Sign in to use this feature.

Years

Between: -

Subjects

remove_circle_outline
remove_circle_outline
remove_circle_outline
remove_circle_outline
remove_circle_outline
remove_circle_outline
remove_circle_outline
remove_circle_outline
remove_circle_outline

Journals

remove_circle_outline
remove_circle_outline
remove_circle_outline
remove_circle_outline
remove_circle_outline
remove_circle_outline
remove_circle_outline
remove_circle_outline
remove_circle_outline
remove_circle_outline
remove_circle_outline
remove_circle_outline
remove_circle_outline
remove_circle_outline
remove_circle_outline
remove_circle_outline
remove_circle_outline
remove_circle_outline
remove_circle_outline
remove_circle_outline
remove_circle_outline
remove_circle_outline
remove_circle_outline

Article Types

Countries / Regions

remove_circle_outline
remove_circle_outline
remove_circle_outline
remove_circle_outline
remove_circle_outline

Search Results (2,231)

Search Parameters:
Keywords = ACCS

Order results
Result details
Results per page
Select all
Export citation of selected articles as:
18 pages, 3861 KB  
Article
Cardiovascular Risk Factors Among Younger and Older C-AYA Cancer Survivors Treated with Anthracyclines: A Single-Center Analysis
by Matthew Dean, Ben Bane, OreOluwa Aluko, Yiwei Hang, Ericka Miller, Sherin Menachery, David Chuquin, Adam Aston, Xiaoyan Deng, Dipankar Bandyopadhyay, Jennifer Jordan, Uyen Truong, Madhu Gowda and Wendy Bottinor
Cancers 2026, 18(1), 12; https://doi.org/10.3390/cancers18010012 - 19 Dec 2025
Abstract
Background/Objectives: Among survivors of cancer diagnosed in childhood, adolescence, or young adulthood (C-AYAs), cardiotoxic therapies combined with acquired cardiovascular risk factors (CVRFs) increase the risk for cardiovascular events. To our knowledge, no prior analysis has examined CVRFs among C-AYAs < 20 years [...] Read more.
Background/Objectives: Among survivors of cancer diagnosed in childhood, adolescence, or young adulthood (C-AYAs), cardiotoxic therapies combined with acquired cardiovascular risk factors (CVRFs) increase the risk for cardiovascular events. To our knowledge, no prior analysis has examined CVRFs among C-AYAs < 20 years old or compared CVRFs among younger and older C-AYAs. Methods: In this single-center study, individuals diagnosed with cancer at ≤39 years, treated with anthracycline-based chemotherapy (2010–2023), and with a post-treatment lipid panel and ≥2 post-treatment ambulatory blood pressure measurements were included. The CVRF prevalence was assessed among C-AYAs < 20 and ≥20 years old, using age-appropriate AAP and ACC/AHA guidelines. These prevalences were compared with the ICD-9/10 code prevalence. The prescription of medications with antihypertensive effects (MAHEs) and lipid-lowering therapy was assessed. Results: Among 276 C-AYAs, the median age was 28.1 years (IQR 18.1–38.3) at dyslipidemia screening and 29.3 (IQR 20.0–38.7) at hypertension screening. Dyslipidemia was present in 52.9% (146/276) and hypertension in 56.2% (155/276) of C-AYAs. C-AYAs < 20 years old had a high prevalence of dyslipidemia, 51.7% (45/87), and hypertension, 31.9% (29/91). CVRFs were frequently underdiagnosed, particularly dyslipidemia, among C-AYAs < 20 years old, with only 12.6% (11/87) having a diagnosis via the ICD code. C-AYAs < 20 years old with diagnoses of dyslipidemia and hypertension were significantly less likely to receive lipid-lowering therapy (2.2% vs. 14.9%) and trended toward less MAHEs (13.8% vs. 31.0%) compared to C-AYAs ≥ 20. Conclusions: Among C-AYAs treated with anthracyclines, dyslipidemia and hypertension were highly prevalent even at a young age (<20 years). Younger survivors with dyslipidemia and hypertension were less frequently prescribed lipid-lowering therapy or MAHEs. Full article
(This article belongs to the Section Cancer Survivorship and Quality of Life)
Show Figures

Figure 1

19 pages, 623 KB  
Article
Early-Stage Graph Fusion with Refined Graph Neural Networks for Semantic Code Search
by Longhao Ao and Rongzhi Qi
Appl. Sci. 2026, 16(1), 12; https://doi.org/10.3390/app16010012 - 19 Dec 2025
Abstract
Code search has received significant attention in the field of computer science research. Its core objective is to retrieve the most semantically relevant code snippets by aligning the semantics of natural language queries with those of programming languages, thereby contributing to improvements in [...] Read more.
Code search has received significant attention in the field of computer science research. Its core objective is to retrieve the most semantically relevant code snippets by aligning the semantics of natural language queries with those of programming languages, thereby contributing to improvements in software development quality and efficiency. As the scale of public code repositories continues to expand rapidly, the ability to accurately understand and efficiently match relevant code has become a critical challenge. Furthermore, while numerous studies have demonstrated the efficacy of deep learning in code-related tasks, the mapping and semantic correlations are often inadequately addressed, leading to the disruption of structural integrity and insufficient representational capacity during semantic matching. To overcome these limitations, we propose the Functional Program Graph for Code Search (called FPGraphCS), a novel code search method that leverages the construction of functional program graphs and an early fusion strategy. By incorporating abstract syntax tree (AST), data dependency graph (DDG), and control flow graph (CFG), the method constructs a comprehensive multigraph representation, enriched with contextual information. Additionally, we propose an improved metapath aggregation graph neural network (IMAGNN) model for the extraction of code features with complex semantic correlations from heterogeneous graphs. Through the use of metapath-associated subgraphs and dynamic metapath selection via a graph attention mechanism, FPGraphCS significantly enhances its search capability. The experimental results demonstrate that FPGraphCS outperforms existing baseline methods, achieving an MRR of 0.65 and ACC@10 of 0.842, showing a significant improvement over previous approaches. Full article
Show Figures

Figure 1

30 pages, 3640 KB  
Article
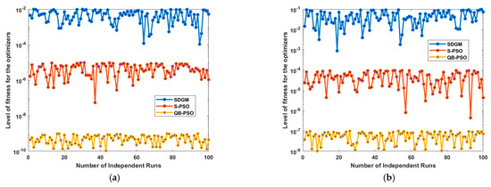
Modified EfficientNet-B0 Architecture Optimized with Quantum-Behaved Algorithm for Skin Cancer Lesion Assessment
by Abdul Rehman Altaf, Abdullah Altaf and Faizan Ur Rehman
Diagnostics 2025, 15(24), 3245; https://doi.org/10.3390/diagnostics15243245 - 18 Dec 2025
Abstract
Background/Objectives: Skin cancer is one of the most common diseases in the world, whose early and accurate detection can have a survival rate more than 90% while the chance of mortality is almost 80% in case of late diagnostics. Methods: A [...] Read more.
Background/Objectives: Skin cancer is one of the most common diseases in the world, whose early and accurate detection can have a survival rate more than 90% while the chance of mortality is almost 80% in case of late diagnostics. Methods: A modified EfficientNet-B0 is developed based on mobile inverted bottleneck convolution with squeeze and excitation approach. The 3 × 3 convolutional layer is used to capture low-level visual features while the core features are extracted using a sequence of Mobile Inverted Bottleneck Convolution blocks having both 3 × 3 and 5 × 5 kernels. They not only balance fine-grained extraction with broader contextual representation but also increase the network’s learning capacity while maintaining computational cost. The proposed architecture hyperparameters and extracted feature vectors of standard benchmark datasets (HAM10000, ISIC 2019 and MSLD v2.0) of dermoscopic images are optimized with the quantum-behaved particle swarm optimization algorithm (QBPSO). The merit function is formulated by the training loss given in the form of standard classification cross-entropy with label smoothing, mean fitness value (mfval), average accuracy (mAcc), mean computational time (mCT) and other standard performance indicators. Results: Comprehensive scenario-based simulations were performed using the proposed framework on a publicly available dataset and found an mAcc of 99.62% and 92.5%, mfval of 2.912 × 10−10 and 1.7921 × 10−8, mCT of 501.431 s and 752.421 s for HAM10000 and ISIC2019 datasets, respectively. The results are compared with state of the art, pre-trained existing models like EfficentNet-B4, RegNetY-320, ResNetXt-101, EfficentNetV2-M, VGG-16, Deep Lab V3 as well as reported techniques based on Mask RCCN, Deep Belief Net, Ensemble CNN, SCDNet and FixMatch-LS techniques having varying accuracies from 85% to 94.8%. The reliability of the proposed architecture and stability of QBPSO is examined through Monte Carlo simulation of 100 independent runs and their statistical soundings. Conclusions: The proposed framework reduces diagnostic errors and assists dermatologists in clinical decisions for an improved patient outcomes despite the challenges like data imbalance and interpretability. Full article
(This article belongs to the Special Issue Medical Image Analysis and Machine Learning)
Show Figures

Figure 1

30 pages, 2687 KB  
Article
Anomaly Behavior Detection Based on Deep Learning in an IoT Environment
by Anqi Fu and Jian Li
Sensors 2025, 25(24), 7605; https://doi.org/10.3390/s25247605 - 15 Dec 2025
Viewed by 114
Abstract
In the era of the Internet of Things (IoT), video surveillance, as a vital component of smart cities and public security systems, faces the critical challenge of efficiently detecting abnormal behaviors within massive video streams. However, existing weakly supervised video anomaly detection methods [...] Read more.
In the era of the Internet of Things (IoT), video surveillance, as a vital component of smart cities and public security systems, faces the critical challenge of efficiently detecting abnormal behaviors within massive video streams. However, existing weakly supervised video anomaly detection methods are often limited by the scarcity of abnormal samples, the similarity between normal and abnormal segments, and the insufficient modeling of temporal dependencies. To address these challenges, this paper proposes a novel approach that integrates temporal structural attention with contrastive learning. On the one hand, causal masks and temporal decay weights are incorporated into the attention mechanism to explicitly constrain temporal relations and prevent future information leakage; on the other hand, positive/negative offsets and a contrastive learning strategy are employed to enhance the discriminability of abnormal segments in the latent space. Experiments conducted on multiple public video anomaly detection datasets validate the effectiveness of the proposed method, with results showing superior performance over existing mainstream models: the AUC increases to 98.1%, ACC reaches 96.1%, and the F1-score improves to 94.5%. These findings demonstrate that the proposed method can provide more intelligent, efficient, and reliable anomaly detection for IoT-based video surveillance, holding significant implications for public safety and intelligent monitoring. Full article
(This article belongs to the Special Issue IoT Network Security (Second Edition))
Show Figures

Figure 1

17 pages, 906 KB  
Article
Observer-Based Adaptive Cruise Control with Input Saturation and Disturbance Attenuation: An LMI Approach
by Hayoon Jeon, Kwangil Lee and Han Sol Kim
Actuators 2025, 14(12), 610; https://doi.org/10.3390/act14120610 - 15 Dec 2025
Viewed by 143
Abstract
This paper addresses the observer-based controller design for adaptive cruise control (ACC) systems using a linear matrix inequality (LMI) framework, considering both input saturation and disturbance attenuation performance. To formulate the controller design problem as LMIs, the nonlinear input saturation is represented as [...] Read more.
This paper addresses the observer-based controller design for adaptive cruise control (ACC) systems using a linear matrix inequality (LMI) framework, considering both input saturation and disturbance attenuation performance. To formulate the controller design problem as LMIs, the nonlinear input saturation is represented as a convex combination of linear state feedback controllers. Unlike conventional approaches that only reformulate input saturation, this work further incorporates the estimated state and the decay rate of a Lyapunov function to establish an invariant level set condition, leading to a novel LMI-based design criterion. The proposed method incorporates level set conditions to handle input constraints and employs an H criterion to ensure disturbance attenuation. Since the resulting design conditions are non-convex due to bilinear matrix terms, a two-step approach is applied to derive the controller design conditions in the form of LMIs. Finally, simulation results are presented to demonstrate the effectiveness of the proposed method. Full article
Show Figures

Figure 1

22 pages, 5205 KB  
Article
Designing Dynamic Stacked Bar Charts for Alarm Semantic Levels: Hierarchical Color Cues and Orientation on Perceptual Order and Search Efficiency
by Jing Zhang, Qi Yan, Jinchun Wu and Weijia Ge
Sensors 2025, 25(24), 7589; https://doi.org/10.3390/s25247589 - 14 Dec 2025
Viewed by 171
Abstract
In sensor-based monitoring systems, the rapid and accurate recognition of alarm semantic levels is essential for maintaining operational reliability. Traditional static visualizations often fail to communicate these distinctions effectively under time pressure, whereas dynamic stacked bar charts (DSBCs) integrate multiple semantic layers into [...] Read more.
In sensor-based monitoring systems, the rapid and accurate recognition of alarm semantic levels is essential for maintaining operational reliability. Traditional static visualizations often fail to communicate these distinctions effectively under time pressure, whereas dynamic stacked bar charts (DSBCs) integrate multiple semantic layers into a compact, dynamic display. This study systematically investigated how color cues applied to auxiliary visual elements (background, foreground, labels, and scale lines) and chart orientation (horizontal vs. vertical) affect users’ alarm recognition performance. Thirty-two participants completed a semantic alarm recognition task involving DSBCs with various combinations of color-coded elements and orientations. Reaction time (RT) and accuracy (ACC) were analyzed using mixed-effects regression models. The results revealed that color cues in foreground and labels significantly enhanced both RT and ACC, whereas background and scale line color cues produced negligible effects. Orientation exerted a significant main effect on RT but not on ACC. Participants responded faster to horizontally oriented charts, indicating improved scanning efficiency. Moreover, increasing the number of color cues yielded higher ACC and shorter RTs, supporting a redundancy gain effect. However, no interaction was found between color cues and orientation, suggesting that these factors influence performance through distinct cognitive pathways. The findings align with theories of attentional guidance, redundancy gain, and spatial compatibility, and offer practical recommendations for alarm visualization design. Consequently, designers are advised to prioritize color coding of perceptually dominant elements, employ horizontal layouts in time-critical contexts, and implement redundant but non-overwhelming cues to enhance alarm recognition in complex sensor-based monitoring environments. Full article
(This article belongs to the Section Intelligent Sensors)
Show Figures

Figure 1

19 pages, 3276 KB  
Article
Brain Activation Features in Response to the Expectation of Receiving Rewards Through Aggression
by Jia-Ming Wei, Xiaoyun Zhao and Ling-Xiang Xia
Brain Sci. 2025, 15(12), 1326; https://doi.org/10.3390/brainsci15121326 - 12 Dec 2025
Viewed by 277
Abstract
Background: Reward expectation is an important motivation for aggression. However, despite substantial progress in behavioral studies related to reward expectation in aggression, the neural basis underlying this process remains unclear. Methods: To investigate the brain correlates of aggressive reward expectation, we [...] Read more.
Background: Reward expectation is an important motivation for aggression. However, despite substantial progress in behavioral studies related to reward expectation in aggression, the neural basis underlying this process remains unclear. Methods: To investigate the brain correlates of aggressive reward expectation, we developed the Harm–Gain Task (HGT). In this task, participants were informed that they could gain money by causing harm to another person and were instructed to evaluate their satisfaction with the anticipated monetary reward. Additionally, we designed a questionnaire to measure participants’ moral disengagement concerning aggressive decision-making in the HGT. Thirty-four healthy Chinese university students completed the HGT while in the scanner, and their functional images were acquired using a 3.0-T Siemens Tim Trio scanner. Data from two participants were excluded from the analysis due to excessive head motion. Finally, data from 32 participants (15 males, Mage = 19.97 years, SDage = 2.07 years) were included in the analyses. Results: Findings show that during the reward expectation phase of the HGT, (1) relative to the baseline condition, the orbitofrontal cortex (OFC), anterior cingulate cortex (ACC), and middle cingulate cortex (MCC) were significantly activated. Conversely, activation in the bilateral dorsolateral prefrontal cortex (DLPFC), bilateral inferior parietal lobule (IPL), and bilateral lateral temporal cortex (LTC) was attenuated. (2) As the monetary amount raised, activation in the OFC and ACC significantly increased, while activation in the DLPFC, IPL, and LTC significantly decreased. (3) As the monetary amount raised, the heightened activation in the OFC and ACC was significantly correlated with participants’ aggressive behavior and moral disengagement scores. Conclusions: The results provide preliminary evidence regarding neural correlates in aggressive reward expectation, promoting further exploration of the cognitive neural mechanisms underlying aggression. Full article
Show Figures

Figure 1

20 pages, 1355 KB  
Article
Multimodal Mutual Information Extraction and Source Detection with Application in Focal Seizure Localization
by Soosan Beheshti, Erfan Naghsh, Younes Sadat-Nejad and Yashar Naderahmadian
Electronics 2025, 14(24), 4897; https://doi.org/10.3390/electronics14244897 - 12 Dec 2025
Viewed by 231
Abstract
Current multimodal imaging–based source localization (SoL) methods often rely on synchronously recorded data, and many neural network–driven approaches require large training datasets, conditions rarely met in clinical neuroimaging. To address these limitations, we introduce MieSoL (Multimodal Mutual Information Extraction and Source Localization), a [...] Read more.
Current multimodal imaging–based source localization (SoL) methods often rely on synchronously recorded data, and many neural network–driven approaches require large training datasets, conditions rarely met in clinical neuroimaging. To address these limitations, we introduce MieSoL (Multimodal Mutual Information Extraction and Source Localization), a unified framework that fuses EEG and MRI, whether acquired synchronously or asynchronously, to achieve robust cross-modal information extraction and high-accuracy SoL. Targeting neuroimaging applications, MieSoL combines Magnetic Resonance Imaging (MRI) and Electroencephalography (EEG), leveraging their complementary strengths—MRI’s high spatial resolution and EEG’s superior temporal resolution. MieSoL addresses key limitations of existing SoL methods, including poor localization accuracy and an unreliable estimation of the true source number. The framework combines two existing components—Unified Left Eigenvectors (ULeV) and Efficient High-Resolution sLORETA (EHR-sLORETA)—but integrates them in a novel way: ULeV is adapted to extract a noise-resistant shared latent representation across modalities, enabling cross-modal denoising and an improved estimation of the true source number (TSN), while EHR-sLORETA subsequently performs anatomically constrained high-resolution inverse mapping on the purified subspace. While EHR-sLORETA already demonstrates superior localization precision relative to sLORETA, replacing conventional PCA/ICA preprocessing with ULeV provides substantial advantages, particularly when data are scarce or asynchronously recorded. Unlike PCA/ICA approaches, which perform denoising and source selection separately and are limited in capturing shared information, ULeV jointly processes EEG and MRI to perform denoising, dimension reduction, and mutual-information-based feature extraction in a unified step. This coupling directly addresses longstanding challenges in multimodal SoL, including inconsistent noise levels, temporal misalignment, and the inefficiency of traditional PCA-based preprocessing. Consequently, on synthetic datasets, MieSoL achieves 40% improvement in Average Correlation Coefficient (ACC) and 56% reduction in Average Error Estimation (AEE) compared to conventional techniques. Clinical validation involving 26 epilepsy patients further demonstrates the method’s robustness, with automated results aligning closely with expert epileptologist assessments. Overall, MieSoL offers a principled and interpretable multimodal fusion paradigm that enhances the fidelity of EEG source localization, holding significant promise for both clinical and cognitive neuroscience applications. Full article
Show Figures

Figure 1

24 pages, 5025 KB  
Review
Plant Growth-Promoting Rhizobacteria and Biochar as Drought Defense Tools: A Comprehensive Review of Mechanisms and Future Directions
by Faezeh Parastesh, Behnam Asgari Lajayer and Bernard Dell
Curr. Issues Mol. Biol. 2025, 47(12), 1040; https://doi.org/10.3390/cimb47121040 - 12 Dec 2025
Viewed by 218
Abstract
Drought stress, exacerbated by climate change, is a serious threat to global food security. This review examines the synergistic potential of plant growth-promoting rhizobacteria (PGPR) and biochar as a sustainable strategy for enhancing crop drought resilience. Biochar’s porous structure creates a protective “charosphere” [...] Read more.
Drought stress, exacerbated by climate change, is a serious threat to global food security. This review examines the synergistic potential of plant growth-promoting rhizobacteria (PGPR) and biochar as a sustainable strategy for enhancing crop drought resilience. Biochar’s porous structure creates a protective “charosphere” microhabitat, enhancing PGPR colonization and survival. This partnership, in turn, induces multifaceted plant responses through: (1) the modulation of key phytohormones, including abscisic acid (ABA), ethylene (via 1-aminocyclopropane-1-carboxylate (ACC) deaminase activity), and auxins; (2) improved nutrient solubilization and uptake; and (3) the activation of robust antioxidant defense systems. These physiological benefits are orchestrated by a profound reprogramming of the plant transcriptome, which shifts the plant’s expression profile from a stressed to a resilient state by upregulating key genes (e.g., Dehydration-Responsive Element-Binding protein (DREB), Light-Harvesting Chlorophyll B-binding protein (LHCB), Plasma membrane Intrinsic Proteins (PIPs)) and downregulating stress-senescence markers. To realize a climate-resilient farming future, research must be strategically directed toward customizing biochar–PGPR combinations, validating their long-term performance in agronomic environments, and uncovering the molecular bases of their action. Full article
Show Figures

Figure 1

15 pages, 2061 KB  
Article
Mitotane-Induced Hypothyroidism and Dyslipidemia in Adrenocortical Carcinoma: Sex Differences and Novel Evidence from a Thyroid Cell Model
by Irene Tizianel, Arianna Beber, Alberto Madinelli, Mario Caccese, Susi Barollo, Loris Bertazza, Elena Ruggiero, Simona Censi, Caterina Mian and Filippo Ceccato
Curr. Oncol. 2025, 32(12), 700; https://doi.org/10.3390/curroncol32120700 - 12 Dec 2025
Viewed by 163
Abstract
Adrenocortical carcinoma (ACC) is a rare and aggressive cancer with limited treatment options, commonly managed with mitotane, which can cause serious side effects, including central hypothyroidism and dyslipidemia. This study aimed to evaluate the incidence, clinical features, and relationship between mitotane-induced central hypothyroidism [...] Read more.
Adrenocortical carcinoma (ACC) is a rare and aggressive cancer with limited treatment options, commonly managed with mitotane, which can cause serious side effects, including central hypothyroidism and dyslipidemia. This study aimed to evaluate the incidence, clinical features, and relationship between mitotane-induced central hypothyroidism and dyslipidemia in ACC patients, as well as to investigate mitotane’s direct toxic effects on thyroid cells. Thirty-eight ACC patients treated with mitotane for at least six months were monitored for thyroid function and lipid profiles. Central hypothyroidism developed in 50% of patients with normal baseline thyroid function, mostly women, who were at higher risk. Dyslipidemia occurred in 40% of patients, more frequently in men, and appeared earlier than hypothyroidism. In vitro experiments on rat thyroid cells demonstrated a dose-dependent toxic effect of mitotane on cell viability. No significant link was found between hypothyroidism and dyslipidemia risk. These findings reveal sex-specific susceptibilities to mitotane toxicity and provide novel evidence of direct mitotane-induced thyroid cell damage. This insight supports the need for careful thyroid and lipid profile monitoring during mitotane treatment and may inform the development of safer therapies for ACC. Full article
Show Figures

Graphical abstract

19 pages, 768 KB  
Article
Prevalence-Insensitive Evaluation of Diagnostic Systems Under Class Imbalance: The Harmonic Mean of Per-Class Sensitivity
by Jesús S. Aguilar-Ruiz
Mathematics 2025, 13(24), 3956; https://doi.org/10.3390/math13243956 - 12 Dec 2025
Viewed by 140
Abstract
In safety-critical diagnosis under class imbalance, widely used global metrics—e.g., accuracy, F-score, and MCC—conflate class-conditional behavior with class priors, often yielding overly optimistic assessments of overall performance, thereby hindering stable comparisons across datasets. We formalize the prevalence sensitivity of these indices and advance [...] Read more.
In safety-critical diagnosis under class imbalance, widely used global metrics—e.g., accuracy, F-score, and MCC—conflate class-conditional behavior with class priors, often yielding overly optimistic assessments of overall performance, thereby hindering stable comparisons across datasets. We formalize the prevalence sensitivity of these indices and advance a prevalence-insensitive evaluation built solely from class-conditional rates (binary TPR/TNR; multiclass per-class sensitivities). We analyze the arithmetic, geometric, and harmonic means as class-symmetric aggregators and provide a geometric characterization of their isocurves. Empirically, on 18 UCI datasets, accuracy exceeded the harmonic mean by ∼3% on average, but the gap widened on skewed sets (e.g., cardiotocography: Acc=0.896 vs. H=0.803, +11.5%). On a 6756-sample, 35-class tumor dataset, high overall agreement (Acc=0.906, Cohen’s κ=0.899) coexisted with dispersed per-class sensitivities (A=0.795, G=0.743, H=0.658) and moderate MCP (0.564), evidencing weak minority-class performance despite strong accuracy. These results show that reliance on accuracy or κ can overstate performance precisely where it matters most, inflating perceived safety and obscuring rare-class failure modes. Prevalence-insensitive, class-symmetric means—especially the harmonic mean of per-class sensitivity—yield conservative, comparable summaries better aligned with risk-aware evaluation and deployment in critical systems. Full article
Show Figures

Figure 1

17 pages, 698 KB  
Article
The Relation of Alpha Asymmetry to Physical Activity Duration and Intensity
by Bryan Montero-Herrera, Megan M. O’Brokta, Praveen A. Pasupathi and Eric S. Drollette
Brain Sci. 2025, 15(12), 1322; https://doi.org/10.3390/brainsci15121322 - 11 Dec 2025
Viewed by 264
Abstract
Background/Objectives: Regular physical activity (PA) benefits mood and cognition, yet the neural markers associated with free-living PA remain unclear. Alpha asymmetry (AA), a neural marker of affective and motivational states, may help predict individuals’ preferred activity intensity and duration. To examine the relationship [...] Read more.
Background/Objectives: Regular physical activity (PA) benefits mood and cognition, yet the neural markers associated with free-living PA remain unclear. Alpha asymmetry (AA), a neural marker of affective and motivational states, may help predict individuals’ preferred activity intensity and duration. To examine the relationship between resting-state AA in frontal and parietal regions, positive affect, and accelerometer-derived PA metrics were measured. Methods: Fifty-nine participants (age = 21.8 years) wore wrist accelerometers for 7 days, completed resting-state electroencephalography (EEG; alpha power 8–13 Hz), and completed the Positive and Negative Affect Schedule (PANAS). PA metrics included sedentary time (ST), light PA (LPA), moderate-to-vigorous PA (MVPA), average acceleration (AvAcc), intensity gradient (IG), and the most active X minutes (M2–M120). Multiple regression models tested AA to PA associations while accounting for sex and positive affect. Results: Although frontal AA was included as a key neural candidate, the observed associations emerged only at parietal sites. Greater right parietal AA power was associated with the most active M60, M30, M15, M10, and M5. For IG, greater AA power was observed in the left parietal region. No significant associations emerged for LPA, MVPA, AvAcc, M120, or M2. Across models, higher positive affect consistently predicted greater PA engagement. Conclusions: While resting frontal AA is theoretically relevant to motivational processes, the findings indicate that parietal AA more strongly differentiates individuals’ tendencies toward specific PA intensities and durations. Positive affect is associated with PA engagement. These findings identify parietal AA as a promising neural correlate for tailoring PA strategies aimed at sustaining active lifestyles. Full article
(This article belongs to the Section Behavioral Neuroscience)
Show Figures

Figure 1

12 pages, 1496 KB  
Communication
Genomic Insights into blaNDM-5-Producing Escherichia coli ST648 Isolates from Human and Wildlife Sources in Lebanon
by Zahraa F. Samadi, Ziad C. Jabbour, Zeinab R. Hodroj, Hadi M. Hussein, Abdallah Kurdi, Lama Hamadeh, Rami Mahfouz, Mahmoud I. Khalil, Rana El Hajj, Ghassan M. Matar and Antoine G. Abou Fayad
Microorganisms 2025, 13(12), 2824; https://doi.org/10.3390/microorganisms13122824 - 11 Dec 2025
Viewed by 183
Abstract
Escherichia coli sequence type 648 (ST648), a lineage within the clinically important phylogroup F, has disseminated worldwide in humans and animals. In this study, we performed whole-genome sequencing and comparative genomic analysis for two New Delhi metallo-beta-lactamase (blaNDM-5) carrying E. [...] Read more.
Escherichia coli sequence type 648 (ST648), a lineage within the clinically important phylogroup F, has disseminated worldwide in humans and animals. In this study, we performed whole-genome sequencing and comparative genomic analysis for two New Delhi metallo-beta-lactamase (blaNDM-5) carrying E. coli strains: ECsOL198, recovered from a wild Eurasian otter in Northern Lebanon, and ECOL247, isolated from a hospitalized leukemia patient. Both isolates belonged to phylogroup F and serotype O9:H4, and exhibited IncFIA, IncFIB, and IncFII plasmids. They shared a similar antimicrobial resistance profile, including a carbapenemase gene (blaNDM-5), β-lactamase genes (blaTEM-1, blaCTX-M-15, and blaOXA-1), and other genes that confer resistance to aminoglycosides (acc(3)-Ile, aadA2), sulfonamides (sul1), tetracyclines (tet(A)), and fluoroquinolones (mutations in gyrA and parC). Both isolates also carried common virulence-associated genes related to adhesion, iron acquisition, environmental persistence, and immune evasion. Whole-genome multilocus sequence typing (wgMLST) revealed that both isolates formed a distinct subclade closely related to a bloodstream-derived ST648 isolate from India, indicating limited relatedness to global clones. These findings highlight the transmission of nearly clonal multidrug-resistant E. coli ST648 in both clinical and non-clinical settings, raising concerns about the threat to public health. Full article
(This article belongs to the Section Molecular Microbiology and Immunology)
Show Figures

Figure 1

24 pages, 460 KB  
Review
Precision Care for Hereditary Urologic Cancers: Genetic Testing, Counseling, Surveillance, and Therapeutic Implications
by Takatoshi Somoto, Takanobu Utsumi, Rino Ikeda, Naoki Ishitsuka, Takahide Noro, Yuta Suzuki, Shota Iijima, Yuka Sugizaki, Ryo Oka, Takumi Endo, Naoto Kamiya and Hiroyoshi Suzuki
Curr. Oncol. 2025, 32(12), 698; https://doi.org/10.3390/curroncol32120698 - 11 Dec 2025
Viewed by 199
Abstract
Hereditary predisposition substantially shapes prevention and management across urologic oncology. This narrative review synthesizes contemporary, practice-oriented guidance on whom to test, what to test, how to act on results, and how to implement care equitably for hereditary forms of prostate cancer, renal cell [...] Read more.
Hereditary predisposition substantially shapes prevention and management across urologic oncology. This narrative review synthesizes contemporary, practice-oriented guidance on whom to test, what to test, how to act on results, and how to implement care equitably for hereditary forms of prostate cancer, renal cell carcinoma (RCC), urothelial carcinoma, pheochromocytoma/paraganglioma (PPGL), and adrenocortical carcinoma (ACC). We delineate between forms of indication-driven germline testing (e.g., universal testing in metastatic prostate cancer; early-onset, bilateral/multifocal, or syndromic RCC; reflex tumor mismatch repair (MMR)/microsatellite instability (MSI) screening in upper-tract urothelial carcinoma (UTUC); universal testing in PPGL; universal TP53 testing in ACC) and pair these strategies with minimum actionable gene sets and syndrome-specific surveillance frameworks. Key points include targeted prostate-specific antigen screening in BRCA2 carriers and the impact of BRCA/ATM variants on reclassification during active surveillance; major hereditary RCC syndromes with genotype-tailored surveillance and pathway-directed therapy (e.g., HIF-2α inhibition for von Hippel–Lindau disease); UTUC/bladder cancer in Lynch syndrome with tumor MMR/MSI screening, annual urinalysis (selective cytology), and immunotherapy opportunities in deficient MMR disease/MSI-H; PPGL management emphasizing universal germline testing, intensified surveillance for SDHB, cortical-sparing adrenalectomy, and emerging HIF-2α inhibition; and ACC care modified by Li–Fraumeni syndrome (minimization of radiation/genotoxic therapy with whole-body imaging surveillance). Testicular germ cell tumor remains largely polygenic, with no routine germline testing in typical presentations. Finally, we provide pre-/post-test genetic-counseling checklists and mainstreamed workflows with equity metrics to operationalize precision care and close real-world access gaps. Full article
(This article belongs to the Section Genitourinary Oncology)
Show Figures

Figure 1

31 pages, 705 KB  
Review
Microbial Biofertilizers for Salinity Stress Mitigation in Hydroponic Systems
by Prabhaharan Renganathan, Lira A. Gaysina and Edgar Omar Rueda-Puente
Curr. Issues Mol. Biol. 2025, 47(12), 1029; https://doi.org/10.3390/cimb47121029 - 10 Dec 2025
Viewed by 277
Abstract
Salinity accumulation is a critical abiotic constraint in hydroponic agriculture, particularly in recirculating systems, where limited leaching and nutrient cycling intensify ionic accumulation and increase the conductivity of nutrient solutions. Hydroponic crops are sensitive to osmotic and ionic stress, which leads to reduced [...] Read more.
Salinity accumulation is a critical abiotic constraint in hydroponic agriculture, particularly in recirculating systems, where limited leaching and nutrient cycling intensify ionic accumulation and increase the conductivity of nutrient solutions. Hydroponic crops are sensitive to osmotic and ionic stress, which leads to reduced water uptake, disrupted nutrient homeostasis, and yield loss. Traditional mitigation strategies, such as nutrient dilution, flushing, and water blending, provide temporary relief while increasing operational costs, nutrient discharge, and water consumption. Microbial biofertilizers, including plant growth-promoting bacteria, fungi, and microalgae, offer a sustainable approach for enhancing salinity resilience. These microorganisms influence root zone processes through mechanisms such as ion transport regulation, exopolysaccharide-mediated Na+ immobilization, osmolyte accumulation, antioxidant enhancement, phytohormonal modulation, and siderophore-mediated micronutrient mobilization. This review (i) summarizes the physiological, microbial, and system-level drivers of salinity stress in hydroponics, (ii) synthesizes evidence for microbial inoculation in saline solutions, and (iii) identifies research gaps related to formulation stability, disinfection compatibility, and commercial-scale validation. We address advances in hydroponic microbiology, emphasizing optimized delivery systems, including encapsulated formulations, consortium-based inoculation, and system-specific strategies to support microbial colonization in soilless environments. Full article
(This article belongs to the Section Molecular Plant Sciences)
Show Figures

Figure 1

Back to TopTop