Sign in to use this feature.

Years

Between: -

Subjects

remove_circle_outline
remove_circle_outline
remove_circle_outline
remove_circle_outline
remove_circle_outline
remove_circle_outline
remove_circle_outline
remove_circle_outline
remove_circle_outline

Journals

Article Types

Countries / Regions

Search Results (74)

Search Parameters:
Keywords = Basmati

Order results
Result details
Results per page
Select all
Export citation of selected articles as:
19 pages, 2270 KB  
Article
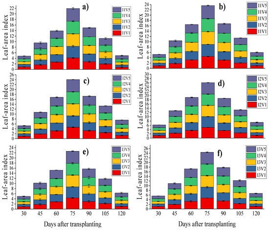
Impact of Irrigation Techniques on Water-Use Efficiency, Economic Returns, and Productivity of Rice
by Muhammad Sajjad, Khalid Hussain, Erdoğan Eşref Hakki, Ayesh Ilyas, Sait Gezgin and Qamar Shakil
Sustainability 2025, 17(17), 7712; https://doi.org/10.3390/su17177712 - 27 Aug 2025
Cited by 1 | Viewed by 1768
Abstract
The growing global population and water scarcities are putting pressure on researchers to develop new techniques for food production that require less water. In agriculture, sustainable irrigation methods considerably improve water-use efficiency (WUE), economic returns, and crop productivity. A field trial was carried [...] Read more.
The growing global population and water scarcities are putting pressure on researchers to develop new techniques for food production that require less water. In agriculture, sustainable irrigation methods considerably improve water-use efficiency (WUE), economic returns, and crop productivity. A field trial was carried out during 2022 and 2023 to examine the impact of different irrigation techniques—furrow irrigation (FI), alternate wetting and drying (AWD), and continuous flooding (CF)—on water-use efficiency, economic benefits, cost of production, and productivity of different high-yielding rice varieties (i.e., V1: Super gold 2019, V2: Super basmati 2019, V3: Kissan basmati 2016, V4: Punjab basmati 2016, V5: Chenab basmati 2016). Findings showed that yield and yield parameters were statistically higher in AWD than FI and CF. Chenab basmati 2016 was superior in productivity as compared to the remaining varieties in both years. Water-use efficiency, net income, and cost/benefit ratio were highest in AWD as compared to CF and FI. AWD irrigation methods coupled with Chenab basmati 2016 were the most effective combination of treatments for obtaining more grain yield with maximum water savings, net income, and cost/benefit ratio. Full article
Show Figures

Figure 1

18 pages, 1689 KB  
Article
Evaluation of Blast Resistance in Zinc-Biofortified Rice
by Anita Nunu, Maina Mwangi, Nchore Bonuke, Wagatua Njoroge, Mwongera Thuranira, Emily Gichuhi, Ruth Musila, Rosemary Murori and Samuel K. Mutiga
Plants 2025, 14(13), 2016; https://doi.org/10.3390/plants14132016 - 1 Jul 2025
Viewed by 3274
Abstract
Rice is a staple food for over half of the world’s population, and it is grown in over 100 countries. Rice blast disease can cause 10% to 30% crop loss, enough to feed 60 million people. Breeding for resistance can help farmers avoid [...] Read more.
Rice is a staple food for over half of the world’s population, and it is grown in over 100 countries. Rice blast disease can cause 10% to 30% crop loss, enough to feed 60 million people. Breeding for resistance can help farmers avoid costly fungicides. This study assessed the relationship between rice blast disease and zinc or anthocyanin content in biofortified rice. Susceptibility to foliar and panicle blast was assessed in a rice panel which differed on grain zinc content and pigmentation. A rice panel (n = 23) was challenged with inoculum of two isolates of Magnaporthe oryzae in a screenhouse-based assay. The zinc content with foliar blast severity was analyzed in the leaves and grain of a subset of non-inoculated rice plants. The effect of foliar zinc supplementation on seedlings was assessed by varying levels of zinc fertilizer solution on four blast susceptible cultivars at 14 days after planting (DAP), followed by inoculation with the blast pathogen at 21 DAP. Foliar blast severity was scored on a 0–9 scale at 7 days after inoculation. The rice panel was scored for anthocyanin content, and the data were correlated with foliar blast severity. The panel was grown in the field, and panicle blast, grain yield and yield-related agronomic traits were measured. Significant differences were observed in foliar blast severity among the rice genotypes, with IRBLK-KA and IR96248-16-2-3-3-B having mean scores greater than 4, as well as BASMATI 370 (a popular aromatic variety), while the rest of the genotypes were resistant. Supplementation with foliar zinc led to a significant decrease in susceptibility. A positive correlation was observed between foliar and panicle blast. The Zn in the leaves was negatively correlated with foliar blast severity, and had a marginally positive correlation with panicle blast. There was no relationship between foliar blast severity and anthocyanin content. Grain yield had a negative correlation with panicle blast, but no correlation was observed between Zn in the grain and grain yield. This study shows that Zn biofortification in the grain may not enhance resistance to foliar and panicle blast. Furthermore, the zinc-biofortified genotypes were not agronomically superior to the contemporary rice varieties. There is a need to apply genomic selection to combine promising alleles into adapted rice genetic backgrounds. Full article
(This article belongs to the Special Issue Rice-Pathogen Interaction and Rice Immunity)
Show Figures

Figure 1

25 pages, 2627 KB  
Article
Development and Evaluation of Gluten-Free Rice Biscuits: Impact on Glycaemic Index and Bioactive Compounds
by Cristiana L. Pereira, Inês Sousa, Cristina Roseiro, Manuela Lageiro, Vanda M. Lourenço and Carla Brites
Foods 2025, 14(13), 2276; https://doi.org/10.3390/foods14132276 - 26 Jun 2025
Viewed by 2117
Abstract
Biscuits are widely consumed snacks traditionally made from wheat flour, which poses challenges for individuals with gluten intolerance and/or diabetes due to their high glycaemic index (GI). This study explored the production of gluten-free biscuits using rice flour from two varieties, Type III [...] Read more.
Biscuits are widely consumed snacks traditionally made from wheat flour, which poses challenges for individuals with gluten intolerance and/or diabetes due to their high glycaemic index (GI). This study explored the production of gluten-free biscuits using rice flour from two varieties, Type III (Basmati) and Ariete (Long A), incorporating varying proportions of rice bran as a substitute for milled and brown rice flour. Results show that biscuits made with rice bran had lower starch digestibility and reduced GI (57.06–62.75) compared to control biscuits (66.23–66.95). Rice bran also increased bioactive compounds, such as phytic acid (0.16 to 1.96 g/100 g), γ-oryzanol (0.20 to 86.56 mg/100 g), and γ-aminobutyric acid (6.78 to 16.23 mg/100 g), known for their benefits to diabetes metabolism. Physicochemical analysis further revealed higher protein (6.49%) and lower starch content (30.07%) in rice bran biscuits than in control biscuits (4.20% and 47.38%, respectively). The control biscuits exhibited the highest spread ratio (5.90 and 6.35) and the Ariete variety produced less brittle biscuits (168.30 N), although the addition of bran increased brittleness under cutting force (54.55 N). Sensory evaluation of four rice biscuit formulations showed no significant differences in consumer preferences, regardless of flour type, bran proportion, or rice variety. Among the formulations, the Type III biscuits with an equal blend of milled flour and rice bran stood out, offering improved nutritional quality and a promising option for gluten-free, low-GI diets for consumers seeking healthier alternatives. This formulation also proved a strong balance across key nutritional and bioactive parameters, when compared to a commercial wellness biscuit. Full article
Show Figures

Figure 1

14 pages, 396 KB  
Article
Assessment of Optimal Seeding Rate for Fine and Coarse Rice Varieties Using the Direct Seeded Rice (DSR) Method
by Atif Naeem, Madad Ali, Ahmad Jawad, Asif Ameen, Mehwish, Talha Liaqat, Samreen Nazeer, Muhammad Zubair Akram and Shahbaz Hussain
Seeds 2025, 4(1), 1; https://doi.org/10.3390/seeds4010001 - 26 Dec 2024
Cited by 1 | Viewed by 2550
Abstract
Rice (Oryza sativa L.) is one of the most crucial cereal crops worldwide, serving as a staple food for a significant portion of the global population. Rice is the second most important staple food crop in Pakistan after wheat, and it is [...] Read more.
Rice (Oryza sativa L.) is one of the most crucial cereal crops worldwide, serving as a staple food for a significant portion of the global population. Rice is the second most important staple food crop in Pakistan after wheat, and it is also a major export commodity. Concerning this, the current study aimed to evaluate the effects of different seed rates on the yield and yield-contributing parameters of rice varieties. The experiment was conducted over two consecutive kharif summer seasons, from 2020–21 and 2021–22, at the Pakistan Agricultural Research Council (PARC) Rice Program experimental area in Kala Shah Kaku, Lahore, Pakistan, by following a factorial randomized complete block design with three replications using coarse rice (KSK-133) and fine rice (Super Basmati) varieties. Different seed rates, including 27 kg/ha, 22 kg/ha, 17 kg/ha, and 12 kg/ha, were tested during the experiment. Different growth and yield-related attributes, such as plant height (cm), the number of productive tillers per plant, panicle length (cm), the number of grains per panicle, and grain yield (m−2), were recorded. The results showed that for KSK-133 and Super Basmati, the maximum grain yield was achieved at a sowing rate of 27 kg/ha in direct seed rice (DSR). The lowest yield was observed at a seeding rate of 12 kg/ha for KSK-133 and Super Basmati in DSR. Both basmati (Super Basmati) and coarse-grain (KSK-133) varieties exhibited similar responses to seed rate treatments, with the optimal performance observed at the highest seed rate of 27 kg/ha for both seasons. Grains per panicle and thousand grain weight emerged as critical determinants of yield, highlighting the need to balance vegetative growth with reproductive development. Breeding programs should focus on developing varieties that balance vegetative traits like tiller production and panicle length with reproductive traits to enhance overall yield. Based on these findings, it is concluded that using an optimal seeding rate of 27 kg/ha for direct-seeded fine and coarse rice varieties is beneficial in terms of tillers and higher yield. Full article
Show Figures

Figure 1

21 pages, 2523 KB  
Article
The Impact of Split Nitrogen Fertilizer Applications on the Productivity and Nitrogen Use Efficiency of Rice
by Muhammad Sajjad, Khalid Hussain, Syed Aftab Wajid and Zulfiqar Ahmad Saqib
Nitrogen 2025, 6(1), 1; https://doi.org/10.3390/nitrogen6010001 - 25 Dec 2024
Cited by 11 | Viewed by 4754
Abstract
The application of nitrogenous fertilizer in reduced (“split”) doses of its total is suggested as a means to increase nitrogen use efficiency and rice productivity whilst reducing its environmental impact. Field trials conducted in 2022 and 2023 aimed to assess the impact of [...] Read more.
The application of nitrogenous fertilizer in reduced (“split”) doses of its total is suggested as a means to increase nitrogen use efficiency and rice productivity whilst reducing its environmental impact. Field trials conducted in 2022 and 2023 aimed to assess the impact of split nitrogen fertilizer applications on the productivity and nitrogen use efficiency of rice. This experiment included three nitrogen treatments (N1: control (no nitrogen); N2: 50% basal + 25% at tillering stage + 25% at panicle initiation stage (conventional method); N3: 33.33% basal + 33.33% at tillering stage + 33.33% at panicle initiation stage (equal split of nitrogen)) and four high-yielding rice varieties (V1: Super Gold 2019; V2: Super Basmati 2019; V3: Noor Basmati 2017; V4: Kissan Basmati 2016). The results indicated that the N3 treatment, with an equal split of nitrogen, combined with the V4 variety (Kissan Basmati 2016) produced the most favorable outcomes. The results indicated that the N3 treatment, particularly when applied to Kissan Basmati (V4), produced, statistically, the highest leaf area index (32.98%, 29.59%), 1000-grain weight (32.84%, 46.97%), grain yield (30.02%, 38.09%), agronomic nitrogen use efficiency (9.21%, 11.63%), and partial factor productivity (29.98%, 38.11%) compared to the control for the study periods of 2022 and 2023, respectively. Moreover, the grain yield demonstrated a strong positive correlation with growth traits and other yield components, except for plant height. The results showed that the application of three equal nitrogen doses significantly increases rice production, and therefore, in this yield context, improves nitrogen use efficiency. Full article
Show Figures

Figure 1

23 pages, 1935 KB  
Article
Bilateral Trade Welfare Impacts of India’s Export Ban of Non-Basmati Rice Using the Global Partial Equilibrium Simulation Model (GSIM)
by Eihab Fathelrahman, Raeda Osman, Dana Loyd Keske Hoag, Gregory N. Sixt and Kenneth Strzepek
Foods 2024, 13(19), 3124; https://doi.org/10.3390/foods13193124 - 30 Sep 2024
Cited by 5 | Viewed by 7412
Abstract
India, the world’s leading rice exporter, banned the export of non-Basmati white rice, accounting for 25% of its total exports (or 10% of the global rice trade). The ban aims to ensure availability to domestic Indian consumers and reduce domestic market prices, impacting [...] Read more.
India, the world’s leading rice exporter, banned the export of non-Basmati white rice, accounting for 25% of its total exports (or 10% of the global rice trade). The ban aims to ensure availability to domestic Indian consumers and reduce domestic market prices, impacting global rice market accessibility, consumers, and producers across twelve regions. The study utilized the global simulation model (GSIM) to analyze the effects of trade restrictions on industries. The model uses national product differentiation to assess trade policy changes at global, regional, or national scales. It examined importer and exporter effects on trade values, tariff revenues, exporter surplus, and importer surplus. It found that India’s Voluntary Export Restraint (VER) ban on non-Basmati rice resulted in a higher local price and a negative global net welfare impact of USD 1.7 billion. The losses decreased to USD 1.4 billion when importing countries responded by reducing rice import tariffs by 25% and USD 1.1 billion when importing countries reduced tariffs by 75%. Sub-Saharan Africa, the Middle East, North Africa, and the Gulf Cooperation Council regions were most affected. The study also found minimal impact on consumer surplus in India due to inelastic rice demand. Full article
Show Figures

Figure 1

29 pages, 5078 KB  
Review
Profiling and Improvement of Grain Quality Traits for Consumer Preferable Basmati Rice in the United States
by Zakaria Hossain Prodhan, Stanley Omar P. B. Samonte, Darlene Lonjas Sanchez and Shyamal Krishna Talukder
Plants 2024, 13(16), 2326; https://doi.org/10.3390/plants13162326 - 21 Aug 2024
Cited by 4 | Viewed by 4238
Abstract
Basmati rice is a premium aromatic rice that consumers choose primarily because of its distinct aroma and excellent grain quality. The grain quality of Basmati rice (GQBR) reflects the perspectives of producers, processors, sellers, and consumers related to the production, processing, marketing, and [...] Read more.
Basmati rice is a premium aromatic rice that consumers choose primarily because of its distinct aroma and excellent grain quality. The grain quality of Basmati rice (GQBR) reflects the perspectives of producers, processors, sellers, and consumers related to the production, processing, marketing, and consumption of Basmati rice. Consumers, an invaluable part of the production demand and value chain of the Basmati rice industry, have the freedom to choose from different types of aromatic rice. Consumers expect their preferred Basmati rice to possess all superior rice grain qualities, including the physical, biochemical, and physiological properties. Gene functional analysis explained that a 10-base pair deletion in the promoter region of the OsSPL16 gene causes the slender grains in Basmati rice, whereas an 8-base-pair deletion in exon 7 of the OsBadh2 gene (located in the fgr region on rice chromosome 8) results in the distinct aroma. Furthermore, a combination of the genetic characteristics of the gw8 and gs3 genes has led to the creation of a long-grain Basmati-type rice cultivar. It has also been demonstrated that agricultural, genetic, and environmental conditions significantly influence GQBR. Hence, research on improving GQBR requires a multidimensional approach and sophisticated elements due to the complexity of its nature and preference diversity. This review covers the basic definitions of grain quality traits, consumer preference criteria, influencing factors, and strategies for producing superior-quality Basmati rice in the United States. This knowledge will be useful in improving the grain quality of Basmati and Basmati-type rice, as well as developing appropriate breeding programs that will meet the preferences of different countries and cultures. Full article
(This article belongs to the Special Issue Plant Biotechnological Approaches Towards Crop Improvement)
Show Figures

Figure 1

13 pages, 12972 KB  
Article
Identification of a Promising Novel Genetic Source for Rice Root-Knot Nematode Resistance through Markers Associated with Trait-Specific Quantitative Trait Loci
by Premakumar, Pallavi Mohanapure, Meghraj Chavhan, Divya Singh, Jyoti Yadav, Vishal Singh Somvanshi, S. Gopala Krishnan, K. K. Vinod, Prolay K. Bhowmick, Haritha Bollinedi, Ashok Kumar Singh, Uma Rao and Ranjith Kumar Ellur
Plants 2024, 13(16), 2271; https://doi.org/10.3390/plants13162271 - 15 Aug 2024
Cited by 3 | Viewed by 2233
Abstract
Direct-seeded rice (DSR) is gaining popularity among farmers due to its environmentally safe and resource-efficient production system. However, managing the rice root-knot nematode (RRKN), Meloidogyne graminicola, remains a major challenge in DSR cultivation. Developing genetic resistance is a pragmatic and effective approach [...] Read more.
Direct-seeded rice (DSR) is gaining popularity among farmers due to its environmentally safe and resource-efficient production system. However, managing the rice root-knot nematode (RRKN), Meloidogyne graminicola, remains a major challenge in DSR cultivation. Developing genetic resistance is a pragmatic and effective approach compared to using hazardous pesticides. Pusa Basmati 1121 (PB1121) is the most popular Basmati rice variety, but it is highly susceptible to RRKN. In contrast, Phule Radha (PR) has shown highly resistant reaction to RRKN, as reported in our earlier study. We generated an F2:3 population from the cross of PB1121/PR and evaluated it for RRKN resistance-related traits under artificial inoculation conditions. The distribution pattern of traits in the F2:3 population indicated that resistance may be governed by a few major-effect genes and many minor-effect genes. The molecular markers reported to be associated with QTLs governing RRKN resistance traits were used to test in the current population. Although the simple linear regression identified significant associations between the markers and RRKN resistance-associated traits, these associations were spurious as the LOD score was below the threshold limit. This indicates that PR possesses novel genomic regions for resistance to RRKN as it does not possess any of the earlier reported QTLs. Full article
(This article belongs to the Section Plant Protection and Biotic Interactions)
Show Figures

Figure 1

2 pages, 144 KB  
Abstract
Impact of Nitrogen Levels on the Growth and Yield of Super Basmati Rice (Oryza sativa L.)
by Vijai Kumar, Suneel Kumar, Aijaz Ahmed Soomro, Mahmooda Buriro, Bakhat-un-Nisa Mangan, Prem Kumar and Mahaveer Singh
Proceedings 2024, 105(1), 106; https://doi.org/10.3390/proceedings2024105106 - 28 May 2024
Viewed by 661
Abstract
The impact of nitrogen levels on the growth and yield of super basmati rice (Oryza sativa L [...] Full article
24 pages, 3608 KB  
Article
Analysing the Impact of Resistant Starch Formation in Basmati Rice Products: Exploring Associations with Blood Glucose and Lipid Profiles across Various Cooking and Storage Conditions In Vivo
by Prabhjot Kaur, Harpreet Kaur, Renuka Aggarwal, Kiran Bains, Amrit Kaur Mahal, Lachhman Das Singla and Kuldeep Gupta
Foods 2024, 13(11), 1669; https://doi.org/10.3390/foods13111669 - 27 May 2024
Cited by 3 | Viewed by 12036
Abstract
Common cooking methods were used to prepare basmati rice products, including boiling 1 (boiling by absorption), boiling 2 (boiling in extra amount of water), frying, and pressure cooking. The cooked rice was held at various temperatures and times as follows: it was made [...] Read more.
Common cooking methods were used to prepare basmati rice products, including boiling 1 (boiling by absorption), boiling 2 (boiling in extra amount of water), frying, and pressure cooking. The cooked rice was held at various temperatures and times as follows: it was made fresh (T1), kept at room temperature (20–22 °C) for 24 h (T2), kept at 4 °C for 24 h (T3), and then reheated after being kept at 4 °C for 24 h (T4). The proximate composition, total dietary fibre, resistant starch (RS), and in vitro starch digestion rate of products were examined. The effect of RS on blood glucose and lipid profiles was measured in humans and rats, including a histopathological study of the liver and pancreas in rats. The basmati rice that was prepared via boiling 1 and stored with T3 was found to be low in glycaemic index and glycaemic load, and to be high in resistant starch. Similarly, in rats, the blood glucose level, cholesterol, triglycerides, and LDL were reduced by about 29.7%, 37.9%, 31.3%, and 30.5%, respectively, after the consumption of basmati rice that was prepared via boiling 1 and stored with T3. Awareness should be raised among people about the health benefits of resistant starch consumption and the right way of cooking. Full article
(This article belongs to the Special Issue Starch and Food Processing: Structure, Functionality and Nutrition)
Show Figures

Figure 1

15 pages, 2271 KB  
Article
Relationship between Physicochemical and Cooking Quality Parameters with Estimated Glycaemic Index of Rice Varieties
by Cristiana L. Pereira, Inês Sousa, Vanda M. Lourenço, Pedro Sampaio, Raquel Gárzon, Cristina M. Rosell and Carla Brites
Foods 2024, 13(1), 135; https://doi.org/10.3390/foods13010135 - 30 Dec 2023
Cited by 16 | Viewed by 5746
Abstract
Rice is a significant staple food in the basic diet of the global population that is considered to have a high glycaemic index. The study of the physical and chemical parameters in rice that are related to the starch digestion process, which allows [...] Read more.
Rice is a significant staple food in the basic diet of the global population that is considered to have a high glycaemic index. The study of the physical and chemical parameters in rice that are related to the starch digestion process, which allows us to quickly predict the glycaemic index of varieties, is a major challenge, particularly in the classification and selection process. In this context, and with the goal of establishing a relationship between physicochemical properties and starch digestibility rates, thus shedding light on the connections between quality indicators and their glycaemic impact, we evaluated various commercial rice types based on their basic chemical composition, physicochemical properties, cooking parameters, and the correlations with digestibility rates. The resistant starch, the gelatinization temperature and the retrogradation (setback) emerge as potent predictors of rice starch digestibility and estimated glycaemic index, exhibiting robust correlations of r = −0.90, r = −0.90, and r = −0.70 (p ≤ 0.05), respectively. Among the rice types, Long B and Basmati stand out with the lowest estimated glycaemic index values (68.44 and 68.10), elevated levels of resistant starch, gelatinization temperature, and setback values. Furthermore, the Long B showcases the highest amylose, while the Basmati with intermediate, revealing intriguingly strong grain integrity during cooking, setting it apart from other rice varieties. Full article
Show Figures

Graphical abstract

18 pages, 2673 KB  
Article
Genetic Enhancement for Biotic Stress Resistance in Basmati Rice through Marker-Assisted Backcross Breeding
by Gagandeep Singh, Niraj Singh, Ranjith Kumar Ellur, Alexander Balamurugan, G. Prakash, Rajeev Rathour, Kalyan Kumar Mondal, Prolay Kumar Bhowmick, S. Gopala Krishnan, Mariappan Nagarajan, Rakesh Seth, K. K. Vinod, Varsha Singh, Haritha Bollinedi and Ashok Kumar Singh
Int. J. Mol. Sci. 2023, 24(22), 16081; https://doi.org/10.3390/ijms242216081 - 8 Nov 2023
Cited by 5 | Viewed by 2845
Abstract
Pusa Basmati 1509 (PB1509) is one of the major foreign-exchange-earning varieties of Basmati rice; it is semi-dwarf and early maturing with exceptional cooking quality and strong aroma. However, it is highly susceptible to various biotic stresses including bacterial blight and blast. Therefore, bacterial [...] Read more.
Pusa Basmati 1509 (PB1509) is one of the major foreign-exchange-earning varieties of Basmati rice; it is semi-dwarf and early maturing with exceptional cooking quality and strong aroma. However, it is highly susceptible to various biotic stresses including bacterial blight and blast. Therefore, bacterial blight resistance genes, namely, xa13 + Xa21 and Xa38, and fungal blast resistance genes Pi9 + Pib and Pita were incorporated into the genetic background of recurrent parent (RP) PB1509 using donor parents, namely, Pusa Basmati 1718 (PB1718), Pusa 1927 (P1927), Pusa 1929 (P1929) and Tetep, respectively. Foreground selection was carried out with respective gene-linked markers, stringent phenotypic selection for recurrent parent phenotype, early generation background selection with Simple sequence repeat (SSR) markers, and background analysis at advanced generations with Rice Pan Genome Array comprising 80K SNPs. This has led to the development of Near isogenic lines (NILs), namely, Pusa 3037, Pusa 3054, Pusa 3060 and Pusa 3066 carrying genes xa13 + Xa21, Xa38, Pi9 + Pib and Pita with genomic similarity of 98.25%, 98.92%, 97.38% and 97.69%, respectively, as compared to the RP. Based on GGE-biplot analysis, Pusa 3037-1-44-3-164-20-249-2 carrying xa13 + Xa21, Pusa 3054-2-47-7-166-24-261-3 carrying Xa38, Pusa 3060-3-55-17-157-4-124-1 carrying Pi9 + Pib, and Pusa 3066-4-56-20-159-8-174-1 carrying Pita were identified to be relatively stable and better-performing individuals in the tested environments. Intercrossing between the best BC3F1s has led to the generation of Pusa 3122 (xa13 + Xa21 + Xa38), Pusa 3124 (Xa38 + Pi9 + Pib) and Pusa 3123 (Pi9 + Pib + Pita) with agronomy, grain and cooking quality parameters at par with PB1509. Cultivation of such improved varieties will help farmers reduce the cost of cultivation with decreased pesticide use and improve productivity with ensured safety to consumers. Full article
(This article belongs to the Special Issue Molecular Research in Rice, 2nd Edition)
Show Figures

Figure 1

16 pages, 2840 KB  
Article
On Application of Lightweight Models for Rice Variety Classification and Their Potential in Edge Computing
by Muhammad Javed Iqbal, Muhammad Aasem, Iftikhar Ahmad, Madini O. Alassafi, Sheikh Tahir Bakhsh, Neelum Noreen and Ahmed Alhomoud
Foods 2023, 12(21), 3993; https://doi.org/10.3390/foods12213993 - 31 Oct 2023
Cited by 8 | Viewed by 3019
Abstract
Rice is one of the fundamental food items that comes in many varieties with their associated benefits. It can be sub-categorized based on its visual features like texture, color, and shape. Using these features, the automatic classification of rice varieties has been studied [...] Read more.
Rice is one of the fundamental food items that comes in many varieties with their associated benefits. It can be sub-categorized based on its visual features like texture, color, and shape. Using these features, the automatic classification of rice varieties has been studied using various machine learning approaches for marketing and industrial use. Due to the outstanding performance of deep learning, several models have been proposed to assist in vision tasks like classification and detection. Regardless of their best results on accuracy metrics, they have been observed as overly excessive for computational resources and expert supervision. To address these challenges, this paper proposes three deep learning models that offer similar performance with 10% lighter computational overhead in comparison to existing best models. Moreover, they have been trained for end-to-end flow to demonstrate minimum expert supervision for pre-processing and feature engineering sub-tasks. The results can be observed as promising for classifying rice among five varieties, namely Arborio, Basmati, Ipsala, Jasmine, and Karacadag. The process and performance of the trained models can be extended for edge and mobile devices for field-specific tasks autonomously. Full article
Show Figures

Figure 1

14 pages, 2491 KB  
Article
Trace Element (As, Cd, Cr, Cu, Pb, Se, U) Concentrations and Health Hazards from Drinking Water and Market Rice across Lahore City, Pakistan
by Wania Imran and Justin B. Richardson
Sustainability 2023, 15(18), 13463; https://doi.org/10.3390/su151813463 - 8 Sep 2023
Cited by 3 | Viewed by 2812
Abstract
Exposure to toxic concentrations of trace elements in rice and drinking water is a serious issue for millions of South Asians, due to rice serving as a large portion of their diets and the geochemical enrichment of trace elements in groundwaters. The overall [...] Read more.
Exposure to toxic concentrations of trace elements in rice and drinking water is a serious issue for millions of South Asians, due to rice serving as a large portion of their diets and the geochemical enrichment of trace elements in groundwaters. The overall goal of this study was to evaluate and compare the hazards posed from toxic trace elements through the consumption of commercially available basmati rice and public drinking water sources across Lahore, Pakistan. Drinking water samples (n = 36) were collected from publicly accessible drinking taps from eight administrative towns and the cantonment. Rice samples were obtained from 11 markets (n = 33) across Lahore between December and February 2022–2023. Market rice concentrations exceeded the World Health Organization’s (WHO) limits and the Total Hazard Quotient (THQ) values exceeded 1.0 for As, Cu, and Pb, thus indicating multielement contamination. Market rice trace element concentrations and price were not correlated. As, Se, and U concentrations in drinking water were above the WHO’s drinking water guidelines and had THQ values exceeding 1.0, showing multielement contamination. Cr, Se, and U concentrations in drinking water were greater for impoverished administrative towns compared to middle and wealthy administrative towns, highlighting socioeconomic inequities in exposure to hazardous concentrations. We conclude that the citizens of Lahore are exposed to rice and drinking water that are hazardous to human health, including As and other lesser studied trace elements. Full article
(This article belongs to the Special Issue Environmental and Health Risk Assessment of Heavy Metal Pollution)
Show Figures

Figure 1

13 pages, 1903 KB  
Article
Efficiency of Treated Domestic Wastewater to Irrigate Two Rice Cultivars, PK 386 and Basmati 515, under a Hydroponic Culture System
by Tahira Aslam, Safdar A. Mirza, Aneeba Rashid, Muhammad Arshad Javed and Luiza C. Campos
Water 2023, 15(17), 3149; https://doi.org/10.3390/w15173149 - 3 Sep 2023
Cited by 3 | Viewed by 2556
Abstract
The increasing human population continues to exert pressure on the freshwater scarcity. The availability of freshwater for crop irrigation has become challenging. The present study aimed to use domestic wastewater (DWW) for the irrigation of two rice cultivars (CVs) after treatment with the [...] Read more.
The increasing human population continues to exert pressure on the freshwater scarcity. The availability of freshwater for crop irrigation has become challenging. The present study aimed to use domestic wastewater (DWW) for the irrigation of two rice cultivars (CVs) after treatment with the bacterial strain Alcaligenes faecalis MT477813 under a hydroponic culture system. The first part of this study focused on the bioremediation and analysis of the physicochemical parameters of DWW to compare pollutants before and after treatment. The biotreatment of DWW with the bacterial isolate showed more than 90% decolourisation, along with a reduction in contaminants. The next part of the study evaluated the impacts of treated and untreated DWW on the growth of two rice cultivars, i.e., PK 386 and Basmati 515, under a hydroponic culture system which provided nutrients and water to plants with equal and higher yields compared to soil. Growth parameters such as the shoot and root length and the wet and dry weights of the rice plants grown in the treated DWW were considerably higher than those for the plants grown in untreated DWW. Therefore, enhanced growth of both rice cultivars grown in biotreated DWW was observed. These results demonstrate the bioremediation efficiency of the bacterial isolate and the utility of the DWW for rice crop irrigation subsequent to biotreatment. Full article
(This article belongs to the Special Issue Recent Advances in Water and Wastewater Treatment)
Show Figures

Figure 1

Back to TopTop