Sign in to use this feature.

Years

Between: -

Subjects

remove_circle_outline
remove_circle_outline
remove_circle_outline
remove_circle_outline
remove_circle_outline
remove_circle_outline

Journals

Article Types

Countries / Regions

Search Results (11)

Search Parameters:
Keywords = 1,2,4-triazole-thioether

Order results
Result details
Results per page
Select all
Export citation of selected articles as:
22 pages, 3659 KB  
Article
Comparative Analysis of Cyclization Techniques in Stapled Peptides: Structural Insights into Protein–Protein Interactions in a SARS-CoV-2 Spike RBD/hACE2 Model System
by Sára Ferková, Ulrike Froehlich, Marie-Édith Nepveu-Traversy, Alexandre Murza, Taha Azad, Michel Grandbois, Philippe Sarret, Pierre Lavigne and Pierre-Luc Boudreault
Int. J. Mol. Sci. 2024, 25(1), 166; https://doi.org/10.3390/ijms25010166 - 21 Dec 2023
Cited by 2 | Viewed by 3572
Abstract
Medicinal chemistry is constantly searching for new approaches to develop more effective and targeted therapeutic molecules. The design of peptidomimetics is a promising emerging strategy that is aimed at developing peptides that mimic or modulate the biological activity of proteins. Among these, stapled [...] Read more.
Medicinal chemistry is constantly searching for new approaches to develop more effective and targeted therapeutic molecules. The design of peptidomimetics is a promising emerging strategy that is aimed at developing peptides that mimic or modulate the biological activity of proteins. Among these, stapled peptides stand out for their unique ability to stabilize highly frequent helical motifs, but they have failed to be systematically reported. Here, we exploit chemically diverse helix-inducing i, i + 4 constraints—lactam, hydrocarbon, triazole, double triazole and thioether—on two distinct short sequences derived from the N-terminal peptidase domain of hACE2 upon structural characterization and in silico alanine scan. Our overall objective was to provide a sequence-independent comparison of α-helix-inducing staples using circular dichroism (CD) and nuclear magnetic resonance (NMR) spectroscopy. We identified a 9-mer lactam stapled peptide derived from the hACE2 sequence (His34-Gln42) capable of reaching its maximal helicity of 55% with antiviral activity in bioreporter- and pseudovirus-based inhibition assays. To the best of our knowledge, this study is the first comprehensive investigation comparing several cyclization methods with the goal of generating stapled peptides and correlating their secondary structures with PPI inhibitions using a highly topical model system (i.e., the interaction of SARS-CoV-2 Spike RBD with hACE2). Full article
(This article belongs to the Special Issue Advances in Protein-Protein Interactions—2nd Edition)
Show Figures

Graphical abstract

23 pages, 4434 KB  
Article
Pharmacokinetic Evaluation of New Drugs Using a Multi-Labelling Approach and PET Imaging: Application to a Drug Candidate with Potential Application in Neuromuscular Disorders
by Rossana Passannante, Vanessa Gómez-Vallejo, Maialen Sagartzazu-Aizpurua, Laura Vignau Arsuaga, Pablo Marco-Moreno, Garazi Aldanondo, Ainara Vallejo-Illarramendi, Pablo Aguiar, Unai Cossío, Abraham Martín, Jonas Bergare, Lee Kingston, Charles S. Elmore, Miguel Angel Morcillo, Pablo Ferrón, Jesus M. Aizpurua and Jordi Llop
Biomedicines 2023, 11(2), 253; https://doi.org/10.3390/biomedicines11020253 - 18 Jan 2023
Cited by 4 | Viewed by 3744
Abstract
Background and objective: The determination of pharmacokinetic properties of new chemical entities is a key step in the process of drug development. Positron emission tomography (PET) is an ideal technique to obtain both biodistribution and pharmacokinetic parameters of new compounds over a wide [...] Read more.
Background and objective: The determination of pharmacokinetic properties of new chemical entities is a key step in the process of drug development. Positron emission tomography (PET) is an ideal technique to obtain both biodistribution and pharmacokinetic parameters of new compounds over a wide range of chemical modalities. Here, we use a multi-radionuclide/multi-position labelling approach to investigate distribution, elimination, and metabolism of a triazole-based FKBP12 ligand (AHK2) with potential application in neuromuscular disorders. Methods: Target engagement and stabilizing capacity of the drug candidate (AHK2) towards FKBP12-RyR was evaluated using competitive ligand binding and proximity ligation assays, respectively. Subsequently, AHK2 was labelled either with the positron emitter carbon-11 (11C) via 11C-methylation to yield both [11C]AHK2.1 and [11C]AHK2.2, or by palladium-catalysed reduction of the corresponding 5-iodotriazole derivative using 3H gas to yield [3H]AHK2. Metabolism was first investigated in vitro using liver microsomes. PET imaging studies in rats after intravenous (IV) administration at different doses (1 µg/Kg and 5 mg/Kg) were combined with determination of arterial blood time-activity curves (TACs) and analysis of plasma samples by high performance liquid chromatography (HPLC) to quantify radioactive metabolites. Arterial TACs were obtained in continuous mode by using an in-house developed system that enables extracorporeal blood circulation and continuous measurement of radioactivity in the blood. Pharmacokinetic parameters were determined by non-compartmental modelling of the TACs. Results: In vitro studies indicate that AHK2 binds to FKBP12 at the rapamycin-binding pocket, presenting activity as a FKBP12/RyR stabilizer. [11C]AHK2.1, [11C]AHK2.2 and [3H]AHK2 could be obtained in overall non-decay corrected radiochemical yields of 14 ± 2%, 15 ± 2% and 0.05%, respectively. Molar activities were 60–110 GBq/µmol, 68–122 GBq/µmol and 0.4–0.5 GBq/μmol, respectively. In vitro results showed that oxidation of the thioether group into sulfoxide, demethylation of the CH3O-Ar residue and demethylation of –N(CH3)2 were the main metabolic pathways. Fast metabolism was observed in vivo. Pharmacokinetic parameters obtained from metabolite-corrected arterial blood TACs showed a short half-life (12.6 ± 3.3 min). Dynamic PET imaging showed elimination via urine when [11C]AHK2.2 was administered, probably reflecting the biodistribution of [11C]methanol as the major metabolite. Contrarily, accumulation in the gastrointestinal track was observed after administration of [11C]AKH2.1. Conclusions: AHK2 binds to FKBP12 at the rapamycin-binding pocket, presenting activity as a FKBP12/RyR stabilizer. Studies performed with the 3H- and 11C-labelled FKBP12/RyR stabilizer AHK2 confirm fast blood clearance, linear pharmacokinetics and rapid metabolism involving oxidation of the sulfide and amine moieties and oxidative demethylation of the CH3-O-Ar and tertiary amine groups as the main pathways. PET studies suggest that knowledge about metabolic pathways is paramount to interpret images. Full article
(This article belongs to the Special Issue State-of-the-Art Drug Metabolism in Europe)
Show Figures

Figure 1

18 pages, 1886 KB  
Article
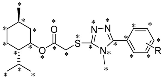
Synthesis, Antifungal Activity, 3D-QSAR, and Molecular Docking Study of Novel Menthol-Derived 1,2,4-Triazole-thioether Compounds
by Mei Huang, Wen-Gui Duan, Gui-Shan Lin and Bao-Yu Li
Molecules 2021, 26(22), 6948; https://doi.org/10.3390/molecules26226948 - 17 Nov 2021
Cited by 17 | Viewed by 3932
Abstract
A series of novel menthol derivatives containing 1,2,4-triazole-thioether moiety were designed, synthesized, characterized structurally, and evaluated biologically to explore more potent natural product-based antifungal agents. The bioassay results revealed that at 50 μg/mL, some of the target compounds exhibited good inhibitory activity against [...] Read more.
A series of novel menthol derivatives containing 1,2,4-triazole-thioether moiety were designed, synthesized, characterized structurally, and evaluated biologically to explore more potent natural product-based antifungal agents. The bioassay results revealed that at 50 μg/mL, some of the target compounds exhibited good inhibitory activity against the tested fungi, especially against Physalospora piricola. Compounds 5b (R = o-CH3 Ph), 5i (R = o-Cl Ph), 5v (R = m,p-OCH3 Ph) and 5x (R = α-furyl) had inhibition rates of 93.3%, 79.4%, and 79.4%, respectively, against P. piricola, much better than that of the positive control chlorothalonil. Compounds 5v (R = m,p-OCH3 Ph) and 5g (R = o-Cl Ph) held inhibition rates of 82.4% and 86.5% against Cercospora arachidicola and Gibberella zeae, respectively, much better than that of the commercial fungicide chlorothalonil. Compound 5b (R = o-CH3 Ph) displayed antifungal activity of 90.5% and 83.8%, respectively, against Colleterichum orbicalare and Fusarium oxysporum f. sp. cucumerinum. Compounds 5m (R = o-I Ph) had inhibition rates of 88.6%, 80.0%, and 88.0%, respectively, against F. oxysporum f. sp. cucumerinu, Bipolaris maydis and C. orbiculare. Furthermore, compound 5b (R = o-CH3 Ph) showed the best and broad-spectrum antifungal activity against all the tested fungi. To design more effective antifungal compounds against P. piricola, 3D-QSAR analysis was performed using the CoMFA method, and a reasonable 3D-QSAR model (r2 = 0.991, q2 = 0.514) was established. The simulative binding pattern of the target compounds with cytochrome P450 14α-sterol demethylase (CYP51) was investigated by molecular docking. Full article
(This article belongs to the Section Applied Chemistry)
Show Figures

Figure 1

23 pages, 3214 KB  
Article
Differential Effects of Linkers on the Activity of Amphiphilic Tobramycin Antifungals
by Marina Y. Fosso, Sanjib K. Shrestha, Nishad Thamban Chandrika, Emily K. Dennis, Keith D. Green and Sylvie Garneau-Tsodikova
Molecules 2018, 23(4), 899; https://doi.org/10.3390/molecules23040899 - 13 Apr 2018
Cited by 13 | Viewed by 4793
Abstract
As the threat associated with fungal infections continues to rise and the availability of antifungal drugs remains a concern, it becomes obvious that the need to bolster the antifungal armamentarium is urgent. Building from our previous findings of tobramycin (TOB) derivatives with antifungal [...] Read more.
As the threat associated with fungal infections continues to rise and the availability of antifungal drugs remains a concern, it becomes obvious that the need to bolster the antifungal armamentarium is urgent. Building from our previous findings of tobramycin (TOB) derivatives with antifungal activity, we further investigate the effects of various linkers on the biological activity of these aminoglycosides. Herein, we analyze how thioether, sulfone, triazole, amide, and ether functionalities affect the antifungal activity of alkylated TOB derivatives against 22 Candida, Cryptococcus, and Aspergillus species. We also evaluate their impact on the hemolysis of murine erythrocytes and the cytotoxicity against mammalian cell lines. While the triazole linker appears to confer optimal activity overall, all of the linkers incorporated into the TOB derivatives resulted in compounds that are very effective against the Cryptococcus neoformans species, with MIC values ranging from 0.48 to 3.9 μg/mL. Full article
(This article belongs to the Special Issue Recent Development on the New Applications of Aminoglycosides)
Show Figures

Graphical abstract

8 pages, 2173 KB  
Article
A One-Dimensional Coordination Polymer Containing Cyclic [Ag4] Clusters Supported by a Hybrid Pyridine and Thioether Functionalized 1,2,3-Triazole
by Shi-Qiang Bai and Ivy Hoi Ka Wong
Crystals 2018, 8(1), 16; https://doi.org/10.3390/cryst8010016 - 2 Jan 2018
Cited by 2 | Viewed by 4892
Abstract
A pyridine and thioether co-supported triazole ligand L (L = 2-((4-(3-(cyclopentylthio)propyl)-1H-1,2,3-triazol-1-yl)methyl)pyridine) has been synthesized using the CuAAC click reaction. This ligand supports the formation of a thermally stable, one-dimensional coordination polymer [L2Ag4]n·4n(BF4 [...] Read more.
A pyridine and thioether co-supported triazole ligand L (L = 2-((4-(3-(cyclopentylthio)propyl)-1H-1,2,3-triazol-1-yl)methyl)pyridine) has been synthesized using the CuAAC click reaction. This ligand supports the formation of a thermally stable, one-dimensional coordination polymer [L2Ag4]n·4n(BF4) (1) possessing a cationic polymeric structure with [Ag4] metallomacrocycles, in which the ligand L displays chelate/bridging coordination modes using all four potential donors of nitrogen (N) and thioether (S). The dominant direction of the prism crystals of 1 aligns with the propagation of the chain in the lattice. Full article
(This article belongs to the Special Issue Structural Design and Properties of Coordination Polymers)
Show Figures

Graphical abstract

10 pages, 395 KB  
Article
Synthesis and Antifungal Activity of Novel Myrtenal-Based 4-Methyl-1,2,4-triazole-thioethers
by Gui-Shan Lin, Wen-Gui Duan, Lin-Xiao Yang, Min Huang and Fu-Hou Lei
Molecules 2017, 22(2), 193; https://doi.org/10.3390/molecules22020193 - 24 Jan 2017
Cited by 58 | Viewed by 7659
Abstract
A series of novel myrtenal derivatives bearing 1,2,4-triazole moiety were designed and synthesized by multi-step reactions in an attempt to develop potent antifungal agents. Their structures were confirmed by using UV-vis, FTIR, NMR, and ESI-MS analysis. Antifungal activity of the target compounds was [...] Read more.
A series of novel myrtenal derivatives bearing 1,2,4-triazole moiety were designed and synthesized by multi-step reactions in an attempt to develop potent antifungal agents. Their structures were confirmed by using UV-vis, FTIR, NMR, and ESI-MS analysis. Antifungal activity of the target compounds was preliminarily evaluated by the in vitro method against Fusarium oxysporum f. sp. cucumerinum, Physalospora piricola, Alternaria solani, Cercospora arachidicola, and Gibberella zeae at 50 µg/mL. Compounds 6c (R = i-Pr), 6l (R = o-NO2 Bn), and 6a (R = Et) exhibited excellent antifungal activity against P. piricola with inhibition rates of 98.2%, 96.4%, and 90.7%, respectively, showing better or comparable antifungal activity than that of the commercial fungicide azoxystrobin with a 96.0% inhibition rate, which served as a positive control. Full article
(This article belongs to the Section Medicinal Chemistry)
Show Figures

Graphical abstract

18 pages, 1686 KB  
Article
Rational Design and Synthesis of New, High Efficiency, Multipotent Schiff Base-1,2,4-triazole Antioxidants Bearing Butylated Hydroxytoluene Moieties
by Wageeh A Yehye, Noorsaadah Abdul Rahman, Omar Saad, Azhar Ariffin, Sharifah Bee Abd Hamid, Abeer A. Alhadi, Farkaad A. Kadir, Marzieh Yaeghoobi and Abdulsalam A. Matlob
Molecules 2016, 21(7), 847; https://doi.org/10.3390/molecules21070847 - 28 Jun 2016
Cited by 36 | Viewed by 11071
Abstract
A new series of multipotent antioxidants (MPAOs), namely Schiff base-1,2,4-triazoles attached to the oxygen-derived free radical scavenging moiety butylated hydroxytoluene (BHT) were designed and subsequently synthesized. The structure-activity relationship (SAR) of the designed antioxidants was established alongside the prediction of activity spectra for [...] Read more.
A new series of multipotent antioxidants (MPAOs), namely Schiff base-1,2,4-triazoles attached to the oxygen-derived free radical scavenging moiety butylated hydroxytoluene (BHT) were designed and subsequently synthesized. The structure-activity relationship (SAR) of the designed antioxidants was established alongside the prediction of activity spectra for substances (PASS). The antioxidant activities of the synthesized compounds 410 were tested by the DPPH bioassay. The synthesized compounds 410 inhibited stable DPPH free radicals at a level that is 10−4 M more than the well-known standard antioxidant BHT. Compounds 810 with para-substituents were less active than compounds 4 and 5 with trimethoxy substituents compared to those with a second BHT moiety (compounds 6 and 7). With an IC50 of 46.13 ± 0.31 µM, compound 6 exhibited the most promising in vitro inhibition at 89%. Therefore, novel MPAOs containing active triazole rings, thioethers, Schiff bases, and BHT moieties are suggested as potential antioxidants for inhibiting oxidative stress processes and scavenging free radicals, hence, this combination of functions is anticipated to play a vital role in repairing cellular damage, preventing various human diseases and in medical therapeutic applications. Full article
(This article belongs to the Special Issue Free Radicals in Organic Synthesis)
Show Figures

Graphical abstract

10 pages, 720 KB  
Communication
Microwave-Assisted Synthesis and Antifungal Activity of Some Novel Thioethers Containing 1,2,4-Triazole Moiety
by Li-Jing Min, Yan-Xia Shi, Hong-Ke Wu, Zhao-Hui Sun, Xing-Hai Liu, Bao-Ju Li and Yong-Gang Zhang
Appl. Sci. 2015, 5(4), 1211-1220; https://doi.org/10.3390/app5041211 - 16 Nov 2015
Cited by 11 | Viewed by 5249
Abstract
A series of novel thioether derivatives containing 1,2,4-triazole moiety were designed and synthesized from 4-chlorophenol and ethyl 2-chloroacetate as starting materials by multi-step reactions under microwave irradiation, and their structures were characterized by 1H-NMR, MS and elemental analysis. The antifungal activity of [...] Read more.
A series of novel thioether derivatives containing 1,2,4-triazole moiety were designed and synthesized from 4-chlorophenol and ethyl 2-chloroacetate as starting materials by multi-step reactions under microwave irradiation, and their structures were characterized by 1H-NMR, MS and elemental analysis. The antifungal activity of title compounds was determined. The results indicated that some of title compounds exhibited moderate antifungal activity. Full article
Show Figures

Figure 1

18 pages, 1552 KB  
Article
New Thiosemicarbazides and 1,2,4-Triazolethiones Derived from 2-(Ethylsulfanyl) Benzohydrazide as Potent Antioxidants
by Nafal Nazarbahjat, Nurdiana Nordin, Zanariah Abdullah, Mahmood Ameen Abdulla, Wageeh A. Yehye, Siti Nadiah Abdul Halim, Chin Hui Kee and Azhar Ariffin
Molecules 2014, 19(8), 11520-11537; https://doi.org/10.3390/molecules190811520 - 4 Aug 2014
Cited by 17 | Viewed by 6628
Abstract
New thiosemicarbazide derivatives 26 were synthesised by reacting 2-(ethylsulfanyl)benzohydrazide with various aryl isothiocyanates. The cyclisation of compounds 26 under reflux conditions in a basic medium (aqueous NaOH, 4 N) yielded compounds 711 that contain a 1,2,4-triazole ring. [...] Read more.
New thiosemicarbazide derivatives 26 were synthesised by reacting 2-(ethylsulfanyl)benzohydrazide with various aryl isothiocyanates. The cyclisation of compounds 26 under reflux conditions in a basic medium (aqueous NaOH, 4 N) yielded compounds 711 that contain a 1,2,4-triazole ring. All of the synthesised compounds were screened for their antioxidant activities. Compounds 2, 3, and 7 showed better radical scavenging in a 2,2-diphenyl-1-picrylhydrazyl (DPPH) assay, with IC50 values of 1.08, 0.22, and 0.74 µg/mL, respectively, compared to gallic acid (IC50, 1.2 µg/mL). Compound 3 also showed superior results in a ferric reducing antioxidant power (FRAP) assay (3054 µM/100 g) compared to those of ascorbic acid (1207 µM/100 g). Full article
(This article belongs to the Section Organic Chemistry)
Show Figures

Graphical abstract

16 pages, 452 KB  
Article
Microwave Assistant Synthesis, Antifungal Activity and DFT Theoretical Study of Some Novel 1,2,4-Triazole Derivatives Containing Pyridine Moiety
by Guo-Xiang Sun, Ming-Yan Yang, Yan-Xia Shi, Zhao-Hui Sun, Xing-Hai Liu, Hong-Ke Wu, Bao-Ju Li and Yong-Gang Zhang
Int. J. Mol. Sci. 2014, 15(5), 8075-8090; https://doi.org/10.3390/ijms15058075 - 8 May 2014
Cited by 46 | Viewed by 8643
Abstract
In order to investigate the biological activity of novel 1,2,4-triazole compounds, seventeen novel 1,2,4-triazole derivatives containing pyridine moiety were synthesized under microwave assistant condition by multi-step reactions. The structures were characterized by 1H NMR, MS and elemental analyses. The target compounds were [...] Read more.
In order to investigate the biological activity of novel 1,2,4-triazole compounds, seventeen novel 1,2,4-triazole derivatives containing pyridine moiety were synthesized under microwave assistant condition by multi-step reactions. The structures were characterized by 1H NMR, MS and elemental analyses. The target compounds were evaluated for their fungicidal activities against Stemphylium lycopersici (Enjoji) Yamamoto, Fusarium oxysporum. sp. cucumebrium, and Botrytis cinerea in vivo, and the results indicated that some of the title compounds displayed excellent fungicidal activities. Theoretical calculation of the title compound was carried out with B3LYP/6-31G (d,p). The full geometry optimization was carried out using 6-31G (d,p) basis set, and the frontier orbital energy, atomic net charges were discussed, and the structure-activity relationship was also studied. Full article
(This article belongs to the Section Physical Chemistry, Theoretical and Computational Chemistry)
Show Figures

15 pages, 525 KB  
Article
Microwave Assisted Synthesis, Antifungal Activity and DFT Theoretical Study of Some Novel 1,2,4-Triazole Derivatives Containing the 1,2,3-Thiadiazole Moiety
by Na-Bo Sun, Jian-Qun Fu, Jian-Quan Weng, Jian-Zhong Jin, Cheng-Xia Tan and Xing-Hai Liu
Molecules 2013, 18(10), 12725-12739; https://doi.org/10.3390/molecules181012725 - 15 Oct 2013
Cited by 78 | Viewed by 8418
Abstract
In order to investigate the biological activity of 1,2,4-triazole compounds, seventeen novel 1,2,4-triazole derivatives containing 1,2,3-thiadiazole moieties were synthesized by multi-step reactions under microwave assisted conditions. The structures were characterized by 1H-NMR, 13C-NMR, MS and elemental analyses. The target compounds [...] Read more.
In order to investigate the biological activity of 1,2,4-triazole compounds, seventeen novel 1,2,4-triazole derivatives containing 1,2,3-thiadiazole moieties were synthesized by multi-step reactions under microwave assisted conditions. The structures were characterized by 1H-NMR, 13C-NMR, MS and elemental analyses. The target compounds were evaluated for their in vivo fungicidal activities against Corynespora cassiicola, Pseudomonas syringae pv. Lachrymans, and Pseudoperonospora cubensis, and the results indicated that some of the title compounds displayed good fungicidal activities. Theoretical calculations on the title compounds were carried out at the B3LYP/6-31G (d,p). level. The full geometry optimization was carried out using the 6-31G(d,p) basis set, and the frontier orbital energy, atomic net charges were discussed, and the structure-activity relationships were also studied. Full article
Show Figures

Figure 1

Back to TopTop