Sign in to use this feature.

Years

Between: -

Subjects

remove_circle_outline
remove_circle_outline
remove_circle_outline
remove_circle_outline
remove_circle_outline
remove_circle_outline
remove_circle_outline
remove_circle_outline
remove_circle_outline

Journals

remove_circle_outline
remove_circle_outline
remove_circle_outline
remove_circle_outline
remove_circle_outline
remove_circle_outline
remove_circle_outline
remove_circle_outline
remove_circle_outline
remove_circle_outline
remove_circle_outline

Article Types

Countries / Regions

remove_circle_outline
remove_circle_outline
remove_circle_outline
remove_circle_outline

Search Results (778)

Search Parameters:
Keywords = Bio-inspired systems

Order results
Result details
Results per page
Select all
Export citation of selected articles as:
24 pages, 3207 KB  
Article
Research on Two-Stage Parameter Identification for Various Lithium-Ion Battery Models Using Bio-Inspired Optimization Algorithms
by Shun-Chung Wang and Yi-Hua Liu
Appl. Sci. 2026, 16(1), 202; https://doi.org/10.3390/app16010202 - 24 Dec 2025
Abstract
Lithium-ion batteries (LIBs) are vital components in electric vehicles (EVs) and battery energy storage systems (BESS). Accurate estimation of the state of charge (SOC) and state of health (SOH) depends heavily on precise battery modeling. This paper examines six commonly used equivalent circuit [...] Read more.
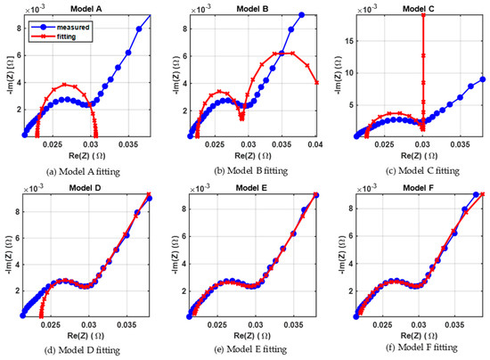
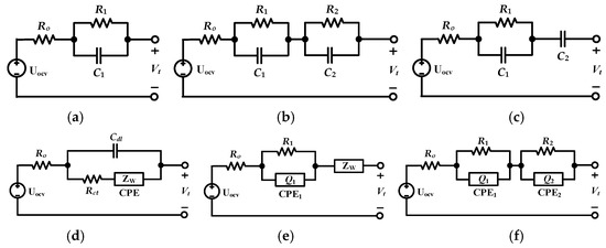
Lithium-ion batteries (LIBs) are vital components in electric vehicles (EVs) and battery energy storage systems (BESS). Accurate estimation of the state of charge (SOC) and state of health (SOH) depends heavily on precise battery modeling. This paper examines six commonly used equivalent circuit models (ECMs) by deriving their impedance transfer functions and comparing them with measured electrochemical impedance spectroscopy (EIS) data. The particle swarm optimization (PSO) algorithm is first utilized to identify the ECM with the best EIS fit. Then, thirteen bio-inspired optimization algorithms (BIOAs) are employed for parameter identification and comparison. Results show that the fractional-order R(RQ)(RQ) model with a mean absolute percentage error (MAPE) of 10.797% achieves the lowest total model fitting error and possesses the highest matching accuracy. In model parameter identification using BIOAs, the marine predators algorithm (MPA) reaches the lowest estimated MAPE of 10.694%, surpassing other algorithms in this study. The Friedman ranking test further confirms MPA as the most effective method. When combined with an Internet-of-Things-based online battery monitoring system, the proposed approach provides a low-cost, high-precision platform for rapid modeling and parameter identification, supporting advanced SOC and SOH estimation technologies. Full article
(This article belongs to the Section Electrical, Electronics and Communications Engineering)
Show Figures

Figure 1

28 pages, 31100 KB  
Review
Harnessing Energy and Engineering: A Review of Design Transition of Bio-Inspired and Conventional Blade Concepts for Wind and Marine Energy Harvesting
by Revathi Ramakrishnan, Mohamed Kamra and Saeed Al Nuaimi
Energies 2026, 19(1), 47; https://doi.org/10.3390/en19010047 - 22 Dec 2025
Viewed by 203
Abstract
The growing demand for sustainable energy has driven innovation in wind and marine turbines, where the conventional airfoils, though reliable, perform poorly in unsteady flows. This review explores the transition of blade design from conventional to bio-inspired blade designs. Although several studies have [...] Read more.
The growing demand for sustainable energy has driven innovation in wind and marine turbines, where the conventional airfoils, though reliable, perform poorly in unsteady flows. This review explores the transition of blade design from conventional to bio-inspired blade designs. Although several studies have explored the use of biomimetic principles for turbine blade designs, this review highlights the core biological strategies successfully translated into engineering designs to improve aerodynamic and hydrodynamic performance. In addition, it emphasizes the critical role of interdisciplinary integration, linking biology, material science, and engineering, in advancing and enabling the practical realization of biomimetics in energy systems. This narrative review consolidates the trends, gaps, and underexplored opportunities in the current literature on biomimetics. Theoretically, it elevates bio-inspired design from descriptive analogy into a predictive framework grounded in natural efficiency mechanisms; practically, it articulates a framework for transforming biological design into robust, highly efficient, and commercially viable turbine systems. Further, the review highlighted a persistent gap between experimental advances and commercial deployment, underscoring the lack of scalable manufacturability and techno-economic validation. Full article
(This article belongs to the Collection Wind Turbines)
Show Figures

Figure 1

24 pages, 3306 KB  
Article
Adaptive Hybrid MPPT for Photovoltaic Systems: Performance Enhancement Under Dynamic Conditions
by Mahmoud Ismail, Mostafa I. Marei and Mohamed Mokhtar
Sustainability 2026, 18(1), 80; https://doi.org/10.3390/su18010080 - 20 Dec 2025
Viewed by 150
Abstract
Optimizing energy conversion in photovoltaic (PV) systems is crucial for maximizing energy conversion efficiency and ensuring reliable operation. Achieving this requires that the PV array consistently operates at the Global Maximum Power Point (GMPP). Conventional Maximum Power Point Tracking (MPPT) algorithms, such as [...] Read more.
Optimizing energy conversion in photovoltaic (PV) systems is crucial for maximizing energy conversion efficiency and ensuring reliable operation. Achieving this requires that the PV array consistently operates at the Global Maximum Power Point (GMPP). Conventional Maximum Power Point Tracking (MPPT) algorithms, such as Perturb and Observe (P&O) and Incremental Conductance (INC), perform effectively under uniform irradiance but fail to track the GMPP under partial shading conditions (PSCs), resulting in energy losses and degraded system efficiency. To overcome this limitation, this paper proposes a hybrid MPPT method that integrates the Crayfish Optimization Algorithm (COA), a bio-inspired metaheuristic, with the P&O technique. The proposed approach combines the global exploration ability of COA with the fast convergence of P&O to ensure accurate and stable GMPP identification. The algorithm is validated under multiple irradiance patterns and benchmarked against established MPPT methods, including voltage-source and current-source region detection, Improved Variable Step Perturb and Observe and Global Scanning (VSPO&GS), and a hybrid Particle Swarm Optimization (PSO)-P&O method. Simulation studies performed in MATLAB/Simulink demonstrate that the proposed technique achieves higher accuracy, faster convergence, and enhanced robustness under PSCs. Results show that the proposed method reliably identifies the global peak, limits steady-state oscillations to below 1%, restricts maximum overshoot to 0.5%, and achieves the fastest settling time, stabilizing at the new power point significantly faster following major step changes, thereby enhancing overall PV system performance. Full article
(This article belongs to the Special Issue Transitioning to Sustainable Energy: Opportunities and Challenges)
Show Figures

Figure 1

35 pages, 5847 KB  
Review
Photovoltaic Microorganism Hybrid Systems for Enhanced Polyhydroxybutyrate Synthesis Through Material Design and Energy Mass Transfer Mechanisms
by Jingyi Teng, Xinyi Chen, Hanyu Gao, Kaixin Huangfu, Silin Wu, Zhuo Ma, Ruiwen Wang, Shaoqin Liu and Yunfeng Qiu
Materials 2026, 19(1), 1; https://doi.org/10.3390/ma19010001 - 19 Dec 2025
Viewed by 286
Abstract
Polyhydroxybutyrate (PHB), as a biodegradable and green polymer, holds significant potential for replacing traditional petroleum-based plastics. However, its production efficiency and cost remain bottlenecks limiting large-scale application. In recent years, hybrid systems constructed from photosensitive nanomaterials and microorganisms have provided a novel pathway [...] Read more.
Polyhydroxybutyrate (PHB), as a biodegradable and green polymer, holds significant potential for replacing traditional petroleum-based plastics. However, its production efficiency and cost remain bottlenecks limiting large-scale application. In recent years, hybrid systems constructed from photosensitive nanomaterials and microorganisms have provided a novel pathway for enhancing PHB synthesis efficiency. These systems augment the supply of intracellular reducing power through efficient photo-generated electron injection, thereby driving microbial carbon fixation and PHB anabolic metabolism. This review systematically summarizes the mechanisms and performance of various types of photosensitive materials (including g-C3N4, CdS, polymer dots, etc.) in regulating PHB synthesis in microorganisms, such as Cupriavidus necator H16. It focuses on the influence of material composition, structure, energy band characteristics, and their interfacial interactions with microorganisms on electron transfer efficiency and biocompatibility. Furthermore, the article outlines the current challenges faced by these hybrid systems in key energy and mass transfer processes, including light energy conversion, transmembrane electron transport, and NADPH regeneration. It also prospects the design principles of novel bio-inspired multi-level heterojunction materials and their application potential in constructing efficient “material microbe” collaborative synthesis systems. This review aims to provide a material-level theoretical foundation and design strategies for developing high-performance and sustainable light-driven biomanufacturing technologies for PHB. Full article
Show Figures

Graphical abstract

29 pages, 166576 KB  
Article
A Decentralized Potential Field-Based Self-Organizing Control Framework for Trajectory, Formation, and Obstacle Avoidance of Fully Autonomous Swarm Robots
by Mohammed Abdel-Nasser, Sami El-Ferik, Ramy Rashad and Abdul-Wahid A. Saif
Robotics 2025, 14(12), 192; https://doi.org/10.3390/robotics14120192 - 18 Dec 2025
Viewed by 159
Abstract
In this work, we propose a fully decentralized, self-organizing control framework for a swarm of autonomous ground mobile robots. The system integrates potential field-based mechanisms for simultaneous trajectory tracking, formation control, and obstacle avoidance, all based on local sensing and neighbor interactions without [...] Read more.
In this work, we propose a fully decentralized, self-organizing control framework for a swarm of autonomous ground mobile robots. The system integrates potential field-based mechanisms for simultaneous trajectory tracking, formation control, and obstacle avoidance, all based on local sensing and neighbor interactions without centralized coordination. Each robot autonomously computes attractive, repulsive, and formation forces to navigate toward target positions while maintaining inter-robot spacing and avoiding both static and dynamic obstacles. Inspired by biological swarm behavior, the controller emphasizes robustness, scalability, and flexibility. The proposed method has been successfully validated in the ARGoS simulator, which provides realistic physics, sensor modeling, and a robust environment that closely approximates real-world conditions. The system was tested with up to 15 robots and is designed to scale to larger swarms (e.g., 100 robots), demonstrating stable performance across a range of scenarios. Results obtained using ARGoS confirm the swarm’s ability to maintain formation, avoid collisions, and reach a predefined goal area within a configurable 1 m radius. This zone serves as a spatial convergence region suitable for multi-robot formation, even in the presence of unknown fixed obstacles and movable agents. The framework can seamlessly handle the addition or removal of swarm members without reconfiguration. Full article
(This article belongs to the Special Issue Advanced Control and Optimization for Robotic Systems)
Show Figures

Figure 1

23 pages, 12295 KB  
Article
A Support End-Effector for Banana Bunches Based on Contact Mechanics Constraints
by Bowei Xie, Xinxiao Wu, Guohui Lu, Ziping Wan, Mingliang Wu, Jieli Duan and Lewei Tang
Agronomy 2025, 15(12), 2907; https://doi.org/10.3390/agronomy15122907 - 17 Dec 2025
Viewed by 162
Abstract
Banana harvesting relies heavily on manual labor, which is labor-intensive and prone to fruit damage due to insufficient control of contact forces. This paper presents a systematic methodology for the design and optimization of adaptive flexible end-effectors for banana bunch harvesting, focusing on [...] Read more.
Banana harvesting relies heavily on manual labor, which is labor-intensive and prone to fruit damage due to insufficient control of contact forces. This paper presents a systematic methodology for the design and optimization of adaptive flexible end-effectors for banana bunch harvesting, focusing on contact behavior and mechanical constraints. By integrating response surface methodology (RSM) with multi-objective genetic algorithm (MOGA) optimization, the relationships between finger geometry parameters and key performance metrics—contact area, contact stress, and radial stiffness—were quantified, and Pareto-optimal structural configurations were identified. Experimental and simulation results demonstrate that the optimized flexible fingers effectively improve handling performance: contact area increased by 13–28%, contact stress reduced by 45–56%, and radial stiffness enhanced by 193%, while the maximum shear stress on the fruit stalk decreased by 90%, ensuring harvesting stability during dynamic loading. The optimization effectively distributes contact pressure, minimizes fruit damage, and enhances grasping reliability. The proposed contact-behavior-constrained design framework enables passive adaptation to fruit morphology without complex sensors, offering a generalizable solution for soft robotic handling of fragile and irregular agricultural products. This work bridges the gap between bio-inspired gripper design and practical agricultural application, providing both theoretical insights and engineering guidance for automated, low-damage fruit harvesting systems. Full article
(This article belongs to the Special Issue Unmanned Farms in Smart Agriculture—2nd Edition)
Show Figures

Figure 1

25 pages, 2770 KB  
Article
The Third Skin: A Biomimetic Hydronic Conditioning System, a New Direction in Ecologically Sustainable Design
by Mark B. Luther, Richard Hyde, Arosha Gamage and Hung Q. Do
Biomimetics 2025, 10(12), 843; https://doi.org/10.3390/biomimetics10120843 - 16 Dec 2025
Viewed by 232
Abstract
The increasing demand for sustainable climate control has spurred research into our hydronic conditioning system with a patented radiant ceiling panel (AU 2024227462) inspired by biomimetic methodologies. This study develops a framework that utilizes natural systems for heating and cooling, enhancing system performance [...] Read more.
The increasing demand for sustainable climate control has spurred research into our hydronic conditioning system with a patented radiant ceiling panel (AU 2024227462) inspired by biomimetic methodologies. This study develops a framework that utilizes natural systems for heating and cooling, enhancing system performance and environmental sustainability. Biometric analysis was the primary method for testing these systems, focusing on heat transfer mechanisms modeled after human biology. Findings indicate that the proposed hydronic system excels in cooling mode, achieving an average capacity of 95 W/m2 while maintaining thermal comfort levels (PMV) with solar heat gains under 1.5 kW in an 18 m2 space. However, in heating mode, the system shows a capacity of 85 W/m2 but struggles with vertical air-temperature stratification, especially in the radiant ceiling component. This highlights the potential of biomimetic designs to enhance energy efficiency and comfort in sustainable development. The hydronic panel system parallels the human body in energy transfer; both can emit 75–90 W/m2 through radiation. Convection over the panel can increase energy transfer by 50–80%, akin to the human body’s heat loss through convection. Notably, natural perspiration facilitates latent energy transfer of 20–25%. When the conditioned panel operates below the dew point, it generates water vapor, boosting cooling capacity by 5–15% and enhancing latent energy transfer. Overall, the heat transfer processes of the hydronic panel mimic certain aspects of human physiology, distinguishing it from conventional HVAC systems. Full article
(This article belongs to the Section Bioinspired Architecture and Climatisation)
Show Figures

Graphical abstract

20 pages, 3063 KB  
Article
A Bio-Inspired Artificial Nerve Simulator for Ex Vivo Validation of Implantable Neural Interfaces Equipped with Plug Electrodes
by Daniel Mihai Teleanu, Octavian Narcis Ionescu, Carmen Aura Moldovan, Marian Ion, Adrian Tulbure, Eduard Franti, David Catalin Dragomir, Silviu Dinulescu, Bianca Mihaela Boga, Ana Maria Oproiu, Ancuta Diana-Larisa, Vaduva Mariana, Coman Cristin, Carmen Mihailescu, Mihaela Savin, Gabriela Ionescu, Monica Dascalu, Mark Edward Pogarasteanu, Marius Moga and Mirela Petruta Suchea
Bioengineering 2025, 12(12), 1366; https://doi.org/10.3390/bioengineering12121366 - 16 Dec 2025
Viewed by 210
Abstract
The development of implantable neural interfaces is essential for enabling bidirectional communication between the nervous system and prosthetic devices, yet their evaluation still relies primarily on in vivo models which are costly, variable, and ethically constrained. Here, we report a bio-inspired artificial nerve [...] Read more.
The development of implantable neural interfaces is essential for enabling bidirectional communication between the nervous system and prosthetic devices, yet their evaluation still relies primarily on in vivo models which are costly, variable, and ethically constrained. Here, we report a bio-inspired artificial nerve simulator engineered as a reproducible ex vivo platform for pre-implantation testing of plug-type electrodes. The simulator is fabricated from a conductive hydrogel composite based on reduced graphene oxide (rGO), polyaniline (PANI), agarose, sucrose, and sodium chloride, with embedded conductive channels that replicate the fascicular organization and conductivity of peripheral nerves. The resulting construct exhibits impedance values of ~2.4–2.9 kΩ between electrode needles at 1 kHz, closely matching in vivo measurements (~2 kΩ) obtained in Sus scrofa domesticus nerve tissue. Its structural and electrical fidelity enables systematic evaluation of electrode–nerve contact properties, signal transmission, and insertion behavior under controlled conditions, while reducing reliance on animal experiments. This bio-inspired simulator offers a scalable and physiologically relevant testbed that bridges materials engineering and translational neuroprosthetics, accelerating the development of next-generation implantable neural interfaces. Full article
(This article belongs to the Section Biomedical Engineering and Biomaterials)
Show Figures

Graphical abstract

33 pages, 2730 KB  
Perspective
A Perspective on Bio-Inspired Approaches as Sustainable Proxy Towards an Accelerated Net Zero Emission Energy Transition
by Miguel Chen Austin and Katherine Chung-Camargo
Biomimetics 2025, 10(12), 842; https://doi.org/10.3390/biomimetics10120842 - 16 Dec 2025
Viewed by 249
Abstract
The global energy transition faces a chasm between current policy commitments (IEA’s STEPS) and the deep, rapid transformation required to realize all national net zero pledges (IEA’s APC). This perspective addresses the critical innovation and policy gap blocking the APC pathway, where many [...] Read more.
The global energy transition faces a chasm between current policy commitments (IEA’s STEPS) and the deep, rapid transformation required to realize all national net zero pledges (IEA’s APC). This perspective addresses the critical innovation and policy gap blocking the APC pathway, where many high-impact, clean technologies remain at low-to-medium Technology Readiness Levels (TRLs 3–6) and lack formal policy support. The insufficient nature of current climate policy nomenclature is highlighted, which often limits Nature-based Solutions (NbS) to incremental projects rather than driving systemic technological change (Bio-inspiration). Then, we propose that a deliberate shift from simple biomimetics (mimicking form) to biomimicry (emulating life cycle sustainability) is the essential proxy for acceleration. Biomimicry inherently targets the grand challenges of resilience, resource efficiency, and multi-functionality that carbon-centric metrics fail to capture. To institutionalize this change, we advocate for the mandatory integration of bio-inspired design into National Determined Contributions (NDCs) by reframing NbS as Nature-based Innovation (NbI) and introducing novel quantitative metrics. Finally, a three-step roadmap to guide this systemic shift is presented, from deployment of prototypes (2025–2028), to scaling evidence and standardization (2029–2035), to consolidation and regenerative integration (2036–2050). Formalizing these principles through policy will de-risk investment, mandate greater R&D rigor, and ensure that the next generation of energy infrastructure is not just carbon-neutral, but truly regenerative, aligning technology deployment with the necessary speed and depth of the APC scenario. Full article
(This article belongs to the Section Energy Biomimetics)
Show Figures

Figure 1

14 pages, 1965 KB  
Article
Humanoid Robotic Head Movement Platform
by Alu Abdullah Al-Saadi, Nabil Yassine, Steve Barker, John Durodola and Khaled Hayatleh
Electronics 2025, 14(24), 4925; https://doi.org/10.3390/electronics14244925 - 16 Dec 2025
Viewed by 208
Abstract
Humanoid robots have gained public awareness and intrigue over the last few years. During this time, there has been a greater push to develop robots to behave more like humans, not just in how they speak but also in how they move. A [...] Read more.
Humanoid robots have gained public awareness and intrigue over the last few years. During this time, there has been a greater push to develop robots to behave more like humans, not just in how they speak but also in how they move. A novel humanoid robotic head-and-neck platform designed to facilitate the investigation of movement characteristics is proposed. The research presented here aims to characterise the motion of a humanoid robotic head, Aquila, to aid the development of humanoid robots with head movements more similar to those of humans. This platform also aims to promote further studies in human head motion. This paper proposes a design for a humanoid robotic head platform capable of performing three principal human motion patterns: yaw, pitch, and roll. Using the Arduino IDE (2.3.2) and MATLAB/Simulink (2024b), all three types of movement were implemented and tested with various parameters. Each type of movement is quantified in terms of range, stability, and dynamic response using time-series data collected over 35 s of continuous observation. The results demonstrate that a humanoid robot head can mimic the range of displacement of a healthy human subject but does not exhibit the same smoothness and micro-adjustments observed in dynamic human head movements. An RMSE of under 0.3 rad is achieved for each motion axis—pitch, roll, and yaw—when comparing robotic head movement to human head movement. The investigation of preliminary results highlights the need for further system optimisation. This paper’s conclusion highlights that the bio-inspired control concept, paired with the proposed 8-stepper motor platform, enhances realism and interaction in the context of head movement in robotic systems. Full article
(This article belongs to the Special Issue Advances in UAV-Assisted Wireless Communications)
Show Figures

Figure 1

33 pages, 13758 KB  
Article
Bioinspired Simultaneous Learning and Motion–Force Hybrid Control for Robotic Manipulators Under Multiple Constraints
by Yuchuang Tong, Haotian Liu and Zhengtao Zhang
Biomimetics 2025, 10(12), 841; https://doi.org/10.3390/biomimetics10120841 - 15 Dec 2025
Viewed by 183
Abstract
Inspired by the adaptive flexible motion coordination of biological systems, this study presents a bioinspired control strategy that enables robotic manipulators to achieve precise and compliant motion–force coordination for embodied intelligence and dexterous interaction in physically constrained environments. To this end, a learning-based [...] Read more.
Inspired by the adaptive flexible motion coordination of biological systems, this study presents a bioinspired control strategy that enables robotic manipulators to achieve precise and compliant motion–force coordination for embodied intelligence and dexterous interaction in physically constrained environments. To this end, a learning-based motion–force hybrid control (LMFC) framework is proposed, which unifies learning and kinematic-level control to regulate both motion and interaction forces under incomplete or implicit kinematic information, thereby enhancing robustness and precision. The LMFC formulation recasts motion–force coordination as a time-varying quadratic programming (TVQP) problem, seamlessly incorporating multiple practical constraints—including joint limits, end-effector orientation maintenance, and obstacle avoidance—at the acceleration level, while determining control decisions at the velocity level. An RNN-based controller is further designed to integrate adaptive learning and control, enabling online estimation of uncertain kinematic parameters and mitigating joint drift. Simulation and experimental results demonstrate the effectiveness and practicality of the proposed framework, highlighting its potential for adaptive and compliant robotic control in constraint-rich environments. Full article
(This article belongs to the Section Locomotion and Bioinspired Robotics)
Show Figures

Figure 1

24 pages, 2759 KB  
Review
Harnessing High-Valent Metals for Catalytic Oxidation: Next-Gen Strategies in Water Remediation and Circular Chemistry
by Muhammad Qasim, Sidra Manzoor, Muhammad Ikram Nabeel, Sabir Hussain, Raja Waqas, Collin G. Joseph and Jonathan Suazo-Hernández
Catalysts 2025, 15(12), 1168; https://doi.org/10.3390/catal15121168 - 15 Dec 2025
Viewed by 480
Abstract
High-valent metal species (iron, manganese, cobalt, copper, and ruthenium) based advanced oxidation processes (AOPs) have emerged as sustainable technologies for water remediation. These processes offer high selectivity, electron transfer efficiency, and compatibility with circular chemistry principles compared to conventional systems. This comprehensive review [...] Read more.
High-valent metal species (iron, manganese, cobalt, copper, and ruthenium) based advanced oxidation processes (AOPs) have emerged as sustainable technologies for water remediation. These processes offer high selectivity, electron transfer efficiency, and compatibility with circular chemistry principles compared to conventional systems. This comprehensive review discusses recent advances in the synthesis, stabilization, and catalytic applications of high-valent metals in aqueous environments. This study highlights their dual functionality, not only as conventional oxidants but also as mechanistic mediators within redox cycles that underpin next-generation AOPs. In this review, the formation mechanisms of these species in various oxidant systems are critically evaluated, highlighting the significance of ligand design, supramolecular confinement, and single-atom engineering in enhancing their stability. The integration of high-valent metal-based AOPs into photocatalysis, sonocatalysis, and electrochemical regeneration is explored through a newly proposed classification framework, highlighting their potential in the development of energy efficient hybrid systems. In addition, this work addresses the critical yet underexplored area of environmental fate, elucidating the post-oxidation transformation pathways of high-valent species, with particular attention to their implications for metal recovery and nutrient valorization. This review highlights the potential of high-valent metal-based AOPs as a promising approach for zero wastewater treatment within circular economies. Future frontiers, including bioinspired catalyst design, machine learning-guided optimization, and closed loop reactor engineering, will bridge the gap between laboratory research and real-world applications. Full article
(This article belongs to the Topic Wastewater Treatment Based on AOPs, ARPs, and AORPs)
Show Figures

Graphical abstract

17 pages, 7561 KB  
Article
Fine-Grained Image Recognition with Bio-Inspired Gradient-Aware Attention
by Bing Ma, Junyi Li, Zhengbei Jin, Wei Zhang, Xiaohui Song and Beibei Jin
Biomimetics 2025, 10(12), 834; https://doi.org/10.3390/biomimetics10120834 - 12 Dec 2025
Viewed by 344
Abstract
Fine-grained image recognition is one of the key tasks in the field of computer vision. However, due to subtle inter-class differences and significant intra-class differences, it still faces severe challenges. Conventional approaches often struggle with background interference and feature degradation. To address these [...] Read more.
Fine-grained image recognition is one of the key tasks in the field of computer vision. However, due to subtle inter-class differences and significant intra-class differences, it still faces severe challenges. Conventional approaches often struggle with background interference and feature degradation. To address these issues, we draw inspiration from the human visual system, which adeptly focuses on discriminative regions, to propose a bio-inspired gradient-aware attention mechanism. Our method explicitly models gradient information to guide the attention, mimicking biological edge sensitivity, thereby enhancing the discrimination between global structures and local details. Experiments on the CUB-200-2011, iNaturalist2018, nabbirds and Stanford Cars datasets demonstrated the superiority of our method, achieving Top-1 accuracy rates of 92.9%, 90.5%, 93.1% and 95.1%, respectively. Full article
(This article belongs to the Special Issue Biologically Inspired Vision and Image Processing 2025)
Show Figures

Figure 1

24 pages, 4981 KB  
Article
Propulsive Force Characterization of a Bio-Robotic Sea Lion Foreflipper: A Kinematic Basis for Agile Propulsion
by Anthony Drago, Nicholas Marcouiller, Shraman Kadapa, Frank E. Fish and James L. Tangorra
Biomimetics 2025, 10(12), 831; https://doi.org/10.3390/biomimetics10120831 - 12 Dec 2025
Viewed by 235
Abstract
Unmanned underwater vehicles (UUVs) capable of agile, high-speed maneuvering in complex environments require propulsion systems that can dynamically modulate three-dimensional forces. The California sea lion (Zalophus californianus) provides an exceptional biological model, using its foreflippers to achieve rapid turns and powerful [...] Read more.
Unmanned underwater vehicles (UUVs) capable of agile, high-speed maneuvering in complex environments require propulsion systems that can dynamically modulate three-dimensional forces. The California sea lion (Zalophus californianus) provides an exceptional biological model, using its foreflippers to achieve rapid turns and powerful propulsion. However, the specific kinematic mechanisms that govern instantaneous force generation from its powerful foreflippers remain poorly quantified. This study experimentally characterizes the time-varying thrust and lift produced by a bio-robotic sea lion foreflipper to determine how flipper twist, sweep, and phase overlap modulate propulsive forces. A three-degree-of-freedom bio-robotic flipper with a simplified, low-aspect-ratio planform and single compliant hinge was tested in a circulating flow tank, executing parameterized power and paddle strokes in both isolated and combined-phase trials. The time-resolved force data reveal that the propulsive stroke functions as a tunable hybrid system. The power phase acts as a force-vectoring mechanism, where the flipper’s twist angle reorients the resultant vector: thrust is maximized in a broad, robust range peaking near 45°, while lift increases monotonically to 90°. The paddle phase operates as a flow-insensitive, geometrically driven thruster, where twist angle (0° optimal) regulates thrust by altering the presented surface area. In the full stroke, a temporal-phase overlap governs thrust augmentation, while the power-phase twist provides robust steering control. Within the tested inertial flow regime (Re ≈ 104–105), this control map is highly consistent with propulsion dominated by geometric momentum redirection and impulse timing, rather than circulation-based lift. These findings establish a practical, experimentally derived control map linking kinematic inputs to propulsive force vectors, providing a foundation for the design and control of agile, bio-inspired underwater vehicles. Full article
Show Figures

Graphical abstract

23 pages, 1890 KB  
Review
Cell-Mediated and Peptide-Based Delivery Systems: Emerging Frontiers in Targeted Therapeutics
by Eszter Erdei, Ruth Deme, Balázs Balogh and István M. Mándity
Pharmaceutics 2025, 17(12), 1597; https://doi.org/10.3390/pharmaceutics17121597 - 11 Dec 2025
Viewed by 526
Abstract
Background/Objectives: Cell-mediated and peptide-assisted delivery systems have emerged as powerful platforms at the intersection of chemistry, nanotechnology, and molecular medicine. By leveraging the intrinsic targeting, transport, and signaling capacities of living cells and bioinspired peptides, these systems facilitate the delivery of therapeutic agents [...] Read more.
Background/Objectives: Cell-mediated and peptide-assisted delivery systems have emerged as powerful platforms at the intersection of chemistry, nanotechnology, and molecular medicine. By leveraging the intrinsic targeting, transport, and signaling capacities of living cells and bioinspired peptides, these systems facilitate the delivery of therapeutic agents across otherwise restrictive biological barriers such as the blood–brain barrier (BBB) and the tumor microenvironment. This review aims to summarize recent advances in engineered cell carriers, peptide vectors, and hybrid nanostructures designed for enhanced intracellular and tissue-specific delivery. Methods: We surveyed recent literature covering molecular design principles, mechanistic studies, and in vitro/in vivo evaluations of cell-mediated and peptide-enabled delivery platforms. Emphasis was placed on neuro-oncology, immunotherapy, and regenerative medicine, with particular focus on uptake pathways, endosomal escape mechanisms, and structure–function relationships. Results: Analysis of current strategies reveals significant progress in optimizing cell-based transport systems, peptide conjugates, and multifunctional nanostructures for the targeted delivery of drugs, nucleic acids, and immunomodulatory agents. Key innovations include improved BBB penetration, enhanced tumor homing, and more efficient cytosolic delivery enabled by advanced peptide designs and engineered cellular carriers. Several platforms have progressed toward clinical translation, underscoring their therapeutic potential. Conclusions: Cell-mediated and peptide-assisted delivery technologies represent a rapidly evolving frontier with broad relevance to next-generation therapeutics. Despite notable advances, challenges remain in scalability, manufacturing, safety, and regulatory approval. Continued integration of chemical design, molecular engineering, and translational research will be essential to fully realize the clinical impact of these delivery systems. Full article
(This article belongs to the Special Issue Biomimetic Nanoparticles for Disease Treatment and Diagnosis)
Show Figures

Figure 1

Back to TopTop