Sign in to use this feature.

Years

Between: -

Subjects

remove_circle_outline
remove_circle_outline
remove_circle_outline
remove_circle_outline
remove_circle_outline
remove_circle_outline
remove_circle_outline
remove_circle_outline

Journals

Article Types

Countries / Regions

Search Results (15)

Search Parameters:
Keywords = Beerkan method

Order results
Result details
Results per page
Select all
Export citation of selected articles as:
17 pages, 1535 KB  
Article
A Comparison of Three Methodologies for Determining Soil Infiltration Capacity in Thicketized Oak Woodlands and Adjacent Grasslands
by Furkan Atalar, Pedro A. M. Leite and Bradford P. Wilcox
Water 2025, 17(4), 518; https://doi.org/10.3390/w17040518 - 12 Feb 2025
Cited by 2 | Viewed by 1898
Abstract
This study had two primary objectives: (1) to determine relative differences in soil infiltration capacity between native grasslands and thicketized oak woodlands and (2) to compare the effectiveness of three infiltration measurement techniques—rainfall simulation, an automated Simplified Steady Beerkan Infiltration (SSBI) method, and [...] Read more.
This study had two primary objectives: (1) to determine relative differences in soil infiltration capacity between native grasslands and thicketized oak woodlands and (2) to compare the effectiveness of three infiltration measurement techniques—rainfall simulation, an automated Simplified Steady Beerkan Infiltration (SSBI) method, and the Saturo dual-head infiltrometer. The study was conducted at three sites with clay, loamy sand, and sandy soils. Rainfall simulation captured significant infiltration differences between vegetation covers at all three sites, while SSBI did so at two sites, and Saturo failed to detect significant differences. Consistent with past studies, rainfall simulation results showed significantly higher infiltration capacity in thicketized woodlands compared to adjacent grasslands, with mean infiltration capacity an order of magnitude greater in clay soils (67 mm h−1 vs. 7.5 mm h−1) and more than twice as high in sandy (144.5 mm h−1 vs. 69 mm h−1) and loamy sand (106 mm h−1 vs. 49 mm h−1) soils. Across sites, rainfall simulation and SSBI showed strong positive correlations between infiltration capacity and dead biomass (R2 = 0.74 and 0.46, respectively; p < 0.001 for both), as well as significant negative correlations with live biomass and bulk density. In contrast, the Saturo method exhibited higher variability, overestimating infiltration capacity by an average of 34.3 mm h−1 compared to rainfall simulation, and did not capture significant relationships with biomass or bulk density. Our findings have twofold importance: first, they demonstrate that thicketization of oak savannahs results in higher soil infiltration capacity; and second, they show that for determining soil infiltration capacity, the SSBI methodology is an accurate and practical alternative to the labor-intensive rainfall simulation. Full article
(This article belongs to the Special Issue Advances in Ecohydrology in Arid Inland River Basins)
Show Figures

Figure 1

22 pages, 2487 KB  
Article
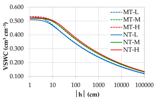
Applying a Comprehensive Model for Single-Ring Infiltration: Assessment of Temporal Changes in Saturated Hydraulic Conductivity and Physical Soil Properties
by Mirko Castellini, Simone Di Prima, Luisa Giglio, Rita Leogrande, Vincenzo Alagna, Dario Autovino, Michele Rinaldi and Massimo Iovino
Water 2024, 16(20), 2950; https://doi.org/10.3390/w16202950 - 16 Oct 2024
Cited by 2 | Viewed by 1676
Abstract
Modeling agricultural systems, from the point of view of saving and optimizing water, is a challenging task, because it may require multiple soil physical and hydraulic measurements to investigate the entire crop cycle. The Beerkan method was proposed as a quick and easy [...] Read more.
Modeling agricultural systems, from the point of view of saving and optimizing water, is a challenging task, because it may require multiple soil physical and hydraulic measurements to investigate the entire crop cycle. The Beerkan method was proposed as a quick and easy approach to estimate the saturated soil hydraulic conductivity, Ks. In this study, a new complete three-dimensional model for Beerkan experiments recently proposed was used. It consists of thirteen different calculation approaches that differ in estimating the macroscopic capillary length, initial (θi) and saturated (θs) soil water contents, use transient or steady-state infiltration data, and different fitting methods to transient data. A steady-state version of the simplified method based on a Beerkan infiltration run (SSBI) was used as the benchmark. Measurements were carried out on five sampling dates during a single growing season (from November to June) in a long-term experiment in which two soil management systems were compared, i.e., minimum tillage (MT) and no tillage (NT). The objectives of this work were (i) to test the proposed new model and calculation approaches under real field conditions, (ii) investigate the impact of MT and NT on soil properties, and (iii) obtain information on the seasonal variability of Ks and other main soil physical properties (θi, soil bulk density, ρb, and water retention curve) under MT and NT. The results showed that the model always overestimated Ks compared to SSBI. Indeed, the estimated Ks differed by a factor of 11 when the most data demanding (A1) approach was considered by a factor of 4–8, depending on the transient or steady-state phase use, when A3 was considered and by a practically negligible factor of 1.0–1.9 with A4. A relatively higher seasonal variability was detected for θi at the MT than NT system. Under both MT and NT, ρb did not change between November and April but increased significantly until the end of the season. The selected calculation approaches provided substantially coherent information on Ks seasonal evolution. Regardless of the approach, the results showed a temporal stability of Ks at least from early April to June under NT; conversely, the MT system was, overall, more affected by temporal changes with a relative stability at the beginning and middle of the season. These findings suggest that a common sampling time for determining Ks could be set at early spring. Soil management affected the soil properties, because the NT system was significantly wetter and more compact than MT on four out of five dates. However, only NT showed a significantly increasing correlation between Ks and the modal pore diameter, suggesting the presence of a relatively smaller and better interconnected pore network in the no-tilled soil. This study confirms the need to test infiltration models under real field conditions to evaluate their pros and cons. The Beerkan method was effective for intensive soil sampling and accurate field investigations on the temporal variability of Ks. Full article
(This article belongs to the Special Issue Soil Dynamics and Water Resource Management)
Show Figures

Figure 1

15 pages, 2753 KB  
Article
Assessing Soil Physical Quality in a Layered Agricultural Soil: A Comprehensive Approach Using Infiltration Experiments and Time-Lapse Ground-Penetrating Radar Surveys
by Simone Di Prima, Gersende Fernandes, Maria Burguet, Ludmila Ribeiro Roder, Vittoria Giannini, Filippo Giadrossich, Laurent Lassabatere and Alessandro Comegna
Appl. Sci. 2024, 14(20), 9268; https://doi.org/10.3390/app14209268 - 11 Oct 2024
Cited by 1 | Viewed by 2019
Abstract
Time-lapse ground-penetrating radar (GPR) surveys, combined with automated infiltration experiments, provide a non-invasive approach for investigating the distribution of infiltrated water within the soil medium and creating three-dimensional images of the wetting bulb. This study developed and validated an experimental protocol aimed at [...] Read more.
Time-lapse ground-penetrating radar (GPR) surveys, combined with automated infiltration experiments, provide a non-invasive approach for investigating the distribution of infiltrated water within the soil medium and creating three-dimensional images of the wetting bulb. This study developed and validated an experimental protocol aimed at quantifying and visualizing water distribution fluxes in layered soils under both unsaturated and saturated conditions. The 3D images of the wetting bulb significantly enhanced the interpretation of infiltration data, enabling a detailed analysis of water movement through the layered system. We used the infiltrometer data and the Beerkan Estimation of Soil Transfer parameters (BEST) method to determine soil capacitive indicators and evaluate the physical quality of the upper soil layer. The field survey involved conducting time-lapse GPR surveys alongside infiltration experiments between GPR repetitions. These experiments included both tension and ponding tests, designed to sequentially activate the soil matrix and the full pore network. The results showed that the soil under study exhibited significant soil aeration and macroporosity (represented by AC and pMAC), while indicators related to microporosity (such as PAWC and RFC) were notably low. The RFC value of 0.55 m3 m−3 indicated the soil’s limited capacity to retain water relative to its total pore volume. The PAWC value of 0.10 m3 m−3 indicated a scarcity of micropores ranging from 0.2 to 30 μm in diameter, which typically hold water accessible to plant roots within the total porosity. The saturated soil hydraulic conductivity, Ks, values ranged from 192.2 to 1031.0 mm h−1, with a mean of 424.4 mm h−1, which was 7.9 times higher than the corresponding unsaturated hydraulic conductivity measured at a pressure head of h = −30 mm (K−30). The results indicated that the upper soil layer supports root proliferation and effectively drains excess water to the underlying limestone layer. However, this layer has limited capacity to store and supply water to plant roots and acts as a restrictive barrier, promoting non-uniform downward water movement, as revealed by the 3D GPR images. The observed difference in hydraulic conductivity between the two layers suggests that surface ponding and overland flow are generated through a saturation excess mechanism. Water percolating through the soil can accumulate above the limestone layer, creating a shallow perched water table. During extreme rainfall events, this water table may rise, leading to the complete saturation of the soil profile. Full article
Show Figures

Figure 1

18 pages, 2118 KB  
Article
Using Beerkan Procedure to Estimate Hydraulic Soil Properties under Long Term Agroecosystems Experiments
by Lorenzo Vergni, Grazia Tosi, Jennifer Bertuzzi, Giulia Rossi, Michela Farneselli, Giacomo Tosti, Francesco Tei, Alberto Agnelli and Francesca Todisco
Appl. Sci. 2024, 14(9), 3817; https://doi.org/10.3390/app14093817 - 30 Apr 2024
Cited by 2 | Viewed by 1428
Abstract
The BEST (Beerkan Estimation of Soil Transfer parameters) method was used to compare the hydraulic properties of the soils in two Long-term Agroecosystem Experiments (LTAEs) located at the FIELDLAB experimental site of the University of Perugia (central Italy). The LTAE “NewSmoca” consists of [...] Read more.
The BEST (Beerkan Estimation of Soil Transfer parameters) method was used to compare the hydraulic properties of the soils in two Long-term Agroecosystem Experiments (LTAEs) located at the FIELDLAB experimental site of the University of Perugia (central Italy). The LTAE “NewSmoca” consists of a biennial maize-durum wheat crop rotation under integrated low-input cropping systems with (i) inversion soil tillage (INT) or (ii) no-tillage (INT+) and (iii) under an organic cropping system with inversion soil tillage (ORG). ORG and INT+ involve the use of autumn-sown cover crops (before the maize cycle). Pure stand durum wheat was grown in INT and INT+, while a faba bean–wheat temporary intercropping was implemented in ORG. The LTAE “Crop Rotation” consists of different crop rotations and residue management, a continuous soft winter wheat and biennial rotations of soft winter wheat with maize or faba bean. Each rotation is combined with two modes of crop residue management: removal or burial. For INT+, despite the high-bulk density (>1.50 g/cm3), we found that conductivity, sorptivity and available water are comparable to those of INT, probably due to a more structured and efficient micropore system. ORG soils show the highest conductivity, sorptivity and available water content values, probably due to the recent spring tillage occurring in the wheat inter-row with the faba bean incorporation into the soil. For LTAE Rotation, the residue burial seems to influence the capacity-based indicators positively. However, the differences in the removal treatment are minor, and this could be due to the inversion soil tillage, which limits the progressive accumulation of organic matter. Full article
Show Figures

Figure 1

20 pages, 3464 KB  
Article
Low Cost and Easy to Implement Physical and Hydrological Soil Assessment of Shade-Grown Coffee in Santa Rosa, Guatemala
by Marcelo Daniel Gerlach, Sergio Esteban Lozano-Baez, Mirko Castellini, Nery Guzman, Wilmer Andrés Gomez and Bayron Medina
Land 2023, 12(2), 390; https://doi.org/10.3390/land12020390 - 31 Jan 2023
Cited by 1 | Viewed by 2355
Abstract
Coffee agroecosystems are considered to have the potential to impact soil hydrological functions positively, such as water infiltration and soil moisture retention; however, it is not clear how hydrodynamic soil properties regenerate after land-use change and what easy to implement and low-cost indicators [...] Read more.
Coffee agroecosystems are considered to have the potential to impact soil hydrological functions positively, such as water infiltration and soil moisture retention; however, it is not clear how hydrodynamic soil properties regenerate after land-use change and what easy to implement and low-cost indicators there are. Common methodologies to assess soil hydraulic properties are time consuming and expensive. Therefore, the development of easy, robust, and inexpensive methodologies is one of the main steps in achieving a comprehensive understanding of the effects of land-use change on soil hydraulic and physical characteristics in time and space. In order to assess soil properties, we investigated the saturated hydraulic conductivity (Ks), and two micro-climatic indicators: soil volumetric water content (VWC) and temperature above (TAL) and below soil cover (TBL) in four land-use types: a thirty-year-old shade-grown coffee (CN); a seven-year-old shade-grown coffee (CP); a one-year-old shade-grown coffee (CC) as well as a non-commercial pasture (PR), in the municipality of Nueva Santa Rosa, Santa Rosa department, Guatemala. Additionally, we conducted a visual soil assessment (VSA) elaborated on by the Catholic Relief Services for coffee soils in Central America. We used the steady version of the simplified method based on a Beerkan Infiltration run (SSBI method) to obtain Ks values after determining historical land use. The SSBI methodology is thought to be a suitable compromise between measurement reliability, applicability, simplicity, and the necessity for repeated sampling in space and time. We also counted the number of shade trees, the canopy cover, vegetation height, soil cover, diameter at breast height, and total number of shade trees. Our findings contend that CN had the highest Ks values, indicating that shade trees have a positive impact on soil hydrological properties in shade-grown coffee agroecosystems. Additionally, CP had the highest VWC content and the greatest effect of leaf litter on soil temperature, indicating a positive impact of leaf litter on microclimatic conditions and soil moisture after seven years of agroforestry coffee plantation. The visual soil assessment suggested that CN had the highest score followed by CP, corroborating the results for Ks and VWC. The selected methodologies proved to be low cost and easy to implement. To counter shortcomings of these methodologies, we recommend monitoring infiltration in tropical land-use systems at regular intervals to better understand the temporal variability of infiltration recovery and ensure robust data in time and space. Full article
(This article belongs to the Section Land, Soil and Water)
Show Figures

Figure 1

15 pages, 1400 KB  
Article
Investigating the Spatial Structure of Soil Hydraulic Properties in a Long-Term Field Experiment Using the BEST Methodology
by Stefano Popolizio, Emanuele Barca, Mirko Castellini, Francesco F. Montesano and Anna Maria Stellacci
Agronomy 2022, 12(11), 2873; https://doi.org/10.3390/agronomy12112873 - 16 Nov 2022
Cited by 8 | Viewed by 2116
Abstract
Understanding the spatial structure of soil properties at field scale and introducing this information into appropriate data analysis methods can help in detecting the effects of different soil management practices and in supporting precision agriculture applications. The objectives of this study were: (i) [...] Read more.
Understanding the spatial structure of soil properties at field scale and introducing this information into appropriate data analysis methods can help in detecting the effects of different soil management practices and in supporting precision agriculture applications. The objectives of this study were: (i) assessing the spatial structure of soil physical and hydraulic properties in a long-term field experiment; (ii) defining a set of spatial indicators for gaining an integrated view of the studied system. In seventy-two georeferenced locations, soil bulk density (BD), initial volumetric soil water content (θi) and cumulative infiltration curve as function of the time (I(t)) were measured. The soil water retention curve (θ(h)) and the hydraulic conductivity function (K(h)) were then estimated using the Beerkan Estimation of Soil Transfer parameters (BEST) methodology. The volumetric soil water contents at soil matrix (h = −10 cm), field capacity (h = −100 cm) and wilting point (h = −15,300 cm) were considered. In addition, a set of capacitive indicators—plant available water capacity (PAWCe), soil macroporosity (PMACe), air capacity (ACe) and relative field capacity (RFCe)—were computed. The data were first analyzed for overall spatial dependence and then processed through variography for structural analysis and subsequent spatial interpolation. Cross-correlation analysis allowed for assessing the spatial relationships between selected physical and hydraulic properties. On average, optimal soil physical quality conditions were recorded; only PMACe values were indicative of non-optimal conditions, whereas mean values of all the other indicators (BD, Ks, PAWCe, ACe, RFCe) fell within optimal ranges. The exponential model was found to be the best function to describe the spatial variability of all the considered variables, except ACe. A good spatial dependence was found for most of the investigated variables and only BD, ACe and Ks showed a moderate autocorrelation. Ks was confirmed to be characterized by a relatively high spatial variability, and thus, to require a more intensive spatial sampling. An inverse spatial cross-correlation was observed between BD and Ks up to a distance of 10 m; significant cross-correlations were also recorded between Ks and PMACe and ACe. This result seems to suggest the possibility to use these soil physical quality indicators as covariates in predictive multivariate approaches. Full article
(This article belongs to the Section Precision and Digital Agriculture)
Show Figures

Figure 1

12 pages, 24039 KB  
Article
Contrasts in Top Soil Infiltration Processes for Degraded vs. Restored Lands. A Case Study at the Perijá Range in Colombia
by Sergio Esteban Lozano-Baez, Yamileth Domínguez-Haydar, Bob W. Zwartendijk, Miguel Cooper, Conrado Tobón and Simone Di Prima
Forests 2021, 12(12), 1716; https://doi.org/10.3390/f12121716 - 7 Dec 2021
Cited by 6 | Viewed by 3899
Abstract
Governments are increasingly committing to significant ecological restoration. However, the impacts of forest restoration on local hydrological services are surprisingly poorly understood. Particularly, limited information is available about the impacts of tree planting on soil infiltration processes and runoff pathways. Thus, we investigated [...] Read more.
Governments are increasingly committing to significant ecological restoration. However, the impacts of forest restoration on local hydrological services are surprisingly poorly understood. Particularly, limited information is available about the impacts of tree planting on soil infiltration processes and runoff pathways. Thus, we investigated the saturated hydraulic conductivity (Ks) and preferential flow pathways in three land-cover types: (i) Active Restoration, (ii) Degraded Land, and (iii) Reference Forest, with contrasting differences in soil profile and land use history in the municipality of La Jagua de Ibirico, César department, Colombia. We conducted soil sampling, using the Beerkan method to determine Ks values. We also measured vegetation attributes (i.e., canopy cover, vegetation height, diameter at breast height, and total number of trees) and carried out three dye tracer experiments for each study site. The blue dye experiments revealed that near surface matrix infiltration was dominant for Degraded Land, while at the Active Restoration and Reference Forest, this only occurred at local surface depressions. The general infiltration pattern at the three land uses is indicated as being macropore flow with mixed interaction with the matrix and highly affected by the presence of rock fragments. The deeper infiltration patterns occur by preferential flow due to the presence of roots and rock fragments. The mean Ks for the Active Restoration (240 mm h−1) was much higher than the Ks at Degraded Land (40 mm h−1) but still considerably lower than the Reference Forest (324 mm h−1). These results indicate that top soil infiltration capacity and soil physical parameters not only directly regulate the amount of infiltration but also infiltration patterns and runoff processes, leading to lower infiltration and increased excess overland flow for Degraded Land than for other land uses. Full article
(This article belongs to the Special Issue Forest Hydrology: Processes, Assessment and Management)
Show Figures

Figure 1

12 pages, 3485 KB  
Article
Shade-Grown Coffee in Colombia Benefits Soil Hydraulic Conductivity
by Sergio Esteban Lozano-Baez, Yamileth Domínguez-Haydar, Simone Di Prima, Miguel Cooper and Mirko Castellini
Sustainability 2021, 13(14), 7768; https://doi.org/10.3390/su13147768 - 12 Jul 2021
Cited by 8 | Viewed by 3788
Abstract
Secondary tropical forests and coffee agroforestry systems contain fewer trees than native forests but can positively impact soil hydrological functions, such as water infiltration compared to the pasture land that they replace. However, for both land uses it remains in how far the [...] Read more.
Secondary tropical forests and coffee agroforestry systems contain fewer trees than native forests but can positively impact soil hydrological functions, such as water infiltration compared to the pasture land that they replace. However, for both land uses it remains in how far the soil hydraulic characteristics are comparable to that of native forest. Therefore, we investigated the saturated hydraulic conductivity (Ks) and some hydrophysical soil attributes in four land-use types: (i) a shade-grown coffee; (ii) a natural regenerated forest 15 years ago; (iii) a pasture; and (iv) a reference forest, in the municipality of La Jagua de Ibirico, César department, Colombia. We determined historical land use and conducted soil sampling, using the Beerkan method to determine the Ks values. We also measured canopy cover, vegetation height, diameter at breast height and total number of trees in the forest covers. Our results indicate that Ks values were similar for the coffee and the reference forest, reflecting the positive effect of trees on soil hydrological functioning in agroforestry systems. Our results suggest that 15 years of forest regeneration after land abandonment in Sub-Andean Forest, can improve the soil hydraulic attributes. Additionally, soil water repellency was observed for the reference forest soil. Full article
Show Figures

Figure 1

16 pages, 2240 KB  
Article
The Mechanical Impact of Water Affected the Soil Physical Quality of a Loam Soil under Minimum Tillage and No-Tillage: An Assessment Using Beerkan Multi-Height Runs and BEST-Procedure
by Mirko Castellini, Anna Maria Stellacci, Danilo Sisto and Massimo Iovino
Land 2021, 10(2), 195; https://doi.org/10.3390/land10020195 - 15 Feb 2021
Cited by 7 | Viewed by 3050
Abstract
The multi-height (low, L = 3 cm; intermediate, M = 100 cm; high, H = 200 cm) Beerkan run methodology was applied on both a minimum tilled (MT) (i.e., up to a depth of 30 cm) and a no-tilled (NT) bare loam soil, [...] Read more.
The multi-height (low, L = 3 cm; intermediate, M = 100 cm; high, H = 200 cm) Beerkan run methodology was applied on both a minimum tilled (MT) (i.e., up to a depth of 30 cm) and a no-tilled (NT) bare loam soil, and the soil water retention curve was estimated by the BEST-steady algorithm. Three indicators of soil physical quality (SPQ), i.e., macroporosity (Pmac), air capacity (AC) and relative field capacity (RFC) were calculated to assess the impact of water pouring height under alternative soil management practices. Results showed that, compared to the reference low run, M and H runs affected both the estimated soil water retention curves and derived SPQ indicators. Generally, M–H runs significantly reduced the mean values of Pmac and AC and increased RFC for both MT and NT soil management practices. According to the guidelines for assessment of SPQ, the M and H runs: (i) worsened Pmac classification of both MT and NT soils; (ii) did not worsen AC classification, regardless of soil management parameters; (iii) worsened RFC classification of only NT soil, as a consequence of insufficient soil aeration. For both soil management techniques, a strong negative correlation was found between the Pmac and AC values and the gravitational potential energy, Ep, of the water used for the infiltration runs. A positive correlation was detected between RFC and Ep. The relationships were plausible from a soil physics point of view. NT soil has proven to be more resilient than MT. This study contributes toward testing simple and robust methods capable of quantifying soil degradation effects, due to intense rainfall events, under different soil management practices in the Mediterranean environment. Full article
Show Figures

Figure 1

15 pages, 1778 KB  
Article
Does the Process of Passive Forest Restoration Affect the Hydrophysical Attributes of the Soil Superficial Horizon?
by Nayana Alves Pereira, Simone Di Prima, Renata Cristina Bovi, Laura Fernanda Simões da Silva, Gustavo de Godoy, Rafaela Pereira Naves and Miguel Cooper
Water 2020, 12(6), 1689; https://doi.org/10.3390/w12061689 - 12 Jun 2020
Cited by 8 | Viewed by 3507
Abstract
There has been an increase in the area of secondary tropical forests in recent years due to forest restoration in degraded areas. Recent analyses suggest that the success of passive forest restoration is highly uncertain and needs to be better understood. This study [...] Read more.
There has been an increase in the area of secondary tropical forests in recent years due to forest restoration in degraded areas. Recent analyses suggest that the success of passive forest restoration is highly uncertain and needs to be better understood. This study aimed to investigate the behavior of saturated hydraulic conductivity (Ks) and some hydrophysical soil attributes between agricultural land uses, restored forests, and a degraded forest fragment. The areas evaluated are located in the municipality of Rio Claro, São Paulo, Brazil, under different types of land use: (i) two areas in the process of passive forest restoration: one of 18 and another of 42 years (NR18 and NR42); (ii) a degraded forest fragment (FFD); (iii) pasture (P), and (iv) sugarcane (SC). The hydraulic soil conductivity characterization was performed using the Beerkan method. Dry soil bulk density (BD), total porosity (Pt), macroporosity (Mac), microporosity (Mic), penetration resistance (PR), mean aggregate diameter (MWD), and soil organic carbon (OC) were also determined. The comparative analysis of the hydrophysical attributes of the soil superficial horizon in agricultural land uses (P and SC), restored forests (NR18 and NR42), and a degraded forest (DFF) confirms that the recovery of soil hydrological functioning in ongoing forest restoration processes can be a relatively slow process. In addition, the intensity of previous land use leaves footprints that can affect passive restoration areas for decades after agriculture abandonment, increasing the time for the recovery of Ks and soil hydrophysical attributes. Full article
Show Figures

Graphical abstract

14 pages, 2983 KB  
Article
Assessing Water Infiltration and Soil Water Repellency in Brazilian Atlantic Forest Soils
by Sergio Esteban Lozano-Baez, Miguel Cooper, Silvio Frosini de Barros Ferraz, Ricardo Ribeiro Rodrigues, Laurent Lassabatere, Mirko Castellini and Simone Di Prima
Appl. Sci. 2020, 10(6), 1950; https://doi.org/10.3390/app10061950 - 12 Mar 2020
Cited by 22 | Viewed by 4662
Abstract
This study presents the results of the soil hydraulic characterization performed under three land covers, namely pasture, 9-year-old restored forest, and remnant forest, in the Brazilian Atlantic Forest. Two types of infiltration tests were performed, namely tension (Mini-Disk Infiltrometer, MDI) and ponding (Beerkan) [...] Read more.
This study presents the results of the soil hydraulic characterization performed under three land covers, namely pasture, 9-year-old restored forest, and remnant forest, in the Brazilian Atlantic Forest. Two types of infiltration tests were performed, namely tension (Mini-Disk Infiltrometer, MDI) and ponding (Beerkan) tests. MDI and Beerkan tests provided complementary information, highlighting a clear increase of the hydraulic conductivity, especially at the remnant forest plots, when moving from near-saturated to saturated conditions. In addition, measuring the unsaturated soil hydraulic conductivity with different water pressure heads allowed the estimation of the macroscopic capillary length in the field. This approach, in conjunction with Beerkan measurements, allowed the design better estimates of the saturated soil hydraulic conductivity under challenging field conditions, such as soil water repellency (SWR). This research also reports, for the first time, evidence of SWR in the Atlantic Forest, which affected the early stage of the infiltration process with more frequency in the remnant forest. Full article
(This article belongs to the Special Issue Sustainable Agriculture and Soil Conservation)
Show Figures

Figure 1

19 pages, 2596 KB  
Article
Modelling Soil Water Dynamics from Soil Hydraulic Parameters Estimated by an Alternative Method in a Tropical Experimental Basin
by Bruno Silva Ursulino, Suzana Maria Gico Lima Montenegro, Artur Paiva Coutinho, Victor Hugo Rabelo Coelho, Diego Cezar dos Santos Araújo, Ana Cláudia Villar Gusmão, Severino Martins dos Santos Neto, Laurent Lassabatere and Rafael Angulo-Jaramillo
Water 2019, 11(5), 1007; https://doi.org/10.3390/w11051007 - 14 May 2019
Cited by 28 | Viewed by 8377
Abstract
Knowledge about soil moisture dynamics and their relation with rainfall, evapotranspiration, and soil physical properties is fundamental for understanding the hydrological processes in a region. Given the difficulties of measurement and the scarcity of surface soil moisture data in some places such as [...] Read more.
Knowledge about soil moisture dynamics and their relation with rainfall, evapotranspiration, and soil physical properties is fundamental for understanding the hydrological processes in a region. Given the difficulties of measurement and the scarcity of surface soil moisture data in some places such as Northeast Brazil, modelling has become a robust tool to overcome such limitations. This study investigated the dynamics of soil water content in two plots in the Gameleira Experimental River Basin, Northeast Brazil. For this, Time Domain Reflectometry (TDR) probes and Hydrus-1D for modelling one-dimensional flow were used in two stages: with hydraulic parameters estimated with the Beerkan Estimation of Soil Transfer Parameters (BEST) method and optimized by inverse modelling. The results showed that the soil water content in the plots is strongly influenced by rainfall, with the greatest variability in the dry–wet–dry transition periods. The modelling results were considered satisfactory with the data estimated by the BEST method (Root Mean Square Errors, RMSE = 0.023 and 0.022 and coefficients of determination, R2 = 0.72 and 0.81) and after the optimization (RMSE = 0.012 and 0.020 and R2 = 0.83 and 0.72). The performance analysis of the simulations provided strong indications of the efficiency of parameters estimated by BEST to predict the soil moisture variability in the studied river basin without the need for calibration or complex numerical approaches. Full article
(This article belongs to the Special Issue Soil Hydrology for a Sustainable Land Management: Theory and Practice)
Show Figures

Figure 1

17 pages, 4093 KB  
Article
Hydrodynamic Characterization of Sustainable Urban Drainage Systems (SuDS) by Using Beerkan Infiltration Experiments
by Sofia Bouarafa, Laurent Lassabatere, Gislain Lipeme-Kouyi and Rafael Angulo-Jaramillo
Water 2019, 11(4), 660; https://doi.org/10.3390/w11040660 - 30 Mar 2019
Cited by 15 | Viewed by 4986
Abstract
Stormwater management techniques in urban areas, such as sustainable urban drainage systems (SuDS), are designed to manage rainwater through an infiltration process. In order to determine the infiltration capacities of different SuDS and to identify their unsaturated hydraulic properties, measurements with the Beerkan [...] Read more.
Stormwater management techniques in urban areas, such as sustainable urban drainage systems (SuDS), are designed to manage rainwater through an infiltration process. In order to determine the infiltration capacities of different SuDS and to identify their unsaturated hydraulic properties, measurements with the Beerkan method (i.e., single ring infiltration tests) were carried out on four types of common infiltration structures in an urban zone of Lyon (France): A drainage ditch with an underlying storage structure, a parking lot with a waterproof pavement that transfers runoff water toward the ditch, a vegetated hollow core slab, and an embankment of a grass-covered garden that was used as a reference for rainwater infiltration capacity. The novelty of this study lies in the use of three Beerkan estimation of soil transfer parameters (BEST) algorithms: BEST-slope, BEST-intercept, and BEST-steady to analyze infiltration data. The BEST methods are based on the analysis of the infiltration rate from transient to steady-state flow. They allow the determination of both shape and scale parameters of the soil water retention curve h(θ) and the hydraulic conductivity curve K(θ). The three BEST methods are efficient and simple for hydraulic characterization of SuDS. The study of the hydrodynamic behavior of the four structures revealed the infiltration inefficiency of some of them. Their average infiltration rates are considerably lower than the reference infiltration rain garden. The results confirmed the impact of some physical conditions, such as pore structure modification due to invasive vegetation colonization and the presence of soil organic matter, on soil hydrodynamic behavior degradation. Full article
(This article belongs to the Special Issue Soil Hydrology for a Sustainable Land Management: Theory and Practice)
Show Figures

Figure 1

18 pages, 3471 KB  
Article
Recovery of Soil Hydraulic Properties for Assisted Passive and Active Restoration: Assessing Historical Land Use and Forest Structure
by Sergio Esteban Lozano-Baez, Miguel Cooper, Silvio Frosini de Barros Ferraz, Ricardo Ribeiro Rodrigues, Mirko Castellini and Simone Di Prima
Water 2019, 11(1), 86; https://doi.org/10.3390/w11010086 - 7 Jan 2019
Cited by 27 | Viewed by 7378
Abstract
Tree planting and natural regeneration are the main approaches to achieve global forest restoration targets, affecting multiple hydrological processes, such as infiltration of rainfall. Our understanding of the effect of land use history and vegetation on the recovery of water infiltration and soil [...] Read more.
Tree planting and natural regeneration are the main approaches to achieve global forest restoration targets, affecting multiple hydrological processes, such as infiltration of rainfall. Our understanding of the effect of land use history and vegetation on the recovery of water infiltration and soil attributes in both restoration strategies is limited. Therefore, we investigated the recovery of top-soil saturated soil hydraulic conductivity (Ks), soil physical and hydraulic properties in five land use types: (i) a secondary old-growth forest; (ii) a forest established through assisted passive restoration 11 years ago; (iii) an actively restored forest, with a more intensive land use history and 11 years of age; (iv) a pasture with low-intensity use; and (v) a pasture with high-intensity use, in the Brazilian Atlantic Forest. For these land use types, we determined the historical land use patterns and conducted soil sampling, using the Beerkan method to determine Ks values in the field. We also measured tree basal area, canopy cover, vegetation height, tree density and species richness in forest covers. The Ks decreased when land use was more intense prior to forest restoration actions. Our results indicate that land use legacy is a crucial factor to explain the current difference in soil and vegetation attributes among study sites. Full article
(This article belongs to the Special Issue Soil Hydrology for a Sustainable Land Management: Theory and Practice)
Show Figures

Figure 1

16 pages, 7100 KB  
Article
Previous Land Use Affects the Recovery of Soil Hydraulic Properties after Forest Restoration
by Sergio E. Lozano-Baez, Miguel Cooper, Silvio F. B. Ferraz, Ricardo Ribeiro Rodrigues, Mario Pirastru and Simone Di Prima
Water 2018, 10(4), 453; https://doi.org/10.3390/w10040453 - 9 Apr 2018
Cited by 31 | Viewed by 7114
Abstract
Knowledge of soil hydraulic properties after forest restoration is essential for understanding the recovery of hydrological processes, such as water infiltration. An increase of forest cover may improve water infiltration and soil hydraulic properties, but little is known about the response and extent [...] Read more.
Knowledge of soil hydraulic properties after forest restoration is essential for understanding the recovery of hydrological processes, such as water infiltration. An increase of forest cover may improve water infiltration and soil hydraulic properties, but little is known about the response and extent to which forest restoration can affect these properties. The purpose of this study was to investigate the effect of forest restoration on surface-saturated soil hydraulic conductivity (Ks), and to verify the Ks recovery to the pre-disturbance soil conditions. We sampled field Ks at the surface in Campinas municipality, São Paulo State, Brazil, at 18 plots under three land-cover types: (i) a pasture; (ii) a restored forest using a high-diversity mix of plantings (85 regional native species) of 9 years of age; and (iii) a remnant forest patch. We used the Beerkan method for soil hydraulic characterization. Bulk density (ρb), soil organic carbon content (OC), soil porosity and particle size data were also sampled. We found considerable differences in soil hydraulic properties between land-cover classes. The highest Ks were observed in remnant forest sites and the lowest Ks were associated with pasture sites. The Ks recovery differs markedly between restored forests. Our results strongly suggest that soil attributes and Ks recovery are influenced by the duration and intensity of land use prior to forest restoration. Attention needs to be given to management activities before, during and after forest restoration, especially where the soil is still compacted and Ks is low. Full article
(This article belongs to the Special Issue Soil Water Conservation: Dynamics and Impact)
Show Figures

Figure 1

Back to TopTop