Sign in to use this feature.

Years

Between: -

Subjects

remove_circle_outline
remove_circle_outline
remove_circle_outline
remove_circle_outline
remove_circle_outline
remove_circle_outline
remove_circle_outline

Journals

Article Types

Countries / Regions

Search Results (42)

Search Parameters:
Keywords = Byzantine-robust

Order results
Result details
Results per page
Select all
Export citation of selected articles as:
60 pages, 1591 KB  
Article
IoT Authentication in Federated Learning: Methods, Challenges, and Future Directions
by Arwa Badhib, Suhair Alshehri and Asma Cherif
Sensors 2025, 25(24), 7619; https://doi.org/10.3390/s25247619 - 16 Dec 2025
Abstract
The Internet of Things (IoT) has established an exceptional ecosystem of interconnected devices where a vast multitude of heterogeneous devices can communicate, collect, and share data for enhanced decision-making processes. To effectively analyze this immense volume of data, researchers have deployed advanced machine [...] Read more.
The Internet of Things (IoT) has established an exceptional ecosystem of interconnected devices where a vast multitude of heterogeneous devices can communicate, collect, and share data for enhanced decision-making processes. To effectively analyze this immense volume of data, researchers have deployed advanced machine learning algorithms and deep neural networks. However, these approaches typically rely on centralized data storage for training, which raises significant privacy concerns. Federated Learning (FL) addresses this issue by allowing devices to train local models on their own data and share only model updates. Despite this advantage, FL remains vulnerable to several security threats, including model poisoning, data manipulation, and Byzantine attacks. Therefore, robust and scalable authentication mechanisms are essential to ensure secure participation in FL environments. This study provides a comprehensive survey of authentication in FL. We examine the authentication process, discuss the associated key challenges, and analyze architectural considerations relevant to securing FL deployments. Existing authentication schemes are reviewed and evaluated in terms of their effectiveness, limitations, and practicality. To provide deeper insight, we classify these schemes along two dimensions as follows: their underlying enabling technologies, such as blockchain, cryptography, and AI-based methods, and the system contexts in which FL operates. Furthermore, we analyze the datasets and experimental environments used in current research, identify open research challenges, and highlight future research directions. To the best of our knowledge, this study presents the first structured and comprehensive analysis of authentication mechanisms in FL, offering a foundational reference for advancing secure and trustworthy federated learning systems. Full article
(This article belongs to the Section Internet of Things)
Show Figures

Figure 1

19 pages, 8575 KB  
Article
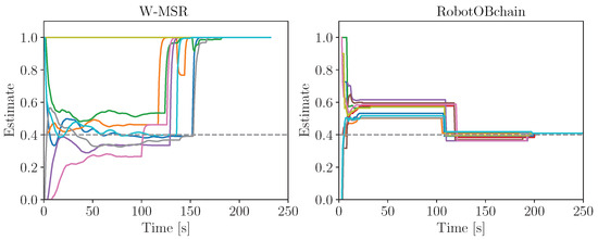
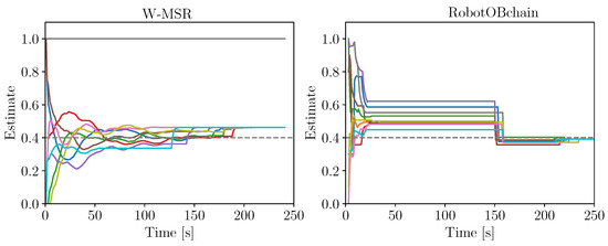
RobotOBchain: Neighbor Observation for Byzantine Detection in Multi-Robot Systems
by Jie Luo, Yumeng Guo, Tiancheng Cao and Wuyang Zhu
Electronics 2025, 14(24), 4815; https://doi.org/10.3390/electronics14244815 - 7 Dec 2025
Viewed by 135
Abstract
Multi-robot systems are increasingly deployed in critical applications such as search and rescue, precision agriculture, and autonomous transportation. However, the presence of Byzantine robots—agents that intentionally transmit false or misleading information—can severely compromise mission success and system safety, highlighting the urgent need for [...] Read more.
Multi-robot systems are increasingly deployed in critical applications such as search and rescue, precision agriculture, and autonomous transportation. However, the presence of Byzantine robots—agents that intentionally transmit false or misleading information—can severely compromise mission success and system safety, highlighting the urgent need for robust fault-tolerant coordination mechanisms. To address the challenge of Byzantine faults in multi-robot systems, we propose a novel approach utilizing a blockchain-based framework, termed RobotOBchain (Robot Observation Blockchain). RobotOBchain permanently records each robot’s own state information and its observed neighboring robots’ states at every time step. By leveraging smart contracts encoded within the blockchain, our method automatically detects state inconsistencies or conflicts among recorded observations, enabling early identification of intentionally deceptive Byzantine robots. Experimental validation demonstrates that RobotOBchain achieves 100% consistent Byzantine identification across all robots, maintains estimation errors within 3% of ground-truth, and exhibits robust tolerance to up to 50% malicious agents. These results significantly surpass the performance of classical W-MSR algorithms, while eliminating the dependency on predefined fault bounds. The framework’s demonstrated capabilities indicate strong potential for practical deployment in dynamic and safety-critical multi-robot applications. Full article
(This article belongs to the Special Issue Coordination and Communication of Multi-Robot Systems)
Show Figures

Figure 1

28 pages, 16687 KB  
Article
A Symmetrically Verifiable Outsourced Decryption Data Sharing Scheme with Privacy-Preserving for VANETs
by Han Luo, Menglong Qi, Chengzhi Yu, Qianxi Liu and Jintian Lu
Symmetry 2025, 17(12), 2032; https://doi.org/10.3390/sym17122032 - 27 Nov 2025
Viewed by 259
Abstract
Frequent data sharing in Vehicular Ad Hoc Networks (VANETs) necessitates a robust foundation of secure access control to ensure data security. Existing ciphertext-policy attribute-based encryption schemes are constrained by the performance bottleneck of a single attribute authority. Furthermore, although many schemes adopt outsourced [...] Read more.
Frequent data sharing in Vehicular Ad Hoc Networks (VANETs) necessitates a robust foundation of secure access control to ensure data security. Existing ciphertext-policy attribute-based encryption schemes are constrained by the performance bottleneck of a single attribute authority. Furthermore, although many schemes adopt outsourced decryption, the verifiability of the decryption results is not guaranteed. Therefore, this paper proposes a Symmetrically Verifiable Outsourced Decryption Data Sharing Scheme with Privacy-Preserving for VANETs (VODDS). To balance the computational overhead across multiple authorities, VODDS introduces a distributed key distribution mechanism that organizes them into groups. Within each group, the key distribution credential is generated through a Group Key Agreement, with each round secured by a Byzantine consensus mechanism to achieve a balance between security and efficiency. User identities are converted into anonymous representations via hashing for embedding into the attribute keys. Furthermore, blockchain technology is used to record a hash commitment for the verification ciphertext. This enables the user to verify the outsourced result through a smart contract, which performs a symmetrical verification by matching the user’s locally computed hash against the on-chain record. Moreover, VODDS employs a linear secret sharing scheme to achieve policy hiding. We provide security analysis under the q-parallel Bilinear Diffie–Hellman Exponent and Decisional Diffie–Hellman assumptions, which proves the security of VODDS. In addition, VODDS exhibits higher efficiency compared to related schemes in the performance evaluation. Full article
(This article belongs to the Section Computer)
Show Figures

Figure 1

19 pages, 1666 KB  
Article
Improved Trust Evaluation Model Based on PBFT and Zero Trust Integrated Power Network Security Defense Method
by Xiaoyun Liao, Sen Yang, Jun Xu, Li Liu, Wei Liang, Shengjie Yu, Yimu Ji and Shangdong Liu
Symmetry 2025, 17(11), 1982; https://doi.org/10.3390/sym17111982 - 16 Nov 2025
Viewed by 315
Abstract
In traditional power networks, security protection models primarily rely on perimeter-based defenses, utilizing firewalls, virtual private networks (VPNs), and identity authentication to block external threats. However, once a node within the power system is compromised, attackers can exploit it as a pivot to [...] Read more.
In traditional power networks, security protection models primarily rely on perimeter-based defenses, utilizing firewalls, virtual private networks (VPNs), and identity authentication to block external threats. However, once a node within the power system is compromised, attackers can exploit it as a pivot to launch lateral movement attacks from within the system, posing serious threats to the core operations of the power grid. To address the increasingly complex cybersecurity landscape, this paper proposes a security defense approach that integrates an improved trust evaluation model based on the Practical Byzantine Fault Tolerance (PBFT) algorithm with a zero-trust architecture, leveraging the structural and functional symmetry among network nodes. The PBFT algorithm’s fault tolerance and consensus mechanisms are leveraged to ensure dynamic trust scoring across multiple nodes. This approach guarantees that each node has an equal role in the system’s operations, maintaining fairness and security across the network. Furthermore, the primary node in the PBFT consensus process is redefined as the arbitration node in the zero-trust framework, and faulty nodes can be automatically replaced through the view change protocol, thereby mitigating the centralization risk inherent in traditional zero-trust models. Experimental results demonstrate that the proposed approach achieves high accuracy and robustness in defending against both internal and external attacks in power network scenarios, highlighting the role of symmetry in enhancing secure and balanced system operations. Full article
(This article belongs to the Special Issue Symmetry and Asymmetry in Data Analysis)
Show Figures

Figure 1

21 pages, 1980 KB  
Article
Symmetry-Preserving Federated Learning with Blockchain-Based Incentive Mechanisms for Decentralized AI Networks
by Weixiao Luo, Quanrong Fang and Wenhao Kang
Symmetry 2025, 17(11), 1977; https://doi.org/10.3390/sym17111977 - 15 Nov 2025
Viewed by 372
Abstract
With the development of decentralized artificial intelligence (AI) networks, federated learning (FL) has received extensive attention for its ability to enable collaborative modeling without sharing raw data. However, existing methods are prone to convergence instability under non-independent and identically distributed (non-IID) conditions, lack [...] Read more.
With the development of decentralized artificial intelligence (AI) networks, federated learning (FL) has received extensive attention for its ability to enable collaborative modeling without sharing raw data. However, existing methods are prone to convergence instability under non-independent and identically distributed (non-IID) conditions, lack robustness in adversarial settings, and have not yet sufficiently addressed fairness and incentive issues in multi-source heterogeneous environments. This paper proposes a Symmetry-Preserving Federated Learning (SPFL) framework that integrates blockchain auditing and fairness-aware incentive mechanisms. At the optimization layer, the framework employs group-theoretic regularization to maintain parameter symmetry and mitigate gradient conflicts; at the system layer, it leverages blockchain ledgers and smart contracts to verify and trace client updates; and at the incentive layer, it allocates rewards based on approximate Shapley values to ensure that the contributions of weaker clients are recognized. Experiments conducted on four datasets, MIMIC-IV ECG, AG News-Large, FEMNIST + Sketch, and IoT-SensorStream, show that SPFL improves average accuracy by about 7.7% compared to FedAvg, increases Jain’s Fairness Index by 0.05–0.06 compared to FairFed, and still maintains around 80% performance in the presence of 30% Byzantine clients. Convergence experiments further demonstrate that SPFL reduces the number of required rounds by about 30% compared to FedProx and exhibits lower performance degradation under high-noise conditions. These results confirm SPFL’s improvements in fairness and robustness, highlighting its application value in multi-source heterogeneous scenarios such as medical diagnosis, financial risk management, and IoT sensing. Full article
Show Figures

Figure 1

30 pages, 3412 KB  
Article
QuantumTrust-FedChain: A Blockchain-Aware Quantum-Tuned Federated Learning System for Cyber-Resilient Industrial IoT in 6G
by Saleh Alharbi
Future Internet 2025, 17(11), 493; https://doi.org/10.3390/fi17110493 - 27 Oct 2025
Viewed by 566
Abstract
Industrial Internet of Things (IIoT) systems face severe security and trust challenges, particularly under cross-domain data sharing and federated orchestration. We present QuantumTrust-FedChain, a cyber-resilient federated learning framework integrating quantum variational trust modeling, blockchain-backed provenance, and Byzantine-robust aggregation for secure IIoT collaboration in [...] Read more.
Industrial Internet of Things (IIoT) systems face severe security and trust challenges, particularly under cross-domain data sharing and federated orchestration. We present QuantumTrust-FedChain, a cyber-resilient federated learning framework integrating quantum variational trust modeling, blockchain-backed provenance, and Byzantine-robust aggregation for secure IIoT collaboration in 6G networks. The architecture includes a Quantum Graph Attention Network (Q-GAT) for modeling device trust evolution using encrypted device logs. This consensus-aware federated optimizer penalizes adversarial gradients using stochastic contract enforcement, and a shard-based blockchain for real-time forensic traceability. Using datasets from SWaT and TON IoT, experiments show 98.3% accuracy in anomaly detection, 35% improvement in defense against model poisoning, and full ledger traceability with under 8.5% blockchain overhead. This framework offers a robust and explainable solution for secure AI deployment in safety-critical IIoT environments. Full article
(This article belongs to the Special Issue Security and Privacy in Blockchains and the IoT—3rd Edition)
Show Figures

Figure 1

24 pages, 1998 KB  
Article
NetTopoBFT: Network Topology-Aware Byzantine Fault Tolerance for High-Coverage Consortium Blockchains
by Runyu Chen, Rangang Zhu and Lunwen Wang
Entropy 2025, 27(11), 1088; https://doi.org/10.3390/e27111088 - 22 Oct 2025
Viewed by 542
Abstract
The Practical Byzantine Fault Tolerance (PBFT) algorithm, while fundamental to consortium blockchains, suffers from performance degradation and vulnerability of leader nodes in large-scale scenarios. Existing improvements often prioritize performance while lacking systematic consideration of the structural characteristics of the nodes and network coverage. [...] Read more.
The Practical Byzantine Fault Tolerance (PBFT) algorithm, while fundamental to consortium blockchains, suffers from performance degradation and vulnerability of leader nodes in large-scale scenarios. Existing improvements often prioritize performance while lacking systematic consideration of the structural characteristics of the nodes and network coverage. In this paper, a new network topology-aware Byzantine fault-tolerant algorithm NetTopoBFT is proposed for the supply chain and other application scenarios that require strict transaction finality but moderate throughput. Firstly, it innovatively combines the weighted signed network with the consortium chain, constructs a two-layer Bayesian smoothing node evaluation model, and evaluates the nodes through the two-dimensional evaluation of ‘behavioral reputation plus structural importance’. Then, to reduce the risk of being attacked, it uses Verifiable Random Function (VRF) to decide the leader. Furthermore, it uses a duplicate coverage-driven waitlisting mechanism to enhance the robustness and connectivity of the system. Theoretical analysis and experiment results show that NetTopoBFT significantly improves the quality of consensus nodes under the premise of guaranteeing decentralization, realizes the simultaneous optimization of communication overhead, security and network coverage. It provides a new idea for designing consensus mechanism of consortium blockchains. Full article
(This article belongs to the Section Complexity)
Show Figures

Figure 1

31 pages, 1516 KB  
Article
Federated Quantum Machine Learning for Distributed Cybersecurity in Multi-Agent Energy Systems
by Kwabena Addo, Musasa Kabeya and Evans Eshiemogie Ojo
Energies 2025, 18(20), 5418; https://doi.org/10.3390/en18205418 - 14 Oct 2025
Cited by 2 | Viewed by 756
Abstract
The increasing digitization and decentralization of modern energy systems have heightened their vulnerability to sophisticated cyber threats, necessitating advanced, scalable, and privacy-preserving detection frameworks. This paper introduces a novel Federated Quantum Machine Learning (FQML) framework tailored for anomaly detection in multi-agent energy environments. [...] Read more.
The increasing digitization and decentralization of modern energy systems have heightened their vulnerability to sophisticated cyber threats, necessitating advanced, scalable, and privacy-preserving detection frameworks. This paper introduces a novel Federated Quantum Machine Learning (FQML) framework tailored for anomaly detection in multi-agent energy environments. By integrating parameterized quantum circuits (PQCs) at the local agent level with secure federated learning protocols, the framework enhances detection accuracy while preserving data privacy. A trimmed-mean aggregation scheme and differential privacy mechanisms are embedded to defend against Byzantine behaviors and data-poisoning attacks. The problem is formally modeled as a constrained optimization task, accounting for quantum circuit depth, communication latency, and adversarial resilience. Experimental validation on synthetic smart grid datasets demonstrates that FQML achieves high detection accuracy (≥96.3%), maintains robustness under adversarial perturbations, and reduces communication overhead by 28.6% compared to classical federated baselines. These results substantiate the viability of quantum-enhanced federated learning as a practical, hardware-conscious approach to distributed cybersecurity in next-generation energy infrastructures. Full article
Show Figures

Graphical abstract

35 pages, 12402 KB  
Article
A Multi-Teacher Knowledge Distillation Framework with Aggregation Techniques for Lightweight Deep Models
by Ahmed Hamdi, Hassan N. Noura and Joseph Azar
Appl. Syst. Innov. 2025, 8(5), 146; https://doi.org/10.3390/asi8050146 - 30 Sep 2025
Viewed by 1907
Abstract
Knowledge Distillation (KD) is a machine learning technique in which a compact student model learns to replicate the performance of a larger teacher model by mimicking its output predictions. Multi-Teacher Knowledge Distillation extends this paradigm by aggregating knowledge from multiple teacher models to [...] Read more.
Knowledge Distillation (KD) is a machine learning technique in which a compact student model learns to replicate the performance of a larger teacher model by mimicking its output predictions. Multi-Teacher Knowledge Distillation extends this paradigm by aggregating knowledge from multiple teacher models to improve generalization and robustness. However, effectively integrating outputs from diverse teachers, especially in the presence of noise or conflicting predictions, remains a key challenge. In this work, we propose a Multi-Round Parallel Multi-Teacher Distillation (MPMTD) that systematically explores and combines multiple aggregation techniques. Specifically, we investigate aggregation at different levels, including loss-based and probability-distribution-based fusion. Our framework applies different strategies across distillation rounds, enabling adaptive and synergistic knowledge transfer. Through extensive experimentation, we analyze the strengths and weaknesses of individual aggregation methods and demonstrate that strategic sequencing across rounds significantly outperforms static approaches. Notably, we introduce the Byzantine-Resilient Probability Distribution aggregation method applied for the first time in a KD context, which achieves state-of-the-art performance, with an accuracy of 99.29% and an F1-score of 99.27%. We further identify optimal configurations in terms of the number of distillation rounds and the ordering of aggregation strategies, balancing accuracy with computational efficiency. Our contributions include (i) the introduction of advanced aggregation strategies into the KD setting, (ii) a systematic evaluation of their performance, and (iii) practical recommendations for real-world deployment. These findings have significant implications for distributed learning, edge computing, and IoT environments, where efficient and resilient model compression is essential. Full article
Show Figures

Figure 1

40 pages, 2153 KB  
Review
DeepChainIoT: Exploring the Mutual Enhancement of Blockchain and Deep Neural Networks (DNNs) in the Internet of Things (IoT)
by Sabina Sapkota, Yining Hu, Asif Gill and Farookh Khadeer Hussain
Electronics 2025, 14(17), 3395; https://doi.org/10.3390/electronics14173395 - 26 Aug 2025
Viewed by 792
Abstract
The Internet of Things (IoT) is widely used across domains such as smart homes, healthcare, and grids. As billions of devices become connected, strong privacy and security measures are essential to protect sensitive information and prevent cyber-attacks. However, IoT devices often have limited [...] Read more.
The Internet of Things (IoT) is widely used across domains such as smart homes, healthcare, and grids. As billions of devices become connected, strong privacy and security measures are essential to protect sensitive information and prevent cyber-attacks. However, IoT devices often have limited computing power and storage, making it difficult to implement robust security and manage large volumes of data. Existing studies have explored integrating blockchain and Deep Neural Networks (DNNs) to address security, storage, and data dissemination in IoT networks, but they often fail to fully leverage the mutual enhancement between them. This paper proposes DeepChainIoT, a blockchain–DNN integrated framework designed to address centralization, latency, throughput, storage, and privacy challenges in generic IoT networks. It integrates smart contracts with a Long Short-Term Memory (LSTM) autoencoder for anomaly detection and secure transaction encoding, along with an optimized Practical Byzantine Fault Tolerance (PBFT) consensus mechanism featuring transaction prioritization and node rating. On a public pump sensor dataset, our LSTM autoencoder achieved 99.6% accuracy, 100% recall, 97.95% precision, and a 98.97% F1-score, demonstrating balanced performance, along with a 23.9× compression ratio. Overall, DeepChainIoT enhances IoT security, reduces latency, improves throughput, and optimizes storage while opening new directions for research in trustworthy computing. Full article
(This article belongs to the Special Issue Emerging IoT Sensor Network Technologies and Applications)
Show Figures

Figure 1

18 pages, 1005 KB  
Article
FedEach: Federated Learning with Evaluator-Based Incentive Mechanism for Human Activity Recognition
by Hyun Woo Lim, Sean Yonathan Tanjung, Ignatius Iwan, Bernardo Nugroho Yahya and Seok-Lyong Lee
Sensors 2025, 25(12), 3687; https://doi.org/10.3390/s25123687 - 12 Jun 2025
Cited by 1 | Viewed by 1377
Abstract
Federated learning (FL) is a decentralized approach that aims to establish a global model by aggregating updates from diverse clients without sharing their local data. However, the approach becomes complicated when Byzantine clients join with arbitrary manipulation, referred to as malicious clients. Classical [...] Read more.
Federated learning (FL) is a decentralized approach that aims to establish a global model by aggregating updates from diverse clients without sharing their local data. However, the approach becomes complicated when Byzantine clients join with arbitrary manipulation, referred to as malicious clients. Classical techniques, such as Federated Averaging (FedAvg), are insufficient to incentivize reliable clients and discourage malicious clients. Other existing Byzantine FL schemes to address malicious clients are either incentive-reliable clients or need-to-provide server-labeled data as the public validation dataset, which increase time complexity. This study introduces a federated learning framework with an evaluator-based incentive mechanism (FedEach) that offers robustness with no dependency on server-labeled data. In this framework, we introduce evaluators and participants. Unlike the existing approaches, the server selects the evaluators and participants among the clients using model-based performance evaluation criteria such as test score and reputation. Afterward, the evaluators assess and evaluate whether a participant is reliable or malicious. Subsequently, the server exclusively aggregates models from these identified reliable participants and the evaluators for global model updates. After this aggregation, the server calculates each client’s contribution, prioritizing each client’s contribution to ensure the fair recognition of high-quality updates and penalizing malicious clients based on their contributions. Empirical evidence obtained from the performance in human activity recognition (HAR) datasets highlights FedEach’s effectiveness, especially in environments with a high presence of malicious clients. In addition, FedEach maintains computational efficiency so that it is reliable for efficient FL applications such as sensor-based HAR with wearable devices and mobile sensing. Full article
(This article belongs to the Special Issue Wearable Devices for Physical Activity and Healthcare Monitoring)
Show Figures

Figure 1

17 pages, 1082 KB  
Article
FedOPCS: An Optimized Poisoning Countermeasure for Non-IID Federated Learning with Privacy-Preserving Stability
by Fenhua Bai, Yinqi Zhao, Tao Shen, Kai Zeng, Xiaohui Zhang and Chi Zhang
Symmetry 2025, 17(5), 782; https://doi.org/10.3390/sym17050782 - 19 May 2025
Viewed by 1058
Abstract
Federated learning (FL), as a distributed machine learning framework, enables multiple participants to jointly train models without sharing data, thereby ensuring data privacy and security. However, FL systems still struggle to escape the typical poisoning threat launched by Byzantine nodes. The current defence [...] Read more.
Federated learning (FL), as a distributed machine learning framework, enables multiple participants to jointly train models without sharing data, thereby ensuring data privacy and security. However, FL systems still struggle to escape the typical poisoning threat launched by Byzantine nodes. The current defence measures almost all rely on the anomaly detection of local gradients in a plaintext state, which not only weakens privacy protection but also allows malicious clients to upload malicious ciphertext gradients once they are encrypted, which thus easily evade existing screenings. At the same time, mainstream aggregation algorithms are generally based on the premise that “each client’s data satisfy an independent and identically distributed (IID)”, which is obviously difficult to achieve in real scenarios where large-scale terminal devices hold their own data. Symmetry in data distribution and model updates across clients is crucial for achieving robust and fair aggregation, yet non-IID data and adversarial attacks disrupt this balance. To address these challenges, we propose FedOPCS, an optimized poisoning countermeasure for non-IID FL algorithms with privacy-preserving stability by introducing three key innovations: Conditional Generative Adversarial Network (CGAN)-based data augmentation with conditional variables to simulate global distribution, a dynamic weight adjustment mechanism with homomorphic encryption, and two-stage anomaly detection combining gradient analysis and model performance evaluation. Extensive experiments on MNIST and CIFAR-10 show that, in the model poisoning and mixed poisoning environments, FedOPCS outperforms the baseline methods by 11.4% and 4.7%, respectively, while maintaining the same efficiency as FedAvg. FedOPCS therefore offers a privacy-preserving, Byzantine-robust, and communication-efficient solution for future heterogeneous FL deployments. Full article
Show Figures

Figure 1

16 pages, 2564 KB  
Article
5G-Practical Byzantine Fault Tolerance: An Improved PBFT Consensus Algorithm for the 5G Network
by Xin Liu, Xing Fan, Baoning Niu and Xianrong Zheng
Information 2025, 16(3), 202; https://doi.org/10.3390/info16030202 - 5 Mar 2025
Cited by 1 | Viewed by 2016
Abstract
The consensus algorithm is the core technology of blockchain systems to maintain data consistency, and its performance directly affects the efficiency and security of the whole system. Practical Byzantine Fault Tolerance (PBFT) plays a crucial role in blockchain consensus algorithms by providing a [...] Read more.
The consensus algorithm is the core technology of blockchain systems to maintain data consistency, and its performance directly affects the efficiency and security of the whole system. Practical Byzantine Fault Tolerance (PBFT) plays a crucial role in blockchain consensus algorithms by providing a robust mechanism to achieve fault-tolerant and deterministic consensus in distributed networks. With the development of 5G network technology, its features of high bandwidth, low latency, and high reliability provide a new approach for consensus algorithm optimization. To take advantage of the features of the 5G network, this paper proposes 5G-PBFT, which is an improved practical Byzantine fault-tolerant consensus algorithm with three ways to improve PBFT. Firstly, 5G-PBFT constructed the reputation model based on node performance and behavior. The model dynamically selected consensus nodes based on the reputation value to ensure the reliability of the consensus node selection. Next, the algorithm selected the primary node using the reputation model and verifiable random function, giving consideration to the reliability of the primary node and the randomness of the selection process. Finally, we take advantage of the low latency feature of the 5G network to omit the submission stage to reduce the communication complexity from ON2 to ON, where N denotes the number of nodes. The simulation results show that 5G-PBFT achieves a 26% increase in throughput and a 63.6% reduction in transaction latency compared to the PBFT, demonstrating significant performance improvements. Full article
(This article belongs to the Special Issue Blockchain Applications for Business Process Management)
Show Figures

Figure 1

43 pages, 2428 KB  
Review
A Survey on Directed Acyclic Graph-Based Blockchain in Smart Mobility
by Yuhao Bai, Soojin Lee and Seung-Hyun Seo
Sensors 2025, 25(4), 1108; https://doi.org/10.3390/s25041108 - 12 Feb 2025
Cited by 6 | Viewed by 3187
Abstract
This systematic review examines the integration of directed acyclic graph (DAG)-based blockchain technology in smart mobility ecosystems, focusing on electric vehicles (EVs), robotic systems, and drone swarms. Adhering to PRISMA guidelines, we conducted a comprehensive literature search across Web of Science, Scopus, IEEE [...] Read more.
This systematic review examines the integration of directed acyclic graph (DAG)-based blockchain technology in smart mobility ecosystems, focusing on electric vehicles (EVs), robotic systems, and drone swarms. Adhering to PRISMA guidelines, we conducted a comprehensive literature search across Web of Science, Scopus, IEEE Xplore, and ACM Digital Library, screening 1248 records to identify 47 eligible studies. Our analysis demonstrates that DAG-based blockchain addresses critical limitations of traditional blockchains by enabling parallel transaction processing, achieving high throughput (>1000 TPS), and reducing latency (<1 s), which are essential for real-time applications like autonomous vehicle coordination and microtransactions in EV charging. Key technical challenges include consensus mechanism complexity, probabilistic finality, and vulnerabilities to attacks such as double-spending and Sybil attacks. This study identifies five research priorities: (1) standardized performance benchmarks, (2) formal security proofs for DAG protocols, (3) hybrid consensus models combining DAG with Byzantine fault tolerance, (4) privacy-preserving cryptographic techniques, and (5) optimization of feeless microtransactions. These advancements are critical for deploying robust, scalable DAG-based solutions in smart mobility, and fostering secure and efficient urban transportation networks. Full article
(This article belongs to the Special Issue Feature Review Papers in Intelligent Sensors)
Show Figures

Figure 1

15 pages, 4619 KB  
Review
A Review of Asynchronous Byzantine Consensus Protocols
by Zhenyan Ji, Xiao Zhang, Jianghao Hu, Yuan Lu and Jiqiang Liu
Sensors 2024, 24(24), 7927; https://doi.org/10.3390/s24247927 - 11 Dec 2024
Viewed by 3987
Abstract
Blockchain technology can be used in the IoT to ensure the data privacy collected by sensors. In blockchain systems, consensus mechanisms are a key technology for maintaining data consistency and correctness. Among the various consensus protocols, asynchronous Byzantine consensus protocols offer strong robustness [...] Read more.
Blockchain technology can be used in the IoT to ensure the data privacy collected by sensors. In blockchain systems, consensus mechanisms are a key technology for maintaining data consistency and correctness. Among the various consensus protocols, asynchronous Byzantine consensus protocols offer strong robustness as they do not rely on any network timing assumptions during design. As a result, these protocols have become a research hotspot in the field of blockchain. Based on different structural design approaches, asynchronous Byzantine consensus protocols can be divided into two categories: protocols based on the DAG structure and protocols based on the ACS structure. The paper describes their principles and summarizes the related research works. The advantages and disadvantages of the protocols are also compared and analyzed. At the end of the paper, future research directions are identified. Full article
(This article belongs to the Special Issue Intelligent Sensors and Signal Processing in Industry)
Show Figures

Figure 1

Back to TopTop