Quasi-Global (50° S–50° N) of Soil Moisture and Precipitation Extremes
Abstract
1. Introduction
2. Materials and Methods
2.1. Data and Method
2.1.1. CHIRPS Precipitation
2.1.2. ESA Soil Moisture
2.1.3. GLEAM Evapotranspiration
2.1.4. Standardized Precipitation Evapotranspiration Index Drought Index
2.1.5. Delineation of Study Regions
2.1.6. Consideration of Data Coverage and Limitations
2.2. Synchronization Analysis of Extreme Event
2.3. Statistical Significance Assessment
2.4. Extraction of Extreme Event Series
2.5. Linking Water Cycle Using SEM
3. Results
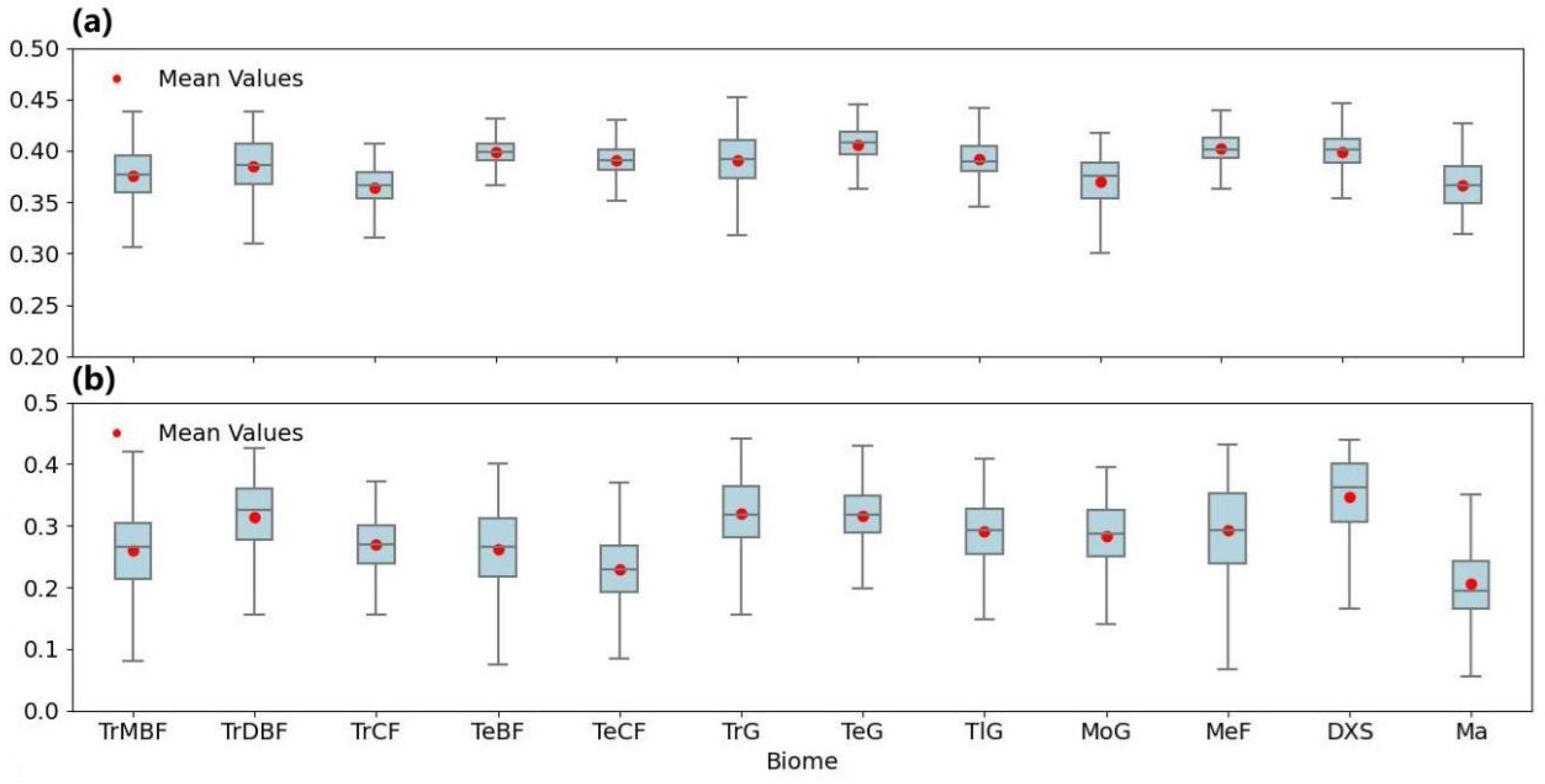
3.1. Spatiotemporal Changes in SM and P Extremes
3.2. Temporal Synchrony Probability Between SM-P Extremes
3.3. Relationship Between P, SM and ET
3.4. Simulated Temporal Synchrony of P and SM Extremes
4. Discussion
4.1. The Applicability of ECA for Quantifying Synchrony
4.2. Understanding the Synchrony of SM-P Extremes
5. Conclusions
Author Contributions
Funding
Data Availability Statement
Acknowledgments
Conflicts of Interest
Appendix A






| Precipitation | Moisture in Upper Portion of Soil Column |
|---|---|
| ACCESS-CM2 | BCC-CSM2-MR |
| ACCESS-ESM1-5 | BCC-ESM1 |
| BCC-ESM1 | CanESM5 |
| CanESM5 | CAS-ESM2-0 |
| CESM2 | GISS-E2-2-G |
| CESM2-FV2 | IPSL-CM5A2-INCA |
| CESM2-WACCM | IPSL-CM6A-LR |
| CESM2-WACCM-FV2 | IPSL-CM6A-LR-INCA |
| E3SM-1-0 | KACE-1-0-G |
| E3SM-2-0 | MIROC6 |
| E3SM-2-0-NARRM | MRI-ESM2-0 |
| FGOALS-f3-L | |
| FGOALS-g3 | |
| GISS-E2-2-G | |
| IPSL-CM5A2-INCA | |
| IPSL-CM6A-LR | |
| IPSL-CM6A-LR-INCA | |
| KACE-1-0-G | |
| MIROC6 | |
| MRI-ESM2-0 | |
| NESM3 |
| Region | Independent Variable | Implicit Variable | Estimate | Std. Err | z-Value | p-Value |
|---|---|---|---|---|---|---|
| Wet Zone | P | SM | 0.0013 | 56.4273 | 0.0664 | 0.0947 |
| SM | ET | 2.0000 | 413.7576 | 14.3649 | 0.0000 | |
| ET | SM | −0.0001 | 4.1401 | −0.0662 | 0.0947 | |
| Dry Zone | ET | P | −0.0010 | 1.2298 | −2.5194 | 0.0118 |
| P | SM | 1.6724 | 1.6308 | 3.7468 | 1.791150 × 10−4 | |
| SM | ET | 1.5415 | 2.2492 | 2.5041 | 1.227800 × 10−2 | |
| ET | SM | −0.2266 | 0.0532 | −15.5733 | 0.000000 × 10 | |
| ET | P | −0.0034 | 0.0101 | −1.2461 | 2.127309 × 10−2 | |
| P | SM | 0.1206 | 9.1475 | 1.2634 | 2.064368 × 10−4 | |
| All Region | SM | ET | 2.0267 | 36.8618 | 5.2675 | 1.383159 × 10−7 |
| ET | SM | −0.0291 | 0.1925 | −14.4775 | 0.000000 × 10 | |
| ET | P | 0.0013 | 0.0259 | 4.9267 | 8.362909 × 10−7 |
References
- Donat, M.G.; Lowry, A.L.; Alexander, L.V.; O’Gorman, P.A.; Maher, N. More Extreme Precipitation in the World’s Dry and Wet Regions. Nat. Clim. Change 2016, 6, 508–513. [Google Scholar] [CrossRef]
- Fu, J.; Jian, Y.; Wang, X.; Li, L.; Ciais, P.; Zscheischler, J.; Wang, Y.; Tang, Y.; Müller, C.; Webber, H.; et al. Extreme Rainfall Reduces One-Twelfth of China’s Rice Yield over the Last Two Decades. Nat. Food 2023, 4, 416–426. [Google Scholar] [CrossRef]
- Haslinger, K.; Breinl, K.; Pavlin, L.; Pistotnik, G.; Bertola, M.; Olefs, M.; Greilinger, M.; Schöner, W.; Blöschl, G. Increasing Hourly Heavy Rainfall in Austria Reflected in Flood Changes. Nature 2025, 639, 667–672. [Google Scholar] [CrossRef]
- Seneviratne, S.I.; Corti, T.; Davin, E.L.; Hirschi, M.; Jaeger, E.B.; Lehner, I.; Orlowsky, B.; Teuling, A.J. Investigating Soil Moisture–Climate Interactions in a Changing Climate: A Review. Earth-Sci. Rev. 2010, 99, 125–161. [Google Scholar] [CrossRef]
- Zhang, W.; Wei, F.; Horion, S.; Fensholt, R.; Forkel, M.; Brandt, M. Global Quantification of the Bidirectional Dependency between Soil Moisture and Vegetation Productivity. Agric. For. Meteorol. 2022, 313, 108735. [Google Scholar] [CrossRef]
- Abel, B.D.; Rajagopalan, B.; Ray, A.J. Understanding the Dominant Moisture Sources and Pathways of Summer Precipitation in the Southeast Prairie Pothole Region. Earth Space Sci. 2022, 9, e2021EA001855. [Google Scholar] [CrossRef]
- Wei, F.; Wang, S.; Fu, B.; Li, Y.; Huang, Y.; Zhang, W.; Fensholt, R. Quantifying the Precipitation Supply of China’s Drylands through Moisture Recycling. Agric. For. Meteorol. 2024, 352, 110034. [Google Scholar] [CrossRef]
- Wei, J.; Dirmeyer, P.A. Dissecting Soil Moisture-precipitation Coupling. Geophys. Res. Lett. 2012, 39, 2012GL053038. [Google Scholar] [CrossRef]
- Feng, H.; Liu, Y. Combined Effects of Precipitation and Air Temperature on Soil Moisture in Different Land Covers in a Humid Basin. J. Hydrol. 2015, 531, 1129–1140. [Google Scholar] [CrossRef]
- Sehler, R.; Li, J.; Reager, J.; Ye, H. Investigating Relationship Between Soil Moisture and Precipitation Globally Using Remote Sensing Observations. Contemp. Water Res. 2019, 168, 106–118. [Google Scholar] [CrossRef]
- Sun, S.; Wang, G. The Complexity of Using a Feedback Parameter to Quantify the Soil Moisture-precipitation Relationship. J. Geophys. Res. 2012, 117, 11113. [Google Scholar] [CrossRef]
- Wang, Y.; Yang, J.; Chen, Y.; De Maeyer, P.; Li, Z.; Duan, W. Detecting the Causal Effect of Soil Moisture on Precipitation Using Convergent Cross Mapping. Sci. Rep. 2018, 8, 12171. [Google Scholar] [CrossRef]
- Cook, B.I.; Bonan, G.B.; Levis, S. Soil Moisture Feedbacks to Precipitation in Southern Africa. J. Clim. 2006, 19, 4198–4206. [Google Scholar] [CrossRef]
- Li, L.; Shangguan, W.; Deng, Y.; Mao, J.; Pan, J.; Wei, N.; Yuan, H.; Zhang, S.; Zhang, Y.; Dai, Y. A Causal Inference Model Based on Random Forests to Identify the Effect of Soil Moisture on Precipitation. J. Hydrometeorol. 2020, 21, 1115–1131. [Google Scholar] [CrossRef]
- Orth, R.; Seneviratne, S.I. Analysis of Soil Moisture Memory from Observations in Europe. J. Geophys. Res. 2012, 117, 2011JD017366. [Google Scholar] [CrossRef]
- Wei, J.; Dickinson, R.E.; Chen, H. A Negative Soil Moisture–Precipitation Relationship and Its Causes. J. Hydrometeorol. 2008, 9, 1364–1376. [Google Scholar] [CrossRef]
- Zhan, W.; Pan, M.; Wanders, N.; Wood, E.F. Correction of Real-Time Satellite Precipitation with Satellite Soil Moisture Observations. Hydrol. Earth Syst. Sci. 2015, 19, 4275–4291. [Google Scholar] [CrossRef]
- Manoj, J.A.; Pérez Ciria, T.; Chiogna, G.; Salzmann, N.; Agarwal, A. Characterising the Coincidence of Soil Moisture—Precipitation Extremes as a Possible Precursor to European Floods. J. Hydrol. 2023, 620, 129445. [Google Scholar] [CrossRef]
- Manoj, J.A.; Guntu, R.K.; Agarwal, A. Spatiotemporal Dependence of Soil Moisture and Precipitation over India. J. Hydrol. 2022, 610, 127898. [Google Scholar] [CrossRef]
- Sun, A.Y.; Xia, Y.; Caldwell, T.G.; Hao, Z. Patterns of Precipitation and Soil Moisture Extremes in Texas, US: A Complex Network Analysis. Adv. Water Resour. 2018, 112, 203–213. [Google Scholar] [CrossRef]
- Wu, D.; Di, C.; Wang, T.; Wang, L.; Chen, X. Characterization of the Coherence Between Soil Moisture and Precipitation at Regional Scales. JGR Atmos. 2021, 126, e2020JD034340. [Google Scholar] [CrossRef]
- Yang, K.; Wang, C.; Bao, H. Contribution of Soil Moisture Variability to Summer Precipitation in the Northern Hemisphere. JGR Atmos. 2016, 121, 12108–12124. [Google Scholar] [CrossRef]
- Tuttle, S.; Salvucci, G. Empirical Evidence of Contrasting Soil Moisture–Precipitation Feedbacks across the United States. Science 2016, 352, 825–828. [Google Scholar] [CrossRef] [PubMed]
- Newman, M.E.J. The Structure and Function of Complex Networks. SIAM Rev. 2003, 45, 167–256. [Google Scholar] [CrossRef]
- Steinhaeuser, K.; Chawla, N.V.; Ganguly, A.R. Complex Networks as a Unified Framework for Descriptive Analysis and Predictive Modeling in Climate Science. Stat. Anal. 2011, 4, 497–511. [Google Scholar] [CrossRef]
- Steinhaeuser, K.; Ganguly, A.R.; Chawla, N.V. Multivariate and Multiscale Dependence in the Global Climate System Revealed through Complex Networks. Clim. Dyn. 2012, 39, 889–895. [Google Scholar] [CrossRef]
- Quiroga, R.Q.; Kreuz, T.; Grassberger, P. Event Synchronization: A Simple and Fast Method to Measure Synchronicity and Time Delay Patterns. Pyhs. Rev. E 2002, 66, 041904. [Google Scholar] [CrossRef]
- Boers, N.; Bookhagen, B.; Marwan, N.; Kurths, J.; Marengo, J. Complex Networks Identify Spatial Patterns of Extreme Rainfall Events of the South American Monsoon System. Geophys. Res. Lett. 2013, 40, 4386–4392. [Google Scholar] [CrossRef]
- Malik, N.; Bookhagen, B.; Marwan, N.; Kurths, J. Analysis of Spatial and Temporal Extreme Monsoonal Rainfall over South Asia Using Complex Networks. Clim. Dyn. 2012, 39, 971–987. [Google Scholar] [CrossRef]
- Konapala, G.; Mishra, A. Review of Complex Networks Application in Hydroclimatic Extremes with an Implementation to Characterize Spatio-Temporal Drought Propagation in Continental USA. J. Hydrol. 2017, 555, 600–620. [Google Scholar] [CrossRef]
- Donges, J.F.; Schleussner, C.-F.; Siegmund, J.F.; Donner, R.V. Event Coincidence Analysis for Quantifying Statistical Interrelationships between Event Time Series: On the Role of Flood Events as Triggers of Epidemic Outbreaks. Eur. Phys. J. Spec. Top. 2016, 225, 471–487. [Google Scholar] [CrossRef]
- Funk, C.; Peterson, P.; Landsfeld, M.; Pedreros, D.; Verdin, J.; Shukla, S.; Husak, G.; Rowland, J.; Harrison, L.; Hoell, A.; et al. The Climate Hazards Infrared Precipitation with Stations—A New Environmental Record for Monitoring Extremes. Sci. Data 2015, 2, 150066. [Google Scholar] [CrossRef] [PubMed]
- Dorigo, W.; Wagner, W.; Albergel, C.; Albrecht, F.; Balsamo, G.; Brocca, L.; Chung, D.; Ertl, M.; Forkel, M.; Gruber, A.; et al. ESA CCI Soil Moisture for Improved Earth System Understanding: State-of-the Art and Future Directions. Remote Sens. Environ. 2017, 203, 185–215. [Google Scholar] [CrossRef]
- Odenweller, A.; Donner, R.V. Disentangling Synchrony from Serial Dependency in Paired-Event Time Series. Phys. Rev. E 2020, 101, 052213. [Google Scholar] [CrossRef]
- Pendergrass, A.G. What Precipitation Is Extreme? Science 2018, 360, 1072–1073. [Google Scholar] [CrossRef]
- Schär, C.; Lüthi, D.; Beyerle, U.; Heise, E. The Soil–Precipitation Feedback: A Process Study with a Regional Climate Model. J. Clim. 1999, 12, 722–741. [Google Scholar] [CrossRef]
- Sun, J.; Yang, K.; He, X.; Wang, G.; Wang, Y.; Yu, Y.; Lu, H. Causal Pathways Underlying Global Soil Moisture–Precipitation Coupling. Nat. Commun. 2025, 16, 8935. [Google Scholar] [CrossRef] [PubMed]
- Green, J.K.; Konings, A.G.; Alemohammad, S.H.; Berry, J.; Entekhabi, D.; Kolassa, J.; Lee, J.-E.; Gentine, P. Regionally Strong Feedbacks between the Atmosphere and Terrestrial Biosphere. Nat. Geosci. 2017, 10, 410–414. [Google Scholar] [CrossRef]
- McColl, K.A.; Alemohammad, S.H.; Akbar, R.; Konings, A.G.; Yueh, S.; Entekhabi, D. The Global Distribution and Dynamics of Surface Soil Moisture. Nat. Geosci. 2017, 10, 100–104. [Google Scholar] [CrossRef]








Disclaimer/Publisher’s Note: The statements, opinions and data contained in all publications are solely those of the individual author(s) and contributor(s) and not of MDPI and/or the editor(s). MDPI and/or the editor(s) disclaim responsibility for any injury to people or property resulting from any ideas, methods, instructions or products referred to in the content. |
© 2026 by the authors. Licensee MDPI, Basel, Switzerland. This article is an open access article distributed under the terms and conditions of the Creative Commons Attribution (CC BY) license.
Share and Cite
Shi, A.; Liu, J.; Jin, T.; Li, Z.; Yang, W.; Wang, W.; Zhang, W. Quasi-Global (50° S–50° N) of Soil Moisture and Precipitation Extremes. Hydrology 2026, 13, 67. https://doi.org/10.3390/hydrology13020067
Shi A, Liu J, Jin T, Li Z, Yang W, Wang W, Zhang W. Quasi-Global (50° S–50° N) of Soil Moisture and Precipitation Extremes. Hydrology. 2026; 13(2):67. https://doi.org/10.3390/hydrology13020067
Chicago/Turabian StyleShi, Aoqi, Jun Liu, Taoyu Jin, Zhuhe Li, Wenfu Yang, Wenwen Wang, and Wenmin Zhang. 2026. "Quasi-Global (50° S–50° N) of Soil Moisture and Precipitation Extremes" Hydrology 13, no. 2: 67. https://doi.org/10.3390/hydrology13020067
APA StyleShi, A., Liu, J., Jin, T., Li, Z., Yang, W., Wang, W., & Zhang, W. (2026). Quasi-Global (50° S–50° N) of Soil Moisture and Precipitation Extremes. Hydrology, 13(2), 67. https://doi.org/10.3390/hydrology13020067
