Impact of Irrigation Techniques on Water-Use Efficiency, Economic Returns, and Productivity of Rice
Abstract
1. Introduction
2. Materials and Methods
2.1. Study Site and Experimental Descriptions
2.2. Treatments and Data Measurements
2.3. Irrigation Management and AWD Tube Characteristics and Installation
2.4. Economic Analysis
2.5. Data Recording Procedure for Growth and Yield Attributes
2.6. Water-Use Efficiency
2.7. Statistical Analysis
3. Results
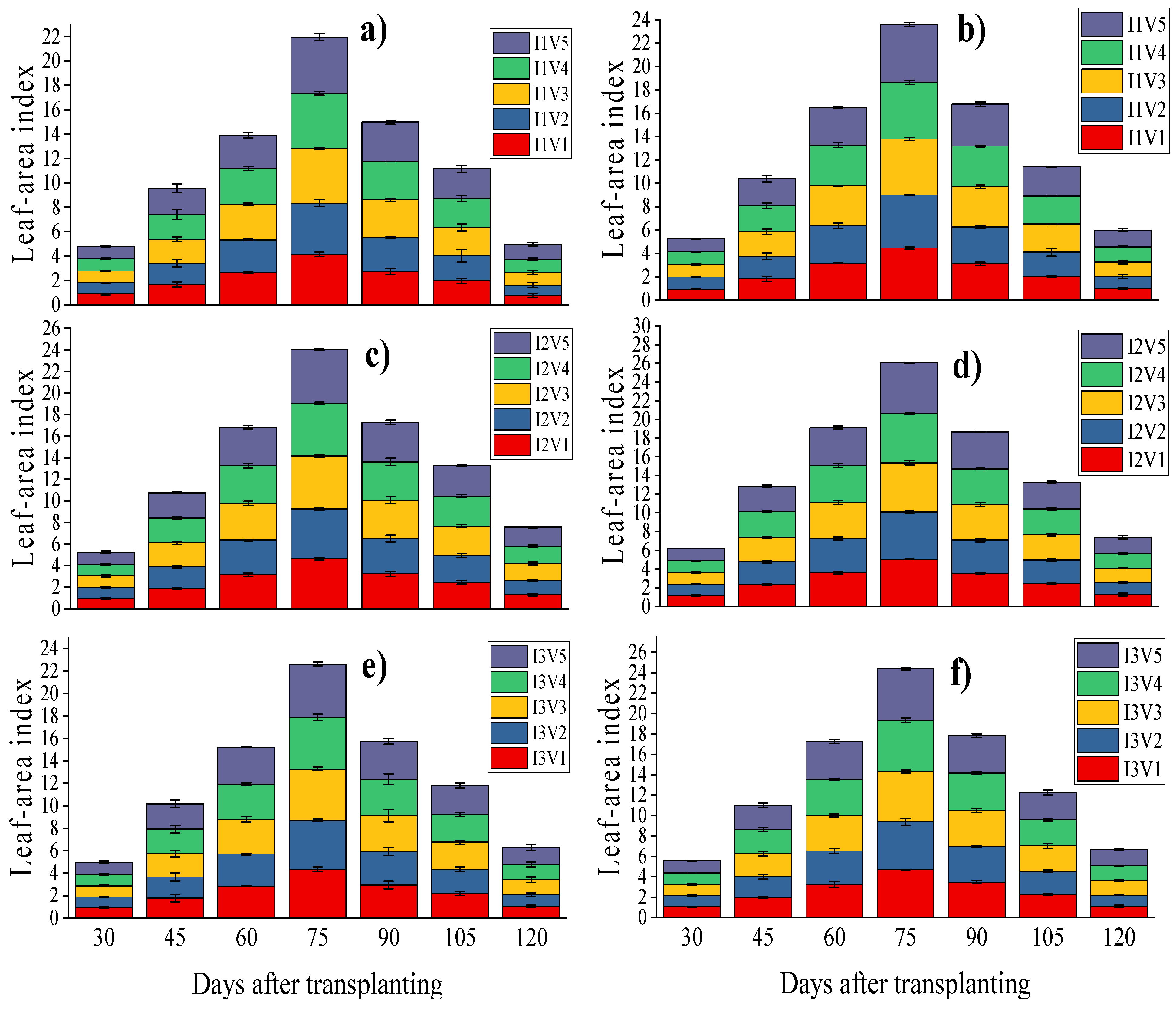
3.1. Impact of Irrigation Techniques on Leaf-Area Index of Rice Varieties
3.2. Impact of Irrigation Techniques on Yield Attributes of Rice Varieties
3.3. Impact of Irrigation Techniques on Water-Use Efficiency for Rice Varieties
3.4. Pearson Correlation Analysis of Growth Traits, Yield Attributes, and Water-Use Efficiency
3.5. Economic Analysis of Irrigation Techniques
4. Discussion
4.1. Impact of Irrigation Techniques on Leaf-Area Index of Rice Varieties
4.2. Impact of Irrigation Techniques on Yield Attributes of Rice Varieties
4.3. Impact of Irrigation Techniques on Water-Use Efficiency Under Rice Varieties
4.4. Economic Feasibilty of Irrigation Techniques
5. Conclusions
6. Outlook
Author Contributions
Funding
Institutional Review Board Statement
Informed Consent Statement
Data Availability Statement
Conflicts of Interest
References
- GOP. Pakistan Economic Survey 2024–2025; Finance and Economic Affairs Division, Ministry of Finance, Government of Pakistan: Islamabad, Pakistan, 2025. [Google Scholar]
 - Hussain, A.; Khathian, M.A.; Ullah, S.; Ullah, S. Increasing Crop Profitability through Adoption of Ridge Planting of Rice Crop in Punjab, and Wheat & Banana Crops in Sindh Province of Pakistan: Ridge Planting of Rice, Wheat & Banana Crops in Pakistan. Proc. Pak. Acad. Sci. B Life Environ. Sci. 2019, 56, 25–38. [Google Scholar]
 - Singh, B.; Mishra, S.; Bisht, D.S.; Joshi, R. Growing rice with less water: Improving productivity by decreasing water demand. In Rice Improvement: Physiological, Molecular Breeding and Genetic Perspectives; Springer: Berlin/Heidelberg, Germany, 2021; pp. 147–170. [Google Scholar]
 - Carracelas, G.; Hornbuckle, J.; Rosas, J.; Roel, A. Irrigation management strategies to increase water productivity in Oryza sativa (rice) in Uruguay. Agric. Water Manag. 2019, 222, 161–172. [Google Scholar] [CrossRef]
 - Kumar, R.; Mishra, J.S.; Mali, S.S.; Mondal, S.; Meena, R.S.; Lal, R.; Jha, B.K.; Naik, S.K.; Biswas, A.K.; Hans, H. Comprehensive environmental impact assessment for designing carbon-cum-energy efficient, cleaner and eco-friendly production system for rice-fallow agro-ecosystems of South Asia. J. Clean. Prod. 2021, 331, 129–973. [Google Scholar] [CrossRef]
 - Ahmad, S.; Jia, H.; Ashraf, A.; Yin, D.; Chen, Z.; Xu, C.; Chenyang, W.; Jia, Q.; Xiaoyue, Z.; Israr, M.; et al. Water resources and their management in Pakistan: A critical analysis on challenges and implications. Water Energy Nexus 2023, 6, 137–150. [Google Scholar] [CrossRef]
 - Bwire, D.; Saito, H.; Sidle, R.C.; Nishiwaki, J. Water Management and Hydrological Characteristics of Paddy-Rice Fields under Alternate Wetting and Drying Irrigation Practice as Climate Smart Practice: A Review. Agronomy 2024, 14, 421. [Google Scholar] [CrossRef]
 - Ishfaq, M.; Akbar, N.; Anjum, S.A.; Anwar-Ijl-Haq, M. Growth, yield and water productivity of dry direct seeded rice and transplanted aromatic rice under different irrigation management regimes. J. Integr. Agric. 2020, 19, 2656–2673. [Google Scholar] [CrossRef]
 - Du, X.; He, W.; Gao, S.; Liu, D.; Wu, W.; Tu, D.; Kong, L.; Xi, M. Raised bed planting increases economic efficiency and energy use efficiency while reducing the environmental footprint for wheat after rice production. Energy 2022, 245, 123256. [Google Scholar] [CrossRef]
 - Majeed, A.; Muhmood, A.; Niaz, A.; Javid, S.; Ahmad, Z.A.; Shah, S.S.H.; Shah, A.H. Bed planting of wheat (Triticum aestivum L.) improves nitrogen use efficiency and grain yield compared to flat planting. Crop J. 2015, 3, 118–124. [Google Scholar] [CrossRef]
 - Sajjad, M.; Hussain, K.; Wajid, S.A.; Saqib, Z.A. The Impact of Split Nitrogen Fertilizer Applications on the Productivity and Nitrogen Use Efficiency of Rice. Nitrogen 2024, 6, 1. [Google Scholar] [CrossRef]
 - Bwire, D.; Saito, H.; Mugisha, M.; Nabunya, V. Water productivity and harvest index response of paddy rice with alternate wetting and drying practice for adaptation to climate change. Water 2022, 14, 3368. [Google Scholar] [CrossRef]
 - Fang, H.; Zhou, H.; Norton, G.J.; Price, A.H.; Raffan, A.C.; Mooney, S.J.; Peng, X.; Hallett, P.D. Interaction between contrasting rice genotypes and soil physical conditions induced by hydraulic stresses typical of alternate wetting and drying irrigation of soil. Plant Soil 2018, 430, 233–243. [Google Scholar] [CrossRef]
 - Norton, G.J.; Shafaei, M.; Travis, A.J.; Deacon, C.M.; Danku, J.; Pond, D.; Cochrane, N.; Lockhart, K.; Salt, D.; Zhang, H.; et al. Impact of alternate wetting and drying on rice physiology, grain production, and grain quality. Field Crops Res. 2017, 205, 1–13. [Google Scholar] [CrossRef]
 - Akpoti, K.; Dossou-Yovo, E.R.; Zwart, S.J.; Kiepe, P. The potential for expansion of irrigated rice under alternate wetting and drying in Burkina Faso. Agric. Water Manag. 2021, 247, 106758. [Google Scholar] [CrossRef]
 - Cheng, H.; Shu, K.; Zhu, T.; Wang, L.; Liu, X.; Cai, W.; Qi, Z.; Feng, S. Effects of alternate wetting and drying irrigation on yield, water and nitrogen use, and greenhouse gas emissions in rice paddy fields. J. Clean. Prod. 2022, 349, 131487. [Google Scholar] [CrossRef]
 - Sapkota, B.K.; Dutta, J.P.; Chaulagain, T.R.; Subedi, S. Production and marketing of rice in Naghlebhare rice block, Kathmandu: An economic analysis. Nepal. J. Agric. Sci. 2018, 16, 145–155. [Google Scholar]
 - Bandumula, N.; Rathod, S.; Ondrasek, G.; Pillai, M.P.; Sundaram, R.M. An economic evaluation of improved rice production technology in Telangana State, India. Agriculture 2022, 12, 1387. [Google Scholar] [CrossRef]
 - CIMMYT. From Agronomic Data to Farmer’s Recommendations: An Economics Training Manual; CIMMYT: Texcoco, Mexico, 1998; pp. 31–33. [Google Scholar]
 - Jabran, K.; Hussain, M.; Fahad, S.; Farooq, M.; Bajwa, A.A.; Alharrby, H.; Nasim, W. Economic assessment of different mulches in conventional and water-saving rice production systems. Environ. Sci. Pollut. Res. 2016, 23, 9156–9163. [Google Scholar] [CrossRef]
 - Adler, M.D.; Posner, E.A. Cost-Benefit Analysis: Legal, Economic and Philosophical Perspectives; Law & Economics Research Paper Series; University of Pennsylvania Carey Law School: Philadelphia, PA, USA, 2001; pp. 1–22. [Google Scholar]
 - Beadle, C.L. Plant growth analysis. In Techniques in Bio Productivity and Photosynthesis, 2nd ed.; Coombs, J., Hall, D.O., Long, S.P., Scurlock, J.M.O., Eds.; Pergamon Press: Oxford, NY, USA, 1987; pp. 21–23. [Google Scholar]
 - Jensen, M.E. Design and Operation of Farm Irrigations Systems; American Society of Agricultural and Biological Engineers: St Joseph, MI, USA, 1983; pp. 1–11. [Google Scholar]
 - Steel, R.G.D.; Torrie, J.H.; Dickey, D.A. Principles and Procedures of Statistics, A Biometrical Approach, 3rd ed.; McGraw-Hill Book Company, Inc.: New York, NY, USA; Toronto, ON, Canada; London, UK, 1997; pp. 352–358. [Google Scholar]
 - Davatgar, N.; Neishabouri, M.R.; Sepaskhah, A.R.; Soltani, A. Physiological and morphological responses of rice (Oryza sativa L.) to varying water stress management strategies. Int. J. Plant Prod. 2012, 3, 19–32. [Google Scholar]
 - Jabran, K.; Ullah, E.; Akbar, N.; Yasin, M.; Zaman, U.; Nasim, W.; Riaz, M.; Arjumend, T.; Azhar, M.F.; Hussain, M. Growth and physiology of basmati rice under conventional and water-saving production systems. Arch. Agron. Soil Sci. 2017, 63, 1465–1476. [Google Scholar] [CrossRef]
 - Arouna, A.; Dzomeku, I.K.; Shaibu, A.G.; Nurudeen, A.R. Water management for sustainable irrigation in rice (Oryza sativa L.) production: A review. Agronomy 2023, 13, 1522. [Google Scholar] [CrossRef]
 - Sajid, M.; Munir, H.; Khaliq, A.; Murtaza, G. Unveiling safflower yield, oil content, water use efficiency, and membrane stability under differential irrigation regimes. Arab. J. Geosci. 2023, 16, 249. [Google Scholar] [CrossRef]
 - Shaibu, Y.A.; Banda, H.M.; Makwiza, C.N.; Malunga, J.C. Grain yield performance of upland and lowland rice varieties under water saving irrigation through alternate wetting and drying in sandy clay loams of Southern Malawi. Exp. Agric. 2015, 51, 313–326. [Google Scholar] [CrossRef]
 - Aziz, O.; Hussain, S.; Rizwan, M.; Riaz, M.; Bashir, S.; Lin, L.; Mehmood, S.; Imran, M.; Yaseen, R.; Lu, G. Increasing water productivity, nitrogen economy, and grain yield of rice by water saving irrigation and fertilizer-N management. Environ. Sci. Pollut. Res. 2018, 25, 16601–16615. [Google Scholar] [CrossRef] [PubMed]
 - Chen, T.; Xu, G.; Wang, Z.; Zhang, H.; Yang, J.; Zhang, J. Expression of proteins in superior and inferior spikelets of rice during grain filling under different irrigation regimes. Proteomics 2016, 16, 102–121. [Google Scholar] [CrossRef]
 - Isopp, H.; Frehner, M.; Long, S.P.; Nösberger, J. Sucrose-phosphate synthase responds differently to source-sink relations and to photosynthetic rates: Lolium perenne L. growing at elevated pCO2 in the field. Plant Cell Environ. 2000, 23, 597–607. [Google Scholar] [CrossRef]
 - Werner, T.; Holst, K.; Pörs, Y.; Guivarc’h, A.; Mustroph, A.; Chriqui, D.; Grimm, B.; Schmülling, T. Cytokinin deficiency causes distinct changes of sink and source parameters in tobacco shoots and roots. J. Exp. Bot. 2008, 59, 2659–2672. [Google Scholar] [CrossRef]
 - Jahan, M.S.; Nozulaidi, M.; Khandaker, M.M.; Afifah, A.; Husna, N. Control of plant growth and water loss by a lack of light-harvesting complexes in photosystem II in Arabidopsis thaliana ch1-1 mutant. Acta Physiol. Plant. 2014, 36, 1627–1635. [Google Scholar] [CrossRef]
 - Kumar, R.; Sarawgi, A.K.; Ramos, C.; Amarante, S.T.; Ismail, A.M.; Wade, L.J. Partitioning of dry matter during drought stress in rainfed lowland rice. Field Crops Res. 2006, 96, 455–465. [Google Scholar] [CrossRef]
 - Sun, Y.; Ma, J.; Sun, Y.; Xu, H.; Yang, Z.; Liu, S.; Jia, X.; Zheng, H. The effects of different water and nitrogen managements on yield and nitrogen use efficiency in hybrid rice of China. Field Crops Res. 2012, 127, 85–98. [Google Scholar] [CrossRef]
 - Liu, D.; Fang, S.; Tian, Y.; Chang, S.X. Nitrogen transformations in the rhizosphere of different tree types in a seasonally flooded soil. Plant Soil Environ. 2014, 60, 249–254. [Google Scholar] [CrossRef]
 - Yang, J.C.; Zhang, J.H. Crop management techniques to enhance harvest index in rice. J. Exp. Bot. 2010, 61, 3177–3189. [Google Scholar] [CrossRef] [PubMed]
 - Kaur, J.; Singh, A. Direct Seeded Rice: Prospects, Problems/Constraints and Researchable Issues in India. Curr. Agric. Res. J. 2017, 5, 13–32. [Google Scholar] [CrossRef]
 - Chakrabarti, B.; Mina, U.; Pramanik, P.; Sharma, D.K. Water footprint of transplanted and direct seeded rice. In Environmental Sustainability: Concepts, Principles, Evidences and Innovations; Excellent Publishing House: Tamilnadu, India, 2014; pp. 75–79. [Google Scholar]
 - Tan, X.; Shao, D.; Liu, H.; Yang, F.; Xiao, C.; Yang, H. Effects of alternate wetting and drying irrigation on percolation and nitrogen leaching in paddy fields. Paddy Water Environ. 2013, 11, 381–395. [Google Scholar] [CrossRef]
 - Howell, K.R.; Shrestha, P.; Dodd, I.C. Alternate wetting and drying irrigation maintained rice yields despite half the irrigation volume but is currently unlikely to be adopted by smallholder lowland rice farmers in Nepal. Food Energy Secur. 2015, 4, 144–157. [Google Scholar] [CrossRef]
 - Nalley, L.; Linquist, B.; Kovacs, K.; Anders, M. The economic viability of alternative wetting and drying irrigation in Arkansas rice production. Agron. J. 2015, 107, 579–587. [Google Scholar] [CrossRef]
 - Carrijo, D.R.; Lundy, M.E.; Linquist, B.A. Rice yields and water use under alternate wetting and drying irrigation: A meta-analysis. Field Crops Res. 2017, 203, 173–180. [Google Scholar] [CrossRef]
 - Gao, R.; Zhuo, L.; Duan, Y.; Yan, C.; Yue, Z.; Zhao, Z.; Wu, P. Effects of alternate wetting and drying irrigation on yield, water-saving, and emission reduction in rice fields: A global meta-analysis. Agric. For. Meteorol. 2024, 353, 110075. [Google Scholar] [CrossRef]
 - Akbar, G.; Hameed, S.; Islam, Z. Assessing water productivity and energy use for irrigating rice in Pakistan. Irrig. Drain. 2023, 72, 478–486. [Google Scholar] [CrossRef]
 - Martin-Vertedor, A.I.; Dodd, I.C. Root-to-shoot signalling when soil moisture is heterogeneous: Increasing the proportion of root biomass in drying soil inhibits leaf growth and increases leaf ABA concentration. Plant Cell Environ. 2011, 34, 1164–1175. [Google Scholar] [CrossRef]
 - Massey, J.H.; Walker, T.W.; Anders, M.M.; Smith, M.C.; Avila, L.A. Farmer adaptation of intermittent flooding using multiple-inlet rice irrigation in Mississippi. Agric. Water Manag. 2014, 146, 297–304. [Google Scholar] [CrossRef]
 - Adhya, T.K.; Linquist, B.; Searchinger, T.; Wassmann, R.; Yan, X. Wetting and drying: Reducing greenhouse gas emissions and saving water from rice production. In Working Paper, Installment 8 of Creating a Sustainable Food Future; World Resources Institute: Washington, DC, USA, 2014. [Google Scholar]
 - Mahender Kumar, M.; Somasekhar, N.; Surekha, K.; Padmavathi, C.H.; Srinivas Prasad, M.; Ravindra Babu, V.; Subba Rao, L.V.; Latha, P.C.; Sreedevi, B.; Ravichandran, S.; et al. SRI-A method for sustainable intensification of rice production with enhanced water productivity. Agrotechnology 2013, 1–7. [Google Scholar] [CrossRef]
 - Hussain, S.; Hussain, S.; Aslam, Z.; Rafiq, M.; Abbas, A.; Saqib, M.; Rauf, A.; Hano, C.; El-Esawi, M.A. Impact of different water management regimes on the growth, productivity, and resource use efficiency of dry direct seeded rice in central Punjab-Pakistan. Agronomy 2021, 11, 1151. [Google Scholar] [CrossRef]
 - Ashraf, M.; Ejaz, K.; Arshad, M.D. Water use efficiency and economic feasibility of laser land leveling in the fields in the irrigated areas of Pakistan. Sci. Technol. Dev. 2017, 36, 115–127. [Google Scholar]
 - Jonubi, R.; Rezaverdinejad, V.; Salemi, H. Enhancing field scale water productivity for several rice cultivars under limited water supply. Paddy Water Environ. 2018, 16, 125–141. [Google Scholar] [CrossRef]
 






| Years | Texture | pH | EC (dS m−1) | Exchangeable Sodium (mmol 100 g−1)  | Total Nitrogen (%) | Available Phosphorus (mg kg−1) | Exchangeable Potassium (mg kg−1) | OM (%) | BD (g m–3) | 
|---|---|---|---|---|---|---|---|---|---|
| 2022 | Sandy clay loam | 7.75 | 1.30 | 0.41 | 0.05 | 15.40 | 187.50 | 0.92 | 1.48 | 
| 2023 | Sandy clay loam | 7.65 | 1.68 | 0.39 | 0.04 | 11.55 | 149 | 0.68 | 1.53 | 
| Month | Minimum Temperature (°C) | Maximum Temperature (°C) | Relative Humidity (%) | Rainfall (mm) | ||||
|---|---|---|---|---|---|---|---|---|
| 2022 | 2023 | 2022 | 2023 | 2022 | 2023 | 2022 | 2023 | |
| June | 29.53 | 29.84 | 43.29 | 41.99 | 28.29 | 40.22 | 1.75 | 0.43 | 
| July | 28.31 | 29.82 | 35.99 | 39.02 | 69.08 | 55.91 | 9.93 | 3.24 | 
| August | 26.07 | 30.38 | 34.24 | 41.97 | 77.21 | 43.71 | 4.67 | 0.19 | 
| September | 25.25 | 28.85 | 36.97 | 41.04 | 59.27 | 36.75 | 0.86 | 0.27 | 
| October | 19.94 | 21.21 | 35.48 | 36.26 | 41.58 | 31.40 | 0.06 | 0.006 | 
| November | 13.75 | 13.75 | 28.81 | 28.81 | 44.34 | 44.34 | 0.30 | 0.30 | 
| Traits | 2022 | 2023 | ||
|---|---|---|---|---|
| I | V | I | V | |
| Leaf-area index 1 | 7.59 ** | 8.38 ** | 18.78 ** | 4.48 ** | 
| Leaf-area index 2 | 2.66 ns | 4.39 ** | 12.67 ** | 4.36 ** | 
| Leaf-area index 3 | 21.23 ** | 3.42 * | 29.42 ** | 5.76 ** | 
| Leaf-area index 4 | 8.61 ** | 3.78 * | 16.14 ** | 5.04 ** | 
| Leaf-area index 5 | 6.06 ** | 2.53 ns | 8.73 ** | 3.65 * | 
| Leaf-area index 6 | 5.92 ** | 2.65 * | 8.01 ** | 5.00 ** | 
| Leaf-area index 7 | 15.40 ** | 5.11 ** | 7.81 ** | 9.78 ** | 
| Plant height | 0.39 ns | 45.48 ** | 0.38 ns | 39.27 ** | 
| Productive tillers | 6.20 ** | 0.43 ns | 9.14 ** | 0.49 ns | 
| Non-productive tillers | 26.95 ** | 5.79 ** | 42.65 ** | 10.23 ** | 
| Panicle length | 1.40 ns | 1.10 ns | 0.50 ns | 0.62 ns | 
| No. of branches per panicle | 3.59 * | 1.50 ns | 2.82 ns | 0.94 ns | 
| No. of grains per panicle | 5.94 ** | 0.25 ns | 4.66 * | 0.19 ns | 
| 1000-grain weight | 1.12 ns | 1.45 ns | 2.00 ns | 1.98 ns | 
| Grain yield | 1.14 ns | 22.44 ** | 0.75 ns | 11.75 ** | 
| Straw yield | 0.05 ns | 8.55 ** | 0.79 ns | 7.32 ** | 
| Biological yield | 0.33 ns | 16.92 ** | 0.83 ns | 9.50 ** | 
| Harvest index | 0.67 ns | 3.22 * | 0.26 ns | 10.66 ** | 
| Water-use efficiency | 119.43 ** | 20.06 ** | 70.77 ** | 11.47 ** | 
| Irrigation Techniques | 2022 | 2023 | |||||||
|---|---|---|---|---|---|---|---|---|---|
| Varieties | Gross Income | Total Expenditure | Net Income | BCR | Gross Income | Total Expenditure | Net Income | BCR | |
| FI | Super gold 2019 | 235,000 | 230,938.75 | 4061.25 | 0.017586 | 240,000 | 232,188.75 | 7811.25 | 0.033642 | 
| FI | Super basmati 2019 | 250,000 | 242,688.75 | 7311.25 | 0.030126 | 255,000 | 243,938.75 | 11,061.25 | 0.045344 | 
| FI | Kissan basmati 2019 | 265,000 | 256,438.75 | 8561.25 | 0.033385 | 270,000 | 257,688.75 | 12,311.25 | 0.047776 | 
| FI | Punjab basmati 2016 | 290,000 | 277,688.75 | 12,311.25 | 0.044335 | 296,666.5 | 279,355.375 | 17,311.125 | 0.061968 | 
| FI | Chenab basmati 2016 | 305,000 | 281,438.75 | 23,561.25 | 0.083717 | 310,000 | 282,688.75 | 27,311.25 | 0.096612 | 
| AWD | Super gold 2019 | 245,000 | 236,313.75 | 8686.25 | 0.036757 | 250,000 | 237,563.75 | 12,436.25 | 0.052349 | 
| AWD | Super basmati 2019 | 260,000 | 248,063.75 | 11,936.25 | 0.048118 | 268,333.5 | 250,147.125 | 18,186.375 | 0.072703 | 
| AWD | Kissan basmati 2019 | 275,000 | 256,813.75 | 18,186.25 | 0.070815 | 283,333.5 | 258,897.125 | 24,436.375 | 0.094386 | 
| AWD | Punjab basmati 2016 | 300,000 | 278,063.75 | 21,936.25 | 0.078889 | 303,333.5 | 278,897.125 | 24,436.375 | 0.087618 | 
| AWD | Chenab basmati 2016 | 315,000 | 281,813.75 | 33,186.25 | 0.11776 | 323,333.5 | 283,897.125 | 39,436.375 | 0.138911 | 
| CF | Super gold 2019 | 240,000 | 235,438.75 | 4561.25 | 0.019373 | 245,000 | 236,688.75 | 8311.25 | 0.035115 | 
| CF | Super basmati 2019 | 255,000 | 246,188.75 | 8811.25 | 0.035791 | 260,000 | 247,438.75 | 12,561.25 | 0.050765 | 
| CF | Kissan basmati 2019 | 270,000 | 258,938.75 | 11,061.25 | 0.042718 | 275,000 | 260,188.75 | 14,811.25 | 0.056925 | 
| CF | Punjab basmati 2016 | 295,000 | 280,188.75 | 14,811.25 | 0.052862 | 301,666.5 | 281,855.375 | 19,811.125 | 0.070288 | 
| CF | Chenab basmati 2016 | 310,000 | 285,938.75 | 24,061.25 | 0.084148 | 316,666.5 | 287,605.375 | 29,061.125 | 0.101045 | 
Disclaimer/Publisher’s Note: The statements, opinions and data contained in all publications are solely those of the individual author(s) and contributor(s) and not of MDPI and/or the editor(s). MDPI and/or the editor(s) disclaim responsibility for any injury to people or property resulting from any ideas, methods, instructions or products referred to in the content.  | 
© 2025 by the authors. Licensee MDPI, Basel, Switzerland. This article is an open access article distributed under the terms and conditions of the Creative Commons Attribution (CC BY) license (https://creativecommons.org/licenses/by/4.0/).
Share and Cite
Sajjad, M.; Hussain, K.; Hakki, E.E.; Ilyas, A.; Gezgin, S.; Shakil, Q. Impact of Irrigation Techniques on Water-Use Efficiency, Economic Returns, and Productivity of Rice. Sustainability 2025, 17, 7712. https://doi.org/10.3390/su17177712
Sajjad M, Hussain K, Hakki EE, Ilyas A, Gezgin S, Shakil Q. Impact of Irrigation Techniques on Water-Use Efficiency, Economic Returns, and Productivity of Rice. Sustainability. 2025; 17(17):7712. https://doi.org/10.3390/su17177712
Chicago/Turabian StyleSajjad, Muhammad, Khalid Hussain, Erdoğan Eşref Hakki, Ayesh Ilyas, Sait Gezgin, and Qamar Shakil. 2025. "Impact of Irrigation Techniques on Water-Use Efficiency, Economic Returns, and Productivity of Rice" Sustainability 17, no. 17: 7712. https://doi.org/10.3390/su17177712
APA StyleSajjad, M., Hussain, K., Hakki, E. E., Ilyas, A., Gezgin, S., & Shakil, Q. (2025). Impact of Irrigation Techniques on Water-Use Efficiency, Economic Returns, and Productivity of Rice. Sustainability, 17(17), 7712. https://doi.org/10.3390/su17177712
        
