Sign in to use this feature.

Years

Between: -

Subjects

remove_circle_outline
remove_circle_outline
remove_circle_outline
remove_circle_outline
remove_circle_outline

Journals

Article Types

Countries / Regions

Search Results (11)

Search Parameters:
Keywords = α-hydroxyketones

Order results
Result details
Results per page
Select all
Export citation of selected articles as:
18 pages, 2967 KB  
Article
Mechanistic Insights into CYP199A4-Catalyzed α-Hydroxyketone Formation and Hydrogen Bond-Assisted C–C Bond Cleavage Catalyzed by the CYP199A4 F182L Mutant
by Chang Yuan, Jiaqi Xu, Shun Wang, Ye-Guang Fang and Hongwei Tan
Int. J. Mol. Sci. 2025, 26(4), 1526; https://doi.org/10.3390/ijms26041526 - 11 Feb 2025
Viewed by 1416
Abstract
CYP199A4 is a cytochrome P450 and can catalyze the hydroxylation of 4-propionylbenzoic acid (4-pIBA) to generate α-hydroxyketone with high stereoselectivity. The F182L mutant of CYP199A4 (F182L-CYP199A4) has been shown to support the cleavage of the C–C bond between the carbonyl and hydroxyl groups [...] Read more.
CYP199A4 is a cytochrome P450 and can catalyze the hydroxylation of 4-propionylbenzoic acid (4-pIBA) to generate α-hydroxyketone with high stereoselectivity. The F182L mutant of CYP199A4 (F182L-CYP199A4) has been shown to support the cleavage of the C–C bond between the carbonyl and hydroxyl groups of α-hydroxyketone, whereas wild-type CYP199A4 cannot. To uncover how the Phe182 regulates substrate reactivity, we conducted classical molecular dynamics (MD) and quantum mechanics/molecular mechanics (QM/MM) MD simulations on these systems. The results predicted that the formation of α-hydroxyketone preferentially led to the (S)-enantiomer. Moreover, the findings revealed that the F182L-CYP199A4 facilitated the formation of a hydrogen bond between the α-hydroxyketone and the reactive peroxoanion (POA) species. This interaction stabilized the α-hydroxyketone near POA and promoted the subsequent C–C bond cleavage. The mechanism of α-hydroxyketone formation and the subsequent C–C bond cleavage were elucidated by employing the hybrid density functional theory (DFT). The α-hydroxyketone formation mechanism involved C–H hydroxylation of 4-pIBA with a rate-limiting energy barrier of 17.1 kcal/mol. The C–C bond cleavage of α-hydroxyketone catalyzed by F182L-CYP199A4 occurred via a radical attack mechanism. Full article
(This article belongs to the Section Physical Chemistry and Chemical Physics)
Show Figures

Graphical abstract

15 pages, 6260 KB  
Article
Altechromone A Ameliorates Inflammatory Bowel Disease by Inhibiting NF-κB and NLRP3 Pathways
by Lei Li, Jing Huang, Lixin Feng, Liyan Xu, Houwen Lin, Kechun Liu, Xiaobin Li and Rongchun Wang
Mar. Drugs 2024, 22(9), 410; https://doi.org/10.3390/md22090410 - 9 Sep 2024
Cited by 12 | Viewed by 2460
Abstract
Altechromone A, also known as 2,5-dimethyl-7-hydroxychromone, is a hydroxyketone containing one hydroxyl and one ketone group. In this study, we isolated Altechromone A from the marine-derived fungus Penicillium Chrysogenum (XY-14-0-4). Previous reports show that Altechromone A has various activities including tumor suppression, antibacterial, [...] Read more.
Altechromone A, also known as 2,5-dimethyl-7-hydroxychromone, is a hydroxyketone containing one hydroxyl and one ketone group. In this study, we isolated Altechromone A from the marine-derived fungus Penicillium Chrysogenum (XY-14-0-4). Previous reports show that Altechromone A has various activities including tumor suppression, antibacterial, and antiviral activities. However, there is no study about its anti-inflammatory activity in inflammatory bowel disease (IBD). Here, we assess the anti-inflammatory activity, especially in IBD, and its potential mechanism using the zebrafish model. Our results indicated that Altechromone A has anti-inflammatory activity in a CuSO4-, tail-cutting-, and LPS-induced inflammatory model in zebrafish, respectively. In addition, Altechromone A greatly reduced the number of neutrophils, improved intestinal motility and efflux efficiency, alleviated intestinal damage, and reduced reactive oxygen species production in the TNBS-induced IBD zebrafish model. The transcriptomics sequencing and real-time qPCR indicated that Altechromone A inhibited the expression of pro-inflammatory genes including TNF-α, NF-κB, IL-1, IL-1β, IL-6, and NLRP3. Therefore, these data indicate that Altechromone A exhibits therapeutic effects in IBD by inhibiting the inflammatory response. Full article
(This article belongs to the Collection Zebrafish Models in Marine Drug Discovery)
Show Figures

Graphical abstract

17 pages, 5683 KB  
Article
Synthesis of 5-Metalla-Spiro[4.5]Heterodecenes by [1,4]-Cycloaddition Reaction of Group 13 Diyls with 1,2-Diketones
by Hanns M. Weinert, Christoph Wölper and Stephan Schulz
Chemistry 2023, 5(2), 948-964; https://doi.org/10.3390/chemistry5020064 - 20 Apr 2023
Cited by 1 | Viewed by 2432
Abstract
Monovalent group 13 diyls are versatile reagents in oxidative addition reactions. We report here [1,4]-cycloaddition reactions of β-diketiminate-substituted diyls LM (M = Al, Ga, In, Tl; L = HC[C(Me)NDipp]2, Dipp = 2,6-iPr2C6H3) with [...] Read more.
Monovalent group 13 diyls are versatile reagents in oxidative addition reactions. We report here [1,4]-cycloaddition reactions of β-diketiminate-substituted diyls LM (M = Al, Ga, In, Tl; L = HC[C(Me)NDipp]2, Dipp = 2,6-iPr2C6H3) with various 1,2-diketones to give 5-metalla-spiro[4.5]heterodecenes 1, 46, and 810, respectively. In contrast, the reaction of LTl with acenaphthenequinone gave the [2,3]-cycloaddition product 7, with Tl remaining in the +1 oxidation state. Compound 1 also reacted with a second equivalent of butanedione as well as with benzaldehyde in aldol-type addition reactions to the corresponding α,β-hydroxyketones 2 and 3, while a reductive activation of a benzene ring was observed in the reaction of benzil with two equivalents of LAl to give the 1,4-aluminacyclohex-2,4-dien 12. In addition, the reaction of L’BCl2 (L = HC[C(Me)NC6F5]2) with one equivalent of benzil in the presence of KC8 gave the corresponding 5-bora-spiro[4.5]heterodecene 13, whereas the hydroboration reaction of butanedione with L’BH2 (14), which was obtained from the reaction of L’BCl2 with L-selectride, failed to give the saturated 5-bora-spiro[4.5]heterodecane. Full article
(This article belongs to the Special Issue Commemorating 150 Years of Justus von Liebig’s Legacy)
Show Figures

Graphical abstract

9 pages, 4537 KB  
Communication
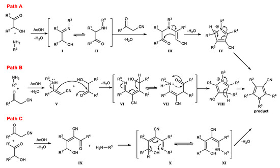
A Concise Synthesis of Pyrrole-Based Drug Candidates from α-Hydroxyketones, 3-Oxobutanenitrile, and Anilines
by Mengxin Xia, Mardi Santoso, Ziad Moussa and Zaher M. A. Judeh
Molecules 2023, 28(3), 1265; https://doi.org/10.3390/molecules28031265 - 28 Jan 2023
Cited by 5 | Viewed by 3801
Abstract
A simple and concise three-component synthesis of a key pyrrole framework was developed from the reaction between α-hydroxyketones, oxoacetonitriles, and anilines. The synthesis was used to obtain several pyrrole-based drug candidates, including COX-2 selective NSAID, antituberculosis lead candidates BM212, BM521, and BM533, as [...] Read more.
A simple and concise three-component synthesis of a key pyrrole framework was developed from the reaction between α-hydroxyketones, oxoacetonitriles, and anilines. The synthesis was used to obtain several pyrrole-based drug candidates, including COX-2 selective NSAID, antituberculosis lead candidates BM212, BM521, and BM533, as well as several analogues. This route has potential to obtain diverse libraries of these pyrrole candidates in a concise manner to develop optimum lead compounds. Full article
(This article belongs to the Special Issue Feature Papers in Organic Chemistry)
Show Figures

Graphical abstract

13 pages, 2812 KB  
Article
Co-Immobilization of D-Amino Acid Oxidase, Catalase, and Transketolase for One-Pot, Two-Step Synthesis of L-Erythrulose
by Daria Świętochowska, Aleksandra Łochowicz, Nazim Ocal, Loredano Pollegioni, Franck Charmantray, Laurence Hecquet and Katarzyna Szymańska
Catalysts 2023, 13(1), 95; https://doi.org/10.3390/catal13010095 - 3 Jan 2023
Cited by 6 | Viewed by 3147
Abstract
Here, we present an immobilized enzyme cascade in a basket-type reactor allowing a one-pot, two-step enzymatic synthesis of L-erythrulose from D-serine and glycolaldehyde. Three enzymes, D-amino acid oxidase from Rhodotorula gracilis (DAAORg), catalase from bovine liver (CAT), and transketolase from Geobacillus [...] Read more.
Here, we present an immobilized enzyme cascade in a basket-type reactor allowing a one-pot, two-step enzymatic synthesis of L-erythrulose from D-serine and glycolaldehyde. Three enzymes, D-amino acid oxidase from Rhodotorula gracilis (DAAORg), catalase from bovine liver (CAT), and transketolase from Geobacillus stearothermophilus (TKgst) were covalently immobilized on silica monolithic pellets, characterized by an open structure of interconnected macropores and a specific surface area of up to 300 m2/g. Three strategies were considered: (i) separate immobilization of enzymes on silica supports ([DAAO][CAT][TK]), (ii) co-immobilization of two of the three enzymes followed by the third ([DAAO+CAT][TK]), and (iii) co-immobilization of all three enzymes ([DAAO+CAT+TK]). The highest L-erythrulose concentrations were observed for the co-immobilization protocols (ii) and (iii) (30.7 mM and 29.1 mM, respectively). The reusability study showed that the best combination was [DAAO + CAT][TK], which led to the same level of L-erythrulose formation after two reuse cycles. The described process paves the way for the effective synthesis of a wide range of α-hydroxyketones from D-serine and suitable aldehydes. Full article
Show Figures

Figure 1

19 pages, 27164 KB  
Article
Selective One-Pot Multicomponent Synthesis of N-Substituted 2,3,5-Functionalized 3-Cyanopyrroles via the Reaction between α-Hydroxyketones, Oxoacetonitriles, and Primary Amines
by Mengxin Xia, Ziad Moussa and Zaher M. A. Judeh
Molecules 2022, 27(16), 5285; https://doi.org/10.3390/molecules27165285 - 18 Aug 2022
Cited by 4 | Viewed by 2714
Abstract
A one-step, three-component reaction between α-hydroxyketones, oxoacetonitriles, and primary amines gives N-substituted 2,3,5-functionalized 3-cyanopyrroles with complete selectivity in up to 90% isolated yields. The reaction worked on a wide substrate scope under mild reaction conditions (AcOH as a catalyst, EtOH, 70 °C, [...] Read more.
A one-step, three-component reaction between α-hydroxyketones, oxoacetonitriles, and primary amines gives N-substituted 2,3,5-functionalized 3-cyanopyrroles with complete selectivity in up to 90% isolated yields. The reaction worked on a wide substrate scope under mild reaction conditions (AcOH as a catalyst, EtOH, 70 °C, 3 h). The reaction proceeded with very high atom efficiency as water is the only molecule lost during the reaction. The practicality of the reaction was demonstrated on a large gram scale. The structures of the 3-cyanopyrroles were confirmed by single-crystal X-ray diffraction and NMR; this work provides a general and practical entry to pyrrole scaffolds suitably decorated for the synthesis of various bioactive pyrroles in a concise manner. Full article
(This article belongs to the Section Organic Chemistry)
Show Figures

Graphical abstract

15 pages, 5558 KB  
Article
Photocurable Epoxy Acrylate Coatings Preparation by Dual Cationic and Radical Photocrosslinking
by Paulina Bednarczyk, Karolina Mozelewska, Małgorzata Nowak and Zbigniew Czech
Materials 2021, 14(15), 4150; https://doi.org/10.3390/ma14154150 - 26 Jul 2021
Cited by 36 | Viewed by 7717
Abstract
In this work, epoxy acrylate resin (EA) based on the industrial-grade bisphenol A-based epoxy resin (Ep6) and acrylic acid (AA) has been synthesized in order to develop hybrid resin comprising both epoxide group and reactive, terminal unsaturation. Obtained epoxy acrylate prepolymer was employed [...] Read more.
In this work, epoxy acrylate resin (EA) based on the industrial-grade bisphenol A-based epoxy resin (Ep6) and acrylic acid (AA) has been synthesized in order to develop hybrid resin comprising both epoxide group and reactive, terminal unsaturation. Obtained epoxy acrylate prepolymer was employed to formulate photocurable coating compositions containing, besides the EA binder, also cationic or radical photoinitiators. Hence, when cationic photoinitiators were applied, polyether-type polymer chains with pending acrylate groups were formed. In the case of free radical polymerization, epoxy acrylates certainly formed a polyacrylate backbone with pending epoxy groups. Owing to the presence of both epoxy and double carbon–carbon pendant groups, the reaction product exhibits photocrosslinking via two distinct mechanisms: (i) cationic ring-opening polymerization and (ii) free radical polymerization. Therefore, photopolymerization behavior of synthetized hybrid resin with various photoinitiators was determined via photo-differential scanning calorimetry (photo-DSC) and real-time infrared spectroscopy (RT-IR) methods, and properties of cured coatings were investigated. The performance of the following type of photoinitiators was tested in the cationic photopolymerization: diaryliodonium cations or triarylsulfonium cations, and the following type of photoinitiators were used to induce free radical photopolymerization: α-hydroxyketones, acylphosphine oxides, and their mixtures. Lastly, the basic physicomechanical properties of cured coatings, such as tack-free time, hardness, adhesion, gloss, and yellowness index, were evaluated. Some structural factors and parameters of cationic and radical photoinitiators and photopolymerization mechanisms affecting the epoxy acrylate hybrid coatings performance are discussed. Full article
(This article belongs to the Section Polymeric Materials)
Show Figures

Graphical abstract

8 pages, 20136 KB  
Article
Tandem Olefin Metathesis/α-Ketohydroxylation Revisited
by Michał Patrzałek, Aleksandra Zasada, Anna Kajetanowicz and Karol Grela
Catalysts 2021, 11(6), 719; https://doi.org/10.3390/catal11060719 - 9 Jun 2021
Cited by 1 | Viewed by 3001
Abstract
EWG-activated and polar quaternary ammonium salt-tagged ruthenium metathesis catalysts have been applied in a two-step one-pot metathesis-oxidation process leading to functionalized α-hydroxyketones (acyloins). In this assisted tandem process, the metathesis catalyst is used first to promote ring-closing metathesis (RCM) and cross-metathesis (CM) steps, [...] Read more.
EWG-activated and polar quaternary ammonium salt-tagged ruthenium metathesis catalysts have been applied in a two-step one-pot metathesis-oxidation process leading to functionalized α-hydroxyketones (acyloins). In this assisted tandem process, the metathesis catalyst is used first to promote ring-closing metathesis (RCM) and cross-metathesis (CM) steps, then upon the action of Oxone™ converts into an oxidation catalyst able to transform the newly formed olefinic product into acyloin under mild conditions. Full article
(This article belongs to the Special Issue Catalysts for the Synthesis of Heterocyclic Compounds)
Show Figures

Graphical abstract

15 pages, 2988 KB  
Article
Assessing the Thiamine Diphosphate Dependent Pyruvate Dehydrogenase E1 Subunit for Carboligation Reactions with Aliphatic Ketoacids
by Stefan R. Marsden, Duncan G. G. McMillan and Ulf Hanefeld
Int. J. Mol. Sci. 2020, 21(22), 8641; https://doi.org/10.3390/ijms21228641 - 16 Nov 2020
Cited by 11 | Viewed by 4865
Abstract
The synthetic properties of the Thiamine diphosphate (ThDP)-dependent pyruvate dehydrogenase E1 subunit from Escherichia coli (EcPDH E1) was assessed for carboligation reactions with aliphatic ketoacids. Due to its role in metabolism, EcPDH E1 was previously characterised with respect to its [...] Read more.
The synthetic properties of the Thiamine diphosphate (ThDP)-dependent pyruvate dehydrogenase E1 subunit from Escherichia coli (EcPDH E1) was assessed for carboligation reactions with aliphatic ketoacids. Due to its role in metabolism, EcPDH E1 was previously characterised with respect to its biochemical properties, but it was never applied for synthetic purposes. Here, we show that EcPDH E1 is a promising biocatalyst for the production of chiral α-hydroxyketones. WT EcPDH E1 shows a 180–250-fold higher catalytic efficiency towards 2-oxobutyrate or pyruvate, respectively, in comparison to engineered transketolase variants from Geobacillus stearothermophilus (TKGST). Its broad active site cleft allows for the efficient conversion of both (R)- and (S)-configured α-hydroxyaldehydes, next to linear and branched aliphatic aldehydes as acceptor substrates under kinetically controlled conditions. The alternate, thermodynamically controlled self-reaction of aliphatic aldehydes was shown to be limited to low levels of conversion, which we propose to be due to their large hydration constants. Additionally, the thermodynamically controlled approach was demonstrated to suffer from a loss of stereoselectivity, which makes it unfeasible for aliphatic substrates. Full article
(This article belongs to the Special Issue Microbial Enzymes and Metabolites)
Show Figures

Graphical abstract

10 pages, 1229 KB  
Communication
Asymmetric Synthesis of Tertiary α -Hydroxyketones by Enantioselective Decarboxylative Chlorination and Subsequent Nucleophilic Substitution
by Mei Kee Kam, Akira Sugiyama, Ryouta Kawanishi and Kazutaka Shibatomi
Molecules 2020, 25(17), 3902; https://doi.org/10.3390/molecules25173902 - 27 Aug 2020
Cited by 7 | Viewed by 4191
Abstract
Chiral tertiary α-hydroxyketones were synthesized with high enantiopurity by asymmetric decarboxylative chlorination and subsequent nucleophilic substitution. We recently reported the asymmetric decarboxylative chlorination of β-ketocarboxylic acids in the presence of a chiral primary amine catalyst to obtain α-chloroketones with high enantiopurity. Here, we [...] Read more.
Chiral tertiary α-hydroxyketones were synthesized with high enantiopurity by asymmetric decarboxylative chlorination and subsequent nucleophilic substitution. We recently reported the asymmetric decarboxylative chlorination of β-ketocarboxylic acids in the presence of a chiral primary amine catalyst to obtain α-chloroketones with high enantiopurity. Here, we found that nucleophilic substitution of the resulting α-chloroketones with tetrabutylammonium hydroxide yielded the corresponding α-hydroxyketones without loss of enantiopurity. The reaction proceeded smoothly even at a tertiary carbon. The proposed method would be useful for the preparation of chiral tertiary alcohols. Full article
Show Figures

Figure 1

21 pages, 866 KB  
Review
α-Hydroxyketone Synthesis and Sensing by Legionella and Vibrio
by André Tiaden and Hubert Hilbi
Sensors 2012, 12(3), 2899-2919; https://doi.org/10.3390/s120302899 - 2 Mar 2012
Cited by 46 | Viewed by 10585
Abstract
Bacteria synthesize and sense low molecular weight signaling molecules, termed autoinducers, to measure their population density and community complexity. One class of autoinducers, the α-hydroxyketones (AHKs), is produced and detected by the water-borne opportunistic pathogens Legionella pneumophila and Vibrio cholerae, which cause [...] Read more.
Bacteria synthesize and sense low molecular weight signaling molecules, termed autoinducers, to measure their population density and community complexity. One class of autoinducers, the α-hydroxyketones (AHKs), is produced and detected by the water-borne opportunistic pathogens Legionella pneumophila and Vibrio cholerae, which cause Legionnaires’ disease and cholera, respectively. The “Legionella quorum sensing” (lqs) or “cholera quorum sensing” (cqs) genes encode enzymes that produce and sense the AHK molecules “Legionella autoinducer-1” (LAI-1; 3-hydroxypentadecane-4-one) or cholera autoinducer-1 (CAI-1; 3-hydroxytridecane-4-one). AHK signaling regulates the virulence of L. pneumophila and V. cholerae, pathogen-host cell interactions, formation of biofilms or extracellular filaments, expression of a genomic “fitness island” and competence. Here, we outline the processes, wherein AHK signaling plays a role, and review recent insights into the function of proteins encoded by the lqs and cqs gene clusters. To this end, we will focus on the autoinducer synthases catalysing the biosynthesis of AHKs, on the cognate trans-membrane sensor kinases detecting the signals, and on components of the down-stream phosphorelay cascade that promote the transmission and integration of signaling events regulating gene expression. Full article
Show Figures

Graphical abstract

Back to TopTop