  
Article
Predicting the Potential Distribution of Perennial Plant Coptis chinensis Franch. in China under Multiple Climate Change Scenarios
by Qian Zhao, Yuan Zhang, Wen-Na Li, Bang-Wen Hu, Jia-Bin Zou, Shi-Qiang Wang, Jun-Feng Niu and Zhe-Zhi Wang
Forests 2021, 12(11), 1464; https://doi.org/10.3390/f12111464 - 27 Oct 2021
Cited by 18 | Viewed by 3690
Abstract
Coptis chinensis Franch. (Ranales: Ranunculaceae) is a perennial species with high medicinal value. Predicting the potentially geographical distribution patterns of C. chinensis against the background of climate change can facilitate its protection and sustainable utilization. This study employed the optimized maximum entropy model [...] Read more.
Coptis chinensis Franch. (Ranales: Ranunculaceae) is a perennial species with high medicinal value. Predicting the potentially geographical distribution patterns of C. chinensis against the background of climate change can facilitate its protection and sustainable utilization. This study employed the optimized maximum entropy model to predict the distribution patterns and changes in potentially suitable C. chinensis’ regions in China under multiple climate change scenarios (SSP1-2.6, SSP2-4.5, SSP3-7.0 and SSP5-8.5) across different time periods (1970–2000, 2050s, 2070s, and 2090s). The results revealed that the currently potentially suitable regions of C. chinensis span an area of 120.47 × 104 km2, which accounts for 12.54% of China’s territory. Among these areas, the low, moderate, and highly suitable regions are 80.10 × 104 km2, 37.16 × 104 km2, and 3.21 × 104 km2, respectively. The highly suitable regions are primarily distributed in Chongqing, Guizhou, Zhejiang, Hubei, and Hunan Provinces. Over time, the potentially suitable regions of C. chinensis are predicted to shrink. Furthermore, our study revealed that the relatively low impact areas of C. chinensis were mainly distributed in Yunnan, Guizhou, Hubei, Chongqing, and other Provinces. Centroid transfer analysis indicated that except for SSP1-2.6, the center of the potentially suitable region of C. chinensis showed a trend of gradual transfer to the northwest and high-altitude areas. Full article
(This article belongs to the Section Forest Economics, Policy, and Social Science)
Show Figures

Figure 1

17 pages, 3084 KB  
Article
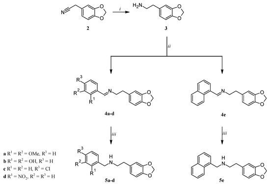
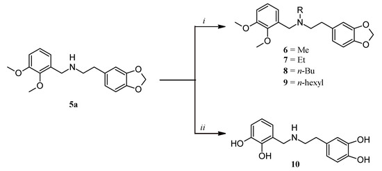
Molecular Simplification of Natural Products: Synthesis, Antibacterial Activity, and Molecular Docking Studies of Berberine Open Models
by Gualtiero Milani, Maria Maddalena Cavalluzzi, Roberta Solidoro, Lara Salvagno, Laura Quintieri, Angela Di Somma, Antonio Rosato, Filomena Corbo, Carlo Franchini, Angela Duilio, Leonardo Caputo, Solomon Habtemariam and Giovanni Lentini
Biomedicines 2021, 9(5), 452; https://doi.org/10.3390/biomedicines9050452 - 22 Apr 2021
Cited by 16 | Viewed by 4621
Abstract
Berberine, the main bioactive component of many medicinal plants belonging to various genera such as Berberis, Coptis, and Hydrastis is a multifunctional compound. Among the numerous interesting biological properties of berberine is broad antimicrobial activity including a range of Gram-positive and [...] Read more.
Berberine, the main bioactive component of many medicinal plants belonging to various genera such as Berberis, Coptis, and Hydrastis is a multifunctional compound. Among the numerous interesting biological properties of berberine is broad antimicrobial activity including a range of Gram-positive and Gram-negative bacteria. With the aim of identifying berberine analogues possibly endowed with higher lead-likeness and easier synthetic access, the molecular simplification approach was applied to the secondary metabolite and a series of analogues were prepared and screened for their antimicrobial activity against Gram-positive and Gram-negative bacterial test species. Rewardingly, the berberine simplified analogues displayed 2–20-fold higher potency with respect to berberine. Since our berberine simplified analogues may be easily synthesized and are characterized by lower molecular weight than the parent compound, they are further functionalizable and should be more suitable for oral administration. Molecular docking simulations suggested FtsZ, a well-known protein involved in bacterial cell division, as a possible target. Full article
(This article belongs to the Section Drug Discovery and Development)
Show Figures

Figure 1

Back to TopTop