Sign in to use this feature.

Years

Between: -

Subjects

remove_circle_outline
remove_circle_outline
remove_circle_outline
remove_circle_outline
remove_circle_outline
remove_circle_outline
remove_circle_outline

Journals

Article Types

Countries / Regions

Search Results (44)

Search Parameters:
Keywords = Abutilon

Order results
Result details
Results per page
Select all
Export citation of selected articles as:
22 pages, 2986 KB  
Article
Exploration on the Extraction of Phenolic Acid from Abutilon theophrasti and Antioxidant and Antibacterial Activities
by Xiaofei Xie, Wenyan Zhao, Jiaying Liu, Qi Liang, Kuiwang Chen, Quanyu Lin, Ying Yang, Chunjian Zhao and Chunying Li
Separations 2025, 12(11), 288; https://doi.org/10.3390/separations12110288 - 22 Oct 2025
Viewed by 298
Abstract
This study selected Abutilon theophrasti Medicus as the research object and optimized the ultrasonic-assisted heat reflux extraction process using response surface methodology to achieve efficient extraction of phenolic acids from its leaves. The optimized conditions were as follows: methanol was used as the [...] Read more.
This study selected Abutilon theophrasti Medicus as the research object and optimized the ultrasonic-assisted heat reflux extraction process using response surface methodology to achieve efficient extraction of phenolic acids from its leaves. The optimized conditions were as follows: methanol was used as the extraction solvent, with a liquid–solid ratio of 30:1 (mL/g), ultrasonic power of 200 W, ultrasonic time of 30 min, and reflux temperature of 70 °C. Under these conditions, the extraction yield of total phenolic acid reached 213.29 μg/g, which significantly higher than those obtained using traditional extraction methods. Subsequently, six phenolic acid compounds, gallic acid, protocatechuic acid, chlorogenic acid, vanillic acid, syringic acid, and p-hydroxybenzoic acid, were successfully separated and identified from the leaf extract. Meanwhile, the phenolic acid contents in the roots, stems, and leaves of A. theophrasti were analyzed by HPLC method. The results showed that the phenolic acid content in the leaves was significantly higher than in the roots and stems. Furthermore, the antioxidant and antibacterial activities of extracts obtained from different plant parts, and those of the six separated phenolic acids, were systematically evaluated. The results demonstrated that all the samples exhibited notable antioxidant and antibacterial activities. Among them, gallic acid, protocatechuic acid, syringic acid, and vanillic acid displayed strong antioxidant activity, while gallic acid and vanillic acid showed the highest antibacterial efficacy. Full article
(This article belongs to the Section Analysis of Natural Products and Pharmaceuticals)
Show Figures

Figure 1

15 pages, 2908 KB  
Article
Widely Targeted Metabolomics Reveals Metabolic Divergence in Abutilon theophrasti Populations Under Glufosinate Ammonium Treatment
by Xiaotong Guo, Yu Wang, Yulian Guo, Chan Luo and Keqiang Cong
Plants 2025, 14(13), 1994; https://doi.org/10.3390/plants14131994 - 30 Jun 2025
Viewed by 726
Abstract
Abutilon theophrasti Medikus, a pervasive weed infesting transgenic corn fields, exhibits increasing tolerance to glufosinate ammonium—a widely used herbicide in genetically modified cropping systems. This study employed a widely targeted metabolomics approach to investigate differential metabolic responses to glufosinate ammonium across two Abutilon [...] Read more.
Abutilon theophrasti Medikus, a pervasive weed infesting transgenic corn fields, exhibits increasing tolerance to glufosinate ammonium—a widely used herbicide in genetically modified cropping systems. This study employed a widely targeted metabolomics approach to investigate differential metabolic responses to glufosinate ammonium across two Abutilon theophrasti populations under identical treatments. A total of 2546 metabolites were detected, predominantly classified into alkaloids, amino acids and derivatives, and flavonoids, among other categories. Three pivotal metabolic pathways (Arginine and proline metabolism, Biosynthesis of amino acids, D-amino acid metabolism) were identified as critical regulators of herbicide response. These findings advance our understanding of weed metabolic adaptation to glufosinate ammonium and lay a foundation for elucidating potential herbicide resistance mechanisms in weeds. Full article
(This article belongs to the Section Plant Physiology and Metabolism)
Show Figures

Figure 1

20 pages, 6380 KB  
Article
Flora and Phytochorology of Lahij Governorate of Yemen: 3-Systematic Revision of Malvaceae s.l. in Toor Al-Baha District
by Othman S. S. Al-Hawshabi, Ahmed K. Osman, Ahmed M. Abbas, Rahmah N. AlQthanin and Mohamed O. Badry
Diversity 2025, 17(4), 242; https://doi.org/10.3390/d17040242 - 28 Mar 2025
Cited by 1 | Viewed by 1283
Abstract
This study presents a thorough revision of the Malvaceae s.l. (sensu lato) family within the Flora of the Toor Al-Baha District, Lahij Governorate, South Yemen. The documented taxa were subjected to morphological revision alongside an analysis of life forms and chorological affinities. Thirty [...] Read more.
This study presents a thorough revision of the Malvaceae s.l. (sensu lato) family within the Flora of the Toor Al-Baha District, Lahij Governorate, South Yemen. The documented taxa were subjected to morphological revision alongside an analysis of life forms and chorological affinities. Thirty taxa are categorized into 12 genera within four subfamilies. Each species is presented with its current classification, accepted names, synonyms (when applicable), vernacular names (when applicable), photographs, and distribution to aid in identifying and recognizing these species. The documented mallow species comprises 80% perennials and 20% annuals. Chamaephytes constituted the predominant life forms, comprising 50% of the total taxa surveyed. A phytogeographical analysis revealed that chorotypes with Sudano-Zambezian affinities are predominant, comprising 83.34% of the recorded mallows. The two subfamilies, Grewioideae and Sterculioideae, are distinguished by the lack of an epicalyx and the presence of an androgynophore, unlike the subfamilies Dombeyoideae and Malvoideae. The highest richness genera included Grewia, with seven taxa, and Hibiscus, Abutilon, and Corchorus, each comprising four species. The research presented nine artificial keys for wild mallows in the Lahij Governorate, comprising three for subfamilies and six for genera. Full article
Show Figures

Figure 1

21 pages, 4161 KB  
Article
Systemic Uptake of Rhodamine Tracers Quantified by Fluorescence Imaging: Applications for Enhanced Crop–Weed Detection
by Yu Jiang, Masoume Amirkhani, Ethan Lewis, Lynn Sosnoskie and Alan Taylor
AgriEngineering 2025, 7(3), 49; https://doi.org/10.3390/agriengineering7030049 - 20 Feb 2025
Cited by 1 | Viewed by 1681
Abstract
Systemic fluorescence tracers introduced into crop plants provide an active signal for crop–weed differentiation that can be exploited for precision weed management. Rhodamine B (RB), a widely used tracer for seeds and seedlings, possesses desirable properties; however, its application as a seed treatment [...] Read more.
Systemic fluorescence tracers introduced into crop plants provide an active signal for crop–weed differentiation that can be exploited for precision weed management. Rhodamine B (RB), a widely used tracer for seeds and seedlings, possesses desirable properties; however, its application as a seed treatment has been limited due to potential phytotoxic effects on seedling growth. Therefore, investigating mitigation strategies or alternative systemic tracers is necessary to fully leverage active signaling for crop–weed differentiation. This study aimed to identify and address the phytotoxicity concerns associated with Rhodamine B and evaluate Rhodamine WT and Sulforhodamine B as potential alternatives. A custom 2D fluorescence imaging system, along with analytical methods, was developed to optimize fluorescence imaging quality and facilitate quantitative characterization of fluorescence intensity and patterns in plant seedlings, individual leaves, and leaf disc samples. Rhodamine compounds were applied as seed treatments or in-furrow (soil application). Rhodamine B phytotoxicity was mitigated by growing in a sand and perlite media due to the adsorption of RB to perlite. Additionally, in-furrow and seed treatment methods were tested for Rhodamine WT and Sulforhodamine B to evaluate their efficacy as non-phytotoxic alternatives. Experimental results demonstrated that Rhodamine B applied via seed pelleting and Rhodamine WT used as a direct seed treatment were the most effective approaches. A case study was conducted to assess fluorescence signal intensity for crop–weed differentiation at a crop–weed seed distance of 2.5 cm (1 inch). Results indicated that fluorescence from both Rhodamine B via seed pelleting and Rhodamine WT as seed treatment was clearly detected in plant tissues and was ~10× higher than that from neighboring weed plant tissues. These findings suggest that RB ap-plied via seed pelleting effectively differentiates plant seedlings from weeds with reduced phytotoxicity, while Rhodamine WT as seed treatment offers a viable, non-phytotoxic alternative. In conclusion, the combination of the developed fluorescence imaging system and RB seed pelleting presents a promising technology for crop–weed differentiation and precision weed management. Additionally, Rhodamine WT, when used as a seed treatment, provides satisfactory efficacy as a non-phytotoxic alternative, further expanding the options for fluorescence-based crop–weed differentiation in weed management. Full article
Show Figures

Graphical abstract

22 pages, 5386 KB  
Article
Resistome Signature and Antibiotic Resistance Mechanisms in Rhizospheric Soil Bacteriomes of Mecca Region, Saudi Arabia: Insights into Impact on Human Health
by Rewaa S. Jalal and Hana S. Sonbol
Life 2024, 14(8), 928; https://doi.org/10.3390/life14080928 - 24 Jul 2024
Cited by 3 | Viewed by 2153
Abstract
The objective of this investigation is to ascertain the distinctive profile of the rhizospheric soil resistome within the Mecca region, while also evaluating the potential risks associated with the horizontal transfer of resistome determinants to the open environment and human clinical isolates. We [...] Read more.
The objective of this investigation is to ascertain the distinctive profile of the rhizospheric soil resistome within the Mecca region, while also evaluating the potential risks associated with the horizontal transfer of resistome determinants to the open environment and human clinical isolates. We have made metagenomic whole-genome shotgun sequencing for rhizospheric microbiomes of two endemic plants, namely Moringa oleifera and Abutilon fruticosum. The rhizospheric resistomes of the two plants and the abundance of antibiotic resistance genes (ARGs) were identified by cross-referencing encoded proteins with the comprehensive antibiotic resistance database (CARD). The identified ARGs were then analyzed for their antimicrobial resistance (AMR) mechanisms. Predominantly within this soil are the two bacterial species Pseudomonas aeruginosa and Mycobacterium tuberculosis. These opportunistic human pathogens are implicated in respiratory infections and are correlated with heightened mortality rates. The most prevalent array of ARGs existing in this soil comprises mexA, mexC, mexE, and cpxR, associated with mechanisms of antibiotic active efflux, along with ACC(2), ACC(3), AAC(6), and APH(6), in addition to arr1, arr3, arr4, iri, rphA, and rphB, implicated in antibiotic inactivation. Furthermore, vanS, vanR, and vanJ are identified for antibiotic target alteration, while rpoB2 and RbpA are noted for antibiotic target replacement and protection, respectively. These mechanisms confer resistance against a diverse spectrum of drug classes encompassing fluoroquinolones, aminoglycosides, glycopeptides, and rifampicins. This study underscores the potential hazards posed to human health by the presence of these pathogenic bacteria within the rhizospheric soil of the Mecca region, particularly in scenarios where novel ARGs prevalent in human populations are harbored and subsequently transmitted through the food chain to human clinical isolates. Consequently, stringent adherence to good agricultural and food transportation practices is imperative, particularly with regard to edible plant parts and those utilized in folkloric medicine. Full article
(This article belongs to the Section Microbiology)
Show Figures

Figure 1

19 pages, 5552 KB  
Article
Soil Nitrogen and Flooding Intensity Determine the Trade-Off between Leaf and Root Traits of Riparian Plant Species
by Hang Zou, Wanyu Wang, Jinxia Huang, Xiaohong Li, Maohua Ma, Shengjun Wu and Cunfeng Zhao
Plants 2024, 13(7), 978; https://doi.org/10.3390/plants13070978 - 29 Mar 2024
Cited by 4 | Viewed by 1738
Abstract
The investigation into trade-offs among plant functional traits sheds light on how plants strategically balance growth and survival when facing environmental stress. This study sought to evaluate whether trade-offs observed at both community and individual species levels could indicate adaptive fitness across an [...] Read more.
The investigation into trade-offs among plant functional traits sheds light on how plants strategically balance growth and survival when facing environmental stress. This study sought to evaluate whether trade-offs observed at both community and individual species levels could indicate adaptive fitness across an intensity of flooding intensity. The study was conducted at 25 sampling sites spanning approximately 600 km along the riparian zone in the Three Gorges Reservoir area, China. The findings revealed that, along the flooding gradient, the overall riparian community did not exhibit significant trade-offs between leaf and root traits. Examining three broadly distributed dominant species (Cynodon dactylon, Xanthium strumarium, and Abutilon theophrasti), perennial plants showed pronounced trade-offs under low flooding intensity, while annuals exhibited trade-offs under moderate and low flooding intensity. The trade-offs were evident in traits related to nitrogen-carbon resources, such as specific leaf area, root tissue density, and photosynthetic rate. However, under strong flooding intensity, the relationship between leaf and root traits of the species studied was decoupled. Furthermore, the study identified a significant correlation between soil nitrogen and the trade-off traits under moderate and low flooding intensity. Integrating results from the CSR (Competitors, Stress-tolerators, Ruderals) strategy model, species niche breath analysis, and nitrogen-regulated trade-off, the study revealed that, in the face of high flooding intensity, perennial species (C. dactylon) adopts an S-strategy, demonstrating tolerance through a conservative resource allocation that decouples leaf-root coordination. Annual species (X. strumarium and A. theophrasti), on the other hand, exhibit niche specialization along the flooding gradient, employing distinct strategies (R- and C-strategy). As flooding stress diminishes and soil nitrogen level decreases, plant strategies tend to shift towards an R-strategy with a competition for reduced N resources. In conclusion, the study highlighted the pivotal roles of soil nitrogen and flooding intensity acting as the dual determinants of species growth and tolerance. These dynamics of growth-tolerance balance were evident in the diverse trade-offs between leaf and root traits of individual plant species with different life histories, underscoring the array of adaptive strategies employed by riparian plants across the flooding intensity gradient. Full article
(This article belongs to the Section Plant Response to Abiotic Stress and Climate Change)
Show Figures

Figure 1

12 pages, 2633 KB  
Article
Exploring the Feasibility of Integrating Weed and Nitrogen Management with Seed Meals in Organic Vegetables
by Allison Butterfield and Sam E. Wortman
Horticulturae 2024, 10(1), 75; https://doi.org/10.3390/horticulturae10010075 - 11 Jan 2024
Viewed by 1716
Abstract
Corn gluten meal (CGM) and soybean meal (SBM) have demonstrated value as bioherbicides and organic fertilizers, but suggested application rates usually target either weed suppression or crop nutrition, not both. The objective of this study was to explore the feasibility of integrating weed [...] Read more.
Corn gluten meal (CGM) and soybean meal (SBM) have demonstrated value as bioherbicides and organic fertilizers, but suggested application rates usually target either weed suppression or crop nutrition, not both. The objective of this study was to explore the feasibility of integrating weed and nitrogen management by evaluating effects of increasing seed meal rates within planting holes of plastic mulch film on weed density, soil nitrogen availability, and crop yield in tomato (Solanum lycopersicum) and broccoli (Brassica oleracea). CGM (10% N) or SBM (7% N) were applied at rates of 0.5, 1, 2, 3.5, or 5 g planting hole−1 N (depending on crop and year) after crops were transplanted, and 40 weed seeds per planting hole were seeded. Weed density decreased with increasing seed meal rate, regardless of type, and velvetleaf (Abutilon theophrasti) was more susceptible than the grass weeds tested. Velvetleaf suppression at the 5 g planting hole−1 N rate ranged from 66% to 97%, relative to the weedy control. Soil nitrogen availability increased with the application rate, but ammonium mineralized from seed meals applied at the highest rates were likely phytotoxic to weeds and crops. Seed meals never increased the crop yield and reduced the tomato yield in 2018 by 39% to 64%, relative to the weed-free control. The results suggest that integrating the management of weeds and nitrogen with seed meals in plastic mulch planting holes is not feasible because application rates required for consistent weed suppression are also toxic to crops. Full article
(This article belongs to the Special Issue Organic Fertilizers in Horticulture)
Show Figures

Figure 1

18 pages, 4197 KB  
Article
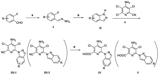
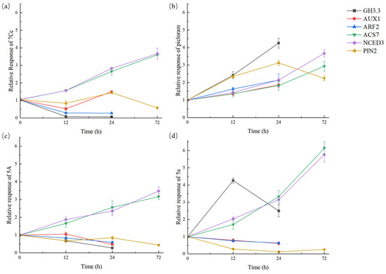
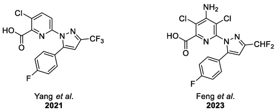
Study on Design, Synthesis and Herbicidal Activity of Novel 6-Indazolyl-2-picolinic Acids
by Qing Liu, Rong-Chuan Shi, Hui-Ting Li, Wei Wei, Xiao Yuan, Shang-Zhong Liu and Yi-Ming Cao
Molecules 2024, 29(2), 332; https://doi.org/10.3390/molecules29020332 - 9 Jan 2024
Cited by 5 | Viewed by 2904
Abstract
Thirty-eight new 4-amino-3,5-dicholo-6-(1H-indazolyl)-2-picolinic acids and 4-amino-3,5-dicholo-6-(2H-indazolyl)-2-picolinic acids were designed by scaffold hopping and synthesized to discover potential herbicidal molecules. All the new compounds were tested to determine their inhibitory activities against Arabidopsis thaliana and the root growth of five [...] Read more.
Thirty-eight new 4-amino-3,5-dicholo-6-(1H-indazolyl)-2-picolinic acids and 4-amino-3,5-dicholo-6-(2H-indazolyl)-2-picolinic acids were designed by scaffold hopping and synthesized to discover potential herbicidal molecules. All the new compounds were tested to determine their inhibitory activities against Arabidopsis thaliana and the root growth of five weeds. In general, the synthesized compounds exhibited excellent inhibition properties and showed good inhibitory effects on weed root growth. In particular, compound 5a showed significantly greater root inhibitory activity than picloram in Brassica napus and Abutilon theophrasti Medicus at the concentration of 10 µM. The majority of compounds exhibited a 100% post-emergence herbicidal effect at 250 g/ha against Amaranthus retroflexus and Chenopodium album. We also found that 6-indazolyl-2-picolinic acids could induce the up-regulation of auxin genes ACS7 and NCED3, while auxin influx, efflux and auxin response factor were down-regulated, indicating that 6-indazolyl-2-picolinic acids promoted ethylene release and ABA production to cause plant death in a short period, which is different in mode from other picolinic acids. Full article
Show Figures

Graphical abstract

15 pages, 2399 KB  
Article
Effect of Drying Post-Harvest on the Nutritional Compounds of Edible Flowers
by Jean Santos Machado, Ylenia Pieracci, Giulia Carmassi, Barbara Ruffoni, Andrea Copetta and Laura Pistelli
Horticulturae 2023, 9(11), 1248; https://doi.org/10.3390/horticulturae9111248 - 20 Nov 2023
Cited by 3 | Viewed by 3118
Abstract
The post-harvest techniques are the most critical point to ensure the quality of edible flowers (EFs) and to keep the bioactive metabolites available for human nutrition. The different species of EFs also represent a problem in improving their consumption with safety. The present [...] Read more.
The post-harvest techniques are the most critical point to ensure the quality of edible flowers (EFs) and to keep the bioactive metabolites available for human nutrition. The different species of EFs also represent a problem in improving their consumption with safety. The present study focused on the description of the effects of the commonly used drying treatments in the phytonutritional composition of four species of EFs, Callianthe megapotamica, Callianthe striata, Nemesia strumosa and Salvia elegans. The bioactive metabolites and antioxidant activity were determined after freeze-drying (FD) and hot-air-drying (HA) treatments in comparison to fresh flowers. All EFs showed different mineral/trace compositions with potassium as the main element and 70–86% water loss. Both post-harvest treatments increased all the metabolites and antioxidant activity in each species. C. striata with FD treatment had the highest content of primary and secondary metabolites. N. strumosa has the highest ascorbic acid content with the HA treatment. All species had significant antioxidant activity, increasing with FD for C. striata while HA is more recommended for the other species. The post-harvest techniques are able to preserve and increase the bioactive metabolites and must be chosen according to each EF species. Full article
Show Figures

Figure 1

16 pages, 3374 KB  
Article
Assessing Herbicide Efficacy of Pelargonic Acid on Several Weed Species
by Donato Loddo, Kishore Kumar Jagarapu, Elisa Strati, Giacomo Trespidi, Nebojša Nikolić, Roberta Masin, Antonio Berti and Stefan Otto
Agronomy 2023, 13(6), 1511; https://doi.org/10.3390/agronomy13061511 - 30 May 2023
Cited by 21 | Viewed by 7268
Abstract
Pelargonic acid is the most successful natural herbicide and can contribute to reducing synthetic herbicides, but information on its efficacy is contrasting. Given its high cost, a reduction of the rate could facilitate the spread of the use of this herbicide. Two greenhouse [...] Read more.
Pelargonic acid is the most successful natural herbicide and can contribute to reducing synthetic herbicides, but information on its efficacy is contrasting. Given its high cost, a reduction of the rate could facilitate the spread of the use of this herbicide. Two greenhouse and three field experiments were conducted to evaluate the herbicidal efficacy of different doses of pelargonic acid on several weeds (Abutilon theophrasti, Alopecurus myosuroides, Conyza sumatrensis, Lolium rigidum, Persicaria maculosa, Setaria pumila, Solanum nigrum). Results show that the efficacy of pelargonic acid is partial both in the greenhouse and field since the sensitivity of weed species is very variable, yet significant weed biomass reduction was observed in field application. Grass weeds, in particular A. myosuroides and L. rigidum, were less sensitive to pelargonic acid, with reduced and transient symptoms even at the highest doses. A large difference in sensitivity was also observed between dicots weeds, with P. oleracea, P. maculosa and A. theophrasti being less sensitive than C. sumatrensis and S. nigrum. The efficacy of pelargonic acid in field conditions depends on the botanical composition of weed flora and environmental conditions. Hot and dry conditions can promote leaf traits that decrease weed sensitivity by reducing herbicide penetration inside leaves. Despite its high cost, pelargonic acid can be a useful tool in an integrated multi-tactic strategy for sustainable weed management, while its use as a stand-alone tactic is less recommendable. Full article
Show Figures

Figure 1

13 pages, 2752 KB  
Article
Optimizing Biochar Particle Size for Plant Growth and Mitigation of Soil Salinization
by Esther Tang, Wenxi Liao and Sean C. Thomas
Agronomy 2023, 13(5), 1394; https://doi.org/10.3390/agronomy13051394 - 18 May 2023
Cited by 16 | Viewed by 6788
Abstract
Pyrolyzed waste biomass, or biochar, has been suggested as a means to increase plant growth and mitigate soil salinization, which is a widespread agricultural issue and can reach extreme levels in urban soils impacted by de-icing salts. Soil mixing is enhanced by reduced [...] Read more.
Pyrolyzed waste biomass, or biochar, has been suggested as a means to increase plant growth and mitigate soil salinization, which is a widespread agricultural issue and can reach extreme levels in urban soils impacted by de-icing salts. Soil mixing is enhanced by reduced biochar particle size; however, biochar properties vary with particle size, and recent studies have suggested that plant growth responses may be maximized at intermediate particle sizes. We examined the responses of two plant species (cowpea (Vigna unguiculata) and velvetleaf (Abutilon theophrasti)) to biochar amendments that spanned a wide range of particle sizes obtained by sieving, with and without de-icing salt additions. The smallest size fractions of biochar reduced plant growth relative to unamended controls. Plant biomass production was generally maximized at intermediate biochar particle size treatments, with particle sizes of 0.5–2.0 mm showing the best response. Mitigation of salt effects was also improved at intermediate biochar particle sizes in this particle size range. Our results emphasize the importance of optimizing biochar particle size to best enhance plant responses to biochar, with particular reference to saline soils. Full article
Show Figures

Figure 1

12 pages, 2351 KB  
Article
In Vitro Cytotoxicity Assessment of Abutilon pannosum Chloroform Fraction and Its Phytoconstituents Analysis
by Mohammed Al-zharani, Fahd A. Nasr, Ibrahim O. Barnawi, Omar M. Noman, Rashed N. Herqash, Sami A. Alsufyani, Ashraf Ahmed Qurtam, Hassan A. Rudayni, Mohammed S. Aleissa and Ali S. Alqahtani
Processes 2023, 11(5), 1306; https://doi.org/10.3390/pr11051306 - 23 Apr 2023
Cited by 3 | Viewed by 2720
Abstract
Plants continue to play a critical role in the discovery of effective compounds, especially anticancer drugs. Abutilon pannosum has been historically used as a therapeutic plant in the medicinal system. In this study, an ethanolic crude extract was prepared from the dried powder [...] Read more.
Plants continue to play a critical role in the discovery of effective compounds, especially anticancer drugs. Abutilon pannosum has been historically used as a therapeutic plant in the medicinal system. In this study, an ethanolic crude extract was prepared from the dried powder of A. pannosum and subsequently fractionated to produce chloroform, butanol, and water fractions. The crude extract and fractions were tested for their cytotoxic action against various cancer cells using the MTT assay. Additionally, the effect of the most promising fraction on the cell cycle arrest and apoptosis induction was studied using flow cytometry and RT-PCR. Western blotting was employed to confirm the expression of apoptosis-related proteins. The chemical constituents of the most promising fraction were further analyzed by GC-MS. Among all the tested extracts, the A. pannosum chloroform fraction (APCF) exhibited the most potent activity against MCF-7 breast cancer cells, with an IC50 value of 50 µg/mL. The growth inhibition of the MCF-7 cells was found to be linked with cell cycle arrest at the G1 phase. Moreover, apoptosis was confirmed as a cell death mode using the FITC-annexin/PI assay, as well as the upregulation of proapoptotic genes, including Bax and caspase-7, and downregulation of the antiapoptotic Bcl-2 gene. The most abundant phytoconstituents revealed by the GC-MS analysis were palmitic acid (50.46%), quinic acid (11.84%), alpha-d-glucopyranoside (11.15%), parthenolide (9.65%), and phytol (6.65%). Our in vitro assessment indicates that A. pannosum could be a potential source of anticancer agents. Full article
(This article belongs to the Special Issue Bioactive Compounds from Natural Plants)
Show Figures

Figure 1

16 pages, 2507 KB  
Article
Differential Effects of RNA-Dependent RNA Polymerase 6 (RDR6) Silencing on New and Old World Begomoviruses in Nicotiana benthamiana
by Emanuela Noris, Mattia Pegoraro, Sandra Palzhoff, Catalina Urrejola, Nicolai Wochner, Sigi Kober, Kerstin Ruoff, Slavica Matić, Vera Schnepf, Nina Weisshaar and Christina Wege
Viruses 2023, 15(4), 919; https://doi.org/10.3390/v15040919 - 5 Apr 2023
Cited by 3 | Viewed by 3161
Abstract
RNA-dependent RNA polymerases (RDRs) are key players in the antiviral defence mediated by RNA silencing in plants. RDR6 is one of the major components of the process, regulating the infection of certain RNA viruses. To better clarify its function against DNA viruses, we [...] Read more.
RNA-dependent RNA polymerases (RDRs) are key players in the antiviral defence mediated by RNA silencing in plants. RDR6 is one of the major components of the process, regulating the infection of certain RNA viruses. To better clarify its function against DNA viruses, we analyzed the effect of RDR6 inactivation (RDR6i) in N. benthamiana plants on two phloem-limited begomoviruses, the bipartite Abutilon mosaic virus (AbMV) and the monopartite tomato yellow leaf curl Sardinia virus (TYLCSV). We observed exacerbated symptoms and DNA accumulation for the New World virus AbMV in RDR6i plants, varying with the plant growth temperature (ranging from 16 °C to 33 °C). However, for the TYLCSV of Old World origin, RDR6 depletion only affected symptom expression at elevated temperatures and to a minor extent; it did not affect the viral titre. The accumulation of viral siRNA differed between the two begomoviruses, being increased in RDR6i plants infected by AbMV but decreased in those infected by TYLCSV compared to wild-type plants. In situ hybridization revealed a 6.5-fold increase in the number of AbMV-infected nuclei in RDR6i plants but without egress from the phloem tissues. These results support the concept that begomoviruses adopt different strategies to counteract plant defences and that TYLCSV evades the functions exerted by RDR6 in this host. Full article
(This article belongs to the Special Issue Plant Viruses: Pirates of Cellular Pathways)
Show Figures

Figure 1

14 pages, 2548 KB  
Article
Alien Plant Invasions of the Natural Habitat in the Western Region of Saudi Arabia: Floristic Diversity and Vegetation Structure
by Saud T. Alharthi, Mohamed A. El-Shiekh and Ahmed A. Alfarhan
Diversity 2023, 15(3), 309; https://doi.org/10.3390/d15030309 - 21 Feb 2023
Cited by 8 | Viewed by 4485
Abstract
The western region of Saudi Arabia is a major vegetation diversity hotspot with wide range of habitats and variant climatic and topographical characteristics. The vegetation diversity in this region has not been fully studied to monitor the changes that happen over time in [...] Read more.
The western region of Saudi Arabia is a major vegetation diversity hotspot with wide range of habitats and variant climatic and topographical characteristics. The vegetation diversity in this region has not been fully studied to monitor the changes that happen over time in these habitats. This study aims to identify the floristic diversity and vegetation structure of the plant species in invaded habitats of the western region of Saudi Arabia. A total of 58 stands in the different invaded habitats (i.e., mountains, protected areas “ridge mountain habitat”, wadis, farmlands, ruderal areas, and coastal areas) were examined. A total of 146 plant species (94 native and 52 alien species) distributed among 132 genera and 49 families were recorded. Asteraceae, Poaceae, and Fabaceae were the most represented families and accounted for approximately 35% of the identified species. Multivariate analysis of the identified species clustered them into four main vegetation groups: VG I dominated by Opuntia ficus-indica-Juniperus phoenicea, VG II dominated by Reichardia tingitana-Heliotropium aegyptiacum, VG III dominated by Prosopis juliflora-Acacia seyal-Abutilon pannosum, and VG IV dominated by Suaeda monoica. The ecological information represented in this study may help in monitoring the changes in vegetation diversity across the western region of Saudi Arabia and designing the required conservation plans. Full article
Show Figures

Figure 1

19 pages, 2916 KB  
Article
Early-Season Mapping of Johnsongrass (Sorghum halepense), Common Cocklebur (Xanthium strumarium) and Velvetleaf (Abutilon theophrasti) in Corn Fields Using Airborne Hyperspectral Imagery
by María Pilar Martín, Bernarda Ponce, Pilar Echavarría, José Dorado and Cesar Fernández-Quintanilla
Agronomy 2023, 13(2), 528; https://doi.org/10.3390/agronomy13020528 - 11 Feb 2023
Cited by 13 | Viewed by 2795
Abstract
Accurate information on the spatial distribution of weeds is the key to effective site-specific weed management and the efficient and sustainable use of weed control measures. This work focuses on the early detection of johnsongrass, common cocklebur and velvetleaf present in a corn [...] Read more.
Accurate information on the spatial distribution of weeds is the key to effective site-specific weed management and the efficient and sustainable use of weed control measures. This work focuses on the early detection of johnsongrass, common cocklebur and velvetleaf present in a corn field using high resolution airborne hyperspectral imagery acquired when corn plants were in a four to six leaf growth stage. Following the appropriate radiometric and geometric corrections, two supervised classification techniques, such as spectral angle mapper (SAM) and spectral mixture analysis (SMA) were applied. Two different procedures were compared for endmember selections: field spectral measurements and automatic methods to identify pure pixels in the image. Maps for both, overall weeds and for each of the three weed species, were obtained with the different classification methods and endmember sources. The best results were achieved by defining the endmembers through spectral information collected with a field spectroradiometer. Overall accuracies ranged between 60% and 80% using SAM for maps that do not differentiate the weed species while it decreased to 52% when the three weed species were individually classified. In this case, the SMA classification technique clearly improved the SAM results. The proposed methodology shows it to be a promising prospect to be applicable to low cost images acquired by the new generation of hyperspectral sensors onboard unmanned aerial vehicles (UAVs). Full article
(This article belongs to the Special Issue Advances in Field Spectroscopy in Agriculture)
Show Figures

Figure 1

Back to TopTop