Latest Insights on Novel Deep Eutectic Solvents (DES) for Sustainable Extraction of Phenolic Compounds from Natural Sources
Abstract
:1. Introduction
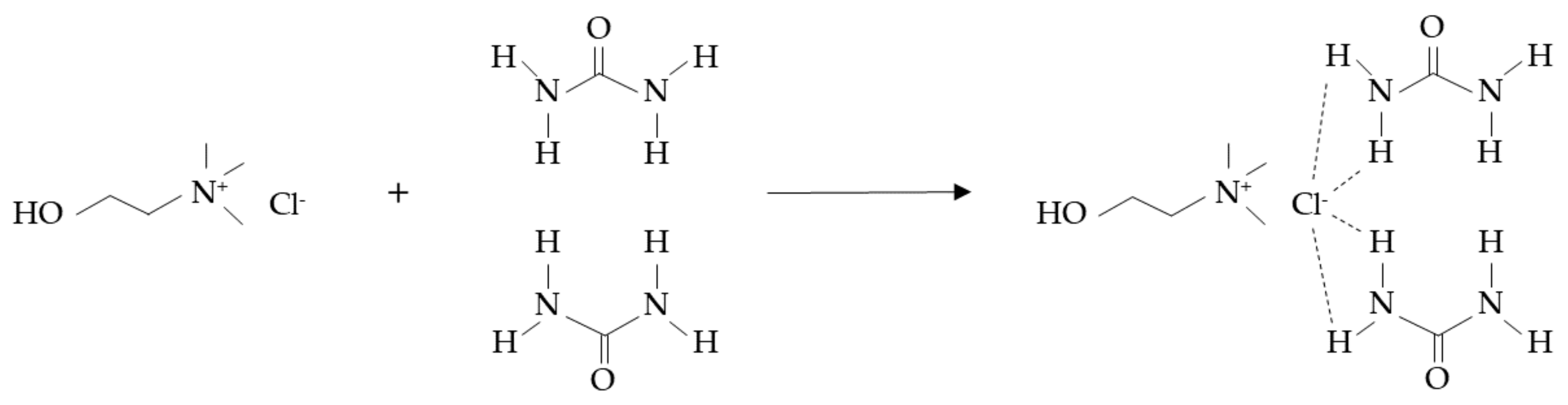
2. Principles of DES
3. Phenolic Compound Extraction from Natural Sources
4. Concluding Remarks
Author Contributions
Funding
Institutional Review Board Statement
Informed Consent Statement
Data Availability Statement
Acknowledgments
Conflicts of Interest
Sample Availability
References
- Castro-Muñoz, R.; Yáñez-Fernández, J.; Fíla, V. Phenolic compounds recovered from agro-food by-products using membrane technologies: An overview. Food Chem. 2016, 213, 753–762. [Google Scholar] [CrossRef] [PubMed]
- Tungmunnithum, D.; Thongboonyou, A.; Pholboon, A.; Yangsabai, A. Flavonoids and other phenolic compounds from medicinal plants for pharmaceutical and medical aspects: An overview. Medicines 2018, 5, 93. [Google Scholar] [CrossRef] [PubMed]
- Ruesgas-Ramón, M.; Figueroa-Espinoza, M.C.; Durand, E. Application of deep eutectic solvents (DES) for phenolic compounds extraction: Overview, challenges, and opportunities. J. Agric. Food Chem. 2017, 65, 3591–3601. [Google Scholar] [CrossRef] [PubMed]
- Castro-Muñoz, R. Pervaporation: The emerging technique for extracting aroma compounds from food systems. J. Food Eng. 2019, 253, 27–39. [Google Scholar] [CrossRef]
- Galanakis, C.M.; Castro-Muñoz, R.; Cassano, A.; Conidi, C. Recovery of High-Added-Value Compounds from Food Waste by Membrane Technology; Woodhead Publishing: Sawston, UK, 2016; ISBN 9780081004524/9780081004517. [Google Scholar]
- Xia, E.-Q.; Deng, G.-F.; Guo, Y.-J.; Li, H.-B. Biological activities of polyphenols from grapes. Int. J. Mol. Sci. 2010, 11, 622–646. [Google Scholar] [CrossRef]
- de la Rosa, L.A.; Moreno-Escamilla, J.O.; Rodrigo-García, J.; Alvarez-Parrilla, E. Chapter 12-phenolic compounds. In Postharvest Physiology and Biochemistry of Fruits and Vegetables; Yahia, E., Carrillo-Lopez, A., Eds.; Woodhead Publishing: Sawston, UK, 2019; pp. 253–271. ISBN 978-0-12-813278-4. [Google Scholar]
- Stalikas, C.D. Extraction, separation, and detection methods for phenolic acids and flavonoids. J. Sep. Sci. 2007, 30, 3268–3295. [Google Scholar] [CrossRef]
- Hidalgo, G.I.; Almajano, M.P. Red fruits: Extraction of antioxidants, phenolic content, and radical scavenging determination: A review. Antioxidants 2017, 6, 7. [Google Scholar] [CrossRef] [PubMed] [Green Version]
- Santos, F.; Duarte, A.R.C. Therapeutic deep eutectic systems for the enhancement of drug bioavailability. In Deep Eutectic Solvents for Medicine, Gas Solubilization and Extraction of Natural Substances; Fourmentin, S., Costa Gomes, M., Lichtfouse, E., Eds.; Springer International Publishing: New York, NY, USA, 2021; pp. 103–129. ISBN 978-3-030-53068-6. [Google Scholar]
- Şahin, S. Tailor-designed deep eutectic liquids as a sustainable extraction media: An alternative to ionic liquids. J. Pharm. Biomed. Anal. 2019, 174, 324–329. [Google Scholar] [CrossRef]
- Pena-Pereira, F.; Kloskowski, A.; Namieśnik, J. Perspectives on the replacement of harmful organic solvents in analytical methodologies: A framework toward the implementation of a generation of eco-friendly alternatives. Green Chem. 2015, 17, 3687–3705. [Google Scholar] [CrossRef]
- Van Osch, D.J.G.P.; Dietz, C.H.J.T.; Van Spronsen, J.; Kroon, M.C.; Gallucci, F.; Van Sint Annaland, M.; Tuinier, R. A search for natural hydrophobic deep eutectic solvents based on natural components. ACS Sustain. Chem. Eng. 2019, 7, 2933–2942. [Google Scholar] [CrossRef]
- Durand, E.; Villeneuve, P.; Bourlieu-lacanal, C.; Carrière, F. Natural deep eutectic solvents: Hypothesis for their possible roles in cellular functions and interaction with membranes and other organized biological systems. In Advances in Botanical Research; Verpoorte, R., Witkamp, G.-J., Choi, Y.H.B.T., Eds.; Academic Press: Cambridge, MA, USA, 2021; Volume 97, pp. 133–158. ISBN 0065-2296. [Google Scholar]
- Faraz, N.; Ul Haq, H.; Balal, M.; Castro-Muñoz, R.; Boczkaj, G.; Khan, A. Deep eutectic solvent based method for analysis of Niclosamide in pharmaceutical and wastewater samples—A green analytical chemistry approach. J. Mol. Liq. 2021, 335, 116142. [Google Scholar] [CrossRef]
- Barbieri, J.B.; Goltz, C.; Batistão Cavalheiro, F.; Theodoro Toci, A.; Igarashi-Mafra, L.; Mafra, M.R. Deep eutectic solvents applied in the extraction and stabilization of rosemary (Rosmarinus officinalis L.) phenolic compounds. Ind. Crops Prod. 2020, 144, 112049. [Google Scholar] [CrossRef]
- Zannou, O.; Koca, I.; Aldawoud, T.M.S.; Galanakis, C.M. Recovery and stabilization of anthocyanins and phenolic antioxidants of roselle (Hibiscus sabdariffa L.) with hydrophilic deep eutectic solvents. Molecules 2020, 25, 3715. [Google Scholar] [CrossRef] [PubMed]
- Dai, Y.; Rozema, E.; Verpoorte, R.; Choi, Y.H. Application of natural deep eutectic solvents to the extraction of anthocyanins from Catharanthus roseus with high extractability and stability replacing conventional organic solvents. J. Chromatogr. A 2016, 1434, 50–56. [Google Scholar] [CrossRef] [PubMed]
- Gullón, P.; Gullón, B.; Romaní, A.; Rocchetti, G.; Lorenzo, J.M. Smart advanced solvents for bioactive compounds recovery from agri-food by-products: A review. Trends Food Sci. Technol. 2020, 101, 182–197. [Google Scholar] [CrossRef]
- Patyar, P.; Ali, A.; Malek, N.I. Experimental and theoretical excess molar properties of aqueous choline chloride based deep eutectic solvents. J. Mol. Liq. 2021, 324, 114340. [Google Scholar]
- Phillips, M.M. Choline: Properties and determination. In Encyclopedia of Food and Health; Caballero, B., Finglas, P.M., Toldrá, F., Eds.; Elsevier Inc.: Amsterdam, The Netherlands, 2015; pp. 73–78. ISBN 9780123849533. [Google Scholar]
- Younes, M.; Aggett, P.; Aguilar, F.; Crebelli, R.; Dusemund, B.; Filipič, M.; Frutos, M.J.; Galtier, P.; Gott, D.; Gundert-Remy, U.; et al. Re-evaluation of propane-1,2-diol (E 1520) as a food additive. EFSA J. 2018, 16, 1–40. [Google Scholar] [CrossRef]
- Dziezak, J.D. Acids: Natural acids and acidulants. In Encyclopedia of Food and Health; Caballero, B., Finglas, P.M., Toldrá, F., Eds.; Elsevier Inc.: Amsterdam, The Netherlands, 2015; pp. 15–18. ISBN 9780123849533. [Google Scholar]
- Hu, X.; Shi, Y.; Zhang, P.; Miao, M.; Zhang, T.; Jiang, B. d-Mannose: Properties, production, and applications: An overview. Compr. Rev. Food Sci. Food Saf. 2016, 15, 773–785. [Google Scholar] [CrossRef] [PubMed] [Green Version]
- Turck, D.; Bresson, J.L.; Burlingame, B.; Dean, T.; Fairweather-Tait, S.; Heinonen, M.; Hirsch-Ernst, K.I.; Mangelsdorf, I.; McArdle, H.; Naska, A.; et al. Safety of d-ribose as a novel food pursuant to Regulation (EU) 2015/2283. EFSA J. 2018, 16, e05265. [Google Scholar] [CrossRef] [Green Version]
- Silva, L.P.; Fernandez, L.; Conceiçao, J.H.F.; Martins, M.A.R.; Sosa, A.; Ortega, J.; Pinho, S.P.; Coutinho, J.A.P. Design and characterization of sugar-based deep eutectic solvents using conductor-like screening model for real solvents. ACS Sustain. Chem. Eng. 2018, 6, 10724–10734. [Google Scholar] [CrossRef] [Green Version]
- Wu, L.; Chen, Z.; Li, S.; Wang, L.; Zhang, J. Eco-friendly and high-efficient extraction of natural antioxidants from Polygonum aviculare leaves using tailor-made deep eutectic solvents as extractants. Sep. Purif. Technol. 2021, 262, 118339. [Google Scholar] [CrossRef]
- Lakka, A.; Karageorgou, I.; Kaltsa, O.; Batra, G.; Bozinou, E.; Lalas, S.; Makris, D. Polyphenol extraction from Humulus Lupulus (hop) using a neoteric glycerol/l-alanine deep eutectic solvent: Optimisation, kinetics and the effect of ultrasound-assisted pretreatment. AgriEngineering 2019, 1, 30. [Google Scholar] [CrossRef] [Green Version]
- Janicka, P.; Przyjazny, A.; Boczkaj, G. Novel “acid tuned” deep eutectic solvents based on protonated L-proline. J. Mol. Liq. 2021, 333, 115965. [Google Scholar] [CrossRef]
- Zainal-Abidin, M.H.; Hayyan, M.; Hayyan, A.; Jayakumar, N.S. New horizons in the extraction of bioactive compounds using deep eutectic solvents: A review. Anal. Chim. Acta 2017, 979, 1–23. [Google Scholar] [CrossRef] [PubMed]
- Loow, Y.-L.; New, E.; Yang, G.; Ang, L.; Foo Yang Wei, L.; Wu, T. Potential use of deep eutectic solvents to facilitate lignocellulosic biomass utilization and conversion. Cellulose 2017, 24, 3591–3618. [Google Scholar] [CrossRef]
- Tang, B.; Zhang, H.; Row, K.H. Application of deep eutectic solvents in the extraction and separation of target compounds from various samples. J. Sep. Sci. 2015, 38, 1053–1064. [Google Scholar] [CrossRef] [PubMed]
- Shishov, A.; Bulatov, A.; Locatelli, M.; Carradori, S.; Andruch, V. Application of deep eutectic solvents in analytical chemistry. A review. Microchem. J. 2017, 135, 33–38. [Google Scholar] [CrossRef]
- Hansen, B.B.; Spittle, S.; Chen, B.; Poe, D.; Zhang, Y.; Klein, J.M.; Horton, A.; Adhikari, L.; Zelovich, T.; Doherty, B.W.; et al. Deep eutectic solvents: A review of fundamentals and applications. Chem. Rev. 2021, 121, 1232–1285. [Google Scholar] [CrossRef]
- Haq, H.U.; Balal, M.; Castro-Muñoz, R.; Hussain, Z.; Safi, F.; Ullah, S.; Boczkaj, G. Deep eutectic solvents based assay for extraction and determination of zinc in fish and eel samples using FAAS. J. Mol. Liq. 2021, 333, 115930. [Google Scholar] [CrossRef]
- Jia, L.; Huang, X.; Zhao, W.; Wang, H.; Jing, X. An effervescence tablet-assisted microextraction based on the solidification of deep eutectic solvents for the determination of strobilurin fungicides in water, juice, wine, and vinegar samples by HPLC. Food Chem. 2020, 317, 126424. [Google Scholar] [CrossRef]
- Momotko, M.; Łuczak, J.; Przyjazny, A.; Boczkaj, G. First deep eutectic solvent-based (DES) stationary phase for gas chromatography and future perspectives for DES application in separation techniques. J. Chromatogr. A 2020, 1635, 461701. [Google Scholar] [CrossRef]
- Makoś, P.; Boczkaj, G. Deep eutectic solvents based highly efficient extractive desulfurization of fuels–Eco-friendly approach. J. Mol. Liq. 2019, 296, 111916. [Google Scholar] [CrossRef]
- Harifi-Mood, A.R.; Mohammadpour, F.; Boczkaj, G. Solvent dependency of carbon dioxide Henry’s constant in aqueous solutions of choline chloride-ethylene glycol based deep eutectic solvent. J. Mol. Liq. 2020, 319, 114173. [Google Scholar] [CrossRef]
- Web of Science. Available online: https://www.webofknowledge.com (accessed on 12 June 2021).
- Martins, M.A.R.; Pinho, S.P.; Coutinho, J.A.P. Insights into the nature of eutectic and deep eutectic mixtures. J. Solution Chem. 2019, 48, 962–982. [Google Scholar] [CrossRef] [Green Version]
- Zhang, Q.; De Oliveira Vigier, K.; Royer, S.; Jérôme, F. Deep eutectic solvents: Syntheses, properties and applications. Chem. Soc. Rev. 2012, 41, 7108–7146. [Google Scholar] [CrossRef] [PubMed]
- Vilková, M.; Płotka-Wasylka, J.; Andruch, V. The role of water in deep eutectic solvent-base extraction. J. Mol. Liq. 2020, 304, 112747. [Google Scholar] [CrossRef]
- Choi, Y.H.; Verpoorte, R. Green solvents for the extraction of bioactive compounds from natural products using ionic liquids and deep eutectic solvents. Curr. Opin. Food Sci. 2019, 26, 87–93. [Google Scholar] [CrossRef]
- Dai, Y.; Varypataki, E.M.; Golovina, E.A.; Jiskoot, W.; Witkamp, G.J.; Choi, Y.H.; Verpoorte, R. Natural deep eutectic solvents in plants and plant cells: In Vitro evidence for their possible functions. In Advances in Botanical Research; Elsevier Ltd.: Amsterdam, The Netherlands, 2021; Volume 97, pp. 159–184. ISBN 9780128216910. [Google Scholar]
- Dwamena, A.K. Recent advances in hydrophobic deep eutectic solvents for extraction. Separations 2019, 6, 9. [Google Scholar] [CrossRef] [Green Version]
- Choi, Y.H.; van Spronsen, J.; Dai, Y.; Verberne, M.; Hollmann, F.; Arends, I.W.C.E.; Witkamp, G.J.; Verpoorte, R. Are natural deep eutectic solvents the missing link in understanding cellular metabolism and physiology? Plant Physiol. 2011, 156, 1701–1705. [Google Scholar] [CrossRef] [PubMed] [Green Version]
- Smith, E.L.; Abbott, A.P.; Ryder, K.S. Deep eutectic solvents (DESs) and their applications. Chem. Rev. 2014, 114, 11060–11082. [Google Scholar] [CrossRef] [Green Version]
- El Achkar, T.; Greige-Gerges, H.; Fourmentin, S. Understanding the basics and properties of deep eutectic solvents. In Deep Eutectic Solvents for Medicine, Gas Solubilization and Extraction of Natural Substances; Fourmentin, S., Costa Gomes, M., Lichtfouse, E., Eds.; Springer International Publishing: New York, NY, USA, 2021; pp. 1–40. ISBN 978-3-030-53068-6. [Google Scholar]
- Abbott, A.P.; Barron, J.C.; Ryder, K.S.; Wilson, D. Eutectic-based ionic liquids with metal-containing anions and cations. Chem. A Eur. J. 2007, 13, 6495–6501. [Google Scholar] [CrossRef]
- Florindo, C.; Branco, L.C.; Marrucho, I.M. In the quest for green—Solvent design: From hydrophilic to hydrophobic (Deep) eutectic solvents. ChemSusChem 2019, 12, 1549–1559. [Google Scholar] [CrossRef]
- Meneses, L.; Santos, F.; Gameiro, A.R.; Paiva, A.; Duarte, A.R.C. Preparation of binary and ternary deep eutectic systems. J. Vis. Exp. 2019, 152, e60326. [Google Scholar] [CrossRef] [PubMed]
- Mbous, Y.P.; Hayyan, M.; Hayyan, A.; Wong, W.F.; Hashim, M.A.; Looi, C.Y. Applications of deep eutectic solvents in biotechnology and bioengineering—Promises and challenges. Biotechnol. Adv. 2017, 35, 105–134. [Google Scholar] [CrossRef] [PubMed]
- Abbott, A.P.; Capper, G.; Gray, S. Design of improved deep eutectic solvents using hole theory. ChemPhysChem 2006, 7, 803–806. [Google Scholar] [CrossRef]
- Abbott, A.P.; Capper, G.; Davies, D.L.; Rasheed, R.K.; Tambyrajah, V. Novel solvent properties of choline chloride/urea mixtures. Chem. Commun. 2003, 70–71. [Google Scholar] [CrossRef] [Green Version]
- Migliorati, V.; Sessa, F.; D’Angelo, P. Deep eutectic solvents: A structural point of view on the role of the cation. Chem. Phys. Lett. X 2019, 2, 100001. [Google Scholar] [CrossRef]
- Alsaud, N.; Shahbaz, K.; Farid, M. Evaluation of deep eutectic solvents in the extraction of β-caryophyllene from New Zealand Manuka leaves (Leptospermum scoparium). Chem. Eng. Res. Des. 2021, 166, 97–108. [Google Scholar] [CrossRef]
- Sun, B.; Zheng, Y.L.; Yang, S.K.; Zhang, J.R.; Cheng, X.Y.; Ghiladi, R.; Ma, Z.; Wang, J.; Deng, W.W. One-pot method based on deep eutectic solvent for extraction and conversion of polydatin to resveratrol from Polygonum cuspidatum. Food Chem. 2021, 343, 128498. [Google Scholar] [CrossRef]
- Torres-Vega, J.; Gómez-Alonso, S.; Pérez-Navarro, J.; Alarcón-Enos, J.; Pastene-Navarrete, E. Polyphenolic compounds extracted and purified from Buddleja Globosa hope (Buddlejaceae) leaves using natural deep eutectic solvents and centrifugal partition chromatography. Molecules 2021, 26, 2192. [Google Scholar] [CrossRef]
- Wojeicchowski, J.P.; Marques, C.; Igarashi-Mafra, L.; Coutinho, J.A.P.; Mafra, M.R. Extraction of phenolic compounds from rosemary using choline chloride–based deep eutectic solvents. Sep. Purif. Technol. 2021, 258, 117975. [Google Scholar] [CrossRef]
- Đorđević, B.S.; Todorović, Z.B.; Troter, D.Z.; Stanojević, L.P.; Stojanović, G.S.; Đalović, I.G.; Mitrović, P.M.; Veljković, V.B. Extraction of phenolic compounds from black mustard (Brassica nigra L.) seed by deep eutectic solvents. J. Food Meas. Charact. 2021, 15, 1931–1938. [Google Scholar] [CrossRef]
- Nia, N.N.; Hadjmohammadi, M.R. Amino acids- based hydrophobic natural deep eutectic solvents as a green acceptor phase in two-phase hollow fiber-liquid microextraction for the determination of caffeic acid in coffee, green tea, and tomato samples. Microchem. J. 2021, 164, 106021. [Google Scholar] [CrossRef]
- Cui, Z.; Enjome Djocki, A.V.; Yao, J.; Wu, Q.; Zhang, D.; Nan, S.; Gao, J.; Li, C. COSMO-SAC-supported evaluation of natural deep eutectic solvents for the extraction of tea polyphenols and process optimization. J. Mol. Liq. 2021, 328, 115406. [Google Scholar] [CrossRef]
- Huang, A.; Deng, W.; Li, X.; Zheng, Q.; Wang, X.; Xiao, Y. Long-chain alkanol–alkyl carboxylic acid-based low-viscosity hydrophobic deep eutectic solvents for one-pot extraction of anthraquinones from rhei radix et rhizoma. J. Pharm. Anal. 2021. [Google Scholar] [CrossRef]
- Doldolova, K.; Bener, M.; Lalikoğlu, M.; Aşçı, Y.S.; Arat, R.; Apak, R. Optimization and modeling of microwave-assisted extraction of curcumin and antioxidant compounds from turmeric by using natural deep eutectic solvents. Food Chem. 2021, 353, 129337. [Google Scholar] [CrossRef] [PubMed]
- Pan, C.; Zhao, L.; Zhao, D. Microwave-assisted green extraction of antioxidant components from Osmanthus fragrans (Lour) flower using natural deep eutectic solvents. J. Appl. Res. Med. Aromat. Plants 2021, 20, 100285. [Google Scholar] [CrossRef]
- Panić, M.; Andlar, M.; Tišma, M.; Rezić, T.; Šibalić, D.; Cvjetko Bubalo, M.; Radojčić Redovniković, I. Natural deep eutectic solvent as a unique solvent for valorisation of orange peel waste by the integrated biorefinery approach. Waste Manag. 2021, 120, 340–350. [Google Scholar] [CrossRef]
- López-Linares, J.C.; Campillo, V.; Coca, M.; Lucas, S.; García-Cubero, M.T. Microwave-assisted deep eutectic solvent extraction of phenolic compounds from brewer’s spent grain. J. Chem. Technol. Biotechnol. 2021, 96, 481–490. [Google Scholar] [CrossRef]
- Fernandes, C.; Melro, E.; Magalhães, S.; Alves, L.; Craveiro, R.; Filipe, A.; Valente, A.J.M.; Martins, G.; Antunes, F.E.; Romano, A.; et al. New deep eutectic solvent assisted extraction of highly pure lignin from maritime pine sawdust (Pinus pinaster Ait.). Int. J. Biol. Macromol. 2021, 177, 294–305. [Google Scholar] [CrossRef]
- Su, Y.; Huang, C.; Lai, C.; Yong, Q. Green solvent pretreatment for enhanced production of sugars and antioxidative lignin from poplar. Bioresour. Technol. 2021, 321, 124471. [Google Scholar] [CrossRef]
- Ong, V.Z.; Wu, T.Y.; Chu, K.K.L.; Sun, W.Y.; Shak, K.P.Y. A combined pretreatment with ultrasound-assisted alkaline solution and aqueous deep eutectic solvent for enhancing delignification and enzymatic hydrolysis from oil palm fronds. Ind. Crops Prod. 2021, 160, 112974. [Google Scholar] [CrossRef]
- Fu, X.; Wang, D.; Belwal, T.; Xie, J.; Xu, Y.; Li, L.; Zou, L.; Zhang, L.; Luo, Z. Natural deep eutectic solvent enhanced pulse-ultrasonication assisted extraction as a multi-stability protective and efficient green strategy to extract anthocyanin from blueberry pomace. Lwt 2021, 144, 111220. [Google Scholar] [CrossRef]
- Chen, L.; Yang, Y.Y.; Zhou, R.R.; Fang, L.Z.; Zhao, D.; Cai, P.; Yu, R.; Zhang, S.H.; Huang, J.H. The extraction of phenolic acids and polysaccharides from: Lilium lancifolium Thunb. using a deep eutectic solvent. Anal. Methods 2021, 13, 1226–1231. [Google Scholar] [CrossRef]
- Mansinhos, I.; Gonçalves, S.; Rodríguez-Solana, R.; Ordóñez-Díaz, J.L.; Moreno-Rojas, J.M.; Romano, A. Ultrasonic-assisted extraction and natural deep eutectic solvents combination: A green strategy to improve the recovery of phenolic compounds from Lavandula pedunculata subsp. lusitanica (chaytor) franco. Antioxidants 2021, 10, 582. [Google Scholar] [CrossRef]
- Jakovljević, M.; Jokić, S.; Molnar, M.; Jerković, I. Application of deep eutectic solvents for the extraction of carnosic acid and carnosol from sage (Salvia officinalis L.) with response surface methodology optimization. Plants 2021, 10, 80. [Google Scholar] [CrossRef]
- Patil, S.S.; Pathak, A.; Rathod, V.K. Optimization and kinetic study of ultrasound assisted deep eutectic solvent based extraction: A greener route for extraction of curcuminoids from Curcuma longa. Ultrason. Sonochem. 2021, 70, 105267. [Google Scholar] [CrossRef] [PubMed]
- Ünlü, A.E. Green and non—Conventional extraction of bioactive compounds from olive leaves: Screening of novel natural deep eutectic solvents and investigation of process parameters. Waste Biomass Valorization 2021, 1–18. [Google Scholar] [CrossRef]
- Ivanović, M.; Albreht, A.; Krajnc, P.; Vovk, I.; Razboršek, M.I. Sustainable ultrasound-assisted extraction of valuable phenolics from inflorescences of Helichrysum arenarium L. using natural deep eutectic solvents. Ind. Crops Prod. 2021, 160. [Google Scholar] [CrossRef]
- Rodríguez-Juan, E.; Rodríguez-Romero, C.; Fernández-Bolaños, J.; Florido, M.C.; Garcia-Borrego, A. Phenolic compounds from virgin olive oil obtained by natural deep eutectic solvent (NADES): Effect of the extraction and recovery conditions. J. Food Sci. Technol. 2021, 58, 552–561. [Google Scholar] [CrossRef]
- Shishov, A.; Volodina, N.; Gagarionova, S.; Shilovskikh, V.; Bulatov, A. A rotating disk sorptive extraction based on hydrophilic deep eutectic solvent formation. Anal. Chim. Acta 2021, 1141, 163–172. [Google Scholar] [CrossRef] [PubMed]
- Dai, J.; Mumper, R.J. Plant phenolics: Extraction, analysis and their antioxidant and anticancer properties. Molecules 2010, 15, 7313–7352. [Google Scholar] [CrossRef]
- Khezeli, T.; Daneshfar, A.; Sahraei, R. A green ultrasonic-assisted liquid-liquid microextraction based on deep eutectic solvent for the HPLC-UV determination of ferulic, caffeic and cinnamic acid from olive, almond, sesame and cinnamon oil. Talanta 2016, 150, 577–585. [Google Scholar] [CrossRef] [PubMed]
- Farhadi, K.; Esmaeilzadeh, F.; Hatami, M.; Forough, M.; Molaie, R. Determination of phenolic compounds content and antioxidant activity in skin, pulp, seed, cane and leaf of five native grape cultivars in west azerbaijan province, Iran. Food Chem. 2015, 199, 847–855. [Google Scholar] [CrossRef] [PubMed]
- Chong, Y.; Yan, A.; Yang, X.; Cai, Y.; Chen, J. An optimum fermentation model established by genetic algorithm for biotransformation from crude polydatin to resveratrol. Appl. Biochem. Biotechnol. 2012, 166, 446–457. [Google Scholar] [CrossRef]
- Mensah, A.Y.; Sampson, J.; Houghton, P.J.; Hylands, P.J.; Westbrook, J.; Dunn, M.; Hughes, M.A.; Cherry, G.W. Effects of buddleja globosa leaf and its constituents relevant to wound healing. J. Ethnopharmacol. 2001, 77, 219–226. [Google Scholar] [CrossRef]
- Estomba, D.; Ladio, A.; Lozada, M. Medicinal wild plant knowledge and gathering patterns in a mapuche community from north-western patagonia. J. Ethnopharmacol. 2006, 103, 109–119. [Google Scholar] [CrossRef]
- García, A.; Rodríguez-Juan, E.; Rodríguez-Gutiérrez, G.; Rios, J.J.; Fernández-Bolaños, J. Extraction of phenolic compounds from virgin olive oil by deep eutectic solvents (DESs). Food Chem. 2016, 197, 554–561. [Google Scholar] [CrossRef]
- Jangir, A.K.; Mandviwala, H.; Patel, P.; Sharma, S.; Kuperkar, K. Acumen into the effect of alcohols on choline chloride: L-lactic acid-based natural deep eutectic solvent (NADES): A spectral investigation unified with theoretical and thermophysical characterization. J. Mol. Liq. 2020, 317, 113923. [Google Scholar] [CrossRef]
- Dai, Y.; Witkamp, G.J.; Verpoorte, R.; Choi, Y.H. Tailoring properties of natural deep eutectic solvents with water to facilitate their applications. Food Chem. 2015, 187, 14–19. [Google Scholar] [CrossRef]
- Xue, J.; Wang, R.-Q.; Chen, X.; Hu, S.; Bai, X.-H. Three-phase hollow-fiber liquid-phase microextraction based on deep eutectic solvent as acceptor phase for extraction and preconcentration of main active compounds in a traditional Chinese medicinal formula. J. Sep. Sci. 2019, 42, 2239–2246. [Google Scholar] [CrossRef]
- Khataei, M.M.; Yamini, Y.; Nazaripour, A.; Karimi, M. Novel generation of deep eutectic solvent as an acceptor phase in three-phase hollow fiber liquid phase microextraction for extraction and preconcentration of steroidal hormones from biological fluids. Talanta 2018, 178, 473–480. [Google Scholar] [CrossRef]
- Afshar Mogaddam, M.R.; Farajzadeh, M.A.; Mohebbi, A.; Nemati, M. Hollow fiber–liquid phase microextraction method based on a new deep eutectic solvent for extraction and derivatization of some phenolic compounds in beverage samples packed in plastics. Talanta 2020, 216, 120986. [Google Scholar] [CrossRef]
- Esrafili, A.; Baharfar, M.; Tajik, M.; Yamini, Y.; Ghambarian, M. Two-phase hollow fiber liquid-phase microextraction. TrAC-Trends Anal. Chem. 2018, 108, 314–322. [Google Scholar] [CrossRef]
- Zargar, B.A.; Masoodi, M.H.; Ahmed, B.; Ganie, S.A. Phytoconstituents and therapeutic uses of rheum emodi wall. ex Meissn. Food Chem. 2011, 128, 585–589. [Google Scholar] [CrossRef]
- Tanvir, E.M.; Hossen, M.S.; Hossain, M.F.; Afroz, R.; Gan, S.H.; Khalil, M.I.; Karim, N. Antioxidant properties of popular turmeric (Curcuma longa) varieties from bangladesh. J. Food Qual. 2017, 2017. [Google Scholar] [CrossRef] [Green Version]
- Satari, B.; Karimi, K. Citrus processing wastes: Environmental impacts, recent advances, and future perspectives in total valorization. Resour. Conserv. Recycl. 2018, 129, 153–167. [Google Scholar] [CrossRef]
- Kleinert, M.; Barth, T. Phenols from lignin. Chem. Eng. Technol. 2008, 31, 736–745. [Google Scholar] [CrossRef]
- Xu, J.; Li, C.; Dai, L.; Xu, C.; Zhong, Y.; Yu, F.; Si, C. Biomass fractionation and lignin fractionation towards lignin valorization. ChemSusChem 2020, 13, 4284–4295. [Google Scholar] [CrossRef]
- Tribot, A.; Amer, G.; Abdou Alio, M.; de Baynast, H.; Delattre, C.; Pons, A.; Mathias, J.D.; Callois, J.M.; Vial, C.; Michaud, P.; et al. Wood-lignin: Supply, extraction processes and use as bio-based material. Eur. Polym. J. 2019, 112, 228–240. [Google Scholar] [CrossRef]
- Xu, J.F.; Han, Y.T.; WenBo, Z.; Zhao, Z.M. Multivariable analysis of the effects of factors in the pretreatment and enzymolysis processes on saccharification efficiency. Ind. Crops Prod. 2019, 142, 111824. [Google Scholar] [CrossRef]
- Lim, H.Y.; Yusup, S.; Loy, A.C.M.; Samsuri, S.; Ho, S.S.K.; Manaf, A.S.A.; Lam, S.S.; Chin, B.L.F.; Acda, M.N.; Unrean, P.; et al. Review on conversion of lignin waste into value-added resources in tropical countries. Waste Biomass Valorization 2020, 1–18. [Google Scholar] [CrossRef]
- Lai, C.; Jia, Y.; Wang, J.; Wang, R.; Zhang, Q.; Chen, L.; Shi, H.; Huang, C.; Li, X.; Yong, Q. Co-production of xylooligosaccharides and fermentable sugars from poplar through acetic acid pretreatment followed by poly (ethylene glycol) ether assisted alkali treatment. Bioresour. Technol. 2019, 288, 121569. [Google Scholar] [CrossRef] [PubMed]
- Li, P.; Zhang, Q.; Zhang, X.; Zhang, X.; Pan, X.; Xu, F. Subcellular dissolution of xylan and lignin for enhancing enzymatic hydrolysis of microwave assisted deep eutectic solvent pretreated Pinus bungeana Zucc. Bioresour. Technol. 2019, 288, 121475. [Google Scholar] [CrossRef] [PubMed]
- Gągol, M.; Przyjazny, A.; Boczkaj, G. Wastewater treatment by means of advanced oxidation processes based on cavitation—A review. Chem. Eng. J. 2018, 338, 599–627. [Google Scholar] [CrossRef]
- Martín, J.; Navas, M.J.; Jiménez-Moreno, A.M.; Asuero, A.G. Anthocyanin pigments: Importance, sample preparation and extraction. In Phenolic Compounds-Natural Sources, Importance and Applications; Soto-Hernandez, M., Palma-Tenango, M., Garcia-Mateos, M.R., Eds.; IntechOpen: London, UK, 2017. [Google Scholar]
- Giusti, M.M.; Wrolstad, R.E. Characterization and measurement of anthocyanins by UV-visible spectroscopy. Curr. Protoc. Food Anal. Chem. 2001, F1.2.1–F1.2.13. [Google Scholar] [CrossRef]
- Panić, M.; Gunjević, V.; Cravotto, G.; Radojčić Redovniković, I. Enabling technologies for the extraction of grape-pomace anthocyanins using natural deep eutectic solvents in up-to-half-litre batches extraction of grape-pomace anthocyanins using NADES. Food Chem. 2019, 300, 1–8. [Google Scholar] [CrossRef]
- Lopes, C.L.; Pereira, E.; Soković, M.; Carvalho, A.M.; Barata, A.M.; Lopes, V.; Rocha, F.; Calhelha, R.C.; Barros, L.; Ferreira, I.C.F.R. Phenolic composition and bioactivity of Lavandula pedunculata (Mill.) cav. samples from different geographical origin. Molecules 2018, 23, 1037. [Google Scholar] [CrossRef] [Green Version]
- Nunes, R.; Pasko, P.; Tyszka-Czochara, M.; Szewczyk, A.; Szlosarczyk, M.; Carvalho, I.S. Antibacterial, antioxidant and anti-proliferative properties and zinc content of five south portugal herbs. Pharm. Biol. 2017, 55, 114–123. [Google Scholar] [CrossRef] [Green Version]
- Shirsath, S.R.; Sable, S.S.; Gaikwad, S.G.; Sonawane, S.H.; Saini, D.R.; Gogate, P.R. Intensification of extraction of curcumin from Curcuma amada using ultrasound assisted approach: Effect of different operating parameters. Ultrason. Sonochem. 2017, 38, 437–445. [Google Scholar] [CrossRef]
- Romero, M.; Toral, M.; Gómez-Guzmán, M.; Jiménez, R.; Galindo, P.; Sánchez, M.; Olivares, M.; Gálvez, J.; Duarte, J. Antihypertensive effects of oleuropein-enriched olive leaf extract in spontaneously hypertensive rats. Food Funct. 2016, 7, 584–593. [Google Scholar] [CrossRef]
- Castro-Muñoz, R.; Boczkaj, G.; Gontarek, E.; Cassano, A.; Fíla, V. Membrane technologies assisting plant-based and agro-food by-products processing: A comprehensive review. Trends Food Sci. Technol. 2020, 95, 219–232. [Google Scholar] [CrossRef]
- Skarpalezos, D.; Detsi, A. Deep eutectic solvents as extraction media for valuable flavonoids from natural sources. Appl. Sci. 2019, 9, 4169. [Google Scholar] [CrossRef] [Green Version]
- Ali Redha, A. Review on extraction of phenolic compounds from natural sources using green deep eutectic solvents. J. Agric. Food Chem. 2021, 69, 878–912. [Google Scholar] [CrossRef] [PubMed]





| Type | Formula | Terms |
|---|---|---|
| Type I | Cat+X−zMClx | M = Zn, Sn, Fe, Al, Ga, In |
| Type II | Cat+X−zMClx∙yH2O | M = Cr, Co, Cu, Ni, Fe |
| Type III | Cat+X−zRZ | Z = CONH2, COOH, OH |
| Type IV | MClx + RZ = MClx−1+∙RZ + MClx+1− | M = Al, Zn Z = CONH2, OH |
| Source | DES Used (Molar Ratio) | Co-Solvent | Extraction Method and Conditions | Yield | Reference |
|---|---|---|---|---|---|
| Manuka leaves (Leptospermum scoparium) | ChCl:Lactic acid (1:2) | - | Heating and stirring Temperature: 50 °C Extraction time: 67 min Liquid-solid ratio: 100:5.07 | TPC: 59.82 mg GAE g−1 | [57] |
| Polygonum cuspidatum root | TBAC:Ethylene glycol (1:3) | 40% water 4.5% HCl | Heating and stirring Temperature: 80 °C Extraction time: 80 min Rotational speed: 500 rpm Liquid–solid ratio: 40:1 | Resveratrol: 12.26 ± 0.14 mg g−1 | [58] |
| Buddleja globosa Hope leaves | ChCl:Lactic acid (1:1) | 20% water | Heating and stirring Temperature: 60 °C Extraction time: 50 min Rotational speed: 340 rpm Liquid–solid ratio: 100:1 | TPC: ca. 175 mg GAE g−1 Luteolin 7-O-glucoside: ca 4.1 mg g−1 Verbascoside: ca. 39 mg g−1 | [59] |
| L-proline:Citric acid (1:1) | 20% water | TPC: ca. 175 mg GAE g−1 Luteolin 7-O-glucoside: ca. 4 mg g−1 Verbascoside: 51.045 mg g−1 | |||
| Rosemary leaves (Rosmarinus officinalis L.) | ChCl:1,2-propanediol (1:2) | 50% water | Heating and stirring Temperature: 65 °C Extraction time: 15 min Rotational speed: 600 rpm Liquid–solid ratio: 40:1 | TPC: 78 mg GAE g−1 | [60] |
| Black mustard (Brassica nigra L.) seed | TEOA:Glycerol (1:2) | 25% ethanol | Heating and stirring Temperature: 65 °C Extraction time: 180 min Rotational speed:1000 rpm Liquid–solid ratio: 10:1 | TPC: 32.2 ± 0.2 mg GAE g−1 TFC: 7.2 ± 0.2 mg QE g−1 | [61] |
| TEOA:Propylene glycol (1:2) | 25% ethanol | TPC: 29.3 ± 0.3 mg GAE g−1 TFC: 7.4 ± 0.3 mg QE g−1 | |||
| Coffee | L-serine:Lactic acid (1:4) | 30% methanol | Two-phase hollow fiber-liquid microextraction (HF-LPME) Fiber material: polypropylene HF DES immersion time: 30 s Rotational speed: 840 rpm | Caffeic acid: 0.032 µg g−1 | [62] |
| Green Tea | Caffeic acid: 0.022 µg g−1 | ||||
| Tomato | Caffeic acid: 0.012 µg g−1 | ||||
| Green tea | ChCl:ethylene glycol (1:2) | 29% water | Heating and stirring Temperature: 84 °C Extraction time: 39 min Liquid–solid ratio: 44:1 | Phenolic extraction yield: 20.12% | [63] |
| Radix et Rhixoma Rhei | 1- tetradecanol:10-undecenoic acid (1:4) | 10% HCl | Heating and stirring Temperature: 67 °C Extraction time: 20 min Rotational speed: 500 rpm Liquid–solid ratio: 12:1 | Anthraquinones: 21.52 mg g−1 | [64] |
| Turmeric (Curcuma longa) | Sucrose:Lactic acid:Water (1:5:7) | - | Microwave-assisted extraction Temperature: 68.2 °C Extraction time: 15.4 min Maximum power: 1500 W Liquid–solid ratio: 14.5:2 | Curcumin: 32.00 mg g−1 | [65] |
| Lour (Osmanthus fragrans) flower | Lactic acid:glucose (1:5) | 85% water | Microwave-assisted extraction Extraction time: 0.5 s Power: 500 W Liquid–solid ratio: 30:1 | TPC: 192.20 ± 1.08 mg GAE g−1 TFC: 560.13 ± 0.51 mg RE g−1 | [66] |
| Microwave-assisted extraction Extraction time: 60.00 s Power: 500 W Liquid–solid ratio: 38.41:1 | TPC: 238.09 ± 0.81 mg GAE g−1 TFC: 321.07 ± 1.65 mg RE g−1 | ||||
| Orange peel waste | ChCl:Ethylene glycol (1:2) | 50% water | Stirring Extraction time: 7 days Rotational speed: 850 rpm Liquid–solid ratio: 5:1 | Polyphenols: 45.7 mg g−1 | [67] |
| Brewer’s spent grain | ChCl:Glycerol (1:2) | 37.46% water | Microwave-assisted extraction Temperature: 100 °C Extraction time: 13.3 min Maximum power: 700 W | TPC: 2.89 mg GAE g−1 | [68] |
| Maritime Pine (Pinus pinaster) wood | Lactic acid:Tartaric acid:ChCl (4:1:1) | - | Heating and stirring Temperature: 175 °C Extraction time: 90 min Liquid–solid ratio: 10:1 | Lignin removal: 94.9 ± 3.3% | [69] |
| Poplar (Populus) sawdust | ChCl:Lactic acid (1:10) | - | Heating and stirring Temperature: 130 °C Extraction time: 90 min Liquid–solid ratio: 10:1 | Lignin removal: 89.3% | [70] |
| Oil palm (Elaeis guineensis) frond | ChCl:Urea (1:2) | 20% water 2.5% NaOH | Ultrasound-assisted extraction Extraction time: 30 min Ultrasound amplitude: 60% | Lignin removal: 47.00 ± 0.16% | [71] |
| Blueberry (Vaccinium spp.) pomace | ChCl:Oxalic acid (1:1) | 30% water | Pulse- Ultrasound-assisted extraction Temperature: 76 °C Extraction time: 3.2 min Power: 325 W Liquid–solid ratio: 60:1 | Total anthocyanin yield: 24.27 ± 0.05 mg C3GE g−1 | [72] |
| Lily (Lilium lancifolium Thunb.) | ChCl:Ethylene glycol (1:2) | 20% water | Ultrasound-assisted extraction Temperature: 50 °C Extraction time: 40 min Liquid–solid ratio: 25:1 | Regaloside B: 0.31 ± 0.06 mg g−1 Regaloside C: 0.29 ± 0.03 mg g−1 Regaloside E: 3.04 ± 0.38 mg g−1 | [73] |
| Lavandula pedunculata subsp. lusitanica | Proline:Lactic acid (1:1) | 30% water | Ultrasound-assisted extraction Extraction time: 60 min Frequency: 37 kHz | TPC: 56.00 ± 0.77 mg GAE g−1 | [74] |
| Sage (Salvia officinalis) | ChCl:Lactic acid (1:2) | 10% water | Stirring and heating Temperature: 50 °C Extraction time: 90 min | Carnosic acid: 14.43 ± 0.28 μg mg−1 Carnosol: 4.83 ± 0.09 μg mg−1 | [75] |
| ChCl:Lactic acid (1:2) | 10% water | Ultrasound-assisted extraction Temperature: 70 °C Extraction time: 60 min | Carnosic acid: 14.00 ± 0.02 μg mg−1 Carnosol: 4.18 ± 0.05 μg mg−1 | ||
| ChCl:Lactic acid (1:2) | 10% water | MCE Extraction time: 2 min Vibration speed: 5 m s−1 | Carnosic acid: 8.26 ± 0.45 μg mg−1 Carnosol: 1.87 ± 0.33 μg mg−1 | ||
| Turmeric (Curcuma longa) | ChCl:Lactic acid (1:1) | 20% water | Ultrasound-assisted extraction—direct sonication Temperature: 30 °C Extraction time: 20 min Frequency: 22 kHz Intensity: 70.8 W cm−2 Pulse mode: 60% Particle size: 0.355 mm Liquid–solid ratio: 20:1 | Curcuminoids: 77.13 mg g−1 | [76] |
| Olive leaf | ChCl:Fructose:Water (5:2:5) | 42.69% water | Ultrasound-assisted extraction Temperature: 75 °C Extraction time: 60 min Power: 140 W Frequency: 37 kHz Liquid–solid ratio: 40.66:1 | TPC: 187.31 ± 10.3 mg GAE g−1 TFC: 12.75 ± 0.6 mg ApE g−1 | [77] |
| Helichrysum arenarium L. inflorescences | ChCl:1,2-propanediol (1:2) | 25% water | Ultrasound-assisted extraction Temperature: 50 °C Extraction time: 60 min | Phenolics: 30.15 ± 0.42 mg g−1 | [78] |
| ChCl:1,4-butanediol (1:6) | Phenolics: 29.75 ± 0.49 mg g−1 | ||||
| Olive oil | ChCl:Xylitol:Water (2:1:3) | - | Heating and stirring Temperature: 40 °C Extraction time: 60 min Liquid:oil ratio: 1:1 | Phenolics: 555.36 ± 21.93 mg kg−1 | [79] |
| Olive oil | ChCl:Extracted phenolics | - | Rotating disk sorptive extraction Extraction time: 15 min Disk material: poly(vinylidene fluoride-co-tetrafluoroethylene) Rotational speed: 150 rpm ChCl concentration: 300 g L−1 | Absolute extraction recovery Gallic acid: 87% Protocatechuic acid: 79% Tyrosol: 76% Vanillic acid: 75% p-coumarinic acid: 82% Syringaldehyde: 81% Thymol: 66% | [80] |
Publisher’s Note: MDPI stays neutral with regard to jurisdictional claims in published maps and institutional affiliations. |
© 2021 by the authors. Licensee MDPI, Basel, Switzerland. This article is an open access article distributed under the terms and conditions of the Creative Commons Attribution (CC BY) license (https://creativecommons.org/licenses/by/4.0/).
Share and Cite
Serna-Vázquez, J.; Ahmad, M.Z.; Boczkaj, G.; Castro-Muñoz, R. Latest Insights on Novel Deep Eutectic Solvents (DES) for Sustainable Extraction of Phenolic Compounds from Natural Sources. Molecules 2021, 26, 5037. https://doi.org/10.3390/molecules26165037
Serna-Vázquez J, Ahmad MZ, Boczkaj G, Castro-Muñoz R. Latest Insights on Novel Deep Eutectic Solvents (DES) for Sustainable Extraction of Phenolic Compounds from Natural Sources. Molecules. 2021; 26(16):5037. https://doi.org/10.3390/molecules26165037
Chicago/Turabian StyleSerna-Vázquez, Julio, Mohd Zamidi Ahmad, Grzegorz Boczkaj, and Roberto Castro-Muñoz. 2021. "Latest Insights on Novel Deep Eutectic Solvents (DES) for Sustainable Extraction of Phenolic Compounds from Natural Sources" Molecules 26, no. 16: 5037. https://doi.org/10.3390/molecules26165037
APA StyleSerna-Vázquez, J., Ahmad, M. Z., Boczkaj, G., & Castro-Muñoz, R. (2021). Latest Insights on Novel Deep Eutectic Solvents (DES) for Sustainable Extraction of Phenolic Compounds from Natural Sources. Molecules, 26(16), 5037. https://doi.org/10.3390/molecules26165037

