Transcriptome and Metabolome Analysis of Isoquinoline Alkaloid Biosynthesis of Coptis chinensis in Different Years
Abstract
1. Introduction
2. Materials and Methods
2.1. Plant Materials
2.2. Widely Targeted Metabolome Analysis of C. chinensis
2.3. RNA-seq Library Preparation and Sequencing
2.4. Transcriptome Compared with the Reference Genome and Functional Annotation
2.5. Analysis of Differentially Expressed Genes (DEGs)
2.6. Quantitative Real-Time PCR (qRT-PCR) Analysis of DEGs
2.7. Statistical Methods
3. Results
3.1. Widely Targeted Metabolome Analysis of C. chinensis
3.2. C. chinensis Transcriptome Analysis Using RNA-seq
3.3. DEGs Identification and Functional Annotation
3.4. Identification Analysis of DEGs in Isoquinoline Alkaloids Biosynthesis
3.5. Statistical Analysis of TFs
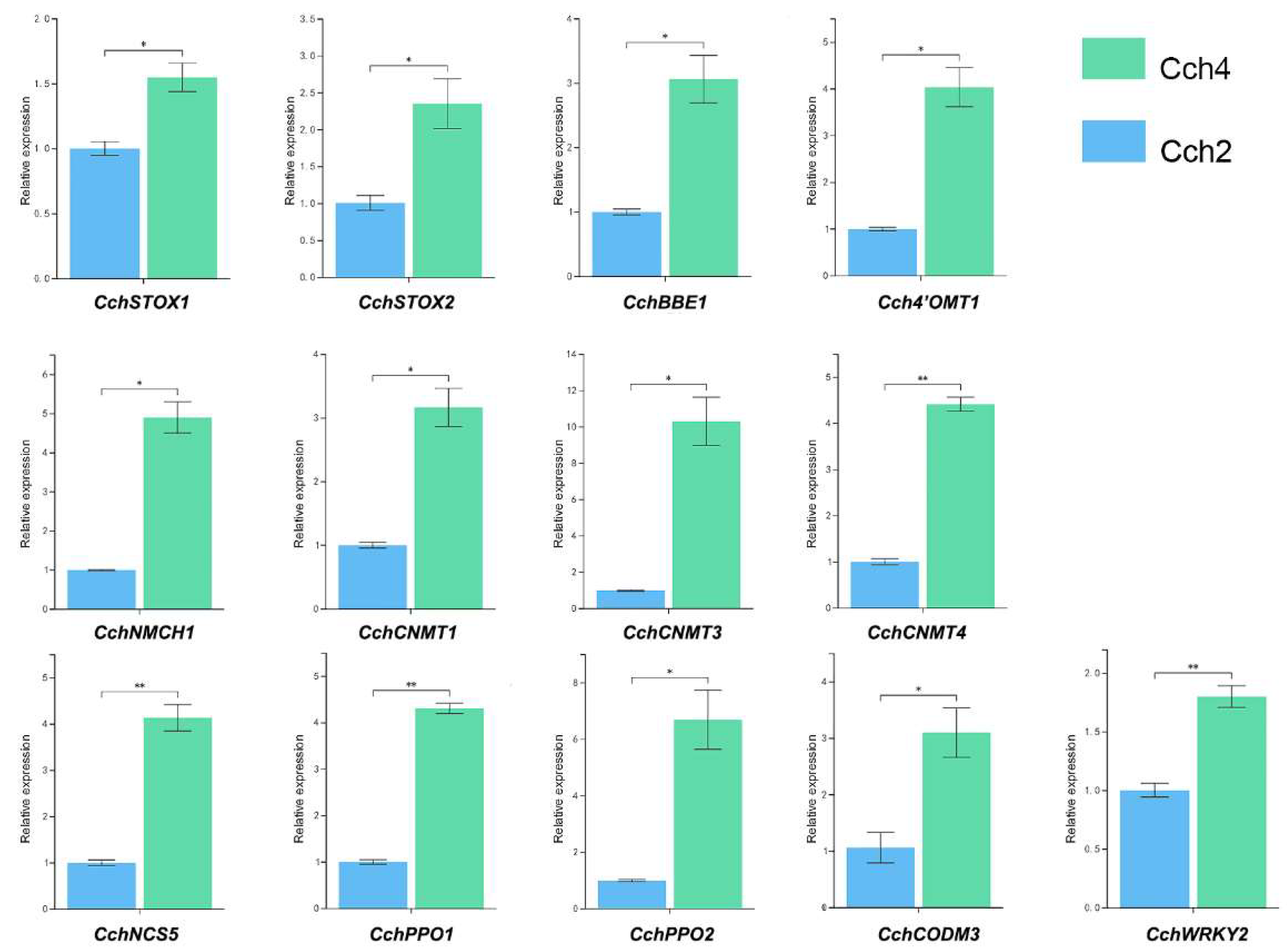
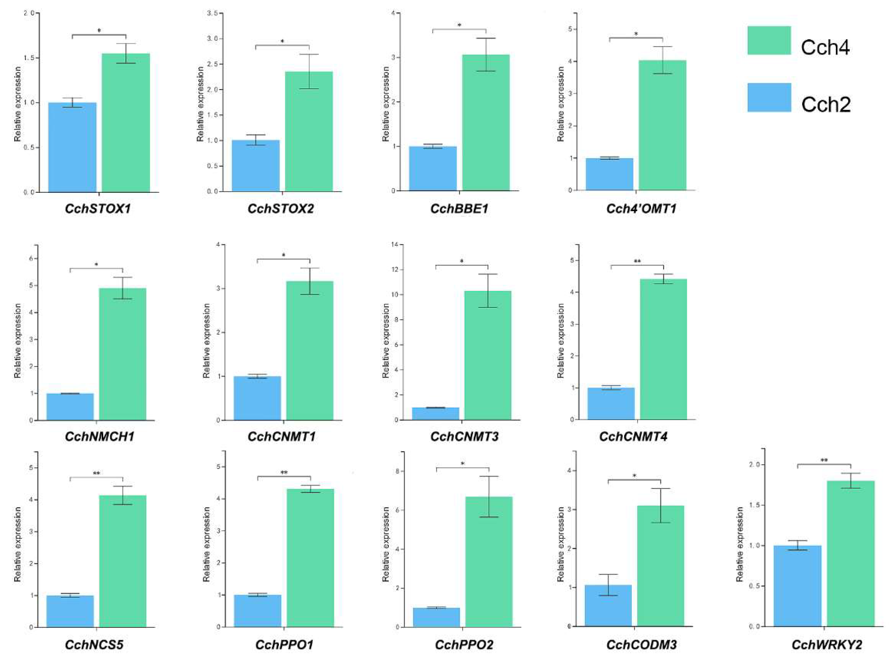
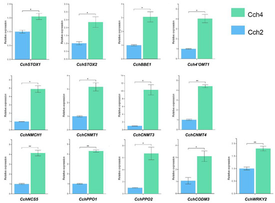
3.6. qRT-PCR Validation of the Isoquinoline Alkaloids Biosynthesis Related Genes
4. Discussion
4.1. Accumulation of Alkaloids in C. chinensis with Different Growth Years
4.2. OMT, P450 Family Contribute to Isoquinoline Alkaloid Diversity
4.3. Candidate TFs Related to Isoquinoline Alkaloids Biosynthesis in C. chinensis
5. Conclusions
Supplementary Materials
Author Contributions
Funding
Institutional Review Board Statement
Informed Consent Statement
Data Availability Statement
Acknowledgments
Conflicts of Interest
References
- Teng, H.; Choi, Y.H. Optimization of ultrasonic-assisted extraction of bioactive alkaloid compounds from rhizoma coptidis (Coptis chinensis Franch.) using response surface methodology. Food Chem. 2014, 142, 299–305. [Google Scholar] [CrossRef]
- Lee, H.S.; Kang, D.G.; Shon, E.J.; Oh, H. Antihypertensive effects of the main components of Coptis chinensis Franch. FASEB J. 2002, 16, A496. [Google Scholar]
- Tian, P.-P.; Zhang, X.-X.; Wang, H.-P.; Li, P.-L.; Liu, Y.-X.; Li, S.-J. Rapid Analysis of Components in Coptis chinensis Franch by Ultra-Performance Liquid Chromatography with Quadrupole Time-of-Flight Mass Spectrometry. Pharmacogn. Mag. 2017, 13, 175–179. [Google Scholar] [PubMed]
- Zhong, G.Y.; Huang, X.P.; Ma, K.S.; Chen, S.J.; Qin, S.Y. Quality assessment of Coptis chinensis in China. Zhongguo Zhong Yao Za Zhi = Zhongguo Zhongyao Zazhi = China J. Chin. Mater. Medica 2005, 30, 495–497. [Google Scholar]
- Wang, D.-Q.; Peng, H.-S. The vicissitude of the historically famous medicinal herb Xuan Huanglian (Coptis chinensis var. brevisepala). Zhonghua Yi Shi Za Zhi 2008, 38, 137–139. [Google Scholar] [PubMed]
- Fang, X.; Wang, M.; Zhou, X.; Wang, H.; Wang, H.; Xiao, H. Effects of growth years on ginsenoside biosynthesis of wild ginseng and cultivated ginseng. BMC Genom. 2022, 23, 325. [Google Scholar] [CrossRef] [PubMed]
- Frick, K.M.; Foley, R.C.; Kamphuis, L.G.; Siddique, K.H.; Garg, G.; Singh, K.B. Characterization of the genetic factors affecting quinolizidine alkaloid biosynthesis and its response to abiotic stress in narrow-leafed lupin (Lupinus angustifolius L.). Plant Cell Environ. 2018, 41, 2155–2168. [Google Scholar] [CrossRef]
- Agarwal, P.; Pathak, S.; Lakhwani, D.; Gupta, P.; Asif, M.H.; Trivedi, P.K. Comparative analysis of transcription factor gene families from Papaver somniferum: Identification of regulatory factors involved in benzylisoquinoline alkaloid biosynthesis. Protoplasma 2016, 253, 857–871. [Google Scholar] [CrossRef]
- Ali, M.; Hussain, R.M.; Rehman, N.U.; She, G.; Li, P.; Wan, X.; Guo, L.; Zhao, J. De novo transcriptome sequencing and metabolite profiling analyses reveal the complex metabolic genes involved in the terpenoid biosynthesis in Blue Anise Sage (Salvia guaranitica L.). DNA Res. 2018, 25, 597–617. [Google Scholar] [CrossRef]
- Liu, Y.; Wang, B.; Shu, S.; Li, Z.; Song, C.; Liu, D.; Niu, Y.; Liu, J.; Zhang, J.; Liu, H.; et al. Analysis of the Coptis chinensis genome reveals the diversification of protoberberine-type alkaloids. Nat. Commun. 2021, 12, 3276. [Google Scholar] [CrossRef]
- Wang, Y.; Qu, X.; Zhong, G.; Li, L.; Luo, W.; Zhang, Y.; Yin, F. Dynamic accumulation of effective components and biomass of Coptis chinensis in Hongya county. Zhongguo Zhong Yao Za Zhi = Zhongguo Zhongyao Zazhi = China J. Chin. Mater. Medica 2011, 36, 2162–2165. [Google Scholar]
- Wang, L.-Q.; Li, Y.-M.; Zhang, L.-P.; Xiao, H.-X.; Zhou, Q.; Sun, S.-Q. Analysis and characterization of fingerprint infrared spectra for ecology-planted Coptis chinensis. Spectrosc. Spectr. Anal. 2006, 26, 1061–1066. [Google Scholar]
- Zhong, F.; Huang, L.; Qi, L.; Ma, Y.; Yan, Z. Full-length transcriptome analysis of Coptis deltoidea and identification of putative genes involved in benzylisoquinoline alkaloids biosynthesis based on combined sequencing platforms. Plant Mol. Biol. 2020, 102, 477–499. [Google Scholar] [CrossRef]
- Roddan, R.; Ward, J.M.; Keep, N.H.; Hailes, H.C. Pictet-Spenglerases in alkaloid biosynthesis: Future applications in biocatalysis. Curr. Opin. Chem. Biol. 2020, 55, 69–76. [Google Scholar] [CrossRef] [PubMed]
- Liu, X.M.; Tan, J.P.; Cheng, S.Y.; Chen, Z.X.; Ye, J.B.; Zheng, J.R.; Xu, F.; Zhang, W.W.; Liao, Y.L.; Yang, X.Y. Comparative transcriptome analysis provides novel insights into the molecular mechanism of berberine biosynthesis in Coptis chinensis. Sci. Hortic. 2022, 291, 110585. [Google Scholar] [CrossRef]
- Chen, H.; Deng, C.; Nie, H.; Fan, G.; He, Y. Transcriptome analyses provide insights into the difference of alkaloids biosynthesis in the Chinese goldthread (Coptis chinensis Franch.) from different biotopes. Peerj 2017, 5, e3303. [Google Scholar] [CrossRef]
- Song, X.; Mei, P.; Dou, T.; Liu, Q.; Li, L. Multi-Omics Analysis Reveals the Resistance Mechanism and the Pathogens Causing Root Rot of Coptis chinensis. Microbiol. Spectr. 2023, 11, e0480322. [Google Scholar] [CrossRef] [PubMed]
- Fraga, C.G.; Clowers, B.H.; Moore, R.J.; Zink, E.M. Signature-Discovery Approach for Sample Matching of a Nerve-Agent Precursor Using Liquid Chromatography-Mass Spectrometry, XCMS, and Chemometrics. Anal. Chem. 2010, 82, 4165–4173. [Google Scholar] [CrossRef] [PubMed]
- Matsumura, E.; Nakagawa, A.; Tomabechi, Y.; Koyanagi, T.; Kumagai, H.; Yamamoto, K.; Katayama, T.; Sato, F.; Minami, H. Laboratory-scale production of (S)-reticuline, an important intermediate of benzylisoquinoline alkaloids, using a bacterial-based method. Biosci. Biotechnol. Biochem. 2017, 81, 396–402. [Google Scholar] [CrossRef] [PubMed]
- Yan, Y.; Li, X.; Zhang, C.; Lv, L.; Gao, B.; Li, M. Research Progress on Antibacterial Activities and Mechanisms of Natural Alkaloids: A Review. Antibiotics 2021, 10, 318. [Google Scholar] [CrossRef]
- Lin, B.; Xu, P.; Zheng, J.; Deng, X.; Ye, Q.; Huang, Z.; Wang, N. Effects and mechanisms of natural alkaloids for prevention and treatment of osteoporosis. Front. Pharmacol. 2022, 13, 4165–4173. [Google Scholar] [CrossRef]
- Ridsdill-Smith, J.; Edwards, O.; Ghisalberti, E.; Shaofang, W. Aphid response to plant defensive compounds in lupins. In 6th International Symposium on Aphids; INRA Paris: Rennes, France, 2001. [Google Scholar]
- Adhikari, K.N.; Edwards, O.R.; Wang, S.; Ridsdill-Smith, T.J.; Buirchell, B. The role of alkaloids in conferring aphid resistance in yellow lupin (Lupinus luteus L.). Crop Pasture Sci. 2012, 63, 444–451. [Google Scholar] [CrossRef]
- Sato, F.; Inui, T.; Takemura, T. Metabolic engineering in isoquinoline alkaloid biosynthesis. Curr. Pharm. Biotechnol. 2007, 8, 211–218. [Google Scholar] [CrossRef] [PubMed]
- Allen, R.S.; Millgate, A.G.; Chitty, A.J.; Thisleton, J.; Miller, J.A.C.; Fist, A.J.; Gerlach, W.L.; Larkin, P.J. RNAi-mediated replacement of morphine with the nonnarcotic alkaloid reticuline in opium poppy. Nat. Biotechnol. 2004, 22, 1559–1566. [Google Scholar] [CrossRef] [PubMed]
- Fujii, N.; Inui, T.; Iwasa, K.; Morishige, T.; Sato, F. Knockdown of berberine bridge enzyme by RNAi accumulates (S)-reticuline and activates a silent pathway in cultured California poppy cells. Transgenic Res. 2007, 16, 363–375. [Google Scholar] [CrossRef] [PubMed]
- Barakat, A.; Choi, A.; Yassin, N.B.M.; Park, J.S.; Sun, Z.; Carlson, J.E. Comparative genomics and evolutionary analyses of the O-methyltransferase gene family in Populus. Gene 2011, 479, 37–46. [Google Scholar] [CrossRef] [PubMed]
- Sato, F.; Tsujita, T.; Katagiri, Y.; Yoshida, S.; Yamada, Y. Purification and characterization of S-adenosyl-L-methionine: Norcoclaurine 6-O-methyltransferase from cultured Coptis japonica cells. Eur. J. Biochem. 1994, 225, 125–131. [Google Scholar] [CrossRef]
- Inui, T.; Tamura, K.-I.; Fujii, N.; Morishige, T.; Sato, F. Overexpression of Coptis japonica norcoclaurine 6-O-methyltransferase overcomes the rate-limiting step in benzylisoquinoline alkaloid biosynthesis in cultured Eschscholzia californica. Plant Cell Physiol. 2007, 48, 252–262. [Google Scholar] [CrossRef]
- Morishige, T.; Tsujita, T.; Yamada, Y.; Sato, F. Molecular characterization of the S-adenosyl-L-methionine:3′-hydroxy-N-methylcoclaurine 4′-O-methyltransferase involved in isoquinoline alkaloid biosynthesis in Coptis japonica. J. Biol. Chem. 2000, 275, 23398–23405. [Google Scholar] [CrossRef]
- Morishige, T.; Dubouzet, E.; Choi, K.-B.; Yazaki, K.; Sato, F. Molecular cloning of columbamine O-methyltransferase from cultured Coptis japonica cells. Eur. J. Biochem. 2002, 269, 5659–5667. [Google Scholar] [CrossRef]
- Desgagné-Penix, I.; Facchini, P.J. Systematic silencing of benzylisoquinoline alkaloid biosynthetic genes reveals the major route to papaverine in opium poppy. Plant J. 2012, 72, 331–344. [Google Scholar] [CrossRef]
- Arens, H.; Fischer, H.; Leyck, S.; Römer, A.; Ulbrich, B. Antiinflammatory compounds from Plagiorhegma dubium cell culture. Planta Medica 1985, 51, 52–56. [Google Scholar] [CrossRef] [PubMed]
- Moody, J.O.; Bloomfield, S.F.; Hylands, P.J. In-vitro evaluation of the antimicrobial activities of Enantia chlorantha Oliv. extractives. Afr. J. Med. Med. Sci. 1995, 24, 269–273. [Google Scholar] [PubMed]
- Beecher, C.W.W. The Biosynthesis of the Protoberberine and Related Alkaloids. Ph.D. Thesis, The University of Connecticut, Storrs, CT, USA, 1986. [Google Scholar]
- He, S.-M.; Liang, Y.-L.; Cong, K.; Chen, G.; Zhao, X.; Zhao, Q.-M.; Zhang, J.-J.; Wang, X.; Dong, Y.; Yang, J.-L.; et al. Identification and Characterization of Genes Involved in Benzylisoquinoline Alkaloid Biosynthesis in Coptis Species. Front. Plant Sci. 2018, 9, 731. [Google Scholar] [CrossRef] [PubMed]
- Nsele, N.N.; Padayachee, T.; Nelson, D.R.; Syed, K. Pezizomycetes Genomes Reveal Diverse P450 Complements Characteristic of Saprotrophic and Ectomycorrhizal Lifestyles. J. Fungi 2023, 9, 830. [Google Scholar] [CrossRef] [PubMed]
- Ikezawa, N.; Iwasa, K.; Sato, F. Molecular cloning and characterization of CYP80G2, a cytochrome p450 that catalyzes an intramolecular C-C phenol coupling of (S)-reticuline in magnoflorine biosynthesis, from cultured Coptis japonica cells. J. Biol. Chem. 2008, 283, 8810–8821. [Google Scholar] [CrossRef] [PubMed]
- Yamada, Y.; Nishida, S.; Shitan, N.; Sato, F. Genome-Wide Profiling of WRKY Genes Involved in Benzylisoquinoline Alkaloid Biosynthesis in California Poppy (Eschscholzia californica). Front. Plant Sci. 2021, 12, 699326. [Google Scholar] [CrossRef]
- Yamada, Y.; Yoshimoto, T.; Yoshida, S.T.; Sato, F. Characterization of the Promoter Region of Biosynthetic Enzyme Genes Involved in Berberine Biosynthesis in Coptis japonica. Front. Plant Sci. 2016, 7, 1352. [Google Scholar] [CrossRef]
- Ledent, V.; Vervoort, M. The basic helix-loop-helix protein family: Comparative genomics and phylogenetic analysis. Genome Res. 2001, 11, 754–770. [Google Scholar] [CrossRef]
- Liscombe, D.K.; Facchini, P.J. Evolutionary and cellular webs in benzylisoquinoline alkaloid biosynthesis. Curr. Opin. Biotechnol. 2008, 19, 173–180. [Google Scholar] [CrossRef]
- Chatel, G.; Montiel, G.; Pré, M.; Memelink, J.; Thiersault, M.; Saint-Pierre, B.; Doireau, P.; Gantet, P. CrMYC1, a Catharanthus roseus elicitor- and jasmonate-responsive bHLH transcription factor that binds the G-box element of the strictosidine synthase gene promoter. J. Exp. Bot. 2003, 54, 2587–2588. [Google Scholar] [CrossRef] [PubMed][Green Version]
- Yamada, Y.; Koyama, T.; Sato, F. Basic helix-loop-helix transcription factors and regulation of alkaloid biosynthesis. Plant Signal. Behav. 2011, 6, 1627–1630. [Google Scholar] [CrossRef] [PubMed]
- Song, H.; Sun, W.; Yang, G.; Sun, J. WRKY transcription factors in legumes. BMC Plant Biol. 2018, 18, 243. [Google Scholar] [CrossRef] [PubMed]
- Apuya, N.R.; Park, J.-H.; Zhang, L.; Ahyow, M.; Davidow, P.; Van Fleet, J.; Rarang, J.C.; Hippley, M.; Johnson, T.W.; Yoo, H.-D.; et al. Enhancement of alkaloid production in opium and California poppy by transactivation using heterologous regulatory factors. Plant Biotechnol. J. 2008, 6, 160–175. [Google Scholar] [CrossRef]







| Gene Name | Gene Number | DEG Number |
|---|---|---|
| Tyrosine decarboxylase (TYDC) | 12 | 1 |
| L-Tyrosine aminotransferase (TAT) | 58 | 0 |
| Polyphenol oxidase (PPO) | 8 | 2 |
| (S)-Norcoclaurine synthase (NCS) | 48 | 5 |
| (S)-Norcoclaurine 6-O-methyltransferase (6OMT) | 51 | 3 |
| (S)-Norcoclaurine 7-O-methyltransferase (7OMT) | 1 | |
| 3′-Hydroxy-N-methyl-(S)-coclaurine 4′-O-methyltransferase (4′OMT) | 1 | |
| Columbamine O-methyltransferase (CoOMT) | 4 | |
| (S)-Scoulerine 9-O-methyltransferase (SOMT) | 1 | |
| (S)-Coclaurine N-methyltransferase (CNMT) | 24 | 4 |
| Berberine bridge enzyme (BBE) | 11 | 3 |
| (S)-Tetrahydroprotoberberine oxidase (STOX) | 20 | 3 |
| Codeine-O-demethylase (CODM) | 102 | 7 |
| (S)-Cheilanthifoline synthase (CFS) | 434 | 0 |
| (S)-Stylopine synthase (SPS) | 0 | |
| (S)-N-Methylcoclaurine-3′hydroxylase (NMCH) | 1 | |
| (S)-Canadine synthase (CAS) | 1 | |
| (S)-Corytuberine synthase (CTS) | 1 | |
| Total | 768 | 36 |
Disclaimer/Publisher’s Note: The statements, opinions and data contained in all publications are solely those of the individual author(s) and contributor(s) and not of MDPI and/or the editor(s). MDPI and/or the editor(s) disclaim responsibility for any injury to people or property resulting from any ideas, methods, instructions or products referred to in the content. |
© 2023 by the authors. Licensee MDPI, Basel, Switzerland. This article is an open access article distributed under the terms and conditions of the Creative Commons Attribution (CC BY) license (https://creativecommons.org/licenses/by/4.0/).
Share and Cite
Min, X.; Zhu, T.; Hu, X.; Hou, C.; He, J.; Liu, X. Transcriptome and Metabolome Analysis of Isoquinoline Alkaloid Biosynthesis of Coptis chinensis in Different Years. Genes 2023, 14, 2232. https://doi.org/10.3390/genes14122232
Min X, Zhu T, Hu X, Hou C, He J, Liu X. Transcriptome and Metabolome Analysis of Isoquinoline Alkaloid Biosynthesis of Coptis chinensis in Different Years. Genes. 2023; 14(12):2232. https://doi.org/10.3390/genes14122232
Chicago/Turabian StyleMin, Xinyi, Ting Zhu, Xinyi Hu, Cong Hou, Jianing He, and Xia Liu. 2023. "Transcriptome and Metabolome Analysis of Isoquinoline Alkaloid Biosynthesis of Coptis chinensis in Different Years" Genes 14, no. 12: 2232. https://doi.org/10.3390/genes14122232
APA StyleMin, X., Zhu, T., Hu, X., Hou, C., He, J., & Liu, X. (2023). Transcriptome and Metabolome Analysis of Isoquinoline Alkaloid Biosynthesis of Coptis chinensis in Different Years. Genes, 14(12), 2232. https://doi.org/10.3390/genes14122232
