A Comparison of Three Methodologies for Determining Soil Infiltration Capacity in Thicketized Oak Woodlands and Adjacent Grasslands
Abstract
1. Introduction
2. Study Sites
3. Materials and Methods
3.1. Experimental Design
3.2. Infiltration Capacity Measurement Methods and Instruments
3.2.1. Rainfall Simulation Method
3.2.2. Automated Simplified Steady Beerkan Infiltration (SSBI) Method
3.2.3. Saturo Method
3.3. Additional Data
3.4. Data Analysis
4. Results
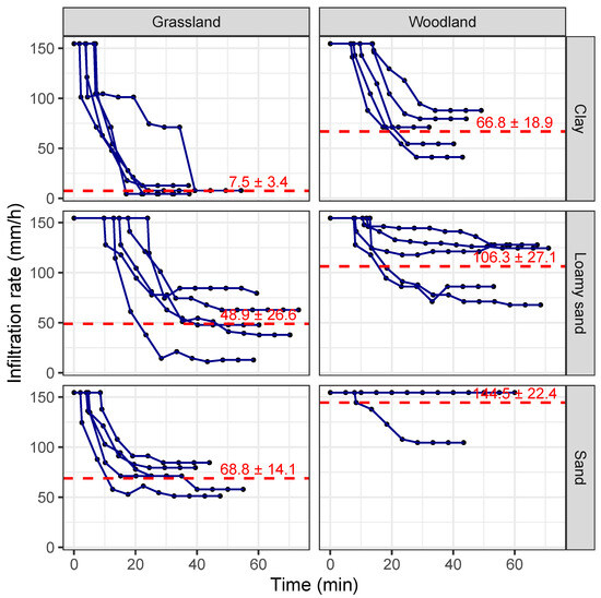
4.1. Rainfall Simulation Method
4.2. Automated SSBI Method
4.3. Saturo Method
4.4. Influence of Biomass and Bulk Density on Infiltration Capacity
4.5. Differences Among Methodologies
5. Discussion
5.1. Effects of Thicketization on Soil Infiltration Capacity
5.2. Comparison of Methodologies
6. Summary and Conclusions
Author Contributions
Funding
Data Availability Statement
Conflicts of Interest
References
- Scifres, C.J.; Kelly, D. Range Vegetation Response to Burning Thicketized Live Oak Savannah. In Texas FARMER Collection; Texas Agricultural Experiment Station: Weslaco, TX, USA, 1979. [Google Scholar]
- Dyksterhuis, E. The Savannah Concept and Its Use. Ecology 1957, 38, 435–442. [Google Scholar] [CrossRef]
- Basant, S.; Wilcox, B.P.; Parada, C.; Wyatt, B.M.; Newman, B.D. Thicketized Oak Woodlands Reduce Groundwater Recharge. Sci. Total Environ. 2023, 862, 160811. [Google Scholar] [CrossRef] [PubMed]
- Olariu, H.G.; Wilcox, B.P.; Popescu, S.C. Examining Changes in Woody Vegetation Cover in a Human-Modified Temperate Savanna in Central Texas between 1996 and 2022 Using Remote Sensing. Front. For. Glob. Change 2024, 7, 1396999. [Google Scholar] [CrossRef]
- Acharya, B.S.; Hao, Y.; Ochsner, T.E.; Zou, C.B. Woody Plant Encroachment Alters Soil Hydrological Properties and Reduces Downward Flux of Water in Tallgrass Prairie. Plant Soil 2017, 414, 379–391. [Google Scholar] [CrossRef]
- Zou, C.B.; Turton, D.J.; Will, R.E.; Engle, D.M.; Fuhlendorf, S.D. Alteration of Hydrological Processes and Streamflow with Juniper (Juniperus virginiana) Encroachment in a Mesic Grassland Catchment. Hydrol. Process. 2014, 28, 6173–6182. [Google Scholar] [CrossRef]
- Qiao, L.; Zou, C.B.; Will, R.E.; Stebler, E. Calibration of SWAT Model for Woody Plant Encroachment Using Paired Experimental Watershed Data. J. Hydrol. 2015, 523, 231–239. [Google Scholar] [CrossRef]
- Hillel, D. Soil and Water: Physical Principles and Processes; Elsevier: Amsterdam, The Netherlands, 2012; ISBN 0-323-15670-3. [Google Scholar]
- Ding, J.; Eldridge, D.J. Contrasting Global Effects of Woody Plant Removal on Ecosystem Structure, Function and Composition. Perspect. Plant Ecol. Evol. Syst. 2019, 39, 125460. [Google Scholar] [CrossRef]
- Eldridge, D.J.; Maestre, F.T.; Maltez-Mouro, S.; Bowker, M.A. A Global Database of Shrub Encroachment Effects on Ecosystem Structure and Functioning: Ecological Archives E093-234. Ecology 2012, 93, 2499. [Google Scholar] [CrossRef]
- Bargués Tobella, A.; Reese, H.; Almaw, A.; Bayala, J.; Malmer, A.; Laudon, H.; Ilstedt, U. The Effect of Trees on Preferential Flow and Soil Infiltrability in an Agroforestry Parkland in Semiarid Burkina Faso. Water Resour. Res. 2014, 50, 3342–3354. [Google Scholar] [CrossRef]
- Basant, S.; Wilcox, B.P.; Leite, P.M.; Morgan, C.L. When Savannas Recover from Overgrazing, Ecohydrological Connectivity Collapses. Environ. Res. Lett. 2020, 15, 054001. [Google Scholar] [CrossRef]
- Leite, P.A.M.; Wilcox, B.P.; McInnes, K.J. Woody Plant Encroachment Enhances Soil Infiltrability of a Semiarid Karst Savanna. Environ. Res. Commun. 2020, 2, 115005. [Google Scholar] [CrossRef]
- Wu, G.-L.; Cui, Z.; Huang, Z. Contribution of Root Decay Process on Soil Infiltration Capacity and Soil Water Replenishment of Planted Forestland in Semi-Arid Regions. Geoderma 2021, 404, 115289. [Google Scholar] [CrossRef]
- Thompson, S.E.; Harman, C.J.; Heine, P.; Katul, G.G. Vegetation-infiltration Relationships across Climatic and Soil Type Gradients. J. Geophys. Res. 2010, 115, 2009JG001134. [Google Scholar] [CrossRef]
- Wilcox, B.P.; Wood, M.K.; Tromble, J.M. Factors Influencing Infiltrability of Semiarid Mountain Slopes. J. Range Manag. 1988, 41, 197. [Google Scholar] [CrossRef]
- Cerda, A.; Schnabel, S.; Ceballos, A.; Gomez-Amelia, D. Soil Hydrological Response under Simulated Rainfall in the Dehesa Land System (Extremadura, SW Spain) under Drought Conditions. Earth Surf. Process. Landf. 1998, 23, 195–209. [Google Scholar] [CrossRef]
- Leite, P.A.M.; de Souza, E.S.; dos Santos, E.S.; Gomes, R.J.; Cantalice, J.R.; Wilcox, B.P. The Influence of Forest Regrowth on Soil Hydraulic Properties and Erosion in a Semiarid Region of Brazil. Ecohydrology 2018, 11, e1910. [Google Scholar] [CrossRef]
- Seyfried, M.S. Infiltration Patterns from Simulated Rainfall on a Semiarid Rangeland Soil. Soil Sci. Soc. Am. J. 1991, 55, 1726–1734. [Google Scholar] [CrossRef]
- Taucer, P.I.; Munster, C.L.; Wilcox, B.P.; Owens, M.K.; Mohanty, B.P. Large-Scale Rainfall Simulation Experiments on Juniper Rangelands. Trans. ASABE 2008, 51, 1951–1961. [Google Scholar] [CrossRef]
- Williams, C.J.; Pierson, F.B.; Kormos, P.R.; Al-Hamdan, O.Z.; Nouwakpo, S.K.; Weltz, M.A. Vegetation, Hydrologic, and Erosion Responses of Sagebrush Steppe 9 Yr Following Mechanical Tree Removal. Rangel. Ecol. Manag. 2019, 72, 47–68. [Google Scholar] [CrossRef]
- Gupta, R.K.; Rudra, R.P.; Dickinson, W.T.; Patni, N.K.; Wall, G.J. Comparison of Saturated Hydraulic Conductivity Measured by Various Field Methods. Trans. ASAE 1993, 36, 51–55. [Google Scholar] [CrossRef]
- Vlček, L.; Šípek, V.; Zelíková, N.; Čáp, P.; Kincl, D.; Vopravil, J. Water Retention and Infiltration Affected by Conventional and Conservational Tillage on a Maize Plot; Rainfall Simulator and Infiltrometer Comparison Study. Agric. Water Manag. 2022, 271, 107800. [Google Scholar] [CrossRef]
- Verbist, K.; Torfs, S.; Cornelis, W.M.; Oyarzún, R.; Soto, G.; Gabriels, D. Comparison of Single- and Double-Ring Infiltrometer Methods on Stony Soils. Vadose Zone J. 2010, 9, 462–475. [Google Scholar] [CrossRef]
- Lassabatère, L.; Angulo-Jaramillo, R.; Soria Ugalde, J.M.; Cuenca, R.; Braud, I.; Haverkamp, R. Beerkan Estimation of Soil Transfer Parameters through Infiltration Experiments—BEST. Soil Sci. Soc. Am. J. 2006, 70, 521. [Google Scholar] [CrossRef]
- Angulo-Jaramillo, R.; Bagarello, V.; Di Prima, S.; Gosset, A.; Iovino, M.; Lassabatere, L. Beerkan Estimation of Soil Transfer Parameters (BEST) across Soils and Scales. J. Hydrol. 2019, 576, 239–261. [Google Scholar] [CrossRef]
- Di Prima, S. Automated Single Ring Infiltrometer with a Low-Cost Microcontroller Circuit. Comput. Electron. Agric. 2015, 118, 390–395. [Google Scholar] [CrossRef]
- Leite, P.A.M.; Di Prima, S.; Schmidt, L.M.; Wilcox, B.P. A Simple Infiltrometer Automated with a User-friendly Pressure Datalogger. Vadose Zone J. 2024, 23, e20366. [Google Scholar] [CrossRef]
- Wilcox, B.P.; Breshears, D.D.; Turin, H.J. Hydraulic Conductivity in a Piñon-Juniper Woodland: Influence of Vegetation. Soil Sci. Soc. Am. J. 2003, 67, 1243–1249. [Google Scholar] [CrossRef]
- Eldridge, D.J.; Wang, L.; Ruiz-Colmenero, M. Shrub Encroachment Alters the Spatial Patterns of Infiltration. Ecohydrology 2015, 8, 83–93. [Google Scholar] [CrossRef]
- Bagarello, V.; Di Prima, S.; Iovino, M. Estimating Saturated Soil Hydraulic Conductivity by the near Steady-State Phase of a Beerkan Infiltration Test. Geoderma 2017, 303, 70–77. [Google Scholar] [CrossRef]
- Bagarello, V.; David, S.M. Run Duration Effects on the Hydrodynamic Properties of a Loam Soil Estimated by Steady-State Infiltration Methods. J Agric. Eng. 2020, 51, 229–238. [Google Scholar] [CrossRef]
- Reynolds, W.D.; Elrick, D.E. Ponded Infiltration From a Single Ring: I. Analysis of Steady Flow. Soil Sci. Soc. Am. J. 1990, 54, 1233–1241. [Google Scholar] [CrossRef]
- Bagarello, V.; Iovino, M.; Lai, J.-B. Field and Numerical Tests of the Two-Ponding Depth Procedure for Analysis of Single-Ring Pressure Infiltrometer Data. Pedosphere 2013, 23, 779–789. [Google Scholar] [CrossRef]
- Lewis, J.; Amoozegar, A.; McLaughlin, R.A.; Heitman, J.L. Comparison of Cornell Sprinkle Infiltrometer and Double-ring Infiltrometer Methods for Measuring Steady Infiltration Rate. Soil Sci. Soc. Am. J 2021, 85, 1977–1984. [Google Scholar] [CrossRef]
- Naik, A.P.; Norbu, T.; Pekkat, S. Comparison of Flux-Based and Head-Based Methods for Determination of near-Surface Saturated Hydraulic Conductivity. Hydrol. Sci. J. 2024, 69, 275–293. [Google Scholar] [CrossRef]
- Di Prima, S.; Bagarello, V.; Lassabatere, L.; Angulo-Jaramillo, R.; Bautista, I.; Burguet, M.; Cerdà, A.; Iovino, M.; Prosdocimi, M. Comparing Beerkan Infiltration Tests with Rainfall Simulation Experiments for Hydraulic Characterization of a Sandy-Loam Soil. Hydrol. Process. 2017, 31, 3520–3532. [Google Scholar] [CrossRef]
- Blackburn, W.H.; Meeuwig, R.O.; Skau, C.M. A Mobile Infiltrometer for Use on Rangeland. Rangel. Ecol. Manag./J. Range Manag. Arch. 1974, 27, 322–323. [Google Scholar] [CrossRef]
- Leite, P.A.M.; Castellanos, A.E.; Wilcox, B.P.; Vega-Puga, M.; Martínez, E.; Dennis, S.; Choza, S.; Acuña-Acosta, D.M. Contrasting Effects of Native and Exotic Vegetation on Soil Infiltrability in the Sonoran Desert. Sci. Total Environ. 2022, 852, 158544. [Google Scholar] [CrossRef] [PubMed]
- McCalla, G.R.; Blackburn, W.H.; Merrill, L.B. Effects of Livestock Grazing on Infiltration Rates, Edwards Plateau of Texas. J. Range Manag. 1984, 37, 265. [Google Scholar] [CrossRef]
- Knight, R.W.; Blackburn, W.H.; Merrill, L.B. Characteristics of Oak Mottes, Edwards Plateau, Texas. J. Range Manag. 1984, 37, 534. [Google Scholar] [CrossRef]
- Wilcox, B.P.; Wilding, L.P.; Woodruff, C.M. Soil and Topographic Controls on Runoff Generation from Stepped Landforms in the Edwards Plateau of Central Texas. Geophys. Res. Lett. 2007, 34, L24S24. [Google Scholar] [CrossRef]
- White, I.; Sully, M.J.; Melville, M.D. Use and Hydrological Robustness of Time-to-Incipient-Ponding. Soil Sci. Soc. Am. J. 1989, 53, 1343–1346. [Google Scholar] [CrossRef]
- Di Prima, S.; Concialdi, P.; Lassabatere, L.; Angulo-Jaramillo, R.; Pirastru, M.; Cerdà, A.; Keesstra, S. Laboratory Testing of Beerkan Infiltration Experiments for Assessing the Role of Soil Sealing on Water Infiltration. CATENA 2018, 167, 373–384. [Google Scholar] [CrossRef]
- Bowyer-Bower, T.A.S.; Burt, T.P. Rainfall Simulators for Investigating Soil Response to Rainfall. Soil Technol. 1989, 2, 1–16. [Google Scholar] [CrossRef]
- Ebrahimian, A.; Sample-Lord, K.; Wadzuk, B.; Traver, R. Temporal and Spatial Variation of Infiltration in Urban Green Infrastructure. Hydrol. Process. 2020, 34, 1016–1034. [Google Scholar] [CrossRef]
- Tecca, N.P.; Nieber, J.; Gulliver, J. Bias of Stormwater Infiltration Measurement Methods Evaluated Using Numerical Experiments. Vadose Zone J. 2022, 21, e20210. [Google Scholar] [CrossRef]
- Norris, C.E.; Bean, G.M.; Cappellazzi, S.B.; Cope, M.; Greub, K.L.H.; Liptzin, D.; Rieke, E.L.; Tracy, P.W.; Morgan, C.L.S.; Honeycutt, C.W. Introducing the North American Project to Evaluate Soil Health Measurements. Agron. J. 2020, 112, 3195–3215. [Google Scholar] [CrossRef]
- Bagnall, D.K.; Morgan, C.L.S.; Bean, G.M.; Liptzin, D.; Cappellazzi, S.B.; Cope, M.; Greub, K.L.H.; Rieke, E.L.; Norris, C.E.; Tracy, P.W.; et al. Selecting Soil Hydraulic Properties as Indicators of Soil Health: Measurement Response to Management and Site Characteristics. Soil Sci. Soc. Am. J. 2022, 86, 1206–1226. [Google Scholar] [CrossRef]
- Wilcox, B.P.; Caldeira, M.C.; Leite, P.A.M.; Lobo-do-Vale, R.; Bugalho, M.N. Understory Shrubs Improve Soil Infiltrability in Overgrazed Mediterranean Oak Woodlands, but Have Little Impact on Ungrazed Woodlands. For. Ecol. Manag. 2024, 569, 122186. [Google Scholar] [CrossRef]
- Marín-Castro, B.E.; Negrete-Yankelevich, S.; Geissert, D. Litter Thickness, but Not Root Biomass, Explains the Average and Spatial Structure of Soil Hydraulic Conductivity in Secondary Forests and Coffee Agroecosystems in Veracruz, Mexico. Sci. Total Environ. 2017, 607–608, 1357–1366. [Google Scholar] [CrossRef]
- Xia, L.; Song, X.; Fu, N.; Cui, S.; Li, L.; Li, H.; Li, Y. Effects of Forest Litter Cover on Hydrological Response of Hillslopes in the Loess Plateau of China. CATENA 2019, 181, 104076. [Google Scholar] [CrossRef]
- Wang, L.; Zhang, G.; Zhu, P.; Wang, X. Comparison of the Effects of Litter Covering and Incorporation on Infiltration and Soil Erosion under Simulated Rainfall. Hydrol. Process. 2020, 34, 2911–2922. [Google Scholar] [CrossRef]
- Jabro, J.D. Estimation of Saturated Hydraulic Conductivity of Soils From Particle Size Distribution and Bulk Density Data. Trans. ASAE 1992, 35, 557–560. [Google Scholar] [CrossRef]
- Hu, W.; Shao, M.A.; Si, B.C. Seasonal Changes in Surface Bulk Density and Saturated Hydraulic Conductivity of Natural Landscapes. Eur. J. Soil Sci. 2012, 63, 820–830. [Google Scholar] [CrossRef]
- Liu, Y.; Guo, L.; Huang, Z.; López-Vicente, M.; Wu, G.-L. Root Morphological Characteristics and Soil Water Infiltration Capacity in Semi-Arid Artificial Grassland Soils. Agric. Water Manag. 2020, 235, 106153. [Google Scholar] [CrossRef]
- Liu, Y.-F.; Zhang, Z.; Liu, Y.; Cui, Z.; Leite, P.A.M.; Shi, J.; Wang, Y.; Wu, G.-L. Shrub Encroachment Enhances the Infiltration Capacity of Alpine Meadows by Changing the Community Composition and Soil Conditions. CATENA 2022, 213, 106222. [Google Scholar] [CrossRef]
- Ogden, C.B.; Van Es, H.M.; Schindelbeck, R.R. Miniature Rain Simulator for Field Measurement of Soil Infiltration. Soil Sci. Soc. Am. J. 1997, 61, 1041–1043. [Google Scholar] [CrossRef]
- Szabó, J.A.; Centeri, C.; Keller, B.; Hatvani, I.G.; Szalai, Z.; Dobos, E.; Jakab, G. The Use of Various Rainfall Simulators in the Determination of the Driving Forces of Changes in Sediment Concentration and Clay Enrichment. Water 2020, 12, 2856. [Google Scholar] [CrossRef]
- Simelane, M.P.Z.; Soundy, P.; Maboko, M.M. Effects of Rainfall Intensity and Slope on Infiltration Rate, Soil Losses, Runoff and Nitrogen Leaching from Different Nitrogen Sources with a Rainfall Simulator. Sustainability 2024, 16, 4477. [Google Scholar] [CrossRef]
- Lai, J.; Ren, L. Assessing the Size Dependency of Measured Hydraulic Conductivity Using Double-Ring Infiltrometers and Numerical Simulation. Soil Sci. Soc. Am. J. 2007, 71, 1667–1675. [Google Scholar] [CrossRef]
- Lado, M.; Paz, A.; Ben-Hur, M. Organic Matter and Aggregate Size Interactions in Infiltration, Seal Formation, and Soil Loss. Soil Sci. Soc. Am. J. 2004, 68, 935–942. [Google Scholar] [CrossRef]
- Lado, M.; Ben-Hur, M.; Shainberg, I. Soil Wetting and Texture Effects on Aggregate Stability, Seal Formation, and Erosion. Soil Sci. Soc. Am. J. 2004, 68, 1992–1999. [Google Scholar] [CrossRef]
- Radinja, M.; Vidmar, I.; Atanasova, N.; Mikoš, M.; Šraj, M. Determination of Spatial and Temporal Variability of Soil Hydraulic Conductivity for Urban Runoff Modelling. Water 2019, 11, 941. [Google Scholar] [CrossRef]
- Zhang, J.; Lei, T.; Chen, T. Impact of Preferential and Lateral Flows of Water on Single-Ring Measured Infiltration Process and Its Analysis. Soil Sci. Soc. Am. J. 2016, 80, 859–869. [Google Scholar] [CrossRef]
- Grant, K.N.; Macrae, M.L.; Ali, G.A. Differences in Preferential Flow with Antecedent Moisture Conditions and Soil Texture: Implications for Subsurface P Transport. Hydrol. Process. 2019, 33, 2068–2079. [Google Scholar] [CrossRef]
- Zimmermann, B.; Elsenbeer, H.; De Moraes, J.M. The Influence of Land-Use Changes on Soil Hydraulic Properties: Implications for Runoff Generation. For. Ecol. Manag. 2006, 222, 29–38. [Google Scholar] [CrossRef]
- Singh, B.P.; Cowie, A.L.; Chan, K.Y. (Eds.) Soil Health and Climate Change; Soil Biology; Springer: Berlin/Heidelberg, Germany, 2011; Volume 29, ISBN 978-3-642-20255-1. [Google Scholar]
- Jarvis, N.; Koestel, J.; Messing, I.; Moeys, J.; Lindahl, A. Influence of Soil, Land Use and Climatic Factors on the Hydraulic Conductivity of Soil. Hydrol. Earth Syst. Sci. 2013, 17, 5185–5195. [Google Scholar] [CrossRef]
- Sun, D.; Yang, H.; Guan, D.; Yang, M.; Wu, J.; Yuan, F.; Jin, C.; Wang, A.; Zhang, Y. The Effects of Land Use Change on Soil Infiltration Capacity in China: A Meta-Analysis. Sci. Total Environ. 2018, 626, 1394–1401. [Google Scholar] [CrossRef] [PubMed]
- Bagarello, V.; Di Prima, S.; Iovino, M.; Provenzano, G. Estimating Field-Saturated Soil Hydraulic Conductivity by a Simplified Beerkan Infiltration Experiment. Hydrol. Process. 2014, 28, 1095–1103. [Google Scholar] [CrossRef]
- Stewart, R.D.; Abou Najm, M.R. A Comprehensive Model for Single Ring Infiltration II: Estimating Field-Saturated Hydraulic Conductivity. Soil Sci. Soc. Am. J. 2018, 82, 558–567. [Google Scholar] [CrossRef]





| Site/ Soil Texture | Cover Type | Methodology | ||
|---|---|---|---|---|
| Rainfall Simulation | Automated SSBI | Saturo | ||
| Clay | Grassland | 7.5 ± 3.4 A b | 4.3 ± 3 A b | 47.4 ± 18.6 A a |
| Woodland | 66.8 ± 18.9 B a | 71.7 ± 92.4 B a | 153.3 ± 138.2 A a | |
| Loamy sand | Grassland | 48.9 ± 26.6 A a | 101.6 ± 94.3 A a | 113 ± 63.6 A a |
| Woodland | 106.3 ± 27.1 B a | 79.2 ± 57.4 A a | 56.3 ± 85.8 A a | |
| Sandy | Grassland | 68.8 ± 14.1 A a | 13.4 ± 2.1 A b | 108.4 ± 81.6 A a |
| Woodland | 144.5 ± 22.4 B | 120.9 ± 28.6 B | 183.4 ± 84.3 A | |
Disclaimer/Publisher’s Note: The statements, opinions and data contained in all publications are solely those of the individual author(s) and contributor(s) and not of MDPI and/or the editor(s). MDPI and/or the editor(s) disclaim responsibility for any injury to people or property resulting from any ideas, methods, instructions or products referred to in the content. |
© 2025 by the authors. Licensee MDPI, Basel, Switzerland. This article is an open access article distributed under the terms and conditions of the Creative Commons Attribution (CC BY) license (https://creativecommons.org/licenses/by/4.0/).
Share and Cite
Atalar, F.; Leite, P.A.M.; Wilcox, B.P. A Comparison of Three Methodologies for Determining Soil Infiltration Capacity in Thicketized Oak Woodlands and Adjacent Grasslands. Water 2025, 17, 518. https://doi.org/10.3390/w17040518
Atalar F, Leite PAM, Wilcox BP. A Comparison of Three Methodologies for Determining Soil Infiltration Capacity in Thicketized Oak Woodlands and Adjacent Grasslands. Water. 2025; 17(4):518. https://doi.org/10.3390/w17040518
Chicago/Turabian StyleAtalar, Furkan, Pedro A. M. Leite, and Bradford P. Wilcox. 2025. "A Comparison of Three Methodologies for Determining Soil Infiltration Capacity in Thicketized Oak Woodlands and Adjacent Grasslands" Water 17, no. 4: 518. https://doi.org/10.3390/w17040518
APA StyleAtalar, F., Leite, P. A. M., & Wilcox, B. P. (2025). A Comparison of Three Methodologies for Determining Soil Infiltration Capacity in Thicketized Oak Woodlands and Adjacent Grasslands. Water, 17(4), 518. https://doi.org/10.3390/w17040518

