Sign in to use this feature.

Years

Between: -

Subjects

remove_circle_outline
remove_circle_outline
remove_circle_outline
remove_circle_outline
remove_circle_outline
remove_circle_outline
remove_circle_outline
remove_circle_outline
remove_circle_outline

Journals

remove_circle_outline
remove_circle_outline
remove_circle_outline
remove_circle_outline
remove_circle_outline

Article Types

Countries / Regions

Search Results (751)

Search Parameters:
Authors = Sha Li

Order results
Result details
Results per page
Select all
Export citation of selected articles as:
20 pages, 4829 KB  
Article
Larimichthys crocea Swim Bladder Polysaccharides Attenuate 5-Fluorouracil-Induced Intestinal Injury by Modulating the Gut–Metabolic Axis
by Shouhao Zhao, Ruixue Zhao, Donglin Sui, Yixuan Li, Huan Li, Shugang Li, Chunqing Ai, Xueting Bai, Yilin Sha, Jingxian Yan, Wudeng Wang and Xiaomeng Ren
Foods 2026, 15(8), 1425; https://doi.org/10.3390/foods15081425 - 19 Apr 2026
Viewed by 223
Abstract
5-Fluorouracil (5-FU) is a first-line chemotherapeutic agent for solid tumors, but its clinical application is severely limited by dose-dependent intestinal injury that impairs patient quality of life and compromises therapeutic efficacy. Natural polysaccharides, especially marine-derived ones, have become safe and multi-targeted gut-protective candidates [...] Read more.
5-Fluorouracil (5-FU) is a first-line chemotherapeutic agent for solid tumors, but its clinical application is severely limited by dose-dependent intestinal injury that impairs patient quality of life and compromises therapeutic efficacy. Natural polysaccharides, especially marine-derived ones, have become safe and multi-targeted gut-protective candidates due to their excellent biocompatibility and prebiotic-like activities. Larimichthys crocea swim bladder is a characteristic marine biological resource, and its polysaccharides (CIPs) have shown potential bioactivities, yet their protective mechanism against 5-FU-induced intestinal injury remains unclear. Our study explored the protective effects of Larimichthys crocea swim bladder polysaccharides (CIPs) against 5-FU-induced intestinal injury in mice. Following 14-day preventive administration, CIPs alleviated 5-FU-induced body weight loss, diarrhea, colonic shortening, and mucosal injury, and restored goblet cell function. Mechanistically, CIPs enhanced intestinal barrier integrity by upregulating ZO-1, Occludin, and MUC2, suppressed the MyD88/NF-κB pathway to balance inflammatory cytokines, and ameliorated oxidative stress by regulating MDA, GSH, SOD, and CAT. CIPs also restored gut microbial diversity and the Firmicutes/Bacteroidota ratio, and modulated retinol and arginine metabolism. In vitro, CIPs reduced inflammation and oxidative damage in Caco-2 cells and promoted M2 macrophage polarization. Thus, CIPs alleviate 5-FU-induced intestinal injury via multi-targeted regulation of the gut–metabolic axis, showing great potential as a dietary intervention and gut health support agent in food science and oncology nutrition, and boosting the high-value utilization of marine resources. Full article
11 pages, 1506 KB  
Article
Study of Large Modulation Bandwidth GaN-Based Laser Diodes with Different Ridge Waveguide Structures
by Zhichong Wang, Junhui Hu, Zhen Yang, Anna Kafar, Piotr Perlin, Shuiqing Li, Heqing Deng, Jiangyong Zhang, Sha Shiong Ng, Mundzir Abdullah, Junwen Zhang, Nan Chi and Chao Shen
Photonics 2026, 13(4), 382; https://doi.org/10.3390/photonics13040382 - 16 Apr 2026
Viewed by 384
Abstract
With the advent of 6G mobile communication, the demand for ultra-high bandwidth wireless communication has increased rapidly, drawing significant attention to visible light communication (VLC) as a promising emerging technology. GaN-based laser diodes (LDs) are regarded as high-speed light sources for VLC owing [...] Read more.
With the advent of 6G mobile communication, the demand for ultra-high bandwidth wireless communication has increased rapidly, drawing significant attention to visible light communication (VLC) as a promising emerging technology. GaN-based laser diodes (LDs) are regarded as high-speed light sources for VLC owing to their high modulation bandwidth and high optical power density. Apart from the active region design, the LD’s structure also plays a crucial role in determining their dynamic properties, which have yet to be thoroughly studied in III-nitride LDs. In this work, we systematically investigate InGaN/GaN laser diodes with three ridge waveguide configurations: a conventional single-ridge structure, a dual-ridge large-mesa structure, and a dual-ridge small-mesa structure. The threshold current, small-signal modulation bandwidth of devices with different structures are comparatively analyzed. Experimental results reveal that the double-ridge small mesa laser diode achieves a modulation bandwidth of −3 dB at 6.02 GHz. These results provide valuable insights into the structural optimization of GaN-based high-speed laser diodes and offer practical guidance for the development of high-performance, energy-efficient VLC transmitters. Full article
Show Figures

Figure 1

15 pages, 2385 KB  
Article
Systemic Effects of Nitrate, Asparagine, and Glutamine on Nodulation and Biological Nitrogen Fixation in Soybean
by Jixuan Sun, Duo Zhao, Xiaomei Li, Liang Yang, Wei Zhao, Sha Li and Shoukun Dong
Plants 2026, 15(8), 1187; https://doi.org/10.3390/plants15081187 - 13 Apr 2026
Viewed by 416
Abstract
Although it is well established that nitrate exerts an inhibitory effect on nodulation and biological nitrogen fixation in soybean, the underlying mechanism remains unclear. In soybean plants, nitrate is assimilated into asparagine (Asn) and glutamine (Gln); their systemic circulation within the plant may [...] Read more.
Although it is well established that nitrate exerts an inhibitory effect on nodulation and biological nitrogen fixation in soybean, the underlying mechanism remains unclear. In soybean plants, nitrate is assimilated into asparagine (Asn) and glutamine (Gln); their systemic circulation within the plant may contribute to the reduced N-fixation capacity of nodules. To investigate the effects of nitrate, Asn, and Gln on soybean nodulation and biological N fixation, a unilateral nodulated double-root soybean system was used. The non-nodulated side roots were supplied with nitrate (14 mM), Asn (20 mM), or Gln (20 mM), while the nodulated side roots were not supplied with N. Changes in nodule number, nodule dry weight, nitrogenase activity, and N compound content were analyzed after 4 and 10 days of treatment. The results showed that all three exogenous N sources significantly reduced nodule number, nodule dry weight, and nodule nitrogenase activity after both 4 and 10 days of treatment, while promoting the accumulation of ureides, Asn, and Gln in leaves. Nitrate and Asn treatments increased the accumulation of ureides and Asn in nodules, whereas Gln had no significant effect on nitrogenous compounds in nodules. These results suggest that nitrate inhibits nodulation and biological N fixation primarily through its conversion to Asn in soybean plants. The accumulation of Asn in shoots and nodules may suppress nodulation and biological N fixation by promoting ureide accumulation. Full article
(This article belongs to the Section Crop Physiology and Crop Production)
Show Figures

Figure 1

11 pages, 2769 KB  
Article
ERF49 Gene Negatively Regulates Plant Resistance to Verticillium Wilt Through Modulation of Genes Involved in Lignin Biosynthesis
by Mingrui Li, Hang Ruan, Qi Mi, Baocheng Li, Wanyu Sha, Zhiquan Liu, Yajun Liang, Junduo Wang, Juyun Zheng, Zhaolong Gong, Zhonghua Zhou, Zhi Liu, Sujun Jiang, Shengwei Zhu and Wenyan Fan
Int. J. Mol. Sci. 2026, 27(8), 3447; https://doi.org/10.3390/ijms27083447 - 12 Apr 2026
Viewed by 393
Abstract
Cotton Verticillium wilt seriously threatens global cotton production, necessitating the development of resistant cultivars through molecular breeding. Members of the ethylene response factor (ERF) family function as pivotal transcriptional regulators of the ethylene signaling pathway, orchestrating plant defensive responses against pathogen invasion. Here, [...] Read more.
Cotton Verticillium wilt seriously threatens global cotton production, necessitating the development of resistant cultivars through molecular breeding. Members of the ethylene response factor (ERF) family function as pivotal transcriptional regulators of the ethylene signaling pathway, orchestrating plant defensive responses against pathogen invasion. Here, through comprehensive phenotypic and transcriptional analyses of lignin biosynthesis genes in AtERF49-overexpressing lines, loss-of-function mutants, dominant repressor plants, and GhERF49-silenced cotton plants (TRV-VIGS), we demonstrate that AtERF49 functions as a negative regulator of Verticillium wilt resistance. Overexpression of AtERF49 significantly compromised defense responses in Arabidopsis thaliana, whereas GhERF49 silencing enhanced cotton resistance to Verticillium wilt. Transcription analysis showed that ERF49-mediated susceptibility correlates with suppression of lignin biosynthesis-related genes following pathogen challenge, suggesting that ERF49 interferes with inducible cell wall fortification. These findings elucidate a previously unrecognized negative regulatory node linking ethylene signaling to lignin-mediated disease resistance, providing promising biotechnological targets for engineering durable Verticillium wilt resistance in cotton and related crops. Full article
(This article belongs to the Section Molecular Biology)
Show Figures

Figure 1

11 pages, 1771 KB  
Article
Facile Synthesis of High Purity Li2S by Titanothermic Reduction
by Xinyi Wang, Sha Li, Lingwen Zhang, Jun Li, Dan Guo, Qizhao Hu, Gang Tang and Hongxu Li
Batteries 2026, 12(4), 128; https://doi.org/10.3390/batteries12040128 - 7 Apr 2026
Viewed by 399
Abstract
Lithium sulfide (Li2S) is indispensable for lithium–sulfur batteries and sulfide solid-state batteries. However, its high preparation cost and strict process conditions represent core bottlenecks restricting large-scale commercial application. To address this issue, a novel process featuring a low-cost, high-safety, and controllable [...] Read more.
Lithium sulfide (Li2S) is indispensable for lithium–sulfur batteries and sulfide solid-state batteries. However, its high preparation cost and strict process conditions represent core bottlenecks restricting large-scale commercial application. To address this issue, a novel process featuring a low-cost, high-safety, and controllable reaction is proposed in this work. Compared with the commercial H2S-based route for Li2S production, the developed process presents distinct advantages, including accessible raw materials, high safety, low overall cost, and low environmental load. Using Li2SO4·H2O as the raw material and Ti as the reducing agent, high-purity T-Li2S (>99.9%) is successfully synthesized via solid-state sintering and purification, yielding a higher purity level than that of commercial C-Li2S (>99.7%). Furthermore, sulfide all-solid-state electrolytes T-Li5.3PS4.3ClBr0.7 and C-Li5.3PS4.3ClBr0.7 are prepared using the as-obtained T-Li2S and commercial C-Li2S as precursors, respectively. The room-temperature Li-ion conductivities are determined to be 14.5 mS/cm and 11.0 mS/cm, revealing faster ion migration and efficient ion transport in T-Li5.3PS4.3ClBr0.7 without high-temperature assistance, which fully validates the feasibility of the proposed strategy. Overall, this work provides a new technical route for the preparation of high-purity Li2S, showing promising application prospects. Full article
(This article belongs to the Special Issue Multiscale Co-Design of Electrode Architectures and Electrolytes)
Show Figures

Figure 1

21 pages, 4245 KB  
Article
Integrated Wind Energy Potential Assessment Based on Multi-Satellite Remote Sensing: A Case Study of Hainan Island and Its Climate Linkage
by Chen Chen, Jin Sha and Xiao-Ming Li
Remote Sens. 2026, 18(7), 1089; https://doi.org/10.3390/rs18071089 - 4 Apr 2026
Viewed by 438
Abstract
In the context of the global transition from fossil fuels to renewable energy, offshore wind power has emerged as a critical resource and gained increasing attention, requiring accurate assessments of coastal wind energy potential. This study presents an integrated suitability evaluation framework for [...] Read more.
In the context of the global transition from fossil fuels to renewable energy, offshore wind power has emerged as a critical resource and gained increasing attention, requiring accurate assessments of coastal wind energy potential. This study presents an integrated suitability evaluation framework for offshore wind energy around Hainan Island, utilizing multi-satellite remote-sensing observations. A fused wind product was generated by applying the optimal interpolation (OI) algorithm to scatterometer data and was subsequently used to construct a wind farm suitability index (WFSI). The results classify the coastal waters of Hainan Island into three suitability tiers, with the most favorable zones located along the west coast and near the Qiongzhou Strait, collocating with 62.5% of documented wind farm projects. Further analysis on a decadal-long comparative experiment reveals a clear linkage between local wind energy potential and the El Niño-Southern Oscillation (ENSO) cycle that causes wind resources and high-suitability areas to contract during El Niño and expand during La Niña. These findings provide a refined natural source baseline for Hainan Island, clarify regional responses to climate variability, and offer a transferable remote-sensing framework for coastal wind energy assessments in similar maritime regions. Full article
Show Figures

Figure 1

17 pages, 20220 KB  
Article
Observational Technological Innovations and Future Development of the Lijiang Coronagraph
by Xuefei Zhang, Yu Liu, Tengfei Song, Mingyu Zhao, Xiaobo Li, Mingzhe Sun, Feiyang Sha and Xiande Liu
Instruments 2026, 10(2), 21; https://doi.org/10.3390/instruments10020021 - 3 Apr 2026
Viewed by 255
Abstract
As a core ground-based coronal observation facility in the low-latitude and high-altitude regions of China, the Lijiang Coronagraph takes advantage of the natural endowments of the Lijiang Astronomical Observation Station, such as an altitude of 3200 m and low atmospheric turbulence. It has [...] Read more.
As a core ground-based coronal observation facility in the low-latitude and high-altitude regions of China, the Lijiang Coronagraph takes advantage of the natural endowments of the Lijiang Astronomical Observation Station, such as an altitude of 3200 m and low atmospheric turbulence. It has gone through a complete development process from introduction through Chinese–Japanese cooperation to independent innovation and iteration. This paper systematically summarizes the core technological innovation achievements of this facility, including the upgrade of the automatic operating system, the integration of the dual-band observation system, the stray light suppression technology based on the image difference method before and after cleaning, and the high-precision image calibration and registration technology. These innovations have significantly improved observation efficiency and data quality, laying a solid foundation for high-quality observations. At the scientific research level, the observation data reveal that 1.1 R (solar radius) is a highly correlated region between coronal green line brightness and magnetic field intensity. This study also confirms a strong correlation between the coronal green line and the SDO/AIA 211 Å extreme ultraviolet band (correlation coefficient: 0.89–0.99), which can support the research on early warning of Coronal Mass Ejections (CMEs). These achievements provide key data support for the verification of coronal heating mechanisms and the exploration of the origin of the slow solar wind. The technical experience accumulated from the Lijiang Coronagraph has not only laid a solid foundation for the research and development of China’s next-generation large-aperture coronagraphs, but also facilitated and accelerated substantial progress in China’s technical capabilities for low coronal observation, enabling the country to establish internationally parallel competitive capabilities in this field. This system has also become an important part of the global coronal observation network. Full article
(This article belongs to the Special Issue Instruments for Astroparticle Physics)
Show Figures

Figure 1

15 pages, 1165 KB  
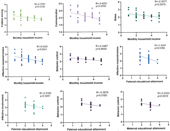
Article
Profiles and Predictors of Family Functioning in Families of Children with Mowat–Wilson Syndrome: A Cross-Sectional Survey
by Nan Peng, Bo Zhou, Biyun Li, Qi Xu, Jianhong Wang, Lili Zhang, Weiheng Yan, Xia Qu, Lingya Liu, Bo Li, Qian Jiang, Sha Tao and Lin Wang
Healthcare 2026, 14(7), 931; https://doi.org/10.3390/healthcare14070931 - 2 Apr 2026
Viewed by 306
Abstract
Introduction: Family functioning is a critical factor linked to child outcomes in neurodevelopmental disorders but remains unstudied in Mowat–Wilson syndrome (MWS), a rare condition with substantial caregiver burden. This study characterized family functioning in MWS and identified factors associated with family functioning. [...] Read more.
Introduction: Family functioning is a critical factor linked to child outcomes in neurodevelopmental disorders but remains unstudied in Mowat–Wilson syndrome (MWS), a rare condition with substantial caregiver burden. This study characterized family functioning in MWS and identified factors associated with family functioning. Materials and Methods: We employed a cross-sectional survey in a cohort of 42 patients with MWS. Family functioning was assessed using the Family Assessment Device (FAD). Clinical and behavioral characteristics included intellectual disability, adaptive functioning, autism spectrum disorder (ASD)-related behaviors, and CBCL-derived domains of social, emotional, and sleep-related concerns. Results: Among 42 children (mean age 4.9 years), severe/profound intellectual disability and adaptive deficits were common. Difficulties in family functioning were frequently reported. The highest proportions of scores above the published cut-off were observed in behavior control (90.5%) and affective involvement (76.2%). Higher monthly household income was independently associated with better general family functioning (β = −0.443, p = 0.008), whereas child age, intellectual disability severity, and adaptive impairment were not significantly associated with general functioning scores. Poorer general functioning was associated with higher scores on the CBCL-derived depressive symptom domain. Conclusions: Caregivers of children with MWS commonly reported difficulties in family functioning; behavior control was most affected, followed by affective involvement. Higher household income was independently associated with better general family functioning, suggesting that household income is an important socioeconomic correlate of family functioning. Full article
Show Figures

Figure 1

23 pages, 5651 KB  
Article
Sustainable Urban Renewal: Non-Linear Coupling Mechanism Between Green View Index and Thermal Comfort in High-Density Streets of Shenyang, China
by Lei Fan, Yixuan Sha, Zixian Li and Yan Zhou
Sustainability 2026, 18(7), 3187; https://doi.org/10.3390/su18073187 - 24 Mar 2026
Viewed by 292
Abstract
As urbanization intensifies, improving street thermal comfort has become a critical issue in urban renewal. While existing studies generally assume that increasing the Green View Index (GVI) linearly improves pedestrian thermal comfort, this study identifies a significant “Decoupling Effect” in high-density commercial areas [...] Read more.
As urbanization intensifies, improving street thermal comfort has become a critical issue in urban renewal. While existing studies generally assume that increasing the Green View Index (GVI) linearly improves pedestrian thermal comfort, this study identifies a significant “Decoupling Effect” in high-density commercial areas through field measurements and numerical simulations of three typical street types (commercial–service, ecological–recreational, and historical–cultural) in Shenyang. Integrating DeepLab V3 semantic segmentation with ENVI-met version 5.1.1 microclimate simulation, the results demonstrate a robust monotonic negative correlation between GVI and Physiological Equivalent Temperature (PET) in ecological streets (Spearman’s ρ = −0.692, p < 0.001), confirming the consistent cooling benefit of greenery in nature-dominated environments. However, a distinct “Threshold Effect” was identified in commercial streets using Piecewise Linear Regression (PLR). A critical breakpoint was detected at GVI = 22.08%. Below this threshold, visual greenery effectively contributes to cooling (slope = −0.454); yet, once GVI exceeds 22.08%, the cooling efficacy diminishes significantly (slope = −0.109), marking the onset of a “decoupling” phase. Specifically, despite Wenhua Road achieving a GVI of ~24.5% with a complex “three-board, four-belt” structure, its PET peak reaches 46.15 °C, approximately 5.5 °C higher than ecological streets. Mechanism analysis reveals that under peak thermal stress (Traffic Heat ≈ 75 W/m2), the high-intensity anthropogenic heat and hardscape radiation exceed the evaporative cooling threshold of vegetation. This study reveals the non-linear relationship between visual greenery and the physical thermal environment, suggesting that simply pursuing visual green quantity is ineffective in commercial canyon renewal; instead, a threshold-based synergistic optimization of canopy shading and pavement thermal performance is required. These findings provide a quantitative basis for sustainable street landscape planning and urban climate adaptation strategies in high-density cities. Full article
Show Figures

Figure 1

21 pages, 2373 KB  
Article
Coated Betaine Improves Lamb Meat Quality and Flavor by Modulating Rumen Microbial Flora
by Shude Shi, Xiongxiong Li, Shangwu Ma, Yuzhu Sha, Yuling Qu and Shengguo Zhao
Animals 2026, 16(6), 970; https://doi.org/10.3390/ani16060970 - 20 Mar 2026
Viewed by 346
Abstract
The sensory quality and flavor of lamb meat, critical to market competitiveness, are influenced by rumen microbial fermentation and dietary management strategies. Coated betaine (CBet), a rumen-protected methyl donor, exerts systemic nutritional regulation in ruminants. This study explored the effects of CBet supplementation [...] Read more.
The sensory quality and flavor of lamb meat, critical to market competitiveness, are influenced by rumen microbial fermentation and dietary management strategies. Coated betaine (CBet), a rumen-protected methyl donor, exerts systemic nutritional regulation in ruminants. This study explored the effects of CBet supplementation on lamb meat quality using 18 Dorset ♂ × Hu sheep ♀ F1 crossbred lambs, randomly assigned to either a control group (basal diet) or a 0.20% CBet-supplemented diet for 60 days (n = 9 per group). The results demonstrated that CBet significantly increased ruminal concentrations of total volatile fatty acids (TVFAs), acetic acid, propionic acid, and butyric acid (p < 0.05). Additionally, CBet supplementation enhanced muscle redness (a*), crude fat, crude ash, heptadecanoic acid (C17:0), and tricosanoic acid (C23:0) (p < 0.05) while decreasing shear force and the concentration of cis-13,16-docosadienoic acid (C22:2) (p < 0.05). Furthermore, CBet elevated characteristic flavor compounds (e.g., nonanal) and their relative odor activity values (ROAVs), and decreased undesirable odors (e.g., dodecanal) (p < 0.05). As illustrated in the graphical abstract, these improvements were mediated through regulatory effects of CBet on rumen microbiota composition, muscle fatty acids, amino acids, and volatile flavor compounds. Specifically, CBet significantly increased the relative abundances of Firmicutes, Proteobacteria, Prevotella, and Bifidobacterium in the rumen (p < 0.05) and altered the Firmicutes/Bacteroidota ratio. In conclusion, dietary supplementation with 0.20% CBet effectively enhances lamb meat quality and flavor, effects closely associated with changes in the abundance of key ruminal microbial taxa. Full article
(This article belongs to the Section Animal Nutrition)
Show Figures

Figure 1

19 pages, 19384 KB  
Article
Two-Step Combined Ball Milling Strategy for FeCoCrNiCu High-Entropy Alloy Powders with Enhanced Compositional Homogeneity
by Yunxiao Zhang, Wenxuan Li, Ke Liu, Zhendong Sha and Jun Ding
Surfaces 2026, 9(1), 28; https://doi.org/10.3390/surfaces9010028 - 15 Mar 2026
Viewed by 602
Abstract
This work aims to develop a controlled ball milling strategy for preparing FeCoCrNiCu high-entropy alloy (HEA) powders with improved compositional homogeneity while maintaining limited oxygen uptake. Specifically, a novel two-step combined ball milling strategy integrating gradient ball-size configurations with a sequential milling procedure [...] Read more.
This work aims to develop a controlled ball milling strategy for preparing FeCoCrNiCu high-entropy alloy (HEA) powders with improved compositional homogeneity while maintaining limited oxygen uptake. Specifically, a novel two-step combined ball milling strategy integrating gradient ball-size configurations with a sequential milling procedure is proposed and systematically evaluated. Compared with conventional single-step milling, the mixed-ball and two-step configurations enhance mechanical alloying (MA) efficiency and promote the formation of more stable FCC and BCC dual-phase structures, as confirmed by X-ray diffraction (XRD) analysis. Compositional standard deviation derived from energy-dispersive X-ray spectroscopy (EDS) measurements indicates improved macroscopic uniformity, while oxygen/nitrogen/hydrogen (ONH) analysis verifies that oxygen incorporation remains limited within the tested processing window. Systematic comparison of jar filling degrees and sampling interruptions further reveals the coupled influence of collision energy distribution and exposure frequency on oxidation behavior. The results demonstrate that controlled energy distribution and minimized atmospheric disturbance are critical for balancing alloying efficiency and oxygen control in FeCoCrNiCu powders. Full article
(This article belongs to the Collection Featured Articles for Surfaces)
Show Figures

Figure 1

19 pages, 970 KB  
Review
Photo-Oxidative Stress in Plants: ROS Signaling, Damage Propagation, and Systems-Level Resilience
by Xinguo Li, Sha Yang, Jialei Zhang and Shubo Wan
Antioxidants 2026, 15(3), 371; https://doi.org/10.3390/antiox15030371 - 15 Mar 2026
Viewed by 757
Abstract
Photo-oxidative stress, resulting from an imbalance between light absorption and photosynthetic carbon utilization, poses a fundamental challenge to plant survival and productivity. This review synthesizes recent advances to present an integrated framework connecting reactive oxygen species (ROS) signaling, damage propagation, and systems-level resilience. [...] Read more.
Photo-oxidative stress, resulting from an imbalance between light absorption and photosynthetic carbon utilization, poses a fundamental challenge to plant survival and productivity. This review synthesizes recent advances to present an integrated framework connecting reactive oxygen species (ROS) signaling, damage propagation, and systems-level resilience. We move beyond describing ROS as mere toxic byproducts to position them as central hubs in a complex, interconnected network. We integrate the specific sites of ROS generation, particularly 1O2 at PSII and H2O2 at PSI, with their distinct retrograde signaling pathways (e.g., EXECUTER, β-cyclocitral, and RES/RCS pathways) that reprogram nuclear gene expression. A systems perspective is then applied to reveal how initial photochemical damage propagates through a self-amplifying “vicious cycle” of impaired photosystem repair, lipid peroxidation, and protein oxidation, ultimately threatening cellular integrity. Counteracting this cycle is a multi-layered photoprotective arsenal including NPQ, alternative electron sinks (CEF, WWC), and an integrated antioxidant network, which we re-evaluate not as independent modules but as a coordinated, evolutionary-tuned defense system. We synthesize this knowledge to highlight a central paradigm for crop improvement: the pervasive growth–defense trade-off. Investment in photoprotection, while crucial for survival, diverts resources from yield, explaining why single-gene modifications often fail in the field. Therefore, we argue that future strategies must move beyond simply enhancing single components and instead focus on “optimizing the network”. We conclude by outlining how synthetic biology, multi-omics integration, and genomics-assisted breeding can be leveraged to fine-tune this integrated system, aiming to develop climate-resilient crops that balance productivity with survival in an increasingly volatile climate. Full article
(This article belongs to the Special Issue Advances in Plant Redox Biology Research)
Show Figures

Figure 1

22 pages, 292 KB  
Review
Dual-Gradient Drilling and Riserless Mud Recovery Technology: A Review of Principles, Progress, and Challenges
by Rongrong Qi, Hongfeng Lu, Zhibin Sha, Fangfei Huang, Yan Li, Zhiyuan Luo and Jinsong Lu
J. Mar. Sci. Eng. 2026, 14(6), 535; https://doi.org/10.3390/jmse14060535 - 12 Mar 2026
Viewed by 518
Abstract
Deepwater drilling operations face critical challenges including narrow pore-fracture pressure windows, wellbore instability, and environmental concerns from drilling discharge. This paper presents a comprehensive systematic review of Riserless Mud Recovery (RMR) technology, tracing its evolution from its conceptual origins to its current applications, [...] Read more.
Deepwater drilling operations face critical challenges including narrow pore-fracture pressure windows, wellbore instability, and environmental concerns from drilling discharge. This paper presents a comprehensive systematic review of Riserless Mud Recovery (RMR) technology, tracing its evolution from its conceptual origins to its current applications, critically analyzing its technical limitations, and identifying future research directions. A systematic literature review was conducted covering peer-reviewed journals, SPE/IADC conference proceedings, industry technical reports, and independent academic studies from 1990 to 2025. Databases searched included Web of Science, Scopus, OnePetro, and Google Scholar, supplemented by Derwent Innovation Index for patents. After screening over 100 publications, approximately 60 references were selected following a two-step process excluding vendor-only promotional materials. Key findings reveal the following: (1) RMR technology has evolved through three distinct hardware generations—flexible hose systems, steel-pipe return lines with tandem pumps enabling deepwater breakthrough to 1419 m, and hybrid riser configurations for conceptual designs beyond 3000 m; (2) documented field benefits include 70% drilling fluid reduction, 9 days’ time savings per well, and successful mitigation of shallow geohazards across more than 1000 global well applications; (3) integration with casing-while-drilling and managed pressure cementing has enabled record-breaking performance of 1710 m in a single run; (4) independent academic validation confirms fatigue mechanisms affecting mud return lines; (5) systematic failure mode analysis identifies critical reliability issues in suction hoses, seals, and control systems; (6) quantitative economic analysis shows RMR cost-effectiveness depends on water depth, geological conditions, and environmental regulations. RMR technology has matured into a reliable drilling solution, yet its continued evolution requires addressing hardware limitations, developing dedicated well-control protocols, expanding to ultra-deepwater and emerging applications, and integrating digitalization for real-time optimization. Full article
(This article belongs to the Section Ocean Engineering)
21 pages, 4415 KB  
Article
Spatio-Temporal Optimization of Rice Irrigation at Raster Scale: Synergies Between Water Productivity and Methane Emission Reduction
by Lijuan Wang, Haiyan Li, Yingshan Chen, Hongda Lian, Yan Sha and Wenhao Dong
Agriculture 2026, 16(5), 624; https://doi.org/10.3390/agriculture16050624 - 9 Mar 2026
Viewed by 399
Abstract
This study addresses the challenges of coordinating spatio-temporal water allocation to optimize water productivity and reduce carbon emissions in water resource management, particularly the lack of high-resolution, integrated optimization frameworks capable of simultaneously tackling water scarcity and greenhouse gas (GHG) emissions. We propose [...] Read more.
This study addresses the challenges of coordinating spatio-temporal water allocation to optimize water productivity and reduce carbon emissions in water resource management, particularly the lack of high-resolution, integrated optimization frameworks capable of simultaneously tackling water scarcity and greenhouse gas (GHG) emissions. We propose a modeling approach for large-scale regional rice irrigation that explicitly represents the physical-process-based relationships among irrigation water, yield, and methane (CH4) emissions. Using GIS, a grid-based simulation domain was constructed at a 500 m × 500 m resolution, and the GIS-DSSAT and GIS-DNDC models were employed to simulate yield and CH4 emissions under varying irrigation amounts. The Random Forest algorithm—selected for its ability to capture complex nonlinear interactions—was used to establish the response surfaces linking irrigation water, yield, and CH4 emissions. A spatio-temporal irrigation optimization model was then developed to simultaneously reduce CH4 emissions and enhance water productivity. This methodology was applied to the Sanjiang Plain in Heilongjiang Province, where the NSGA-II algorithm was used to derive optimal irrigation schemes for rice cultivation across 408,264 grid cells. The results revealed quadratic nonlinear relationships between irrigation water amount, yield, and CH4 emissions. Compared to the conventional irrigation practice in the region, which typically involves 15–20 flood irrigation events per season, the optimized irrigation schedule comprised 7–14 events—with 12 events accounting for 42% of the cases—and an irrigation duration ranging from day 137 to 256. This led to a 10.3% reduction in total irrigation volume, a 9.6% decrease in CH4 emissions per unit yield, and a 21.8% increase in water productivity. This study provides valuable decision support for optimizing regional water allocation and developing rice cultivation strategies that improve productivity while reducing emissions. Full article
Show Figures

Figure 1

29 pages, 5912 KB  
Article
Virtual Coupling-Enabled Rescheduling Strategies for Urban Rail Transit During Single-Line Service Disruption
by Siqi Huang, Fang Lu, Weiteng Zhou, Sha Li and Jiayi Li
Electronics 2026, 15(5), 1056; https://doi.org/10.3390/electronics15051056 - 3 Mar 2026
Viewed by 484
Abstract
Operational disruptions in urban rail transit significantly degrade service quality and passenger experience, necessitating efficient rescheduling strategies. This study investigates the application of virtual coupling (VC) technology to enhance operational flexibility during single-line interruptions. We propose a novel rescheduling strategy—VC with section reverse [...] Read more.
Operational disruptions in urban rail transit significantly degrade service quality and passenger experience, necessitating efficient rescheduling strategies. This study investigates the application of virtual coupling (VC) technology to enhance operational flexibility during single-line interruptions. We propose a novel rescheduling strategy—VC with section reverse driving (VC-SRD)—specifically designed for single-line disruption. A mixed-integer programming model is developed with the objective of minimizing total passenger waiting time, incorporating safety headway constraints, dwell time limits, and time-dependent passenger demand. Case studies indicate that the proposed VC-SRD strategy leads to a substantial reduction in passenger waiting time and a marked improvement in hauling capacity by 60%. Sensitivity analysis further reveals that the advantages of VC-SRD become more pronounced during prolonged interruptions exceeding 60 min, effectively alleviating peak-hour congestion risks. By providing a systematic and validated optimization framework, this research confirms that VC technology can substantially enhance network resilience and offer practical solutions for managing service interruptions in urban rail systems. Full article
Show Figures

Figure 1

Back to TopTop