Sign in to use this feature.

Years

Between: -

Subjects

remove_circle_outline
remove_circle_outline
remove_circle_outline
remove_circle_outline
remove_circle_outline
remove_circle_outline

Journals

Article Types

Countries / Regions

Search Results (18)

Search Parameters:
Keywords = 1P aerodynamic loads

Order results
Result details
Results per page
Select all
Export citation of selected articles as:
16 pages, 3130 KB  
Article
Mechanical, Structural, and Electrochemical Performance of Polyurethane Coatings for Corrosion Protection in Wind Energy Systems
by Oscar Xosocotla, María del Pilar Rodríguez-Rojas, Rafael Campos-Amezcua, Horacio Martínez, Victoria Bustos-Terrones and Oscar Guadarrama Pérez
Coatings 2025, 15(12), 1476; https://doi.org/10.3390/coatings15121476 - 15 Dec 2025
Abstract
Erosion of the leading edge is one of the most severe forms of damage in wind turbine blades, particularly in offshore wind farms. This degradation, mainly caused by rain, sand, and airborne particles through droplet impingement wear, significantly decreases blade aerodynamic efficiency and [...] Read more.
Erosion of the leading edge is one of the most severe forms of damage in wind turbine blades, particularly in offshore wind farms. This degradation, mainly caused by rain, sand, and airborne particles through droplet impingement wear, significantly decreases blade aerodynamic efficiency and power output. Since blades, typically made of fiber-reinforced polymer composites, are the most expensive components of a turbine, developing protective coatings is essential. In this study, polyurethane (PU) composite coatings reinforced with titanium dioxide (TiO2) particles were added on glass fiber substrates by spray coating. The incorporation of TiO2 improved the mechanical and electrochemical performance of the PU coatings. FTIR and XRD confirmed that low TiO2 loadings (1 and 3 wt%) were well dispersed within the PU matrix due to hydrogen bonding between TiO2 –OH groups and PU –NH groups. The PU/TiO2 3% coating exhibited ~61% lower corrosion current density (I_corr) compared to neat PU, indicating superior corrosion resistance. Furthermore, uniform TiO2 dispersion resulted in statistically significant improvements (p < 0.05) in hardness, yield strength, elastic modulus, and adhesion strength. Overall, the PU/TiO2 coatings, particularly at 3 wt% loading, show strong potential as protective materials for wind turbine blades, given their enhanced mechanical integrity and corrosion resistance. Full article
Show Figures

Figure 1

28 pages, 4434 KB  
Article
From Bacterial Extract to Breakthrough Therapy: Pseudomonas fluorescens-Enabled Green Synthesis of pH-Responsive Chitosan–Silver Hybrid Nanoparticles for Next-Generation Pulmonary Drug Delivery Anti-MDR Treatment
by Khulood Fahad Alabbosh, Alaa Elmetwalli, Naseh A. Algehainy and Faisal H. Altemani
Pharmaceutics 2025, 17(12), 1527; https://doi.org/10.3390/pharmaceutics17121527 - 27 Nov 2025
Viewed by 489
Abstract
Background: Multidrug-resistant (MDR) pulmonary infections represent a critical global health challenge, necessitating innovative therapeutic approaches. Green synthesis methodologies offer sustainable alternatives for nanoparticle fabrication while addressing antimicrobial resistance. Methods: Stimuli-responsive chitosan–silver hybrid nanoparticles (CS–Ag HNPs) were biosynthesized using Pseudomonas fluorescens bacterial extracts and [...] Read more.
Background: Multidrug-resistant (MDR) pulmonary infections represent a critical global health challenge, necessitating innovative therapeutic approaches. Green synthesis methodologies offer sustainable alternatives for nanoparticle fabrication while addressing antimicrobial resistance. Methods: Stimuli-responsive chitosan–silver hybrid nanoparticles (CS–Ag HNPs) were biosynthesized using Pseudomonas fluorescens bacterial extracts and loaded with ciprofloxacin for targeted pulmonary delivery. Comprehensive characterization included dynamic light scattering, transmission electron microscopy, UV–visible spectroscopy, and aerodynamic assessment via next-generation impactor. Antimicrobial efficacy was evaluated against MDR Pseudomonas aeruginosa and Klebsiella pneumoniae, including biofilm disruption studies, and biocompatibility was assessed. Molecular docking analysis elucidated binding mechanisms. Cytotoxicity and epithelial barrier integrity were evaluated using Calu-3 cell models. Results: The biosynthesized NPs exhibited optimal physicochemical properties (180 ± 20 nm, PDI 0.21 ± 0.04, ζ-potential + 32.4 ± 3.1 mV) with high encapsulation efficiency (68.2 ± 4.0%). Aerodynamic analysis revealed excellent inhalation characteristics (MMAD 2.6 μm, FPF 65 ± 5%). The hybrid system demonstrated 4-fold enhanced antimicrobial activity against MDR pathogens and significant biofilm disruption (70% for P. aeruginosa, 65% for K. pneumoniae) compared to free ciprofloxacin. Cell viability remained ≥85% at therapeutic concentrations. Molecular docking revealed enhanced drug-target binding affinity (−11.2 vs. −9.3 kcal/mol) and multi-residue interactions. Conclusions: Green-synthesized CS–Ag HNPs represent a promising sustainable platform for combating pulmonary MDR infections through enhanced antimicrobial efficacy and optimal aerodynamic properties. Full article
(This article belongs to the Special Issue Application of Nanomaterials in Pulmonary Drug Delivery)
Show Figures

Figure 1

29 pages, 3175 KB  
Review
A Comparative Review of Vertical Axis Wind Turbine Designs: Savonius Rotor vs. Darrieus Rotor
by Alina Fazylova, Kuanysh Alipbayev, Alisher Aden, Fariza Oraz, Teodor Iliev and Ivaylo Stoyanov
Inventions 2025, 10(6), 95; https://doi.org/10.3390/inventions10060095 - 27 Oct 2025
Viewed by 1629
Abstract
This paper reviews and analyzes three types of vertical-axis wind rotors: the classic Savonius, spiral Savonius, and Darrieus designs. Using numerical modeling methods, including computational fluid dynamics (CFD), their aerodynamic characteristics, power output, and efficiency under different operating conditions are examined. Key parameters [...] Read more.
This paper reviews and analyzes three types of vertical-axis wind rotors: the classic Savonius, spiral Savonius, and Darrieus designs. Using numerical modeling methods, including computational fluid dynamics (CFD), their aerodynamic characteristics, power output, and efficiency under different operating conditions are examined. Key parameters such as lift, drag, torque, and power coefficient are compared to identify the strengths and weaknesses of each rotor. Results highlight that the Darrieus rotor demonstrates the highest efficiency at higher wind speeds due to lift-based operation, while the spiral Savonius offers improved stability, smoother torque characteristics, and adaptability in turbulent or low-wind environments. The classic Savonius, though less efficient, remains simple, cost-effective, and suitable for small-scale urban applications where reliability is prioritized over high performance. In addition, the study outlines the importance of blade geometry, tip speed ratio, and advanced materials in enhancing rotor durability and efficiency. The integration of modern optimization approaches, such as CFD-based design improvements and machine learning techniques, is emphasized as a promising pathway for developing more reliable and sustainable vertical-axis wind turbines. Although the primary analysis relies on numerical simulations, the observed performance trends are consistent with findings reported in experimental studies, indicating that the results are practically meaningful for design screening, technology selection, and siting decisions. Unlike prior studies that analyze Savonius and Darrieus rotors in isolation or under heterogeneous setups, this work (i) establishes a harmonized, fully specified CFD configuration (common domain, BCs, turbulence/near-wall treatment, time-stepping) enabling like-for-like comparison; (ii) couples the transient aerodynamic loads p(θ,t) into a dynamic FEA + fatigue pipeline (rainflow + Miner with mean-stress correction), going beyond static loading proxies; (iii) quantifies a prototype-stage materials choice rationale (aluminum) with a validated migration path to orthotropic composites; and (iv) reports reproducible wake/torque metrics that are cross-checked against mature models (DMST/actuator-cylinder), providing design-ready envelopes for small/medium VAWTs. Overall, the work provides recommendations for selecting rotor types under different wind conditions and operational scenarios to maximize energy conversion performance and long-term reliability. Full article
Show Figures

Figure 1

17 pages, 4511 KB  
Article
CFD-Driven Design of an Air-Cooling System for Lithium-Ion Battery Packs in a Formula Student Car
by Filipe Vaz, João Vasconcelos Silva, Vítor Monteiro and Francisco P. Brito
Energies 2025, 18(20), 5436; https://doi.org/10.3390/en18205436 - 15 Oct 2025
Viewed by 930
Abstract
In the high-performance environment of Formula Student Car racing, effective battery thermal management is crucial for safety, reliability, and performance. This work presents the design and validation of a lightweight, air-based Battery Cooling System (BCS) developed for a Formula Student vehicle. The system [...] Read more.
In the high-performance environment of Formula Student Car racing, effective battery thermal management is crucial for safety, reliability, and performance. This work presents the design and validation of a lightweight, air-based Battery Cooling System (BCS) developed for a Formula Student vehicle. The system addresses the significant thermal loads generated by 528 Molicel P45B lithium-ion cells, arranged in a constrained U-shaped module layout. Using Computational Fluid Dynamics (CFD), the airflow geometry was optimized to deliver uniform cooling across all modules while minimizing aerodynamic drag. Simulations evaluated the system’s performance under various ambient temperatures (25 °C and 30 °C) and airflow velocities (from 16 m/s to 18 m/s), identifying the impact of duct geometry, internal air guides, and airflow distribution on thermal regulation. Results showed that, at nominal ambient temperature (25 °C), all monitored cells stayed below the 60 °C threshold required by FS regulations. At elevated ambient conditions (30 °C), regions above 60 °C appeared within the pack, revealing non-uniform cooling and reduced safety margin. These findings suggest that, while the system complies with current rules, additional design refinements are needed to enhance robustness under harsher conditions. Additionally, these results are specific to a Formula Student application under competition constraints and are not intended to be generalized to production EVs. Full article
(This article belongs to the Special Issue Advanced Thermal Management in Electric Vehicles)
Show Figures

Figure 1

15 pages, 11215 KB  
Article
Effects of Reduced Frequency on the Aerodynamic Characteristics of a Pitching Airfoil at Moderate Reynolds Numbers
by Teng Zhou, Huijing Cao and Ben Zhao
Aerospace 2025, 12(6), 457; https://doi.org/10.3390/aerospace12060457 - 23 May 2025
Viewed by 1032
Abstract
Aerodynamic characteristics of a pitching NACA 0012 airfoil, including the load performance and flow field features, are studied using numerical simulations in this paper. Large Eddy Simulations (LESs) have been performed, and the chord-based Reynolds number is set to 6.6×104 [...] Read more.
Aerodynamic characteristics of a pitching NACA 0012 airfoil, including the load performance and flow field features, are studied using numerical simulations in this paper. Large Eddy Simulations (LESs) have been performed, and the chord-based Reynolds number is set to 6.6×104. Pitching frequency varies from 3 to 20 Hz, corresponding to a reduced frequency of 0.094–0.628 (k=πfpc/U, where fp is the pitching frequency, c is the chord length, and U refers to the incident flow speed). As the pitching frequency increases, the maximum lift coefficient achieved in one pitching cycle decreases, and the direction of the lift hysteresis loop changes as the pitching frequency exceeds a certain value, leading to a change in the lift of the sign at the zero-incidence moment, which is a result of the instantaneous flow patterns on the airfoil surface. As the pitching frequency increases, flow unsteadiness develops less in one pitching cycle, and the time duration in which the turbulence boundary layer can be detected in one pitching cycle shrinks. Additionally, for the pitching airfoil, combinations of the flow patterns on the upper and lower sides, such as laminar separation and the turbulent boundary layer, or laminar separation and the laminar separation bubble, were observed on the airfoil surface, and these were not detected on a static airfoil at the corresponding Reynolds number. This is considered an effect of the pitching motion that is in addition to the phase-lag effect. Full article
(This article belongs to the Special Issue Aerodynamics and Aeroacoustics of Unsteady Flow)
Show Figures

Figure 1

17 pages, 4091 KB  
Article
Numerical Study and Optimization-Based Sensitivity Analysis of a Vertical-Axis Wind Turbine
by Rabii El Maani, Bouchaib Radi and Abdelkhalak El Hami
Energies 2024, 17(24), 6300; https://doi.org/10.3390/en17246300 - 13 Dec 2024
Cited by 5 | Viewed by 1282
Abstract
This study aims to introduce a new optimization method for designing a vertical-axis wind turbine (VAWT) that dynamically morphs its blades as a function of the tip-speed ratio (TSR) and azimuthal angle. For this purpose, the Darrieus turbine is the subject of a [...] Read more.
This study aims to introduce a new optimization method for designing a vertical-axis wind turbine (VAWT) that dynamically morphs its blades as a function of the tip-speed ratio (TSR) and azimuthal angle. For this purpose, the Darrieus turbine is the subject of a dynamic study under transient aerodynamic loads. By resolving the two-dimensional unsteady incompressible Navier–Stokes equation, the aerodynamic torque is obtained with the k-ϵ realizable turbulence model. A comparison between rotor operation at optimal and lower  Cp values is possible according to the investigation of flow-field characteristics for a variety of tip-speed ratio values, with experimental results so that a better understanding of the vertical-axis wind turbine’s basic physics is obtained. Then, a multi-objective optimization technique is coupled with ANSYS Workbench to increase the energy generation of VAWT blades by reducing the drag coefficient and maximizing the power coefficient. The input variables were evaluated through a sensitivity analysis, and the most important one was chosen. The analysis results of the best compromise showed that the design methodology’s output is feasible for manufacturing. Full article
(This article belongs to the Section A3: Wind, Wave and Tidal Energy)
Show Figures

Figure 1

25 pages, 12723 KB  
Article
A Dynamic Simulation of a Piezoelectric Energy-Harvesting System Integrated with a Closed-Loop Voltage Source Converter for Sustainable Power Generation
by Ahmed K. Ali, Ali Abdulwahhab Abdulrazzaq and Ali H. Mohsin
Processes 2024, 12(10), 2198; https://doi.org/10.3390/pr12102198 - 10 Oct 2024
Cited by 2 | Viewed by 4537
Abstract
Numerous recent studies address the concept of energy harvesting from natural wind excitation vibration to piezoelectric surfaces, aerodynamic losses, and electromagnetic dampers. All these techniques require a connection to an energy-management circuit. However, the simulation model for energy conversion and management dedicated to [...] Read more.
Numerous recent studies address the concept of energy harvesting from natural wind excitation vibration to piezoelectric surfaces, aerodynamic losses, and electromagnetic dampers. All these techniques require a connection to an energy-management circuit. However, the simulation model for energy conversion and management dedicated to this task has not yet been described. This paper presents a model-based simulation for an energy conversion system using piezoelectric energy-harvester system (PEHS) technology. A controlled pulse width modulation (PWM) rectifier, a closed-loop buck-boost converter, and a piezoelectric transducer comprise a dynamic mathematical model of a PEHS. The control blocks of the closed-loop buck-boost converter use the perturbation and observation (P&O) algorithm based on maximum power point tracking (MPPT), which adapts the operational voltage of the piezoelectric source to deliver the maximum power to load. A simulation program is employed to perform mathematical analysis on various wind vibration scenarios, piezoelectric sources without PWM converters, and piezoelectric vibration sources connected to a closed-loop P&O converter. The crucial results of this paper demonstrated that the proposed dynamic PEHS model effectively fed low-power electronic loads by directly adjusting the output voltage level to the set voltage, even under different vibration severity levels. As a result, the proposed PEHS dynamic model serves as a guideline for researchers in the development of self-powered sensors, which contributes to understanding sustainable energy alternatives. Full article
Show Figures

Figure 1

19 pages, 23333 KB  
Article
Research on the Calculation Method of Propeller 1P Loads Based on the Blade Element Momentum Theory
by Wenhui Yan, Xiao Tian, Junwei Zhou and Kun Zhang
Aerospace 2024, 11(5), 332; https://doi.org/10.3390/aerospace11050332 - 23 Apr 2024
Cited by 2 | Viewed by 4700
Abstract
Aircraft propellers produce relatively large in-plane loads, called propeller 1P loads, during maneuvers such as turning, diving, and lifting, and these loads can negatively affect the flight and control of the aircraft. In order to study the change rule of 1P aerodynamic loads, [...] Read more.
Aircraft propellers produce relatively large in-plane loads, called propeller 1P loads, during maneuvers such as turning, diving, and lifting, and these loads can negatively affect the flight and control of the aircraft. In order to study the change rule of 1P aerodynamic loads, in this paper, a mathematical model of the propeller 1P aerodynamic loads has been developed based on the blade element momentum theory. This mathematical model was then corrected using the Pitt–Peters incoming flow correction method, the Prandtl tip correction method, and the propeller root flow correction method. Based on this mathematical model, a calculation procedure for the propeller 1P aerodynamic loads was developed using MATLAB software, and the accuracy of the procedure was verified by comparing the results with CFD simulation results. Numerical simulations show that the results calculated based on the proposed mathematical model for the coefficients of thrust, power, bending moment, and the tangential force of the propeller have an error of less than ±6.00% compared to the CFD simulation results. For a small inflow angle, the coefficients of bending moment and tangential force of the whole propeller fluctuate in a small range. But, as the inflow angle increases, the fluctuation range of the aerodynamic characteristic parameters of the propeller increases and the fluctuation becomes more complicated. Through numerical calculations, it has been shown that the mathematical model presented herein is reliable and accurate. In addition, it greatly shortens the calculation time and improves the calculation efficiency. It is expected that the proposed model can provide a certain help for the strength design of the propeller structure and the study of the aerodynamic performance of the whole aircraft. Full article
Show Figures

Figure 1

28 pages, 1228 KB  
Article
Comparison of Unsteady Low- and Mid-Fidelity Propeller Aerodynamic Methods for Whirl Flutter Applications
by Christopher Koch, Nils Böhnisch, Hendrik Verdonck, Oliver Hach and Carsten Braun
Appl. Sci. 2024, 14(2), 850; https://doi.org/10.3390/app14020850 - 19 Jan 2024
Cited by 8 | Viewed by 2861
Abstract
Aircraft configurations with propellers have been drawing more attention in recent times, partly due to new propulsion concepts based on hydrogen fuel cells and electric motors. These configurations are prone to whirl flutter, which is an aeroelastic instability affecting airframes with elastically supported [...] Read more.
Aircraft configurations with propellers have been drawing more attention in recent times, partly due to new propulsion concepts based on hydrogen fuel cells and electric motors. These configurations are prone to whirl flutter, which is an aeroelastic instability affecting airframes with elastically supported propellers. It commonly needs to be mitigated already during the design phase of such configurations, requiring, among other things, unsteady aerodynamic transfer functions for the propeller. However, no comprehensive assessment of unsteady propeller aerodynamics for aeroelastic analysis is available in the literature. This paper provides a detailed comparison of nine different low- to mid-fidelity aerodynamic methods, demonstrating their impact on linear, unsteady aerodynamics, as well as whirl flutter stability prediction. Quasi-steady and unsteady methods for blade lift with or without coupling to blade element momentum theory are evaluated and compared to mid-fidelity potential flow solvers (UPM and DUST) and classical, derivative-based methods. Time-domain identification of frequency-domain transfer functions for the unsteady propeller hub loads is used to compare the different methods. Predictions of the minimum required pylon stiffness for stability show good agreement among the mid-fidelity methods. The differences in the stability predictions for the low-fidelity methods are higher. Most methods studied yield a more unstable system than classical, derivative-based whirl flutter analysis, indicating that the use of more sophisticated aerodynamic modeling techniques might be required for accurate whirl flutter prediction. Full article
(This article belongs to the Collection Structural Dynamics and Aeroelasticity)
Show Figures

Figure 1

21 pages, 8751 KB  
Article
Experimental Investigation on Hover Performance of a Ducted Coaxial-Rotor UAV
by Hai Li, Zaibin Chen and Hongguang Jia
Sensors 2023, 23(14), 6413; https://doi.org/10.3390/s23146413 - 14 Jul 2023
Cited by 6 | Viewed by 4499
Abstract
This paper presents experimental investigations on aerodynamic performance of a ducted coaxial-rotor system to evaluate its potential application as a small unmanned aerial vehicle (SUAV). Aimed at determining the influence of design parameters (rotor spacing, tip clearance and rotor position within the duct) [...] Read more.
This paper presents experimental investigations on aerodynamic performance of a ducted coaxial-rotor system to evaluate its potential application as a small unmanned aerial vehicle (SUAV). Aimed at determining the influence of design parameters (rotor spacing, tip clearance and rotor position within the duct) on hover performance, a variety of systematic measurements for several correlative configurations (single/coaxial rotor with or without a duct) in terms of thrust and torque, as well as power, were conducted in an attempt to identify a better aerodynamic configuration. The experimental results for the coaxial-rotor system indicated that varying rotor spacing affected the thrust-sharing proportion between the two rotors, but this had no significant effect on the propulsive efficiency. The optimal H/R ratio was identified as being 0.40, due to a larger thrust and stronger stability in the case of identical rotation speeds. As for the ducted single-rotor configuration, the tip clearance played a dominant role in improving its thrust performance, especially for smaller gaps (δ0.015R), while the rotor position made subordinate contributions. The maximum performance was obtained with the rotor located at the P5 position (0.31Cd from the duct lip), which resulted in an enhancement of approximately 20% in power loading over the isolated single rotor. When the coaxial rotors were surrounded within the duct, the system thrust for a given power degraded with the increasing rotor spacing, which was mainly attributed to the upper rotor suffering from heavier leakage losses. And hence, the ducted coaxial-rotor system with S1 spacing had the best propulsion efficiency and hover performance with a figure of merit of 0.61. Full article
(This article belongs to the Section Remote Sensors)
Show Figures

Figure 1

6 pages, 2350 KB  
Communication
An Optical Intervention to Improve Cycling Time Trials: A Feasibility Study
by Dries Matthys, Jochen Vleugels, Kathleen Denis, Tim Dieryckx and Stijn Verwulgen
Appl. Sci. 2023, 13(5), 3274; https://doi.org/10.3390/app13053274 - 3 Mar 2023
Cited by 1 | Viewed by 2486
Abstract
(1) Background: Many professional and recreational cyclists experience that neck extension in time trial position negatively impacts either speed, comfort, or power production—especially at high cycling speeds or for long distances. We conducted a feasibility study with one subject to assess whether redirecting [...] Read more.
(1) Background: Many professional and recreational cyclists experience that neck extension in time trial position negatively impacts either speed, comfort, or power production—especially at high cycling speeds or for long distances. We conducted a feasibility study with one subject to assess whether redirecting the sight of a cyclist while in time trial position could reduce aerodynamic drag and neck strain by maintaining a more neutral neck position. (2) Methods: A physical immersive exercise bike was developed (called a FAAST-trainer) that emulates posture, velocity, and power to be delivered by the user through an adaptable power load adjusted in real time. As an optical intervention, we used prism glasses to redirect the cyclist’s sight. The subject trained his perceptive-muscular system while cycling on the FAAST-trainer to get used to wearing prism glasses. He feels confident that the glasses are safe to test for future experiments in a velodrome. (3) Results: A consistent reduction in drag was found (p < 001) when wearing prism glasses with the FAAST-trainer, ranging from 3.5% to 4.7%. Accordingly, the cyclist could thus save between 9.7 watts and 13.0 watts cycling at 45 km/h, compared to having his head in an upright position. (4) Conclusions: Our experiment on the FAAST-trainer indicates that an optical intervention to reduce neck extension by redirecting sight might be safe to use for outdoor cycling. However, no vestibular effects, neither auditive nor complex combinations, were assessed, so we recommend additional research and development of a dedicated design for the prism glasses. Outdoor experiments should be conducted to confirm this reduction in aerodynamic drag and further asses the safety when wearing prism glasses. Full article
(This article belongs to the Special Issue New Trends in Fitness and Sports Performance Analysis)
Show Figures

Figure 1

26 pages, 4213 KB  
Article
On Aerodynamic Models for Flutter Analysis: A Systematic Overview and Comparative Assessment
by Marco Berci
Appl. Mech. 2021, 2(3), 516-541; https://doi.org/10.3390/applmech2030029 - 29 Jul 2021
Cited by 18 | Viewed by 7671 | Correction
Abstract
This work reviews different analytical formulations for the time-dependent aerodynamic load of a thin aerofoil and clarifies numerical flutter results available in the literature for the typical section of a flexible wing; inviscid, two-dimensional, incompressible, potential flow is considered in all test cases. [...] Read more.
This work reviews different analytical formulations for the time-dependent aerodynamic load of a thin aerofoil and clarifies numerical flutter results available in the literature for the typical section of a flexible wing; inviscid, two-dimensional, incompressible, potential flow is considered in all test cases. The latter are investigated using the exact theory for small airflow perturbations, which involves both circulatory and non-circulatory effects of different nature, complemented by the p-k flutter analysis. Starting from unsteady aerodynamics and ending with steady aerodynamics, quasi-unsteady and quasi-steady aerodynamic models are systematically derived by successive simplifications within a unified approach. The influence of the aerodynamic approximations on the aeroelastic stability boundary is then rigorously assessed from both physical and mathematical perspectives. All aerodynamic models are critically discussed and compared in the light of the numerical results as well, within a comprehensive theoretical framework in practice. In all cases, results accuracy depends on the aero-structural arrangement of the flexible wing; however, simplified unsteady and simplified quasi-unsteady aerodynamic approximations are suggested for robust flutter analysis whenever the wing’s elastic axis lies ahead of the aerofoil’s control point. Full article
Show Figures

Figure 1

20 pages, 4093 KB  
Article
Vibration Reduction Strategy for Offshore Wind Turbines
by Haoming Liu, Suxiang Yang, Wei Tian, Min Zhao, Xiaoling Yuan and Bofeng Xu
Appl. Sci. 2020, 10(17), 6091; https://doi.org/10.3390/app10176091 - 2 Sep 2020
Cited by 16 | Viewed by 5264
Abstract
The operational environment of offshore wind turbines is much more complex than that of onshore wind turbines. Facing the persistent wind and wave forces, offshore wind turbines are prone to vibration problems, which are not conducive to their long-term operation. Under this background, [...] Read more.
The operational environment of offshore wind turbines is much more complex than that of onshore wind turbines. Facing the persistent wind and wave forces, offshore wind turbines are prone to vibration problems, which are not conducive to their long-term operation. Under this background, first, how the wave affects the vibration characteristics of offshore wind turbines is analyzed. Based on the existing wave and wave load models, we analytically show that there exist fluctuating components related to the hydrodynamic frequency in the aerodynamic load and aerodynamic torque of offshore wind turbines. Simulation results based on a GH Bladed platform further validates the analysis. Second, in order to reduce the joint impacts of the wave, wind shear and tower shadow on the wind turbine, a variable pitch control method is proposed. The integrated tower top vibration acceleration signal is superimposed on the collective pitch reference signal, then the triple frequency (3P) fluctuating component of the wind turbine output power and the azimuth angle of each blade are converted into the pitch angle adjustment signal of each blade, which is superimposed on the collective pitch signal for individual pitch control. The simulation results show that the proposed pitch control strategy can effectively smooth the fluctuation of blade root flap-wise load caused by wind and wave, and significantly reduce the fluctuation of aerodynamic torque and output power of offshore wind turbines. Full article
(This article belongs to the Special Issue Wind Generators: Technology and Trends)
Show Figures

Figure 1

22 pages, 49557 KB  
Article
Assessment of Practical Methods to Predict Accumulated Rotations of Monopile-Supported Offshore Wind Turbines in Cohesionless Ground Profiles
by Saleh Jalbi, Joseph Hilton and Luke Jacques
Energies 2020, 13(15), 3915; https://doi.org/10.3390/en13153915 - 31 Jul 2020
Cited by 5 | Viewed by 4252
Abstract
Monopiles supporting offshore wind turbines can experience permanent non-recoverable rotations (or displacements) during their lifetime due to the cyclic nature of hydrodynamic and aerodynamic loading exerted on them. Recent studies in the literature have demonstrated that conventional cyclic p–y curves recommended in different [...] Read more.
Monopiles supporting offshore wind turbines can experience permanent non-recoverable rotations (or displacements) during their lifetime due to the cyclic nature of hydrodynamic and aerodynamic loading exerted on them. Recent studies in the literature have demonstrated that conventional cyclic p–y curves recommended in different codes of practice (API-RP-2GEO and DNVGL-RP-C212) may not capture the effects of long-term cyclic loads as they are independent of the loading profile and the number of applied cycles. Several published methodologies based on laboratory scaled model tests (on sands) exist to determine the effect of cyclic lateral loads on the long-term behaviour of piles. The tests vary in terms of the pile behaviour (rigid or flexible pile), number of applied loading cycles, and the load profile (one-way or two-way loading). The best-fit curves provided by these tests offer practical and cost-efficient methods to quantify the accumulated rotations when compared to Finite Element Method. It is therefore desirable that such methods are further developed to take into account different soil types and the complex nature of the loading. The objective of this paper is to compare the performance of the available formulations under the actions of a typical 35-h (hour) storm as per the Bundesamt für Seeschifffahrt und Hydrographie (BSH) recommendations. Using classical rain flow counting, the loading time-history is discretized into load packets where each packet has a loading profile and number of cycles, which then enables the computation of an equivalent number of cycles of the largest load packet. The results show that the loading profile plays a detrimental role in the result of the accumulated rotation. Furthermore, flexibility of the pile also has an important effect on the response of the pile where predictions obtained from formulations based on flexible piles resulted in a much lower accumulated rotation than tests based on rigid piles. Finally, the findings of this paper are expected to contribute in the design and interpretation of future experimental frameworks for Offshore Wind Turbine (OWT) monopiles in sands, which will include a more realistic loading profile, number of cycles, and relative soil to pile stiffness. Full article
(This article belongs to the Special Issue Foundation Systems for Offshore Wind Turbines)
Show Figures

Figure 1

16 pages, 4590 KB  
Article
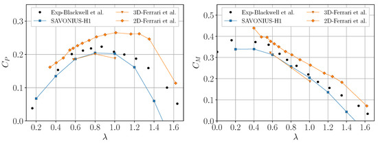
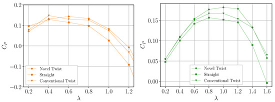
Numerical Study of a Novel Concept for Manufacturing Savonius Turbines with Twisted Blades
by Victor Mendoza, Eirini Katsidoniotaki and Hans Bernhoff
Energies 2020, 13(8), 1874; https://doi.org/10.3390/en13081874 - 12 Apr 2020
Cited by 10 | Viewed by 5236
Abstract
This work presents a numerical study of the aerodynamic performance and the resulting flow field of two novel Savonius wind turbines with twisted blades. The novelty relies on the blade manufacturing process which is characterized by a ‘twisted cut’ through the central axis [...] Read more.
This work presents a numerical study of the aerodynamic performance and the resulting flow field of two novel Savonius wind turbines with twisted blades. The novelty relies on the blade manufacturing process which is characterized by a ‘twisted cut’ through the central axis of a hollow cylinder (tube), followed by a partial twisted cut in the range of 90°. This approach does not require any expensive fabrication process such as blade molding and/or 3D prints, and, therefore, it can potentially mitigate the production costs. The main goal is to investigate the operational parameters and the overall performance of the presented devices, which are currently being operated in atmospheric conditions. For this purpose, three-dimensional simulations have been performed using the open-source CFD library OpenFOAM in order to solve the governing equations and for characterizing the main phenomena involved in the flow pattern. The Reynolds-averaged Navier–Stokes (RANS) approach together with the k ω SST model were employed to reproduce the flow turbulence effects. This model is validated using wind tunnel measurements of the power ( C P ) and torque ( C M ) coefficients from a straight blade Savonius turbine. Unsteady simulations of the two turbine prototypes were investigated at different tip speed ratio TSR ( λ ) by varying the rotational speed of the rotor while keeping constant the free stream (rated) velocity V . The results were compared against the Savonius turbine employed for validating the model. Aerodynamic loads and general wake structure were studied at the optimal operational conditions as well. For the same turbine configurations, the new blade geometry improved the performance by 20–25% (at its optimal TSR), compared to the conventional straight blade Savonius rotor, as well as the reducing torque fluctuation. Full article
(This article belongs to the Section A3: Wind, Wave and Tidal Energy)
Show Figures

Figure 1

Back to TopTop