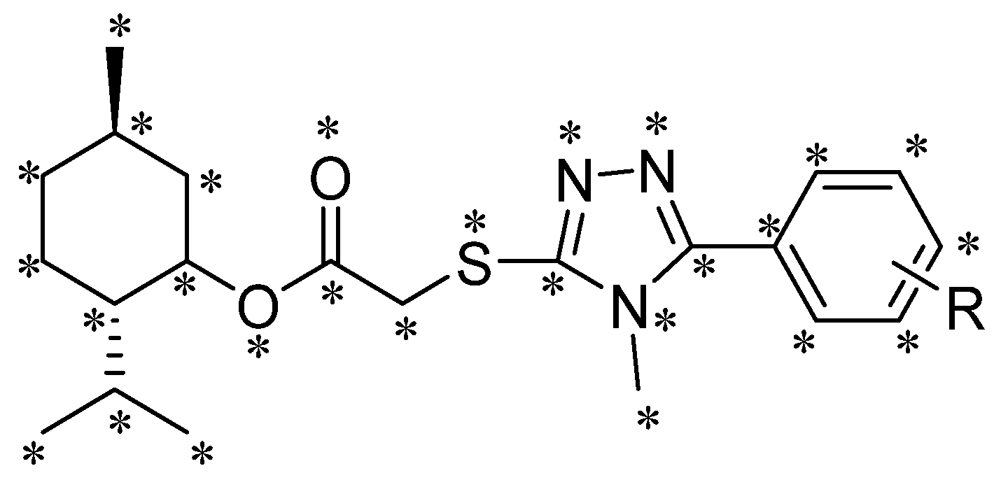
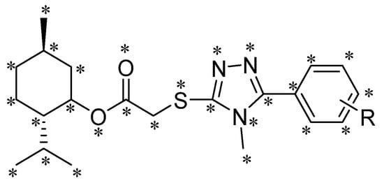
Synthesis, Antifungal Activity, 3D-QSAR, and Molecular Docking Study of Novel Menthol-Derived 1,2,4-Triazole-thioether Compounds
Abstract
:1. Introduction
2. Results and Discussion
2.1. Synthesis and Characterization
2.2. Antifungal Activity
2.3. CoMFA Analysis
2.4. Molecular Docking Analysis
3. Experimental Section
3.1. General Information
3.2. Synthesis of (-)-Menthyl-2-chloroacetate (2)
3.3. General Procedure of Menthol-Based 1,2,4-Triazole-thioether Compounds (5a–5w)
3.4. Antifungal Activity Test
3.5. 3D-QSAR Analysis
3.6. Molecular Docking Analysis
4. Conclusions
Supplementary Materials
Author Contributions
Funding
Institutional Review Board Statement
Informed Consent Statement
Data Availability Statement
Acknowledgments
Conflicts of Interest
Sample Availability
References
- Çam, M.; Yüksel, E.; Alaşalvar, H.; Başyiğit, B.; Şen, H.; Yılmaztekin, M.; Ahhmed, A.; Sağdıç, O. Simultaneous extraction of phenolics and essential oil from peppermint by pressurized hot water extraction. J. Food Sci. Technol. 2019, 56, 200–207. [Google Scholar] [CrossRef] [PubMed]
- Skalicka-Woźniak, K.; Walasek, M. Preparative separation of menthol and pulegone from peppermint oil (Mentha piperita L.) by high-performance counter-current chromatography. Phytochem. Lett. 2014, 10, xciv–xcviii. [Google Scholar] [CrossRef]
- Zaia, M.G.; Cagnazzo, T.O.; Feitosa, K.A.; Soares, E.G.; Faccioli, L.H.; Allegretti, S.M.; Afonso, A.; Anibal, F.F. Anti-Inflammatory properties of menthol and menthone in schistosoma mansoni infection. Front. Pharmacol. 2016, 7, 170. [Google Scholar] [CrossRef] [PubMed] [Green Version]
- Desam, N.R.; Al-Rajab, A.J.; Sharma, M.; Mylabathula, M.M.; Gowkanapalli, R.R.; Albratty, M. Chemical constituents, in vitro antibacterial and antifungal activity of Mentha × Piperita L. (peppermint) essential oils. J. King Saud Univ. Sci. 2017, 31, 528–533. [Google Scholar] [CrossRef]
- Elahe, J.; Seyed, E.H.; Abdorreza, M.N.; Leila, N. The effects of methylcellulose coating containing carvacrol or menthol on the physicochemical, mechanical, and antimicrobial activity of polyethylene films. Food Sci. Nutrition. 2021, 9, 2768–2778. [Google Scholar]
- Dambolena, J.S.; López, A.G.; Cánepa, M.C.; Theumer, M.G.; Zygadlo, J.A.; Rubinstein, H.R. Inhibitory effect of cyclic terpenes (limonene, menthol, menthone and thymol) on Fusarium verticillioides MRC 826 growth and fumonisin B1 biosynthesis. Toxicon 2008, 51, 37–44. [Google Scholar] [CrossRef] [PubMed]
- Murcia-Meseguer, A.; Alves, T.J.S.; Budia, F.; Ortiz, A.; Medina, P. Insecticidal toxicity of thirteen commercial plant essential oils against Spodoptera exigua (Lepidoptera: Noctuidae). Phytoparasitica 2018, 46, 233–245. [Google Scholar] [CrossRef]
- Zielińska-Błajet, M.; Pietrusiak, P.; Feder-Kubis, J. Selected monocyclic monoterpenes and their derivatives as effective anticancer therapeutic agents. Int. J. Mol. Sci. 2021, 22, 4763. [Google Scholar] [CrossRef]
- Nagai, K.; Fukuno, S.; Omachi, A.; Omotani, S.; Hatsuda, Y.; Myotoku, M.; Konishi, H. Enhanced anti-cancer activity by menthol in HepG2 cells exposed to paclitaxel and vincristine: Possible involvement of CYP3A4 downregulation. Drug Metab. Pers. Ther. 2019, 34, 1–5. [Google Scholar] [CrossRef]
- Ton, H.T.; Smart, A.E.; Aguilar, B.L.; Olson, T.T.; Kellar, K.J.; Ahern, G.P. Menthol Enhances the Desensitization of Human α3β4 Nicotinic Acetylcholine Receptors. Mol. Pharmacol. 2015, 88, 256–264. [Google Scholar] [CrossRef]
- Liu, B.; Fan, L.; Balakrishna, S.; Sui, A.; Morris, J.B.; Jordt, S.E. TRPM8 is the principal mediator of menthol-induced analgesia of acute and inflammatory pain. Pain 2013, 154, 2169–2177. [Google Scholar] [CrossRef] [Green Version]
- Cantanhêde, S.M.; Amado, L.L.; da Costa, B.M.P.A.; Barbas, L.A.L.; Torres, M.F.; Hamoy, A.O.; da Paz, C.A.; da Silva Ferreira, C.B.; Lima, G.O.; de Sousa, J.R.; et al. Menthol exposure induces reversible cardiac depression and reduces lipid peroxidation in the heart tissue of tambaqui Colossoma macropomum. Aquaculture 2021, 541, 7368–7377. [Google Scholar] [CrossRef]
- Otake, H.; Yamaguchi, M.; Ogata, F.; Deguchi, S.; Yamamoto, N.; Sasaki, H.; Kawasaki, N.; Nagai, N.; Nagai, N. Energy-dependent endocytosis is responsible for skin penetration of formulations based on a combination of indomethacin nanoparticles and L-menthol in rat and göttingen minipig. Int. J. Mol. Sci. 2021, 22, 5137. [Google Scholar] [CrossRef]
- Sun, Y.J.; Wang, Z.W.; Wang, Y.X.; Tong, X.T.; Ke, Q.; Zhang, P. Synthesis and antimicrobial activity of 1,5-benzothiazepines incorporated with triazole moiety. Chin. J. Org. Chem. 2021, 41, 2361–2373. [Google Scholar] [CrossRef]
- Amin, N.H.; El-Saadi, M.T.; Ibrahim, A.A.; Abdel-Rahman, H.M. Design, synthesis and mechanistic study of new 1,2,4-triazole derivatives as antimicrobial agents. Bioorg. Chem. 2021, 111, 104841–104853. [Google Scholar] [CrossRef]
- Flavia, M.; Maurizio, B.; Federico, C.; Antonella, P. Chiral azole derivatives. Part 5: Synthesis of enantiomerically pure 1-[α-(benzofuran-2-yl)arylmethyl]-1H-1,2,4-triazoles, antifungal and antiaromatase agents. Tetrahedron Asymmetry 2000, 11, 4895–4901. [Google Scholar]
- He, Q.W.; Zhang, D.; Zhang, F.C.; Liu, X.H.; Feng, X.M. Asymmetric catalytic epoxidation of terminal enones for the synthesis of triazole antifungal agents. Organ. Lett. 2021, 23, 6961–6966. [Google Scholar] [CrossRef]
- Bitla, S.; Gayatri, A.A.; Puchakayala, M.R.; Kumar Bhukya, V.; Vannada, J.; Dhanavath, R.; Kuthati, B.; Kothula, D.; Sagurthi, S.R.; Atcha, K.R. Design and synthesis, biological evaluation of bis-(1,2,3- and 1,2,4)-triazole derivatives as potential antimicrobial and antifungal agents. Bioorg. Med. Chem. Lett. 2021, 41, 128004–128012. [Google Scholar] [CrossRef] [PubMed]
- Maddali, N.K.; Ivaturi, V.K.V.; Murthy Yellajyosula, L.N.; Malkhed, V.; Brahman, P.K.; Pindiprolu, S.K.S.S.; Kondaparthi, V.; Nethinti, S.R. New 1,2,4-triazole scaffolds as anticancer agents: Synthesis, biological evaluation and docking studies. ChemistrySelect 2021, 6, 6788–6796. [Google Scholar] [CrossRef]
- Wu, C.J.; Wu, J.Q.; Hu, Y.; Pu, S.; Lin, Y.; Zeng, Z.; Hu, J.; Chen, W.H. Design, synthesis and biological evaluation of indole-based [1,2,4]triazolo[4,3-α] pyridine derivatives as novel microtubule polymerization inhibitors. Eur. J. Med. Chem. 2021, 223, 113629–113644. [Google Scholar] [CrossRef] [PubMed]
- Wang, C.S.; Huang, Q.; Wang, X.; Zhang, Y.T.; Ma, D.S.; Yu, Y.H.; Gao, J.S. Three new coordination polymers based on bis(4-(4H-1,2,4-triazol-4-yl)phenyl)methane: Syntheses, structures, multiresponsive luminescent sensitive detection for antibiotics and pesticides, and antitumor activities. RSC Adv. 2019, 9, 42272–42283. [Google Scholar] [CrossRef] [Green Version]
- You, Y.; Chen, Y.J.; You, C.H.; Wang, J.W.; Weng, Z.Q. Synthesis of 3-(tri/difluoromethyl)-1H-1,2,4- triazol-5(4H)-ones via the cyclization of hydrazinecarboxamides with tri/difluoroacetic anhydride. Org. Biomol. Chem. 2019, 17, 9343–9347. [Google Scholar] [CrossRef] [PubMed]
- Mu, J.X.; Zhai, Z.W.; Tan, C.X.; Weng, J.Q.; Wu, H.K.; Duke, S.O.; Zhang, Y.G.; Liu, X.H. Synthesis and herbicidal activity of 1,2,4-triazole derivatives containing a pyrazole moiety. J. Heterocycl. Chem. 2019, 56, 968–971. [Google Scholar] [CrossRef]
- Sun, G.X.; Yang, M.Y.; Zhao, W.; Sun, Z.H.; Wu, H.K. Crystal structure, DFT theoretical study and herbicidal activity of novel 1,2,4-triazole compound containing cyclopropyl group. J. Chem. Soc. Pak. 2015, 37, 567–573. [Google Scholar]
- Li, S.M.; Tsai, S.E.; Chiang, C.Y.; Chung, C.Y.; Chuang, T.J.; Tseng, C.C.; Jiang, W.P.; Huang, G.J.; Lin, C.Y.; Yang, Y.C.; et al. New methyl 5-(halomethyl)-1-aryl-1H-1,2,4-triazole-3-carboxylates as selective COX-2 inhibitors and anti-inflammatory agents: Design, synthesis, biological evaluation, and docking study. Bioorg. Chem. 2020, 104, 104333–104346. [Google Scholar] [CrossRef] [PubMed]
- Luo, D.X.; Guo, S.G.; He, F.; Wang, H.Y.; Xu, F.Z.; Dai, A.; Zhang, R.F.; Wu, J. Novel anthranilic amide derivatives bearing the chiral thioether and trifluoromethylpyridine: Synthesis and bioactivity. Bioorg. Med. Chem. Lett. 2020, 30, 126902–126922. [Google Scholar] [CrossRef]
- Peng, F.; Liu, T.T.; Wang, Q.F.; Liu, F.; Cao, X.; Yang, J.S.; Liu, L.W.; Xie, C.W.; Xue, W. Antibacterial and antiviral activities of 1,3,4-oxadiazole thioether 4H-chromen-4-one derivatives. J. Agric. Food Chem. 2021, 37, 11085–11094. [Google Scholar] [CrossRef]
- Nutt, M.J.; Yee, Y.S.; Buyan, A.; Andrewartha, N.; Corry, B.; Yeoh, G.C.T.; Stewart, S.G. In pursuit of a selective hepatocellular carcinoma therapeutic agent: Novel thalidomide derivatives with antiproliferative, antimigratory and STAT3 inhibitory properties. Eur. J. Med. Chem. 2021, 217, 113353–113372. [Google Scholar] [CrossRef] [PubMed]
- Lin, G.S.; Bai, X.; Duan, W.G.; Cen, B.; Huang, M.; Lu, S.Z. High value-added application of sustainable natural forest product α-pinene: Synthesis of myrtenal oxime esters as potential KARI inhibitors. ACS Sustain. Chem. Eng. 2019, 7, 7862–7868. [Google Scholar] [CrossRef]
- Huang, M.; Huang, M.; Wang, X.; Duan, W.G.; Lin, G.S.; Lei, F.H. Synthesis, antifungal activity and 3D-QSAR study of novel acyl thiourea compounds containing gem-dimethylcyclopropane ring. Mol. Divers. 2021, 1–12. [Google Scholar] [CrossRef]
- Wang, X.; Duan, W.G.; Lin, G.S.; Chen, M.; Lei, F.H. Synthesis, antifungal activity and 3D-QSAR study of novel nopol-based 1,3,4-thiadiazole–thioether compounds. Res. Chem. Intermed. 2021, 47, 4029–4049. [Google Scholar] [CrossRef]
- Li, C.F.; Cen, B.; Duan, W.G.; Lin, G.S.; Wang, X.; Li, B.Y. Synthesis, herbicidal activity and three-dimensional quantitative structure-activity relationship (3D-QSAR) study of 4-methyl-1,2,4-triazole-thioether compounds containing natural styrene structure. Chin. J. Org. Chem. 2021, 41, 2485–2495. [Google Scholar] [CrossRef]
- Yu, Y.P.; Duan, W.G.; Lin, G.S.; Kang, G.Q.; Wang, X.Y.; Lei, F.H. Synthesis, biological activity and three-dimensional quantitative structure-activity relationship (3D-QSAR) study of novel 4-methyl-1,2,4-triazole-thioethers containing gem-dimethylcyclopropane ring. Chin. J. Org. Chem. 2020, 40, 1647–1657. [Google Scholar] [CrossRef]
- Chen, M.; Duan, W.G.; Lin, G.S.; Fan, Z.T.; Wang, X. Synthesis, antifungal activity, and 3D-QSAR study of novel nopol-derived 1,3,4-thiadiazole-thiourea compounds. Molecules 2021, 26, 1708. [Google Scholar] [CrossRef]
- Zhu, X.P.; Lin, G.S.; Duan, W.G.; Li, Q.M.; Li, F.Y.; Lu, S.Z. Synthesis and antiproliferative evaluation of novel longifolene-derived tetralone derivatives bearing 1,2,4-triazole moiety. Molecules 2020, 25, 986. [Google Scholar] [CrossRef] [PubMed] [Green Version]
- Lin, G.S.; Duan, W.G.; Yang, L.X.; Huang, M.; Lei, F.H. Synthesis and antifungal activity of novel myrtenal-based 4-methyl-1,2,4-triazole-thioethers. Molecules 2017, 22, 193. [Google Scholar] [CrossRef]
- Lin, G.S.; Chen, Z.C.; Duan, W.G.; Wang, X.Y.; Lei, F.H. Synthesis and biological activity of novel myrtenal-derived 2-acyl-1,2,4-triazole-3-thione compounds. Chin. J. Org. Chem. 2018, 38, 2085–2092. [Google Scholar] [CrossRef]
- Tao, M.L.; Sun, H.J.; Liu, L.; Luo, X.; Lin, G.Y.; Li, R.B.; Zhao, Z.X.; Zhao, Z.X. Graphitized porous carbon for rapid screening of angiotensin converting enzyme inhibitory peptide GAMVVH from silkworm pupa protein and molecular insight into inhibition mechanism. J. Agric. Food Chem. 2017, 65, 8626–8633. [Google Scholar] [CrossRef]
- Er, M.; Coskun, N. Substituent Effect on the Asymmetric Induction with (1R,2S,5R)-and (1S,2R,5S)-menthol Auxiliaries. J. Chem. Soc. Pak. 2010, 32, 198–208. [Google Scholar]
- Saeed, A.; Ashraf, Z.; Nadeem, H.; Simpson, J.; Pérez, H.; Erben, M.F. An investigation of supramolecular synthons in 1,2,4-triazole-3(4H)-thione compounds. X-ray crystal structures, energetic and hirshfeld surface analysis. J. Mol. Struct. 2019, 1195, 796–806. [Google Scholar] [CrossRef]
- Liu, X.H.; Shi, Y.X.; Ma, Y.; Zhang, C.Y.; Dong, W.L.; Pan, L.; Wang, B.L.; Li, B.J.; Li, Z.M. Synthesis, antifungal activities and 3D-QSAR study of N-(5-substituted-1,3,4-thiadiazol-2-yl)cyclopropane- carboxamides. Eur. J. Med. Chem. 2009, 44, 2782–2786. [Google Scholar] [CrossRef] [PubMed]
- Parkali, P.M.; Shyam Kumar, A.; Johanna, K.P.; Prodensia, T.S.; Turaga, S.; Shaiva, V.; Pujar, G.V.; Joshi, S.D.; Aminabhavi, T.M.; Dixit, S.R. Molecular docking and three-dimensional quantitative structure-activity relationships for antitubercular pyrimidine derivatives. Polycycl. Aromat. Compd. 2021, 1–14. [Google Scholar] [CrossRef]






| Compounds | Relative Inhibition Rate (%) against the Fungi | |||||||
|---|---|---|---|---|---|---|---|---|
| F. oxysporum f. sp. cucumerinum | C. arachidicola | P. piricola | A. solani | G. zeae | R. solani | B. myadis | C. orbicalare | |
| 5a (R = Ph) | 22.5 | 48.9 | 45.7 | 45.0 | 22.2 | 22.3 | 32.7 | 30.8 |
| 5b (R = o-CH3 Ph) | 83.8 | 68.6 | 93.3 | 72.5 | 49.2 | 41.7 | 77.5 | 90.5 |
| 5c (R = p-CH3 Ph) | 24.3 | 47.9 | 54.4 | 35.0 | 29.6 | 14.9 | 27.5 | 24.6 |
| 5d (R = o-OCH3 Ph) | 74.3 | 54.8 | 62.8 | 56.9 | 49.2 | 46.6 | 77.5 | 56.3 |
| 5e (R = p-OCH3 Ph) | 26.7 | 65.2 | 60.0 | 60.0 | 49.2 | 14.9 | 32.5 | 27.1 |
| 5f (R = o-F Ph) | 79.0 | 72.1 | 73.9 | 72.5 | 47.3 | 52.7 | 72.5 | 66.1 |
| 5g (R = m-F Ph) | 24.3 | 51.4 | 46.1 | 53.8 | 86.5 | 14.9 | 30.0 | 17.3 |
| 5h (R = p-F Ph) | 22.5 | 21.1 | 17.1 | 30.0 | 23.9 | 16.2 | 32.7 | 35.0 |
| 5i (R = o-Cl Ph) | 76.7 | 79.0 | 79.4 | 69.4 | 62.9 | 41.7 | 70.0 | 73.4 |
| 5j (R = m-Cl Ph) | 45.7 | 58.3 | 62.8 | 50.6 | 49.2 | 13.7 | 55.0 | 39.3 |
| 5k (R = p-Cl Ph) | 14.2 | 21.1 | 17.1 | 45.0 | 23.9 | 16.2 | 14.5 | 26.7 |
| 5l (R = p-Br Ph) | 24.3 | 51.4 | 35.0 | 41.3 | 29.6 | 13.7 | 37.5 | 22.2 |
| 5m (R = o-I Ph) | 88.6 | 68.6 | 73.9 | 63.1 | 59.0 | 38.0 | 80.0 | 88.0 |
| 5n (R = p-I Ph) | 24.3 | 54.8 | 65.6 | 50.6 | 35.5 | 14.9 | 32.5 | 22.2 |
| 5o (R = o-CF3 Ph) | 64.8 | 79.0 | 65.6 | 66.3 | 59.0 | 39.3 | 67.5 | 66.1 |
| 5p (R = m-CF3 Ph) | 38.6 | 51.4 | 57.2 | 47.5 | 45.3 | 19.8 | 42.5 | 34.4 |
| 5q (R = o-OH Ph) | 31.4 | 54.8 | 65.6 | 56.9 | 59.0 | 23.4 | 37.5 | 17.3 |
| 5r (R = p-OH Ph) | 18.3 | 32.2 | 24.3 | 40.0 | 32.2 | 55.7 | 28.2 | 22.5 |
| 5s (R = o-NH2 Ph) | 71.9 | 72.1 | 60.0 | 72.5 | 51.2 | 56.3 | 75.0 | 63.7 |
| 5t (R = p-NH2 Ph) | 76.7 | 68.6 | 62.8 | 56.9 | 53.1 | 55.1 | 55.0 | 56.3 |
| 5u (R = p-C(CH3)3 Ph) | 38.6 | 58.3 | 60.0 | 47.5 | 45.3 | 17.3 | 42.5 | 36.8 |
| 5v (R = m,p-OCH3 Ph) | 76.7 | 82.4 | 79.4 | 56.9 | 43.3 | 34.4 | 55.0 | 46.6 |
| 5w (R = m,m-OCH3 Ph) | 50.5 | 61.7 | 73.9 | 53.8 | 51.2 | 35.6 | 57.5 | 56.3 |
| 5x (R = α-furyl) | 26.7 | 37.6 | 79.4 | 38.1 | 23.7 | 14.9 | 35.0 | 22.2 |
| 5y (R = α-thienyl) | 31.4 | 58.3 | 51.7 | 38.1 | 39.4 | 11.2 | 32.5 | 22.2 |
| 5z (R = β-pyridyl) | 26.7 | 65.2 | 62.8 | 44.4 | 19.8 | 17.3 | 30.0 | 22.2 |
| Chlorothanil | 100 | 73.3 | 75.0 | 73.9 | 73.1 | 96.1 | 90.4 | 91.3 |
| Statistical Parameters | CoMFA |
| q2 | 0.514 |
| r2 | 0.991 |
| S | 0.050 |
| F | 184.384 |
| Field Contribution (%) | |
| Steric | 75.2 |
| Electrostatic | 24.8 |
| Compound | R | WM | ED | ED” | Residue |
|---|---|---|---|---|---|
| 5a | Ph | 387.20 | −2.66 | −2.61 | −0.05 |
| 5b | o-CH3 Ph | 401.21 | −1.46 | −1.45 | −0.01 |
| 5c | p-CH3 Ph | 401.21 | −2.53 | −2.49 | −0.04 |
| 5d | o-OCH3 Ph | 417.21 | −2.39 | −2.35 | −0.04 |
| 5e | p-OCH3 Ph | 417.21 | −2.44 | −2.48 | 0.04 |
| 5f | o-F Ph | 405.19 | −2.16 | −2.17 | 0.01 |
| 5g | m-F Ph | 405.19 | −2.68 | −2.71 | 0.03 |
| 5h | p-F Ph | 405.19 | −3.29 | −3.34 | 0.04 |
| 5i | o-Cl Ph | 421.16 | −2.04 | −2.13 | 0.09 |
| 5j | m-Cl Ph | 421.16 | −2.40 | −2.39 | −0.01 |
| 5k | p-Cl Ph | 421.16 | −3.31 | −3.28 | −0.03 |
| 5l | p-Br Ph | 465.11 | −2.94 | −2.98 | 0.04 |
| 5m | o-I Ph | 513.09 | −2.26 | −2.25 | −0.01 |
| 5n | p-I Ph | 513.09 | −2.43 | −2.40 | −0.03 |
| 5o | o-CF3 Ph | 455.19 | −2.38 | −2.38 | 0.00 |
| 5p | m-CF3 Ph | 455.19 | −2.53 | −2.53 | 0.00 |
| 5q | o-OH Ph | 403.19 | −2.32 | −2.25 | −0.07 |
| 5r | p-OH Ph | 403.19 | −3.10 | −3.04 | −0.06 |
| 5s | o-NH2 Ph | 402.21 | −2.43 | −2.47 | 0.04 |
| 5t | p-NH2 Ph | 402.21 | −2.38 | −2.44 | 0.06 |
| 5u | p-C(CH3)3 Ph | 443.26 | −2.47 | −2.48 | 0.01 |
| 5v | m,p-OCH3 Ph | 447.22 | −2.06 | −2.04 | −0.02 |
| 5w * | m,m-OCH3 Ph | 447.22 | −2.20 | −2.22 | 0.02 |
Publisher’s Note: MDPI stays neutral with regard to jurisdictional claims in published maps and institutional affiliations. |
© 2021 by the authors. Licensee MDPI, Basel, Switzerland. This article is an open access article distributed under the terms and conditions of the Creative Commons Attribution (CC BY) license (https://creativecommons.org/licenses/by/4.0/).
Share and Cite
Huang, M.; Duan, W.-G.; Lin, G.-S.; Li, B.-Y. Synthesis, Antifungal Activity, 3D-QSAR, and Molecular Docking Study of Novel Menthol-Derived 1,2,4-Triazole-thioether Compounds. Molecules 2021, 26, 6948. https://doi.org/10.3390/molecules26226948
Huang M, Duan W-G, Lin G-S, Li B-Y. Synthesis, Antifungal Activity, 3D-QSAR, and Molecular Docking Study of Novel Menthol-Derived 1,2,4-Triazole-thioether Compounds. Molecules. 2021; 26(22):6948. https://doi.org/10.3390/molecules26226948
Chicago/Turabian StyleHuang, Mei, Wen-Gui Duan, Gui-Shan Lin, and Bao-Yu Li. 2021. "Synthesis, Antifungal Activity, 3D-QSAR, and Molecular Docking Study of Novel Menthol-Derived 1,2,4-Triazole-thioether Compounds" Molecules 26, no. 22: 6948. https://doi.org/10.3390/molecules26226948
APA StyleHuang, M., Duan, W.-G., Lin, G.-S., & Li, B.-Y. (2021). Synthesis, Antifungal Activity, 3D-QSAR, and Molecular Docking Study of Novel Menthol-Derived 1,2,4-Triazole-thioether Compounds. Molecules, 26(22), 6948. https://doi.org/10.3390/molecules26226948
